A Perforated Plate with Stepwise Apertures for Low Frequency Sound Absorption
Abstract
:1. Introduction
2. Models and Methods
2.1. Theoretical Calculation
2.2. FEM Simulation
2.3. Experiment Measurements
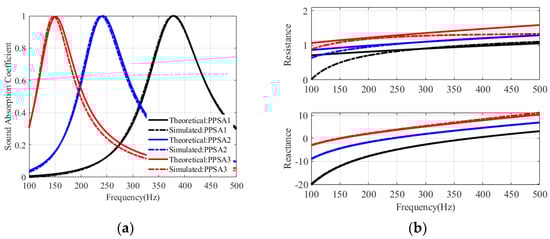
3. Results and Discuss
3.1. Sound Absorption of PPSA and Single Perforated Panle(PP) Absorber
3.2. Sound Absorption of PPSA Absorber with Varied Hole Spacing, Aperture and Plate Thickness
3.3. Sound Absorption of PPSA Absorber Array
4. Conclusions
Author Contributions
Funding
Institutional Review Board Statement
Informed Consent Statement
Data Availability Statement
Conflicts of Interest
References
- Yang, M.; Sheng, P. Sound Absorption Structures: From Porous Media to Acoustic Metamaterials. Annu. Rev. Mater. Res. 2017, 47, 83–114. [Google Scholar] [CrossRef]
- Liu, B.; Li, X. Noise transmission and absorption of lightweight structures: An overview and experience. In Proceedings of the 26th International Congress on Sound and Vibration, Montreal, QC, Canada, 7–13 July 2019. [Google Scholar]
- Callaway, D.B. The Use of Perforated Facings in Designing Low Frequency Resonant Absorbers. J. Acoust. Soc. Am. 1952, 24, 309–312. [Google Scholar] [CrossRef]
- Davern, W. Perforated facings backed with porous materials as sound absorbers—An experimental study. Appl. Acoust. 1977, 10, 85–112. [Google Scholar] [CrossRef]
- Allard, J.F.; Atalla, N. Porous Materials with Perforated Facings; Wiley: Hoboken, NJ, USA, 2009; pp. 187–212. [Google Scholar]
- Maa, D.Y. Theory and design of microperforated panel sound absorbing constructions. Science 1975, xviii, 55–71. [Google Scholar]
- Maa, D.-Y. Potential of microperforated panel absorber. J. Acoust. Soc. Am. 1998, 104, 2861–2866. [Google Scholar] [CrossRef]
- Randeberg, R.T. Perforated Panel Absorbers with Viscous Energy Dissipation Enhanced by Orifice Design. Ph.D. Thesis, NTNU, Trondheim, Norway, 2000. [Google Scholar]
- Sakagami, K.; Morimoto, M.; Yairi, M.; Minemura, A. A pilot study on improving the absorptivity of a thick microperforated panel absorber. Appl. Acoust. 2008, 69, 179–182. [Google Scholar] [CrossRef] [Green Version]
- Lu, W.; Zhang, B.; Li, X. Study on Acoustic Characteristic of Micro-Perforated Panel with Variable Cross-Section. Noise Vib. Control 2009. [Google Scholar] [CrossRef]
- Li-Yan, H.E.; Xi-Zhi, H.U.; Chen, T. The Influence of Variable Section of Orifice on Sound Absorption Characteristics of Thick Microperforated Panel. Noise Vib. Control 2011, 30, 141–144. [Google Scholar]
- Zhihui, M.A. Pilot Study on Simulations of Micro-Perforated Panel with Variable Cross-Section. Audio Eng. 2014, 3811–3813. [Google Scholar]
- Qian, Y.J.; Cui, K.; Liu, S.M.; Li, Z.B.; Kong, D.Y.; Sun, S.M. Numerical study of the acoustic properties of micro-perforated panels with tapered hole. Noise Control Eng. J. 2014, 62, 152–159. [Google Scholar] [CrossRef]
- Jiang, C.-S.; Li, X.-H.; Cheng, W.-Y.; Luo, Y.; Xing, T. Acoustic impedance of microperforated plates with stepwise apertures. Appl. Acoust. 2020, 157, 106998. [Google Scholar] [CrossRef]
- Li, D.; Chang, D.; Liu, B. Enhancing the low frequency sound absorption of a perforated panel by parallel-arranged extended tubes. Appl. Acoust. 2016, 102, 126–132. [Google Scholar] [CrossRef]
- Peng, X.; Ji, J.; Jing, Y. Composite honeycomb metasurface panel for broadband sound absorption. J. Acoust. Soc. Am. 2018, 144, EL255–EL261. [Google Scholar] [CrossRef] [Green Version]
- Liu, C.R.; Wu, J.H.; Chen, X.; Ma, F. A thin low-frequency broadband metasurface with multi-order sound absorption. J. Phys. D Appl. Phys. 2019, 52, 105302. [Google Scholar] [CrossRef] [Green Version]
- Long, H.; Shao, C.; Liu, C.; Cheng, Y.; Liu, X. Broadband near-perfect absorption of low-frequency sound by subwavelength metasurface. Appl. Phys. Lett. 2019, 115, 103503. [Google Scholar] [CrossRef]
- Li, X.; Wu, Q.; Kang, L.; Liu, B. Design of Multiple Parallel-Arranged Perforated Panel Absorbers for Low Frequency Sound Absorption. Materials 2019, 12, 2099. [Google Scholar] [CrossRef] [Green Version]
- Chen, J.-S.; Chen, Y.-B.; Cheng, Y.-H.; Chou, L.-C. A sound absorption panel containing coiled Helmholtz resonators. Phys. Lett. A 2020, 384, 126887. [Google Scholar] [CrossRef]
- Guo, J.; Zhang, X.; Fang, Y.; Jiang, Z. Wideband low-frequency sound absorption by inhomogeneous multi-layer resonators with extended necks. Compos. Struct. 2021, 260, 113538. [Google Scholar] [CrossRef]
- Cha, X.; Jian, K.; Zhang, T.; Zhou, X.; Fuchs, H. Application approach for microperforated panel sound absorbers. Acta Acustica 1994, 19, 258–265. [Google Scholar]
- Wang, C.; Huang, L. On the acoustic properties of parallel arrangement of multiple micro-perforated panel absorbers with different cavity depths. J. Acoust. Soc. Am. 2011, 130, 208–218. [Google Scholar] [CrossRef] [Green Version]
- Uenishi, K.; Okuzono, T.; Sakagami, K. Finite element analysis of absorption characteristics of permeable membrane absorbers array. Acoust. Sci. Technol. 2017, 38, 322–325. [Google Scholar] [CrossRef]
- Okuzono, T.; Uenishi, K.; Sakagami, K. Experimental comparison of absorption characteristics of single-leaf permeable membrane absorbers with different backing air cavity designs. Noise Control Eng. J. 2020, 68, 237–245. [Google Scholar] [CrossRef]
- Wu, T.; Cox, T.J.; Lam, Y.W. A profiled structure with improved low frequency absorption. J. Acoust. Soc. Am. 2001, 110, 3064–3070. [Google Scholar] [CrossRef] [Green Version]
- Lee, D.; Kwon, Y. Estimation of the absorption performance of multiple layer perforated panel systems by transfer matrix method. J. Sound Vib. 2004, 278, 847–860. [Google Scholar] [CrossRef]
- Crandall, I.B. Theory of Vibrating Systems and Sound, 2nd ed.; D. Van Nostrand Company: New York, NY, USA, 1927. [Google Scholar]
- Ingard, U. On the Design of Acoustic Resonators. J. Acoust. Soc. Am. 1953, 25, 830. [Google Scholar] [CrossRef]
- ISO (10534-2). Acoustics–Determination of Sound Absorption Coefficient and Impedance in Impedance Tubes–Part 2: Transfer-Function Method; 2001. [Google Scholar]










| Parameters | PPSA1 | PPSA2 | PPSA3 |
|---|---|---|---|
| d(d1/d2) (mm) | 1.5/4 | 1.5/4 | 1.5/4 |
| t(t1/t2) (mm) | 1/1 | 1/1 | 1/1 |
| σ(σ1/σ2) (%) | 0.27/1.92 | 0.23/1.60 | 0.18/1.28 |
| D (mm) | 25 | 50 | 100 |
| Parameters | PPSA | Single PP1 | Single PP2 |
|---|---|---|---|
| d(d1/d2) (mm) | 1.5/3 | 3 | 1.5 |
| t(t1/t2) (mm) | 1/1 | 2 | 2 |
| σ(σ1/σ2) (%) | 0.21/0.81 | 1.02 | 1.02 |
| Parameters | PPSA | Single PP1 | Single PP2 |
|---|---|---|---|
| d(d1/d2) (mm) | 2/4 | 4 | 4 |
| t(t1/t2) (mm) | 2 | 7 | 2 |
| b (mm) | 39.6 | 39.6 | 39.6 |
| Parameters | PPSA Absorber Array |
Single PPSA
Absorber | |
|---|---|---|---|
| Sub-PPSA1 | Sub-PPSA2 | ||
| d(d1/d2) (mm) | 1.5/4 | 4 | 1.5/4 |
| t(t1/t2) (mm) | 1/1 | 1/1 | 1/1 |
| σ(σ1/σ2) (%) | 0.095/0.67 | 0.185/1.315 | 0.28/1.98 |
| Sample 1 Parameters | PPSA Absorber Array1 | Single PPSA Absorber1 | |
|---|---|---|---|
| Sub-PPSA1 | Sub-PPSA2 | ||
| d(d1/d2) (mm) | 1.8/3 | 1.8/3 | 1.8/3 |
| t(t1/t2) (mm) | 1/1 | 1/1 | 1/1 |
| σ(σ1/σ2) (%) | 0.095/0.27 | 0.195/0.54 | 0.29/0.81 |
| Sample 2 Parameters | PPSA absorber array2 | Single PPSA Absorber2 | |
| Sub-PPSA1 | Sub-PPSA2 | ||
| d(d1/d2) (mm) | 1.8/3.8 | 1.8/3.8 | 1.8/3.8 |
| t(t1/t2) (mm) | 1/1 | 1/1 | 1/1 |
| σ(σ1/σ2) (%) | 0.14/0.615 | 0.275/1.23 | 0.415/1.845 |
Publisher’s Note: MDPI stays neutral with regard to jurisdictional claims in published maps and institutional affiliations. |
© 2021 by the authors. Licensee MDPI, Basel, Switzerland. This article is an open access article distributed under the terms and conditions of the Creative Commons Attribution (CC BY) license (https://creativecommons.org/licenses/by/4.0/).
Share and Cite
Li, X.; Liu, B.; Qin, C. A Perforated Plate with Stepwise Apertures for Low Frequency Sound Absorption. Appl. Sci. 2021, 11, 6180. https://doi.org/10.3390/app11136180
Li X, Liu B, Qin C. A Perforated Plate with Stepwise Apertures for Low Frequency Sound Absorption. Applied Sciences. 2021; 11(13):6180. https://doi.org/10.3390/app11136180
Chicago/Turabian StyleLi, Xin, Bilong Liu, and Chong Qin. 2021. "A Perforated Plate with Stepwise Apertures for Low Frequency Sound Absorption" Applied Sciences 11, no. 13: 6180. https://doi.org/10.3390/app11136180
APA StyleLi, X., Liu, B., & Qin, C. (2021). A Perforated Plate with Stepwise Apertures for Low Frequency Sound Absorption. Applied Sciences, 11(13), 6180. https://doi.org/10.3390/app11136180
