From Femtoseconds to Hours—Measuring Dynamics over 18 Orders of Magnitude with Coherent X-rays
Abstract
1. Introduction
2. XPCS Concepts
2.1. Higher-Order Correlations

2.2. X-ray Speckle Visibility Spectroscopy
2.3. Double-Pulse XSVS
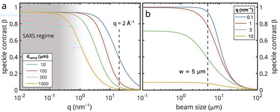
2.4. Coherence and Speckle Contrast
3. Experimental
3.1. Signal-to-Noise Ratio
3.2. Detectors
3.3. Experimental Parameters for XPCS Experiments
4. Studies
- Extension of XPCS from slow dynamics to milli- and microseconds for complex fluids;
- Studies of molecular and atomic length scales;
- XPCS and XSVS studies at FEL laser sources.
4.1. Towards Microsecond Real-Time XPCS at Storage-Ring Sources
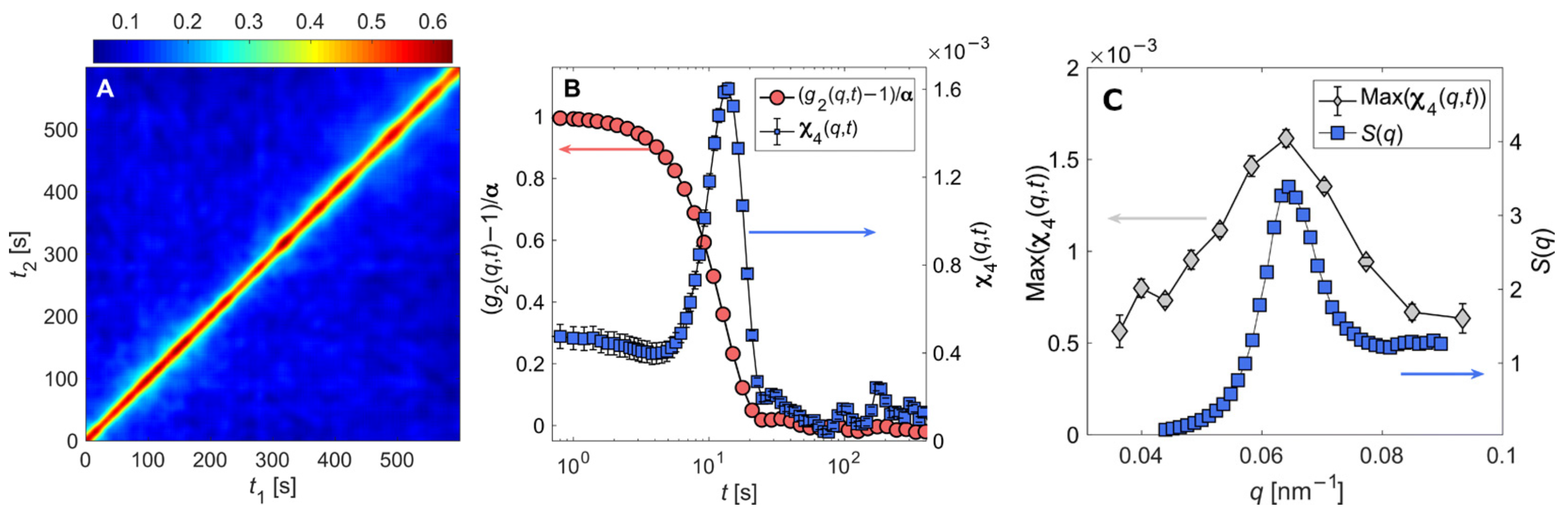
4.1.1. Dynamical Heterogeneities via Two-Times Correlations
4.1.2. Anisotropic Dynamics
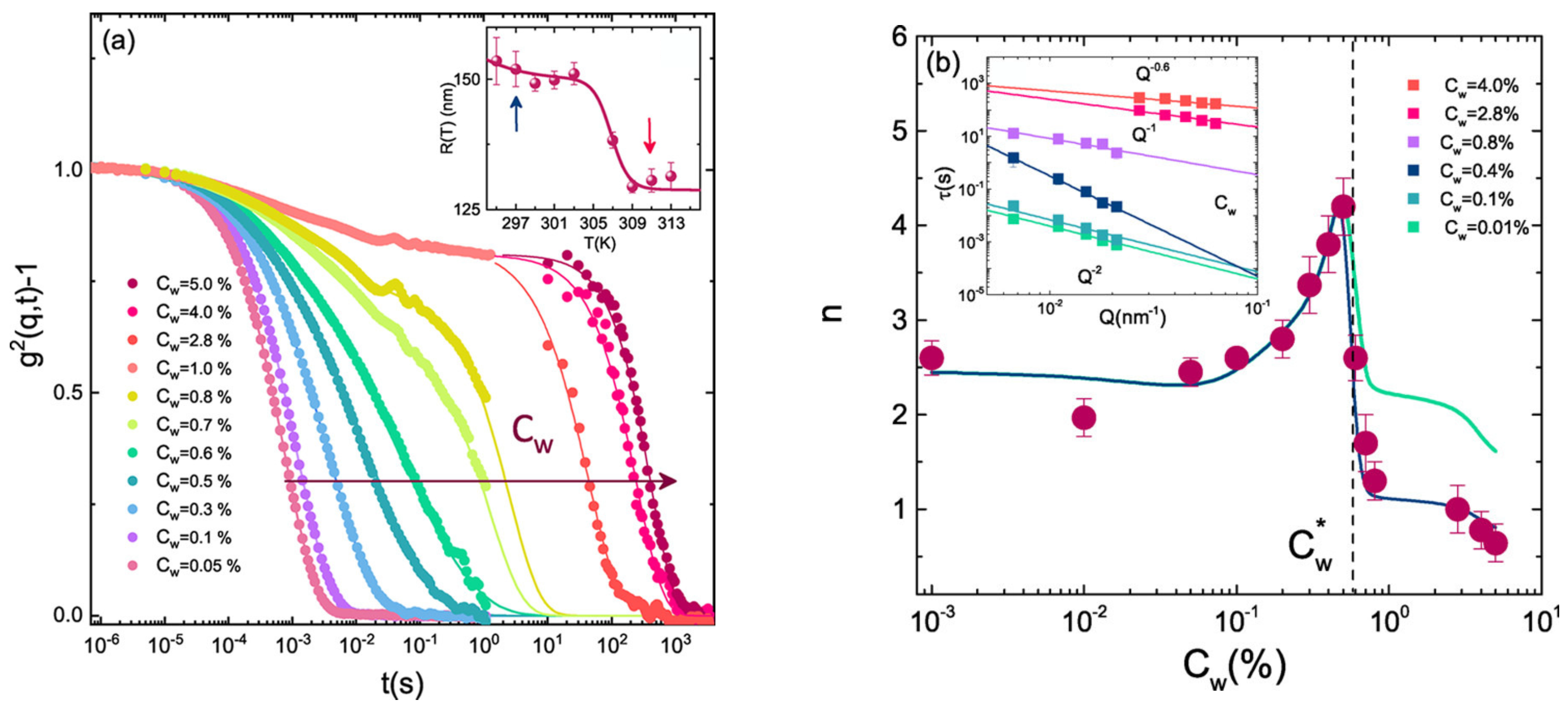
4.1.3. Kinetics during Gelation
4.1.4. Phase Behaviour of Soft Colloids
4.1.5. XSVS for Radiation-Sensitive Samples
4.1.6. Sub-Ms Relaxation Times and Beyond
4.2. XPCS at Free-Electron Laser Sources
- 1.
- Because of the exceptional high peak intensity the sample may be damaged after the first pulse.
- 2.
- 3.
- Typically, the full SASE beam without monochromator (pink beam) is used at FEL sources, making large q experiment impossible because the large bandwidth leads to very low speckle contrasts (see Figure 6).
4.2.1. Role of SASE Fluctuations
4.2.2. Sub-Microsecond Dynamics of Non-Equilibrium Dynamics
4.2.3. Femtosecond Dynamics by Pulse Length Variations
4.2.4. Split-And-Delay Lines
5. Future Opportunities
5.1. Dynamics on Intrinsic Length and Time Scales
5.2. Water-Based Soft Matter
5.3. High-Energy XPCS
5.4. Biological Samples
5.5. Structure-Dynamics Correlations
6. Conclusions
Author Contributions
Funding
Institutional Review Board Statement
Informed Consent Statement
Data Availability Statement
Acknowledgments
Conflicts of Interest
References
- Grübel, G.; Als-Nielsen, J.; Abernathy, D.; Vignaud, D.; Brauer, S.; Stephenson, G.B.; Mochrie, S.G.J.; Sutton, M.; Robinson, I.K.; Fleming, R.; et al. Scattering with Coherent X-rays. ESRF Newsl. 1994, 20, 14–15. [Google Scholar]
- Grübel, G.; Abernathy, D. Diffraction and correlation spectroscopy with coherent x-rays. In Coherent Electron Beam X-Ray Sources: Techniques and Applications; Freund, A.K., Freund, H.P., Howells, M.R., Eds.; Proceedings SPIE 3154: San Francisco, CA, USA, 1997. [Google Scholar] [CrossRef]
- Nugent, K.A. Coherent methods in the X-ray sciences. Adv. Phys. 2010, 59, 1–99. [Google Scholar] [CrossRef]
- Miao, J.; Sayre, D.; Chapman, H.N. Phase retrieval from the magnitude of the Fourier transforms of nonperiodic objects. J. Opt. Soc. Amer. A 1998, 15, 1662. [Google Scholar] [CrossRef]
- Robinson, I.K.; Vartanyants, I.A.; Williams, G.J.; Pfeifer, M.A.; Pitney, J.A. Reconstruction of the Shapes of Gold Nanocrystals Using Coherent X-ray Diffraction. Phys. Rev. Lett. 2001, 87, 195505. [Google Scholar] [CrossRef]
- Pfeiffer, F. X-ray ptychography. Nat. Photonics 2017, 12, 9–17. [Google Scholar] [CrossRef]
- Eriksson, M.; van der Veen, J.F.; Quitmann, C. Diffraction-limited storage rings—A window to the science of tomorrow. J. Synchrotron Radiat. 2014, 21, 837–842. [Google Scholar] [CrossRef]
- Hettel, R. DLSR design and plans: An international overview. J. Synchrotron Radiat. 2014, 21, 843–855. [Google Scholar] [CrossRef] [PubMed]
- Khubbutdinov, R.; Menushenkov, A.P.; Vartanyants, I.A. Coherence properties of the high-energy fourth-generation X-ray synchrotron sources. J. Synchrotron Radiat. 2019, 26, 1851–1862. [Google Scholar] [CrossRef] [PubMed]
- Grübel, G.; Zontone, F. Correlation spectroscopy with coherent X-rays. J. Alloys 2004, 362, 3–11. [Google Scholar] [CrossRef]
- Sutton, M. A review of X-ray intensity fluctuation spectroscopy. C. R. Phys. 2008, 9, 657–667. [Google Scholar] [CrossRef]
- Grübel, G.; Madsen, A.; Robert, A. X-ray Photon Correlation Spectroscopy (XPCS). In Soft Matter Characterization; Springer: Amsterdam, The Netherlands, 2008; pp. 953–995. [Google Scholar] [CrossRef]
- Shpyrko, O.G. X-ray photon correlation spectroscopy. J. Synchrotron Radiat. 2014, 21, 1057–1064. [Google Scholar] [CrossRef]
- Sinha, S.K.; Jiang, Z.; Lurio, L.B. X-ray Photon Correlation Spectroscopy Studies of Surfaces and Thin Films. Adv. Mater. 2014, 26, 7764–7785. [Google Scholar] [CrossRef]
- Leheny, R.L.; Rogers, M.C.; Chen, K.; Narayanan, S.; Harden, J.L. Rheo-XPCS. Curr. Opin. Colloid Interface Sci. 2015, 20, 261–271. [Google Scholar] [CrossRef]
- Nogales, A.; Fluerasu, A. X Ray Photon Correlation Spectroscopy for the study of polymer dynamics. Eur. Polym. J. 2016, 81, 494–504. [Google Scholar] [CrossRef]
- Zhang, Q.; Dufresne, E.M.; Sandy, A.R. Dynamics in hard condensed matter probed by X-ray photon correlation spectroscopy: Present and beyond. Curr. Opin. Solid State Mater. Sci. 2018, 22, 202–212. [Google Scholar] [CrossRef]
- Sandy, A.R.; Zhang, Q.; Lurio, L.B. Hard X-ray Photon Correlation Spectroscopy Methods for Materials Studies. Ann. Rev. Mater. Res. 2018, 48, 167–190. [Google Scholar] [CrossRef]
- Madsen, A.; Fluerasu, A.; Ruta, B. Structural Dynamics of Materials Probed by X-ray Photon Correlation Spectroscopy. In Synchrotron Light Sources and Free-Electron Lasers; Springer International Publishing: Berlin/Heidelberg, Germany, 2020; pp. 1989–2018. [Google Scholar] [CrossRef]
- Bruce, J. Berne, Robert Pecora, P. Dynamic Light Scattering: With Applications to Chemistry, Biology, and Physics; Dover Publications Inc.: New York, NY, USA, 2000. [Google Scholar]
- Brauer, S.; Stephenson, G.; Sutton, M.; Brüning, R.; Dufresne, E.; Mochrie, S.; Grübel, G.; Als-Nielsen, J.; Abernathy, D. X-ray Intensity Fluctuation Spectroscopy Observations of Critical Dynamics in Fe3Al. Phys. Rev. Lett. 1995, 74, 2010–2013. [Google Scholar] [CrossRef]
- Sutton, M.; Mochrie, S.G.J.; Greytak, T.; Nagler, S.E.; Berman, L.E.; Held, G.A.; Stephenson, G.B. Observation of speckle by diffraction with coherent X-rays. Nature 1991, 352, 608–610. [Google Scholar] [CrossRef]
- Grübel, G.; Als-Nielsen, J.; Freund, A.K. The TROIKA beamline at ESRF. J. Phys. IV 1994, 4, C9-27–C9-34. [Google Scholar] [CrossRef]
- Abernathy, D.L.; Grübel, G.; Brauer, S.; McNulty, I.; Stephenson, G.B.; Mochrie, S.G.J.; Sandy, A.R.; Mulders, N.; Sutton, M. Small-Angle X-ray Scattering Using Coherent Undulator Radiation at the ESRF. J. Synchrotron Radiat. 1998, 5, 37–47. [Google Scholar] [CrossRef]
- Sandy, A.R.; Lurio, L.B.; Mochrie, S.G.J.; Malik, A.; Stephenson, G.B.; Pelletier, J.F.; Sutton, M. Design and characterization of an undulator beamline optimized for small-angle coherent X-ray scattering at the Advanced Photon Source. J. Synchrotron Radiat. 1999, 6, 1174–1184. [Google Scholar] [CrossRef]
- Alonso-Mori, R.; Caronna, C.; Chollet, M.; Curtis, R.; Damiani, D.S.; Defever, J.; Feng, Y.; Flath, D.L.; Glownia, J.M.; Lee, S.; et al. The X-ray Correlation Spectroscopy instrument at the Linac Coherent Light Source. J. Synchrotron Radiat. 2015, 22, 508–513. [Google Scholar] [CrossRef] [PubMed]
- Madsen, A.; Hallmann, J.; Ansaldi, G.; Roth, T.; Lu, W.; Kim, C.; Boesenberg, U.; Zozulya, A.; Möller, J.; Shayduk, R.; et al. Materials Imaging and Dynamics (MID) instrument at the European X-ray Free-Electron Laser Facility. J. Synchrotron Radiat. 2021, 28. [Google Scholar] [CrossRef] [PubMed]
- Dierker, S.B.; Pindak, R.; Fleming, R.M.; Robinson, I.K.; Berman, L. X-ray Photon Correlation Spectroscopy Study of Brownian Motion of Gold Colloids in Glycerol. Phys. Rev. Lett. 1995, 75, 449–452. [Google Scholar] [CrossRef]
- Perakis, F.; Amann-Winkel, K.; Lehmkühler, F.; Sprung, M.; Mariedahl, D.; Sellberg, J.A.; Pathak, H.; Späh, A.; Cavalca, F.; Schlesinger, D.; et al. Diffusive dynamics during the high-to-low density transition in amorphous ice. Proc. Natl. Acad. Sci. USA 2017, 114, 8193–8198. [Google Scholar] [CrossRef] [PubMed]
- Perakis, F.; Camisasca, G.; Lane, T.J.; Späh, A.; Wikfeldt, K.T.; Sellberg, J.A.; Lehmkühler, F.; Pathak, H.; Kim, K.H.; Amann-Winkel, K.; et al. Coherent X-rays reveal the influence of cage effects on ultrafast water dynamics. Nat. Commun. 2018, 9, 1917. [Google Scholar] [CrossRef] [PubMed]
- Shinohara, Y.; Osaka, T.; Inoue, I.; Iwashita, T.; Dmowski, W.; Ryu, C.W.; Sarathchandran, Y.; Egami, T. Split-pulse X-ray photon correlation spectroscopy with seeded X-rays from X-ray laser to study atomic-level dynamics. Nat. Commun. 2020, 11, 6213. [Google Scholar] [CrossRef]
- Dallari, F.; Martinelli, A.; Caporaletti, F.; Sprung, M.; Grübel, G.; Monaco, G. Microscopic pathways for stress relaxation in repulsive colloidal glasses. Sci. Adv. 2020, 6, eaaz2982. [Google Scholar] [CrossRef]
- Steinrück, H.G.; Takacs, C.J.; Kim, H.K.; Mackanic, D.G.; Holladay, B.; Cao, C.; Narayanan, S.; Dufresne, E.M.; Chushkin, Y.; Ruta, B.; et al. Concentration and velocity profiles in a polymeric lithium-ion battery electrolyte. Energy Environ. Sci. 2020, 13, 4312–4321. [Google Scholar] [CrossRef]
- Lehmkühler, F.; Dallari, F.; Jain, A.; Sikorski, M.; Möller, J.; Frenzel, L.; Lokteva, I.; Mills, G.; Walther, M.; Sinn, H.; et al. Emergence of anomalous dynamics in soft matter probed at the European XFEL. Proc. Natl. Acad. Sci. USA 2020, 117, 24110–24116. [Google Scholar] [CrossRef]
- Jo, W.; Westermeier, F.; Rysov, R.; Leupold, O.; Schulz, F.; Tober, S.; Markmann, V.; Sprung, M.; Ricci, A.; Laurus, T.; et al. Nanosecond X-ray photon correlation spectroscopy using pulse time structure of a storage-ring source. IUCrJ 2021, 8, 124–130. [Google Scholar] [CrossRef] [PubMed]
- Vodnala, P.; Karunaratne, N.; Lurio, L.; Thurston, G.M.; Vega, M.; Gaillard, E.; Narayanan, S.; Sandy, A.; Zhang, Q.; Dufresne, E.M.; et al. Hard-sphere-like dynamics in highly concentrated alpha-crystallin suspensions. Phys. Rev. E 2018, 97, 020601. [Google Scholar] [CrossRef]
- Perakis, F.; Gutt, C. Towards molecular movies with X-ray photon correlation spectroscopy. Phys. Chem. Chem. Phys. 2020, 22, 19443–19453. [Google Scholar] [CrossRef] [PubMed]
- Begam, N.; Ragulskaya, A.; Girelli, A.; Rahmann, H.; Chandran, S.; Westermeier, F.; Reiser, M.; Sprung, M.; Zhang, F.; Gutt, C.; et al. Kinetics of Network Formation and Heterogeneous Dynamics of an Egg White Gel Revealed by Coherent X-ray Scattering. Phys. Rev. Lett. 2021, 126, 098001. [Google Scholar] [CrossRef] [PubMed]
- Girelli, A.; Rahmann, H.; Begam, N.; Ragulskaya, A.; Reiser, M.; Chandran, S.; Westermeier, F.; Sprung, M.; Zhang, F.; Gutt, C.; et al. Microscopic Dynamics of Liquid-Liquid Phase Separation and Domain Coarsening in a Protein Solution Revealed by X-ray Photon Correlation Spectroscopy. Phys. Rev. Lett. 2021, 126, 138004. [Google Scholar] [CrossRef] [PubMed]
- Ferreira, D.; Bachelard, R.; Guerin, W.; Kaiser, R.; Fouché, M. Connecting field and intensity correlations: The Siegert relation and how to test it. Amer. J. Phys. 2020, 88, 831–837. [Google Scholar] [CrossRef]
- Grübel, G.; Abernathy, D.L.; Riese, D.O.; Vos, W.L.; Wegdam, G.H. Dynamics of dense, charge-stabilized suspensions of colloidal silica studied by correlation spectroscopy with coherent X-rays. J. Appl. Crystallogr. 2000, 33, 424–427. [Google Scholar] [CrossRef]
- Riese, D.O.; Wegdam, G.H.; Vos, W.L.; Sprik, R.; Fenistein, D.; Bongaerts, J.H.H.; Grübel, G. Effective Screening of Hydrodynamic Interactions in Charged Colloidal Suspensions. Phys. Rev. Lett. 2000, 85, 5460–5463. [Google Scholar] [CrossRef]
- Robert, A.; Wagner, J.; Härtl, W.; Autenrieth, T.; Grübel, G. Dynamics in dense suspensions of charge-stabilized colloidal particles. Eur. Phys. J. E 2008, 25, 77–81. [Google Scholar] [CrossRef]
- Westermeier, F.; Fischer, B.; Roseker, W.; Grübel, G.; Nägele, G.; Heinen, M. Structure and short-time dynamics in concentrated suspensions of charged colloids. J. Chem. Phys. 2012, 137, 114504. [Google Scholar] [CrossRef]
- Madsen, A.; Leheny, R.L.; Guo, H.; Sprung, M.; Czakkel, O. Beyond simple exponential correlation functions and equilibrium dynamics in X-ray photon correlation spectroscopy. New J. Phys. 2010, 12, 055001. [Google Scholar] [CrossRef]
- Bikondoa, O. On the use of two-time correlation functions for X-ray photon correlation spectroscopy data analysis. J. Appl. Crystallogr. 2017, 50, 357–368. [Google Scholar] [CrossRef] [PubMed]
- Trappe, V.; Pitard, E.; Ramos, L.; Robert, A.; Bissig, H.; Cipelletti, L. Investigation of q-dependent dynamical heterogeneity in a colloidal gel by X-ray photon correlation spectroscopy. Phys. Rev. E 2007, 76, 051404. [Google Scholar] [CrossRef] [PubMed]
- Schroer, C.; Röhlsberger, R.; Weckert, E.; Wanzenberg, R.; Agapov, I.; Brinkmann, R.; Leemans, W. (Eds.) PETRA IV: Upgrade of PETRA III to the Ultimate 3D X-ray Microscope—Conceptual Design Reoprt (CDR); Deutsches Elektronen-Synchrotron, DESY: Hamburg, Germany, 2019. [Google Scholar] [CrossRef]
- Bandyopadhyay, R.; Gittings, A.S.; Suh, S.S.; Dixon, P.K.; Durian, D.J. Speckle-visibility spectroscopy: A tool to study time-varying dynamics. Rev. Sci. Instrum. 2005, 76, 093110. [Google Scholar] [CrossRef]
- Inoue, I.; Shinohara, Y.; Watanabe, A.; Amemiya, Y. Effect of shot noise on X-ray speckle visibility spectroscopy. Opt. Express 2012, 20, 26878. [Google Scholar] [CrossRef]
- DeCaro, C.; Karunaratne, V.N.; Bera, S.; Lurio, L.B.; Sandy, A.R.; Narayanan, S.; Sutton, M.; Winans, J.; Duffin, K.; Lehuta, J.; et al. X-ray speckle visibility spectroscopy in the single-photon limit. J. Synchrotron Radiat. 2013, 20, 332–338. [Google Scholar] [CrossRef]
- Li, L.; Kwaśniewski, P.; Orsi, D.; Wiegart, L.; Cristofolini, L.; Caronna, C.; Fluerasu, A. Photon statistics and speckle visibility spectroscopy with partially coherent X-rays. J. Synchrotron Radiat. 2014, 21, 1288–1295. [Google Scholar] [CrossRef]
- Düsterer, S.; Radcliffe, P.; Bostedt, C.; Bozek, J.; Cavalieri, A.L.; Coffee, R.; Costello, J.T.; Cubaynes, D.; DiMauro, L.F.; Ding, Y.; et al. Femtosecond X-ray pulse length characterization at the Linac Coherent Light Source free-electron laser. New J. Phys. 2011, 13, 093024. [Google Scholar] [CrossRef]
- Inubushi, Y.; Tono, K.; Togashi, T.; Sato, T.; Hatsui, T.; Kameshima, T.; Togawa, K.; Hara, T.; Tanaka, T.; Tanaka, H.; et al. Determination of the Pulse Duration of an X-ray Free Electron Laser Using Highly Resolved Single-Shot Spectra. Phys. Rev. Lett. 2012, 109, 144801. [Google Scholar] [CrossRef]
- Behrens, C.; Decker, F.J.; Ding, Y.; Dolgashev, V.A.; Frisch, J.; Huang, Z.; Krejcik, P.; Loos, H.; Lutman, A.; Maxwell, T.J.; et al. Few-femtosecond time-resolved measurements of X-ray free-electron lasers. Nat. Commun. 2014, 5, 3762. [Google Scholar] [CrossRef]
- Gutt, C.; Stadler, L.M.; Duri, A.; Autenrieth, T.; Leupold, O.; Chushkin, Y.; Grübel, G. Measuring temporal speckle correlations at ultrafast X-ray sources. Opt. Express 2009, 17, 55. [Google Scholar] [CrossRef]
- Roseker, W.; Hruszkewycz, S.O.; Lehmkühler, F.; Walther, M.; Schulte-Schrepping, H.; Lee, S.; Osaka, T.; Strüder, L.; Hartmann, R.; Sikorski, M.; et al. Towards ultrafast dynamics with split-pulse X-ray photon correlation spectroscopy at free electron laser sources. Nat. Commun. 2018, 9, 1704. [Google Scholar] [CrossRef] [PubMed]
- Lee, S.; Jo, W.; Wi, H.S.; Gutt, C.; Lee, G.W. Resolving high-speed colloidal dynamics beyond detector response time via two pulse speckle contrast correlation. Opt. Express 2014, 22, 21567. [Google Scholar] [CrossRef] [PubMed]
- Hruszkewycz, S.O.; Sutton, M.; Fuoss, P.H.; Adams, B.; Rosenkranz, S.; Ludwig, K.F.; Roseker, W.; Fritz, D.; Cammarata, M.; Zhu, D.; et al. High Contrast X-ray Speckle from Atomic-Scale Order in Liquids and Glasses. Phys. Rev. Lett. 2012, 109, 185502. [Google Scholar] [CrossRef] [PubMed]
- Vartanyants, I.A.; Singer, A.; Mancuso, A.P.; Yefanov, O.M.; Sakdinawat, A.; Liu, Y.; Bang, E.; Williams, G.J.; Cadenazzi, G.; Abbey, B.; et al. Coherence Properties of Individual Femtosecond Pulses of an X-ray Free-Electron Laser. Phys. Rev. Lett. 2011, 107, 144801. [Google Scholar] [CrossRef] [PubMed]
- Goodman, J. Speckle Phenomena in Optics: Theory and Applications; Roberts & Co: Englewood, CO, USA, 2007. [Google Scholar]
- Lumma, D.; Lurio, L.B.; Mochrie, S.G.J.; Sutton, M. Area detector based photon correlation in the regime of short data batches: Data reduction for dynamic X-ray scattering. Rev. Sci. Instrum. 2000, 71, 3274–3289. [Google Scholar] [CrossRef]
- Falus, P.; Lurio, L.B.; Mochrie, S.G.J. Optimizing the signal-to-noise ratio for X-ray photon correlation spectroscopy. J. Synchrotron Radiat. 2006, 13, 253–259. [Google Scholar] [CrossRef]
- Möller, J.; Sprung, M.; Madsen, A.; Gutt, C. X-ray photon correlation spectroscopy of protein dynamics at nearly diffraction-limited storage rings. IUCrJ 2019, 6, 794–803. [Google Scholar] [CrossRef]
- Verwohlt, J.; Reiser, M.; Randolph, L.; Matic, A.; Medina, L.A.; Madsen, A.; Sprung, M.; Zozulya, A.; Gutt, C. Low Dose X-ray Speckle Visibility Spectroscopy Reveals Nanoscale Dynamics in Radiation Sensitive Ionic Liquids. Phys. Rev. Lett. 2018, 120, 168001. [Google Scholar] [CrossRef]
- Bandyopadhyay, R.; Liang, D.; Yardimci, H.; Sessoms, D.A.; Borthwick, M.A.; Mochrie, S.G.J.; Harden, J.L.; Leheny, R.L. Evolution of Particle-Scale Dynamics in an Aging Clay Suspension. Phys. Rev. Lett. 2004, 93, 228302. [Google Scholar] [CrossRef]
- Fluerasu, A.; Moussaïd, A.; Madsen, A.; Schofield, A. Slow dynamics and aging in colloidal gels studied by X-ray photon correlation spectroscopy. Phys. Rev. E 2007, 76, 010401. [Google Scholar] [CrossRef]
- Akcora, P.; Kumar, S.K.; Moll, J.; Lewis, S.; Schadler, L.S.; Li, Y.; Benicewicz, B.C.; Sandy, A.; Narayanan, S.; Ilavsky, J.; et al. “Gel-like” Mechanical Reinforcement in Polymer Nanocomposite Melts. Macromolecules 2010, 43, 1003–1010. [Google Scholar] [CrossRef]
- Angelini, R.; Zaccarelli, E.; de Melo Marques, F.A.; Sztucki, M.; Fluerasu, A.; Ruocco, G.; Ruzicka, B. Glass–glass transition during aging of a colloidal clay. Nat. Commun. 2014, 5, 4049. [Google Scholar] [CrossRef]
- de Melo Marques, F.A.; Angelini, R.; Zaccarelli, E.; Farago, B.; Ruta, B.; Ruocco, G.; Ruzicka, B. Structural and microscopic relaxations in a colloidal glass. Soft Matter 2015, 11, 466–471. [Google Scholar] [CrossRef]
- Mangal, R.; Srivastava, S.; Narayanan, S.; Archer, L.A. Size-Dependent Particle Dynamics in Entangled Polymer Nanocomposites. Langmuir 2016, 32, 596–603. [Google Scholar] [CrossRef]
- Senses, E.; Narayanan, S.; Mao, Y.; Faraone, A. Nanoscale Particle Motion in Attractive Polymer Nanocomposites. Phys. Rev. Lett. 2017, 119, 237801. [Google Scholar] [CrossRef] [PubMed]
- Kim, H.; Rühm, A.; Lurio, L.B.; Basu, J.K.; Lal, J.; Lumma, D.; Mochrie, S.G.J.; Sinha, S.K. Surface Dynamics of Polymer Films. Phys. Rev. Lett. 2003, 90, 068302. [Google Scholar] [CrossRef]
- Sikharulidze, I.; Dolbnya, I.P.; Fera, A.; Madsen, A.; Ostrovskii, B.I.; de Jeu, W.H. Smectic Membranes in Motion: Approaching the Fast Limits of X-ray Photon Correlation Spectroscopy. Phys. Rev. Lett. 2002, 88, 115503. [Google Scholar] [CrossRef] [PubMed]
- Madsen, A.; Als-Nielsen, J.; Grübel, G. Viscosity of a Liquid Crystal near the Nematic–SmecticAPhase Transition. Phys. Rev. Lett. 2003, 90, 085701. [Google Scholar] [CrossRef] [PubMed]
- Madsen, A.; Seydel, T.; Sprung, M.; Gutt, C.; Tolan, M.; Grübel, G. Capillary Waves at the Transition from Propagating to Overdamped Behavior. Phys. Rev. Lett. 2004, 92, 096104. [Google Scholar] [CrossRef] [PubMed]
- Seydel, T.; Madsen, A.; Tolan, M.; Grübel, G.; Press, W. Capillary waves in slow motion. Phys. Rev. B 2001, 63, 073409. [Google Scholar] [CrossRef]
- Westermeier, F.; Autenrieth, T.; Gutt, C.; Leupold, O.; Duri, A.; Menzel, A.; Johnson, I.; Broennimann, C.; Grübel, G. Fast two-dimensional detection for X-ray photon correlation spectroscopy using the PILATUS detector. J. Synchrotron Radiat. 2009, 16, 687–689. [Google Scholar] [CrossRef]
- Rumaiz, A.K.; Siddons, D.P.; Deptuch, G.; Maj, P.; Kuczewski, A.J.; Carini, G.A.; Narayanan, S.; Dufresne, E.M.; Sandy, A.; Bradford, R.; et al. First experimental feasibility study of VIPIC: A custom-made detector for X-ray speckle measurements. J. Synchrotron Radiat. 2016, 23, 404–409. [Google Scholar] [CrossRef]
- Zhang, Q.; Dufresne, E.M.; Grybos, P.; Kmon, P.; Maj, P.; Narayanan, S.; Deptuch, G.W.; Szczygiel, R.; Sandy, A. Submillisecond X-ray photon correlation spectroscopy from a pixel array detector with fast dual gating and no readout dead-time. J. Synchrotron Radiat. 2016, 23, 679–684. [Google Scholar] [CrossRef] [PubMed]
- Zhang, Q.; Dufresne, E.M.; Narayanan, S.; Maj, P.; Koziol, A.; Szczygiel, R.; Grybos, P.; Sutton, M.; Sandy, A.R. Sub-microsecond-resolved multi-speckle X-ray photon correlation spectroscopy with a pixel array detector. J. Synchrotron Radiat. 2018, 25, 1408–1416. [Google Scholar] [CrossRef] [PubMed]
- Poikela, T.; Plosila, J.; Westerlund, T.; Campbell, M.; Gaspari, M.D.; Llopart, X.; Gromov, V.; Kluit, R.; van Beuzekom, M.; Zappon, F.; et al. Timepix3: A 65K channel hybrid pixel readout chip with simultaneous ToA/ToT and sparse readout. J. Instrum. 2014, 9, C05013. [Google Scholar] [CrossRef]
- Radicci, V.; Bergamaschi, A.; Dinapoli, R.; Greiffenberg, D.; Henrich, B.; Johnson, I.; Mozzanica, A.; Schmitt, B.; Shi, X. EIGERa new single photon counting detector for X-ray applications: Performance of the chip. J. Instrum. 2012, 7, C02019. [Google Scholar] [CrossRef][Green Version]
- Johnson, I.; Bergamaschi, A.; Buitenhuis, J.; Dinapoli, R.; Greiffenberg, D.; Henrich, B.; Ikonen, T.; Meier, G.; Menzel, A.; Mozzanica, A.; et al. Capturing dynamics with Eiger, a fast-framing X-ray detector. J. Synchrotron Radiat. 2012, 19, 1001–1005. [Google Scholar] [CrossRef]
- Zinn, T.; Homs, A.; Sharpnack, L.; Tinti, G.; Fröjdh, E.; Douissard, P.A.; Kocsis, M.; Möller, J.; Chushkin, Y.; Narayanan, T. Ultra-small-angle X-ray photon correlation spectroscopy using the Eiger detector. J. Synchrotron Radiat. 2018, 25, 1753–1759. [Google Scholar] [CrossRef]
- Pennicard, D.; Lange, S.; Smoljanin, S.; Becker, J.; Hirsemann, H.; Epple, M.; Graafsma, H. Development of LAMBDA: Large Area Medipix-Based Detector Array. J. Instrum. 2011, 6, C11009. [Google Scholar] [CrossRef]
- Ponchut, C.; Rigal, J.M.; Clément, J.; Papillon, E.; Homs, A.; Petitdemange, S. MAXIPIX, a fast readout photon-counting X-ray area detector for synchrotron applications. J. Instrum. 2011, 6, C01069. [Google Scholar] [CrossRef]
- Schavkan, A.; Westermeier, F.; Zozulya, A.; Bondarenko, S.; Grübel, G.; Schroer, C.; Sprung, M. Using the MAXIPIX detector for coherent X-ray scattering applications. J. Phys. Conf. Ser. 2013, 425, 202004. [Google Scholar] [CrossRef]
- Zhang, Q.; Dufresne, E.M.; Nakaye, Y.; Jemian, P.R.; Sakumura, T.; Sakuma, Y.; Ferrara, J.D.; Maj, P.; Hassan, A.; Bahadur, D.; et al. 20 μs-resolved high-throughput X-ray photon correlation spectroscopy on a 500k pixel detector enabled by data-management workflow. J. Synchrotron Radiat. 2021, 28, 259–265. [Google Scholar] [CrossRef]
- Nakaye, Y.; Sakumura, T.; Sakuma, Y.; Mikusu, S.; Dawiec, A.; Orsini, F.; Grybos, P.; Szczygiel, R.; Maj, P.; Ferrara, J.D.; et al. Characterization and performance evaluation of the XSPA-500k detector using synchrotron radiation. J. Synchrotron Radiat. 2021, 28, 439–447. [Google Scholar] [CrossRef]
- Sydor Technologies. Keck-PAD Brochure. Available online: https://sydortechnologies.com/direct-detectors/sydor-keck-pad/ (accessed on 25 June 2021).
- X-Spectrum. SPARTA: The High-Speed AGIDP-Based X-ray Detector. Available online: https://x-spectrum.de/products/sparta/ (accessed on 25 June 2021).
- Allahgholi, A.; Becker, J.; Delfs, A.; Dinapoli, R.; Goettlicher, P.; Greiffenberg, D.; Henrich, B.; Hirsemann, H.; Kuhn, M.; Klanner, R.; et al. The Adaptive Gain Integrating Pixel Detector at the European XFEL. J. Synchrotron Radiat. 2019, 26, 74–82. [Google Scholar] [CrossRef] [PubMed]
- Sikorski, M.; Feng, Y.; Song, S.; Zhu, D.; Carini, G.; Herrmann, S.; Nishimura, K.; Hart, P.; Robert, A. Application of an ePix100 detector for coherent scattering using a hard X-ray free-electron laser. J. Synchrotron Radiat. 2016, 23, 1171–1179. [Google Scholar] [CrossRef] [PubMed]
- Kameshima, T.; Ono, S.; Kudo, T.; Ozaki, K.; Kirihara, Y.; Kobayashi, K.; Inubushi, Y.; Yabashi, M.; Horigome, T.; Holland, A.; et al. Development of an X-ray pixel detector with multi-port charge-coupled device for X-ray free-electron laser experiments. Rev. Sci. Instrum. 2014, 85, 033110. [Google Scholar] [CrossRef] [PubMed]
- Sandy, A.R.; Narayanan, S.; Sprung, M.; Su, J.D.; Evans-Lutterodt, K.; Isakovic, A.F.; Stein, A. Kinoform optics applied to X-ray photon correlation spectroscopy. J. Synchrotron Radiat. 2010, 17, 314–320. [Google Scholar] [CrossRef]
- Zozulya, A.V.; Bondarenko, S.; Schavkan, A.; Westermeier, F.; Grübel, G.; Sprung, M. Microfocusing transfocator for 1D and 2D compound refractive lenses. Opt. Express 2012, 20, 18967. [Google Scholar] [CrossRef]
- Jiang, Z.; Li, X.; Strzalka, J.; Sprung, M.; Sun, T.; Sandy, A.R.; Narayanan, S.; Lee, D.R.; Wang, J. The dedicated high-resolution grazing-incidence X-ray scattering beamline 8-ID-E at the Advanced Photon Source. J. Synchrotron Radiat. 2012, 19, 627–636. [Google Scholar] [CrossRef]
- Wiegart, L.; Chubar, O.; Fluerasu, A.; Rakitin, M.S. X-ray optical simulations supporting advanced commissioning of the coherent hard X-ray beamline at NSLS-II. In Advances in Computational Methods for X-ray Optics IV; Sawhney, K., Chubar, O., Eds.; Proceedings SPIE 10388: San Diego, CA, USA, 2017. [Google Scholar] [CrossRef]
- Möller, J.; Chushkin, Y.; Prevost, S.; Narayanan, T. Multi-speckle X-ray photon correlation spectroscopy in the ultra-small-angle X-ray scattering range. J. Synchrotron Radiat. 2016, 23, 929–936. [Google Scholar] [CrossRef] [PubMed]
- Shpyrko, O.G.; Isaacs, E.D.; Logan, J.M.; Feng, Y.; Aeppli, G.; Jaramillo, R.; Kim, H.C.; Rosenbaum, T.F.; Zschack, P.; Sprung, M.; et al. Direct measurement of antiferromagnetic domain fluctuations. Nature 2007, 447, 68–71. [Google Scholar] [CrossRef] [PubMed]
- Leitner, M.; Sepiol, B.; Stadler, L.M.; Pfau, B.; Vogl, G. Atomic diffusion studied with coherent X-rays. Nat. Mater. 2009, 8, 717–720. [Google Scholar] [CrossRef] [PubMed]
- Ruta, B.; Chushkin, Y.; Monaco, G.; Cipelletti, L.; Pineda, E.; Bruna, P.; Giordano, V.M.; Gonzalez-Silveira, M. Atomic-Scale Relaxation Dynamics and Aging in a Metallic Glass Probed by X-ray Photon Correlation Spectroscopy. Phys. Rev. Lett. 2012, 109, 165701. [Google Scholar] [CrossRef]
- Orsi, D.; Cristofolini, L.; Baldi, G.; Madsen, A. Heterogeneous and Anisotropic Dynamics of a 2D Gel. Phys. Rev. Lett. 2012, 108, 105701. [Google Scholar] [CrossRef] [PubMed]
- Jain, A.; Schulz, F.; Lokteva, I.; Frenzel, L.; Grübel, G.; Lehmkühler, F. Anisotropic and heterogeneous dynamics in an aging colloidal gel. Soft Matter 2020, 16, 2864–2872. [Google Scholar] [CrossRef]
- Ehrburger-Dolle, F.; Morfin, I.; Bley, F.; Livet, F.; Heinrich, G.; Chushkin, Y.; Sutton, M. Anisotropic and heterogeneous dynamics in stretched elastomer nanocomposites. Soft Matter 2019, 15, 3796–3806. [Google Scholar] [CrossRef]
- Kwaśniewski, P.; Fluerasu, A.; Madsen, A. Anomalous dynamics at the hard-sphere glass transition. Soft Matter 2014, 10, 8698–8704. [Google Scholar] [CrossRef]
- Conrad, H.; Lehmkühler, F.; Fischer, B.; Westermeier, F.; Schroer, M.A.; Chushkin, Y.; Gutt, C.; Sprung, M.; Grübel, G. Correlated heterogeneous dynamics in glass-forming polymers. Phys. Rev. E 2015, 91, 042309. [Google Scholar] [CrossRef]
- Hoshino, T.; Fujinami, S.; Nakatani, T.; Kohmura, Y. Dynamical Heterogeneity near Glass Transition Temperature under Shear Conditions. Phys. Rev. Lett. 2020, 124, 118004. [Google Scholar] [CrossRef]
- Xu, T.D.; Wang, X.D.; Cao, Q.P.; Zhang, D.X.; Jiang, J.Z. Aging Behaviors in a La-Based Metallic Glass Revealed by Two-Time Correlation Functions. J. Phys. Chem. C 2020, 124, 22753–22760. [Google Scholar] [CrossRef]
- Kim, K.H.; Späh, A.; Pathak, H.; Perakis, F.; Mariedahl, D.; Amann-Winkel, K.; Sellberg, J.A.; Lee, J.H.; Kim, S.; Park, J.; et al. Maxima in the thermodynamic response and correlation functions of deeply supercooled water. Science 2017, 358, 1589–1593. [Google Scholar] [CrossRef]
- Kim, K.H.; Amann-Winkel, K.; Giovambattista, N.; Späh, A.; Perakis, F.; Pathak, H.; Parada, M.L.; Yang, C.; Mariedahl, D.; Eklund, T.; et al. Experimental observation of the liquid–liquid transition in bulk supercooled water under pressure. Science 2020, 370, 978–982. [Google Scholar] [CrossRef] [PubMed]
- Pathak, H.; Späh, A.; Esmaeildoost, N.; Sellberg, J.A.; Kim, K.H.; Perakis, F.; Amann-Winkel, K.; Ladd-Parada, M.; Koliyadu, J.; Lane, T.J.; et al. Enhancement and maximum in the isobaric specific-heat capacity measurements of deeply supercooled water using ultrafast calorimetry. Proc. Natl. Acad. Sci. USA 2021, 118, e2018379118. [Google Scholar] [CrossRef] [PubMed]
- Johnson, K.J.; Wiegart, L.; Abbott, A.C.; Johnson, E.B.; Baur, J.W.; Koerner, H. In Operando Monitoring of Dynamic Recovery in 3D-Printed Thermoset Nanocomposites by XPCS. Langmuir 2019, 35, 8758–8768. [Google Scholar] [CrossRef] [PubMed]
- Yavitt, B.M.; Salatto, D.; Huang, Z.; Koga, Y.T.; Endoh, M.K.; Wiegart, L.; Poeller, S.; Petrash, S.; Koga, T. Revealing nanoscale dynamics during an epoxy curing reaction with X-ray photon correlation spectroscopy. J. Appl. Phys. 2020, 127, 114701. [Google Scholar] [CrossRef]
- Boucheron, L.S.; Stanley, J.T.; Dai, Y.; You, S.S.; Parzyck, C.T.; Narayanan, S.; Sandy, A.R.; Jiang, Z.; Meron, M.; Lin, B.; et al. Stress relaxation in quasi-two-dimensional self-assembled nanoparticle monolayers. Phys. Rev. E 2018, 97, 052803. [Google Scholar] [CrossRef] [PubMed]
- Chen, Y.; Rogers, S.A.; Narayanan, S.; Harden, J.L.; Leheny, R.L. Microscopic dynamics of stress relaxation in a nanocolloidal soft glass. Phys. Rev. Mater. 2020, 4, 035602. [Google Scholar] [CrossRef]
- Pal, A.; Zinn, T.; Kamal, M.A.; Narayanan, T.; Schurtenberger, P. Anomalous Dynamics of Magnetic Anisotropic Colloids Studied by XPCS. Small 2018, 14, 1802233. [Google Scholar] [CrossRef]
- Busch, S.; Jensen, T.H.; Chushkin, Y.; Fluerasu, A. Dynamics in shear flow studied by X-ray Photon Correlation Spectroscopy. Eur. Phys. J. E 2008, 26. [Google Scholar] [CrossRef]
- Möller, J.; Narayanan, T. Velocity Fluctuations in Sedimenting Brownian Particles. Phys. Rev. Lett. 2017, 118, 198001. [Google Scholar] [CrossRef]
- Lhermitte, J.R.M.; Rogers, M.C.; Manet, S.; Sutton, M. Velocity measurement by coherent X-ray heterodyning. Rev. Sci. Instrum. 2017, 88, 015112. [Google Scholar] [CrossRef]
- Harden, J.L.; Guo, H.; Bertrand, M.; Shendruk, T.N.; Ramakrishnan, S.; Leheny, R.L. Enhanced gel formation in binary mixtures of nanocolloids with short-range attraction. J. Chem. Phys. 2018, 148, 044902. [Google Scholar] [CrossRef]
- Lu, X.; Mochrie, S.G.J.; Narayanan, S.; Sandy, A.R.; Sprung, M. How a Liquid Becomes a Glass Both on Cooling and on Heating. Phys. Rev. Lett. 2008, 100, 045701. [Google Scholar] [CrossRef] [PubMed]
- Debenedetti, P.G.; Stillinger, F.H. Supercooled liquids and the glass transition. Nature 2001, 410, 259–267. [Google Scholar] [CrossRef] [PubMed]
- Zhang, Q.; Bahadur, D.; Dufresne, E.M.; Grybos, P.; Kmon, P.; Leheny, R.L.; Maj, P.; Narayanan, S.; Szczygiel, R.; Ramakrishnan, S.; et al. Dynamic Scaling of Colloidal Gel Formation at Intermediate Concentrations. Phys. Rev. Lett. 2017, 119, 178006. [Google Scholar] [CrossRef]
- Bahadur, D.; Zhang, Q.; Dufresne, E.M.; Grybos, P.; Kmon, P.; Leheny, R.L.; Maj, P.; Narayanan, S.; Szczygiel, R.; Swan, J.W.; et al. Evolution of structure and dynamics of thermo-reversible nanoparticle gels—A combined XPCS and rheology study. J. Chem. Phys. 2019, 151, 104902. [Google Scholar] [CrossRef]
- Hunter, G.L.; Weeks, E.R. The physics of the colloidal glass transition. Rep. Progr. Phys. 2012, 75, 066501. [Google Scholar] [CrossRef]
- Sirota, E.B.; Ou-Yang, H.D.; Sinha, S.K.; Chaikin, P.M.; Axe, J.D.; Fujii, Y. Complete phase diagram of a charged colloidal system: A synchrotron X-ray scattering study. Phys. Rev. Lett. 1989, 62, 1524–1527. [Google Scholar] [CrossRef] [PubMed]
- van Roij, R.; Dijkstra, M.; Hansen, J.P. Phase diagram of charge-stabilized colloidal suspensions: Van der Waals instability without attractive forces. Phys. Rev. E 1999, 59, 2010–2025. [Google Scholar] [CrossRef]
- Pàmies, J.C.; Cacciuto, A.; Frenkel, D. Phase diagram of Hertzian spheres. J. Chem. Phys. 2009, 131, 044514. [Google Scholar] [CrossRef] [PubMed]
- Yunker, P.J.; Chen, K.; Gratale, M.D.; Lohr, M.A.; Still, T.; Yodh, A.G. Physics in ordered and disordered colloidal matter composed of poly(N-isopropylacrylamide) microgel particles. Rep. Progr. Phys. 2014, 77, 056601. [Google Scholar] [CrossRef] [PubMed]
- Brijitta, J.; Schurtenberger, P. Responsive hydrogel colloids: Structure, interactions, phase behavior, and equilibrium and nonequilibrium transitions of microgel dispersions. Curr. Opin. Colloid Interface Sci. 2019, 40, 87–103. [Google Scholar] [CrossRef]
- Frenzel, L.; Lehmkühler, F.; Lokteva, I.; Narayanan, S.; Sprung, M.; Grübel, G. Anomalous Dynamics of Concentrated Silica-PNIPAm Nanogels. J. Phys. Chem. Lett. 2019, 10, 5231–5236. [Google Scholar] [CrossRef] [PubMed]
- Frenzel, L.; Lehmkühler, F.; Koof, M.; Lokteva, I.; Grübel, G. The phase diagram of colloidal silica–PNIPAm core–shell nanogels. Soft Matter 2020, 16, 466–475. [Google Scholar] [CrossRef]
- Frenzel, L.; Lokteva, I.; Koof, M.; Narayanan, S.; Grübel, G.; Lehmkühler, F. Influence of TMAO as co-solvent on the gelation of silica-PNIPAm core-shell nanogels at intermediate volume fractions. ChemPhysChem 2020, 21, 1318–1325. [Google Scholar] [CrossRef] [PubMed]
- Nigro, V.; Ruzicka, B.; Ruta, B.; Zontone, F.; Bertoldo, M.; Buratti, E.; Angelini, R. Relaxation Dynamics, Softness, and Fragility of Microgels with Interpenetrated Polymer Networks. Macromolecules 2020, 53, 1596–1603. [Google Scholar] [CrossRef]
- Nigro, V.; Angelini, R.; Bertoldo, M.; Ruzicka, B. Swelling of responsive-microgels: Experiments versus models. Colloids Surf. A 2017, 532, 389–396. [Google Scholar] [CrossRef]
- Mattsson, J.; Wyss, H.M.; Fernandez-Nieves, A.; Miyazaki, K.; Hu, Z.; Reichman, D.R.; Weitz, D.A. Soft colloids make strong glasses. Nature 2009, 462, 83–86. [Google Scholar] [CrossRef]
- Philippe, A.M.; Truzzolillo, D.; Galvan-Myoshi, J.; Dieudonné-George, P.; Trappe, V.; Berthier, L.; Cipelletti, L. Glass transition of soft colloids. Phys. Rev. E 2018, 97, 040601. [Google Scholar] [CrossRef]
- Möller, J.; Reiser, M.; Hallmann, J.; Boesenberg, U.; Zozulya, A.; Rahmann, H.; Becker, A.L.; Westermeier, F.; Zinn, T.; Zontone, F.; et al. Implications of disturbed photon-counting statistics of Eiger detectors for X-ray speckle visibility experiments. J. Synchrotron Radiat. 2019, 26, 1705–1715. [Google Scholar] [CrossRef] [PubMed]
- Chen, Y.; Rogers, S.A.; Narayanan, S.; Harden, J.L.; Leheny, R.L. Microscopic ergodicity breaking governs the emergence and evolution of elasticity in glass-forming nanoclay suspensions. Phys. Rev. E 2020, 102, 042619. [Google Scholar] [CrossRef]
- Sheyfer, D.; Zhang, Q.; Lal, J.; Loeffler, T.; Dufresne, E.; Sandy, A.; Narayanan, S.; Sankaranarayanan, S.; Szczygiel, R.; Maj, P.; et al. Nanoscale Critical Phenomena in a Complex Fluid Studied by X-ray Photon Correlation Spectroscopy. Phys. Rev. Lett. 2020, 125, 125504. [Google Scholar] [CrossRef] [PubMed]
- Emma, P.; Akre, R.; Arthur, J.; Bionta, R.; Bostedt, C.; Bozek, J.; Brachmann, A.; Bucksbaum, P.; Coffee, R.; Decker, F.J.; et al. First lasing and operation of an ångstrom-wavelength free-electron laser. Nat. Photonics 2010, 4, 641–647. [Google Scholar] [CrossRef]
- Bostedt, C.; Boutet, S.; Fritz, D.M.; Huang, Z.; Lee, H.J.; Lemke, H.T.; Robert, A.; Schlotter, W.F.; Turner, J.J.; Williams, G.J. Linac Coherent Light Source: The first five years. Rev. Modern Phys. 2016, 88, 015007. [Google Scholar] [CrossRef]
- Ishikawa, T.; Aoyagi, H.; Asaka, T.; Asano, Y.; Azumi, N.; Bizen, T.; Ego, H.; Fukami, K.; Fukui, T.; Furukawa, Y.; et al. A compact X-ray free-electron laser emitting in the sub-ångström region. Nat. Photonics 2012, 6, 540–544. [Google Scholar] [CrossRef]
- Kang, H.S.; Min, C.K.; Heo, H.; Kim, C.; Yang, H.; Kim, G.; Nam, I.; Baek, S.Y.; Choi, H.J.; Mun, G.; et al. Hard X-ray free-electron laser with femtosecond-scale timing jitter. Nat. Photonics 2017, 11, 708–713. [Google Scholar] [CrossRef]
- Prat, E.; Abela, R.; Aiba, M.; Alarcon, A.; Alex, J.; Arbelo, Y.; Arrell, C.; Arsov, V.; Bacellar, C.; Beard, C.; et al. A compact and cost-effective hard X-ray free-electron laser driven by a high-brightness and low-energy electron beam. Nat. Photonics 2020, 14, 748–754. [Google Scholar] [CrossRef]
- Decking, W.; Abeghyan, S.; Abramian, P.; Abramsky, A.; Aguirre, A.; Albrecht, C.; Alou, P.; Altarelli, M.; Altmann, P.; Amyan, K.; et al. A MHz-repetition-rate hard X-ray free-electron laser driven by a superconducting linear accelerator. Nat. Photonics 2020, 14, 391–397. [Google Scholar] [CrossRef]
- Singer, A.; Vartanyants, I.A.; Kuhlmann, M.; Duesterer, S.; Treusch, R.; Feldhaus, J. Transverse-Coherence Properties of the Free-Electron-Laser FLASH at DESY. Phys. Rev. Lett. 2008, 101, 254801. [Google Scholar] [CrossRef]
- Cho, D.; Yang, J.; soo Kim, S.; Nam, D.; Park, J.; Kim, S.; Tono, K.; Yabashi, M.; Ishikawa, T.; Song, C. Comparing the spatial coherence of the natural and focused X-rays from a free electron laser. Opt. Express 2019, 27, 19573. [Google Scholar] [CrossRef]
- Wodzinski, T.; Mehrjoo, M.; Ruiz-Lopez, M.; Keitel, B.; Kuhlmann, M.; Brachmanski, M.; Künzel, S.; Fajardo, M.; Plönjes, E. Single-shot transverse coherence measurements with Young’s double pinholes at FLASH2. J. Phys. Commun. 2020, 4, 075014. [Google Scholar] [CrossRef]
- Gutt, C.; Wochner, P.; Fischer, B.; Conrad, H.; Castro-Colin, M.; Lee, S.; Lehmkühler, F.; Steinke, I.; Sprung, M.; Roseker, W.; et al. Single Shot Spatial and Temporal Coherence Properties of the SLAC Linac Coherent Light Source in the Hard X-ray Regime. Phys. Rev. Lett. 2012, 108, 024801. [Google Scholar] [CrossRef]
- Lee, S.; Roseker, W.; Gutt, C.; Fischer, B.; Conrad, H.; Lehmkühler, F.; Steinke, I.; Zhu, D.; Lemke, H.; Cammarata, M.; et al. Single shot speckle and coherence analysis of the hard X-ray free electron laser LCLS. Opt. Express 2013, 21, 24647. [Google Scholar] [CrossRef] [PubMed][Green Version]
- Lehmkühler, F.; Gutt, C.; Fischer, B.; Schroer, M.A.; Sikorski, M.; Song, S.; Roseker, W.; Glownia, J.; Chollet, M.; Nelson, S.; et al. Single Shot Coherence Properties of the Free-Electron Laser SACLA in the Hard X-ray Regime. Sci. Rep. 2014, 4, 5234. [Google Scholar] [CrossRef] [PubMed]
- Yun, K.; Kim, S.; Kim, D.; Chung, M.; Jo, W.; Hwang, H.; Nam, D.; Kim, S.; Kim, J.; Park, S.Y.; et al. Coherence and pulse duration characterization of the PAL-XFEL in the hard X-ray regime. Sci. Rep. 2019, 9, 3300. [Google Scholar] [CrossRef] [PubMed]
- Grübel, G.; Stephenson, G.; Gutt, C.; Sinn, H.; Tschentscher, T. XPCS at the European X-ray free electron laser facility. Nucl. Instrum. Methods Phys. Res. Sect. B Beam Interact. Mater. At. 2007, 262, 357–367. [Google Scholar] [CrossRef]
- Lee, S.; Roseker, W.; Gutt, C.; Huang, Z.; Ding, Y.; Grübel, G.; Robert, A. High wavevector temporal speckle correlations at the Linac Coherent Light Source. Opt. Express 2012, 20, 9790. [Google Scholar] [CrossRef] [PubMed]
- Cao, Y.; Sheyfer, D.; Jiang, Z.; Maddali, S.; You, H.; Wang, B.X.; Ye, Z.G.; Dufresne, E.M.; Zhou, H.; Stephenson, G.B.; et al. The Effect of Intensity Fluctuations on Sequential X-ray Photon Correlation Spectroscopy at the X-ray Free Electron Laser Facilities. Crystals 2020, 10, 1109. [Google Scholar] [CrossRef]
- Grübel, G. X-ray Photon Correlation Spectroscopy at the European X-ray Free-Electron Laser (XFEL) facility. C. R. Phys. 2008, 9, 668–680. [Google Scholar] [CrossRef]
- Carnis, J.; Cha, W.; Wingert, J.; Kang, J.; Jiang, Z.; Song, S.; Sikorski, M.; Robert, A.; Gutt, C.; Chen, S.W.; et al. Demonstration of Feasibility of X-ray Free Electron Laser Studies of Dynamics of Nanoparticles in Entangled Polymer Melts. Sci. Rep. 2014, 4, 6017. [Google Scholar] [CrossRef]
- Lehmkühler, F.; Kwaśniewski, P.; Roseker, W.; Fischer, B.; Schroer, M.A.; Tono, K.; Katayama, T.; Sprung, M.; Sikorski, M.; Song, S.; et al. Sequential Single Shot X-ray Photon Correlation Spectroscopy at the SACLA Free Electron Laser. Sci. Rep. 2015, 5, 17193. [Google Scholar] [CrossRef] [PubMed]
- Tono, K.; Togashi, T.; Inubushi, Y.; Sato, T.; Katayama, T.; Ogawa, K.; Ohashi, H.; Kimura, H.; Takahashi, S.; Takeshita, K.; et al. Beamline, experimental stations and photon beam diagnostics for the hard X-ray free electron laser of SACLA. New J. Phys. 2013, 15, 083035. [Google Scholar] [CrossRef]
- Lehmkühler, F.; Valerio, J.; Sheyfer, D.; Roseker, W.; Schroer, M.A.; Fischer, B.; Tono, K.; Yabashi, M.; Ishikawa, T.; Grübel, G. Dynamics of soft nanoparticle suspensions at hard X-ray FEL sources below the radiation-damage threshold. IUCrJ 2018, 5, 801–807. [Google Scholar] [CrossRef] [PubMed]
- Mancuso, A.P.; Aquila, A.; Batchelor, L.; Bean, R.J.; Bielecki, J.; Borchers, G.; Doerner, K.; Giewekemeyer, K.; Graceffa, R.; Kelsey, O.D.; et al. The Single Particles, Clusters and Biomolecules and Serial Femtosecond Crystallography instrument of the European XFEL: Initial installation. J. Synchrotron Radiat. 2019, 26, 660–676. [Google Scholar] [CrossRef] [PubMed]
- Rings, D.; Selmke, M.; Cichos, F.; Kroy, K. Theory of Hot Brownian Motion. Soft Matter 2011, 7, 3441. [Google Scholar] [CrossRef]
- Reddy, S.K.; Straight, S.C.; Bajaj, P.; Pham, C.H.; Riera, M.; Moberg, D.R.; Morales, M.A.; Knight, C.; Götz, A.W.; Paesani, F. On the accuracy of the MB-pol many-body potential for water: Interaction energies, vibrational frequencies, and classical thermodynamic and dynamical properties from clusters to liquid water and ice. J. Chem. Phys. 2016, 145, 194504. [Google Scholar] [CrossRef]
- Abascal, J.L.F.; Vega, C. A general purpose model for the condensed phases of water: TIP4P/2005. J. Chem. Phys. 2005, 123, 234505. [Google Scholar] [CrossRef] [PubMed]
- Sun, Y.; Zhu, D.; Song, S.; Decker, F.J.; Sutton, M.; Ludwig, K.; Roseker, W.; Grübel, G.; Hruszkewycz, S.O.; Stephenson, B.; et al. Characterization of the LCLS “nanosecond two-bunch” mode for X-ray speckle visibility spectroscopy experiments. In Advances in X-ray Free-Electron Lasers Instrumentation IV; Tschentscher, T., Patthey, L., Eds.; Proceedings SPIE 10237: Prag, Czech Republic, 2017. [Google Scholar] [CrossRef]
- Seaberg, M.; Holladay, B.; Lee, J.; Sikorski, M.; Reid, A.; Montoya, S.; Dakovski, G.; Koralek, J.; Coslovich, G.; Moeller, S.; et al. Nanosecond X-ray Photon Correlation Spectroscopy on Magnetic Skyrmions. Phys. Rev. Lett. 2017, 119, 067403. [Google Scholar] [CrossRef] [PubMed]
- Osaka, T.; Yabashi, M.; Sano, Y.; Tono, K.; Inubushi, Y.; Sato, T.; Matsuyama, S.; Ishikawa, T.; Yamauchi, K. A Bragg beam splitter for hard X-ray free-electron lasers. Opt. Express 2013, 21, 2823. [Google Scholar] [CrossRef]
- Roling, S.; Zacharias, H.; Samoylova, L.; Sinn, H.; Tschentscher, T.; Chubar, O.; Buzmakov, A.; Schneidmiller, E.; Yurkov, M.; Siewert, F.; et al. Time-dependent wave front propagation simulation of a hard X-ray split-and-delay unit: Towards a measurement of the temporal coherence properties of X-ray free electron lasers. Phys. Rev. Spec. Top. Accel. Beams 2014, 17, 110705. [Google Scholar] [CrossRef]
- Roseker, W.; Franz, H.; Schulte-Schrepping, H.; Ehnes, A.; Leupold, O.; Zontone, F.; Robert, A.; Grübel, G. Performance of a picosecond X-ray delay line unit at 839 keV. Opt. Lett. 2009, 34, 1768. [Google Scholar] [CrossRef]
- Roseker, W.; Franz, H.; Schulte-Schrepping, H.; Ehnes, A.; Leupold, O.; Zontone, F.; Lee, S.; Robert, A.; Grübel, G. Development of a hard X-ray delay line for X-ray photon correlation spectroscopy and jitter-free pump–probe experiments at X-ray free-electron laser sources. J. Synchrotron Radiat. 2011, 18, 481–491. [Google Scholar] [CrossRef]
- Roseker, W.; Lee, S.; Walther, M.; Schulte-Schrepping, H.; Franz, H.; Gray, A.; Sikorski, M.; Fuoss, P.H.; Stephenson, G.B.; Robert, A.; et al. Hard X-ray delay line for X-ray photon correlation spectroscopy and jitter-free pump-probe experiments at LCLS. In X-ray Free-Electron Lasers: Beam Diagnostics, Beamline Instrumentation, and Applications; Moeller, S.P., Yabashi, M., Hau-Riege, S.P., Eds.; Proceedings SPIE 8504: San Diego, CA, USA, 2012. [Google Scholar] [CrossRef]
- Hirano, T.; Osaka, T.; Morioka, Y.; Sano, Y.; Inubushi, Y.; Togashi, T.; Inoue, I.; Matsuyama, S.; Tono, K.; Robert, A.; et al. Performance of a hard X-ray split-and-delay optical system with a wavefront division. J. Synchrotron Radiat. 2018, 25, 20–25. [Google Scholar] [CrossRef] [PubMed]
- Lu, W.; Friedrich, B.; Noll, T.; Zhou, K.; Hallmann, J.; Ansaldi, G.; Roth, T.; Serkez, S.; Geloni, G.; Madsen, A.; et al. Development of a hard X-ray split-and-delay line and performance simulations for two-color pump-probe experiments at the European XFEL. Rev. Sci. Instrum. 2018, 89, 063121. [Google Scholar] [CrossRef] [PubMed]
- Sun, Y.; Wang, N.; Song, S.; Sun, P.; Chollet, M.; Sato, T.; van Driel, T.B.; Nelson, S.; Plumley, R.; Montana-Lopez, J.; et al. Compact hard X-ray split-delay system based on variable-gap channel-cut crystals. Opt. Lett. 2019, 44, 2582. [Google Scholar] [CrossRef] [PubMed]
- Rysov, R.; Roseker, W.; Walther, M.; Grübel, G. Compact hard X-ray split-and-delay line for studying ultrafast dynamics at free-electron laser sources. J. Synchrotron Radiat. 2019, 26, 1052–1057. [Google Scholar] [CrossRef] [PubMed]
- Hua, N.; Zaluzhnyy, I.A.; Hrkac, S.B.; Shabalin, A.G.; Shpyrko, O.G. Extracting contrast in an X-ray speckle visibility spectroscopy experiment under imperfect conditions. J. Synchrotron Radiat. 2020, 27, 1626–1632. [Google Scholar] [CrossRef] [PubMed]
- Sun, Y.; Montana-Lopez, J.; Fuoss, P.; Sutton, M.; Zhu, D. Accurate contrast determination for X-ray speckle visibility spectroscopy. J. Synchrotron Radiat. 2020, 27, 999–1007. [Google Scholar] [CrossRef]
- Ihm, Y.; Cho, D.H.; Sung, D.; Nam, D.; Jung, C.; Sato, T.; Kim, S.; Park, J.; Kim, S.; Gallagher-Jones, M.; et al. Direct observation of picosecond melting and disintegration of metallic nanoparticles. Nat. Commun. 2019, 10, 2411. [Google Scholar] [CrossRef]
- Inoue, I.; Deguchi, Y.; Ziaja, B.; Osaka, T.; Abdullah, M.; Jurek, Z.; Medvedev, N.; Tkachenko, V.; Inubushi, Y.; Kasai, H.; et al. Atomic-Scale Visualization of Ultrafast Bond Breaking in X-ray-Excited Diamond. Phys. Rev. Lett. 2021, 126, 117403. [Google Scholar] [CrossRef] [PubMed]
- Husband, R.J.; McWilliams, R.S.; Pace, E.J.; Coleman, A.L.; Hwang, H.; Choi, J.; Kim, T.; Hwang, G.C.; Ball, O.B.; Chun, S.H.; et al. X-ray free electron laser heating of water and gold at high static pressure. Commun. Mater. 2021, 2, 61. [Google Scholar] [CrossRef]
- Weckert, E. The potential of future light sources to explore the structure and function of matter. IUCrJ 2015, 2, 230–245. [Google Scholar] [CrossRef] [PubMed]
- Raimondi, P. ESRF-EBS: The Extremely Brilliant Source Project. Synchrotron Radiat. News 2016, 29, 8–15. [Google Scholar] [CrossRef]
- Schroer, C.G.; Agapov, I.; Brefeld, W.; Brinkmann, R.; Chae, Y.C.; Chao, H.C.; Eriksson, M.; Keil, J.; Gavaldà, X.N.; Röhlsberger, R.; et al. PETRA IV: The ultralow-emittance source project at DESY. J. Synchrotron Radiat. 2018, 25, 1277–1290. [Google Scholar] [CrossRef]
- Caronna, C.; Chushkin, Y.; Madsen, A.; Cupane, A. Dynamics of Nanoparticles in a Supercooled Liquid. Phys. Rev. Lett. 2008, 100, 055702. [Google Scholar] [CrossRef]
- Guo, H.; Bourret, G.; Corbierre, M.K.; Rucareanu, S.; Lennox, R.B.; Laaziri, K.; Piche, L.; Sutton, M.; Harden, J.L.; Leheny, R.L. Nanoparticle Motion within Glassy Polymer Melts. Phys. Rev. Lett. 2009, 102, 075702. [Google Scholar] [CrossRef]
- Koga, T.; Jiang, N.; Gin, P.; Endoh, M.K.; Narayanan, S.; Lurio, L.B.; Sinha, S.K. Impact of an Irreversibly Adsorbed Layer on Local Viscosity of Nanoconfined Polymer Melts. Phys. Rev. Lett. 2011, 107, 225901. [Google Scholar] [CrossRef]
- Ruta, B.; Czakkel, O.; Chushkin, Y.; Pignon, F.; Nervo, R.; Zontone, F.; Rinaudo, M. Silica nanoparticles as tracers of the gelation dynamics of a natural biopolymer physical gel. Soft Matter 2014, 10, 4547. [Google Scholar] [CrossRef]
- Dattani, R.; Semeraro, E.F.; Narayanan, T. Phoretic motion of colloids in a phase separating medium. Soft Matter 2017, 13, 2817–2822. [Google Scholar] [CrossRef]
- Semeraro, E.F.; Dattani, R.; Narayanan, T. Microstructure and dynamics of Janus particles in a phase separating medium. J. Chem. Phys. 2018, 148, 014904. [Google Scholar] [CrossRef] [PubMed]
- Llopart, X.; Ballabriga, R.; Campbell, M.; Tlustos, L.; Wong, W. Timepix, a 65k programmable pixel readout chip for arrival time, energy and/or photon counting measurements. Nucl. Instruments Methods Phys. Res. Sect. 2007, 581, 485–494. [Google Scholar] [CrossRef]
- Amadei, F.; Thoma, J.; Czajor, J.; Kimmle, E.; Yamamoto, A.; Abuillan, W.; Konovalov, O.V.; Chushkin, Y.; Tanaka, M. Ion-Mediated Cross-linking of Biopolymers Confined at Liquid/Liquid Interfaces Probed by In Situ High-Energy Grazing Incidence X-ray Photon Correlation Spectroscopy. J. Phys. Chem. B 2020, 124, 8937–8942. [Google Scholar] [CrossRef] [PubMed]
- Nygård, K.; Buitenhuis, J.; Kagias, M.; Jefimovs, K.; Zontone, F.; Chushkin, Y. Anisotropic de Gennes Narrowing in Confined Fluids. Phys. Rev. Lett. 2016, 116, 167801. [Google Scholar] [CrossRef] [PubMed]
- Nygård, K.; Buitenhuis, J.; Kagias, M.; Jefimovs, K.; Zontone, F.; Chushkin, Y. Anisotropic hydrodynamic function of dense confined colloids. Phys. Rev. E 2017, 95, 062601. [Google Scholar] [CrossRef] [PubMed]
- Headrick, R.L.; Ulbrandt, J.G.; Myint, P.; Wan, J.; Li, Y.; Fluerasu, A.; Zhang, Y.; Wiegart, L.; Ludwig, K.F. Coherent X-ray measurement of step-flow propagation during growth on polycrystalline thin film surfaces. Nat. Commun. 2019, 10, 2638. [Google Scholar] [CrossRef] [PubMed]
- Ju, G.; Xu, D.; Highland, M.J.; Thompson, C.; Zhou, H.; Eastman, J.A.; Fuoss, P.H.; Zapol, P.; Kim, H.; Stephenson, G.B. Coherent X-ray spectroscopy reveals the persistence of island arrangements during layer-by-layer growth. Nat. Phys. 2019, 15, 589–594. [Google Scholar] [CrossRef]
- Lurio, L.B.; Thurston, G.M.; Zhang, Q.; Narayanan, S.; Dufresne, E.M. Use of continuous sample translation to reduce radiation damage for XPCS studies of protein diffusion. J. Synchrotron Radiat. 2021, 28. [Google Scholar] [CrossRef]
- Vodnala, P.; Karunaratne, N.; Bera, S.; Lurio, L.; Thurston, G.M.; Karonis, N.; Winans, J.; Sandy, A.; Narayanan, S.; Yasui, L.; et al. Radiation damage limits to XPCS studies of protein dynamics. Aip Conf. Proc. 2016, 1741, 050026. [Google Scholar] [CrossRef]
- Sanchez-Cano, C.; Alvarez-Puebla, R.A.; Abendroth, J.M.; Beck, T.; Blick, R.; Cao, Y.; Caruso, F.; Chakraborty, I.; Chapman, H.N.; Chen, C.; et al. X-ray-Based Techniques to Study the Nano–Bio Interface. ACS Nano 2021. [Google Scholar] [CrossRef]
- Tanaka, H.; Tong, H.; Shi, R.; Russo, J. Revealing key structural features hidden in liquids and glasses. Nat. Rev. Phys. 2019, 1, 333–348. [Google Scholar] [CrossRef]
- Wochner, P.; Gutt, C.; Autenrieth, T.; Demmer, T.; Bugaev, V.; Ortiz, A.D.; Duri, A.; Zontone, F.; Grübel, G.; Dosch, H. X-ray cross correlation analysis uncovers hidden local symmetries in disordered matter. Proc. Natl. Acad. Sci. USA 2009, 106, 11511–11514. [Google Scholar] [CrossRef] [PubMed]
- Lehmkühler, F.; Grübel, G.; Gutt, C. Detecting orientational order in model systems by X-ray cross-correlation methods. J. Appl. Cryst. 2014, 47, 1315–1323. [Google Scholar] [CrossRef]
- Zaluzhnyy, I.; Kurta, R.; Scheele, M.; Schreiber, F.; Ostrovskii, B.; Vartanyants, I. Angular X-ray Cross-Correlation Analysis (AXCCA): Basic Concepts and Recent Applications to Soft Matter and Nanomaterials. Materials 2019, 12, 3464. [Google Scholar] [CrossRef]
- Bikondoa, O.; Carbone, D. X-ray Photon Correlation Spectroscopy with Coherent Nanobeams: A Numerical Study. Crystals 2020, 10, 766. [Google Scholar] [CrossRef]
- Lehmkühler, F.; Hankiewicz, B.; Schroer, M.A.; Müller, L.; Ruta, B.; Sheyfer, D.; Sprung, M.; Tono, K.; Katayama, T.; Yabashi, M.; et al. Slowing down of dynamics and orientational order preceding crystallization in hard-sphere systems. Sci. Adv. 2020, 6, eabc5916. [Google Scholar] [CrossRef]













| Detector | Size (Pixels) | p (m) | f (kHz) | Beamlines | References |
|---|---|---|---|---|---|
| PI PIXIS | 1300 × 1340 | 20 | 0.001 | P10, XCS | |
| PILATUS 2M a | 1475 × 1679 | 172 | 0.01 / 0.1 | cSAXS (SLS) | [78] |
| Eiger 4M a | 2167 × 2070 | 75 | 0.75 | P10, CHX | [83,84] |
| Eiger 500k | 1030 × 514 | 75 | 9 / 22 | ID10, P10, ID02 | [83,84,85] |
| Lambda 750k a | 1536 × 512 | 55 | 1–23 | P10, 8-ID | [86] |
| Maxipix 2 × 2 a | 512 × 512 | 55 | 0.3 | ID10, P10 | [87,88] |
| XSPA-500k | 1024 × 512 | 76 | 56 / 1200 b | 8-ID | [81,89,90] |
| Keck-PAD | 512 × 512 | 150 | up to 10,000 c | [91] | |
| SPARTA | 128 × 512 | 200 | up to 6500 c | [92] | |
| Timepix3 | 256 × 256 | 55 | 2 d | [82] | |
| AGIPD 1M | 1024 × 1024 | 200 | 6500 | MID, SPB/SFX | [93] |
| ePix | 352 × 384 | 50 | 1 | XCS, XPP | [94] |
| MPCCD a | 1024 × 1024 | 50 | 0.06 | SACLA | [95] |
Publisher’s Note: MDPI stays neutral with regard to jurisdictional claims in published maps and institutional affiliations. |
© 2021 by the authors. Licensee MDPI, Basel, Switzerland. This article is an open access article distributed under the terms and conditions of the Creative Commons Attribution (CC BY) license (https://creativecommons.org/licenses/by/4.0/).
Share and Cite
Lehmkühler, F.; Roseker, W.; Grübel, G. From Femtoseconds to Hours—Measuring Dynamics over 18 Orders of Magnitude with Coherent X-rays. Appl. Sci. 2021, 11, 6179. https://doi.org/10.3390/app11136179
Lehmkühler F, Roseker W, Grübel G. From Femtoseconds to Hours—Measuring Dynamics over 18 Orders of Magnitude with Coherent X-rays. Applied Sciences. 2021; 11(13):6179. https://doi.org/10.3390/app11136179
Chicago/Turabian StyleLehmkühler, Felix, Wojciech Roseker, and Gerhard Grübel. 2021. "From Femtoseconds to Hours—Measuring Dynamics over 18 Orders of Magnitude with Coherent X-rays" Applied Sciences 11, no. 13: 6179. https://doi.org/10.3390/app11136179
APA StyleLehmkühler, F., Roseker, W., & Grübel, G. (2021). From Femtoseconds to Hours—Measuring Dynamics over 18 Orders of Magnitude with Coherent X-rays. Applied Sciences, 11(13), 6179. https://doi.org/10.3390/app11136179

