Minimum Representative Human Body Model Size Determination for Link Budget Calculation in Implanted Medical Devices
Abstract
:1. Introduction
2. Materials and Methods
2.1. Computational Modeling
2.2. Phantom Fabrication and Characterization Procedure
2.3. Characterization of Plane Wave Attenuation
3. Results
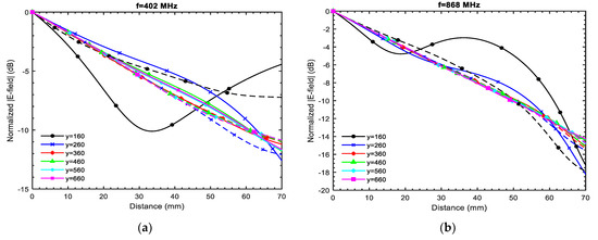
3.1. Computational Analysis to Determine the Optimum Phantom Size
3.2. Measurements and Model Validation
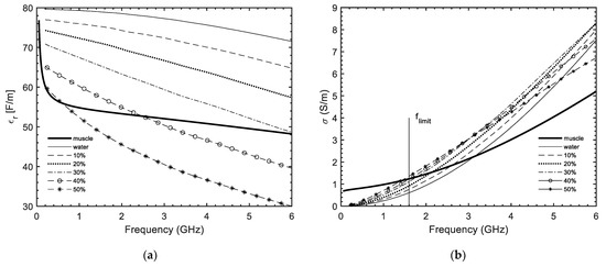
3.2.1. Phantom Dielectric Material Characterization
3.2.2. Computer Model Validation
4. Conclusions
Author Contributions
Funding
Institutional Review Board Statement
Informed Consent Statement
Acknowledgments
Conflicts of Interest
Appendix A



Appendix B

References
- Vander Vorst, A.; Rosen, A.; Kotsuka, Y. RF/Microwave Interaction with Biological Tissues; John Wiley & Sons: Hoboken, NJ, USA, 2006. [Google Scholar]
- Peter, Y.H.; Hall, S. Antennas and Propagation for Body-Centric Wireless Communications; Artech House: Norwood, MA, USA, 2006. [Google Scholar]
- Bakker, J. Dosimetry of Exposure to Electromagnetic Fields in Daily Life and Medical Applications; Erasmus Universiteit Rotterdam: Rotterdam, The Netherlands, 2012. [Google Scholar]
- Christ, A.; Douglas, M.G.; Roman, J.M.; Cooper, E.B.; Sample, A.; Waters, B.H.; Smith, J.R.; Kuster, N. Evaluation of Wireless Resonant Power Transfer Systems with Human Electromagnetic Exposure Limits. IEEE Trans. Electromagn. Compat. 2013, 55, 1–10. [Google Scholar] [CrossRef]
- Wilén, J. Radiofrequency Fields—Exposure, Dose and Health. Ph.D. Thesis, Umeå Universitet, Umeå, Sweden, 2002. [Google Scholar]
- Vecchia, P.; Matthes, R.; Ziegelberger, G.; Lin, J.; Saunders, R.; Swerdlow, A. Exposure to High Frequency Electromagnetic Fields, Biological Effects and Health Consequences (100 kHz–300 GHz); International Commission on Non-Ionizing Radiation Protection: Oberschleißheim, Germany, 2009. [Google Scholar]
- Schilling, C.J. Effects of Exposure to Very High Frequency Radiofrequency Radiation on Six Antenna Engineers in Two Separate Incidents. Occup. Med. 2000, 50, 49–56. [Google Scholar] [CrossRef] [PubMed] [Green Version]
- Implantable Medical Devices Market (Product—Reconstructive Joint Replacement, Spinal Implants, Dental Implants, and Cardiovascular Implants; Material—Titanium, Stainless Steel, Titanium Alloy, CoCr Alloy, and Zirconium)—Global Industry Analysis, Size, Share, Growth, Trends, and Forecast 2019–2027. Transpar. Mark. Res. 2018. Available online: https://www.transparencymarketresearch.com/pressrelease/global-implantable-medical-devices-market.htm (accessed on 5 May 2021).
- Lee, A.-K.; Hong, S.-E.; Kwon, J.-H.; Choi, H.-D. SAR Comparison of SAM Phantom and Anatomical Head Models for a Typical Bar-Type Phone Model. IEEE Trans. Electromagn. Compat. 2015, 57, 1281–1284. [Google Scholar] [CrossRef]
- IEEE Standards Coordinating Committee 34. IEEE Draft Recommended Practice for Determining the Peak Spatial-Average Specific Absorption Rate (SAR) in the Human Head from Wireless Communications Devices: Measurement Techniques; Institute of Electrical and Electronic Engineers: Piscataway, NJ, USA, 2013. [Google Scholar]
- Kuster, N.; Santomaa, V.; Drossos, A. The dependence of electromagnetic energy absorption upon human head tissue composition in the frequency range of 300–3000 MHz. IEEE Trans. Microw. Theory Tech. 2000, 48, 1988–1995. [Google Scholar] [CrossRef]
- Christ, A.; Goiceanu, C.; Kuster, N.; Klingenbock, A.; Samaras, T. The dependence of electromagnetic far-field absorption on body tissue composition in the frequency range from 300 MHz to 6 GHz. IEEE Trans. Microw. Theory Tech. 2006, 54, 2188–2195. [Google Scholar] [CrossRef]
- Merli, F.; Bolomey, L.; Zürcher, J.-F.; Meurville, E.; Skrivervik, A.K. Versatility and tunability of an implantable antenna for telemedicine. In Proceedings of the 5th European Conference on Antennas and Propagation (EUCAP), Rome, Italy, 11–15 April 2011. [Google Scholar]
- Felicio, J.M.; Fernandes, C.A.; Costa, J.R. Comparing liquid homogeneous and multilayer phantoms for human body implantable antennas. In Proceedings of the 2016 IEEE International Symposium on Antennas and Propagation (APSURSI), Fajardo, PR, USA, 26 June–1 July 2016; Institute of Electrical and Electronics Engineers (IEEE): New York, NY, USA, 2016; pp. 1049–1050. [Google Scholar]
- Kiourti, A.; Nikita, K.S. Accelerated Design of Optimized Implantable Antennas for Medical Telemetry. IEEE Antennas Wirel. Propag. Lett. 2012, 11, 1655–1658. [Google Scholar] [CrossRef]
- Fukunaga, K.; Watanabe, S.; Yamanaka, Y. Dielectric Properties of Tissue-Equivalent Liquids and Their Effects on Specific Absorption Rate. IEEE Trans. Electromagn. Compat. 2004, 46, 126–129. [Google Scholar] [CrossRef]
- MCL Technology. EUCAP 5289. Available online: http://www.mcluk.gov.org (accessed on 1 April 2021).
- Schmid & Partner Engineering AG. Available online: http://www.speag.com (accessed on 5 May 2021).
- Limited Warranty on Phantoms. Schmid & Partner Engineering AG (SPEAG). Available online: https://speag.swiss/assets/downloads/products/dasy/free_downloads/921-Phantoms-DGBE-A.pdf (accessed on 5 May 2021).
- Bose, P.; Khaleghi, A.; Albatat, M.; Bergsland, J.; Balasingham, I. RF Channel Modeling for Implant-to-Implant Communication and Implant to Subcutaneous Implant Communication for Future Leadless Cardiac Pacemakers. IEEE Trans. Biomed. Eng. 2018, 65, 2798–2807. [Google Scholar] [CrossRef] [PubMed] [Green Version]
- Bhadra, N.; Kilgore, K.; Peckham, P. Implanted stimulators for restoration of function in spinal cord injury. Med Eng. Phys. 2001, 23, 19–28. [Google Scholar] [CrossRef]
- Wang, P.-M.; Dubrovsky, G.; Dunn, J.C.; Lo, Y.-K.; Liu, W. A Wireless Implantable System for Facilitating Gastrointestinal Motility. Micromachines 2019, 10, 525. [Google Scholar] [CrossRef] [PubMed] [Green Version]
- Schmidt, C.; Casado, F.; Arriola, A.; Ortego, I.; Bradley, P.D.; Valderas, D. Broadband UHF Implanted 3-D Conformal Antenna Design and Characterization for In-Off Body Wireless Links. IEEE Trans. Antennas Propag. 2014, 62, 1433–1444. [Google Scholar] [CrossRef]
- Electronic Communications Committee (ECC). Ultra Low Power Active Medical Implant Systems (ULP-AMI); ECC: Sesimbra, Portugal, 2002. [Google Scholar]
- Gabriel, C.; Gabriel, S.; Corthout, E. The Dielectric Properties of Biological Tissues: I. Literature survey. Phys. Med. Biol. 1996, 41, 2231–2249. Available online: http://www.ncbi.nlm.nih.gov/pubmed/8938024 (accessed on 5 May 2021). [CrossRef] [PubMed] [Green Version]
- Gabriel, S.; Lau, R.W.; Gabriel, C. The dielectric properties of biological tissues: II. Measurements in the frequency range 10 Hz to 20 GHz. Phys. Med. Biol. 1996, 41, 2251–2269. [Google Scholar] [CrossRef] [PubMed] [Green Version]
- Gabriel, S.; Lau, R.W.; Gabriel, C. The dielectric properties of biological tissues: III. Parametric models for the dielectric spectrum of tissues. Phys. Med. Biol. 1996, 41, 2271–2293. [Google Scholar] [CrossRef] [PubMed] [Green Version]
- Balanis, C.A. Advanced Engineering Electromagnetics, 2nd ed.; John Willey & Sons, Inc.: Hoboken, NJ, USA, 2012. [Google Scholar]
- Keysight Technologies. Basics of Measuring the Dielectric Properties of Materials (5989-2589EN). Available online: https://www.keysight.com/es/en/assets/7018-01284/application-notes/5989-2589.pdf (accessed on 5 May 2021).
- KeySight Technologies. 85070E Dielectric Probe Kit. Available online: http://www.keysight.com/en/pd-304506-pn-85070E/dielectric-probe-kit?cc=ES&lc=eng (accessed on 5 May 2021).
- KeySight Technologies. E8362B PNA Network Analyzer, 10 MHz to 20 GHz. Available online: http://www.keysight.com/en/pd-72279-pn-E8362B/pna-series?cc=ES&lc=eng (accessed on 5 May 2021).
- ETS LINDGREN. Dual Polarized Horns—Model 3164; ESCO Technologies Inc.: St. Louis, MO, USA, 2005; Volume 9, p. 857. [Google Scholar]
- Valderas, D.; Schmidt, C.; Chen, X. Broadband implanted UHF RFID antenna. In Proceedings of the 2010 IEEE Antennas and Propagation Society International Symposium, Toronto, ON, Canada, 11–17 July 2010; pp. 1–4. [Google Scholar] [CrossRef]
- Bianconi, E.; Piovesan, A.; Facchin, F.; Beraudi, A.; Casadei, R.; Frabetti, F.; Vitale, L.; Pelleri, M.C.; Tassani, S.; Piva, F.; et al. An estimation of the number of cells in the human body. Ann. Hum. Biol. 2013, 40, 463–471. [Google Scholar] [CrossRef] [PubMed]
- Nagao, N.; Tamaki, K.; Kuchiki, T.; Nagao, M. A new gas dilution method for measuring body volume. Br. J. Sports Med. 1995, 29, 134–138. [Google Scholar] [CrossRef] [PubMed] [Green Version]












| Freq [GHz] | Size [mm] | Absorption [dB/mm] | ||
|---|---|---|---|---|
| x | y | z | ||
| 0.402 | 355 | 260 | 255 | 0.16 |
| 0.868 | 355 | 260 | 255 | 0.2 |
| 2.45 | 200 | 200 | 200 | 0.4 |
| 5.8 | 150 | 150 | 150 | 1.2 |
| Freq [GHz] | Size [mm] | ||
|---|---|---|---|
| x | y | z | |
| 0.402 | 355 | 160 | 255 |
| 0.868 | 355 | 160 | 255 |
| 2.45 | 100 | 100 | 100 |
| 5.8 | 50 | 50 | 50 |
| Freq [GHz] | Case Subcutaneous (S) Deep Implant (D) | dm3 | Volume Reduction with Respect to References [34,35] in. [%] |
|---|---|---|---|
| 0.402 | S | 14.484 | 77.7 |
| 0.402 | D | 32.589 | 49.8 |
| 0.868 | S | 14.484 | 77.7 |
| 0.868 | D | 23.536 | 63.8 |
| 2.45 | S | 1 | 98.5 |
| 2.45 | D | 8 | 87.7 |
| 5.8 | S | 0.125 | 99.8 |
| 5.8 | D | 3.375 | 94.8 |
Publisher’s Note: MDPI stays neutral with regard to jurisdictional claims in published maps and institutional affiliations. |
© 2021 by the authors. Licensee MDPI, Basel, Switzerland. This article is an open access article distributed under the terms and conditions of the Creative Commons Attribution (CC BY) license (https://creativecommons.org/licenses/by/4.0/).
Share and Cite
Ortego-Isasa, I.; Rezola, A.; Gao, Y.; Chen, X.; Valderas, D. Minimum Representative Human Body Model Size Determination for Link Budget Calculation in Implanted Medical Devices. Appl. Sci. 2021, 11, 6032. https://doi.org/10.3390/app11136032
Ortego-Isasa I, Rezola A, Gao Y, Chen X, Valderas D. Minimum Representative Human Body Model Size Determination for Link Budget Calculation in Implanted Medical Devices. Applied Sciences. 2021; 11(13):6032. https://doi.org/10.3390/app11136032
Chicago/Turabian StyleOrtego-Isasa, Iñaki, Ainhoa Rezola, Yue Gao, Xiaodong Chen, and Daniel Valderas. 2021. "Minimum Representative Human Body Model Size Determination for Link Budget Calculation in Implanted Medical Devices" Applied Sciences 11, no. 13: 6032. https://doi.org/10.3390/app11136032
APA StyleOrtego-Isasa, I., Rezola, A., Gao, Y., Chen, X., & Valderas, D. (2021). Minimum Representative Human Body Model Size Determination for Link Budget Calculation in Implanted Medical Devices. Applied Sciences, 11(13), 6032. https://doi.org/10.3390/app11136032

