Radiation and Multiple Slip Effects on Magnetohydrodynamic Bioconvection Flow of Micropolar Based Nanofluid over a Stretching Surface
Abstract
1. Introduction
2. Physical Model and Mathematical Formulation
3. Mathematical Scheme
4. Results and Discussion
5. Conclusions
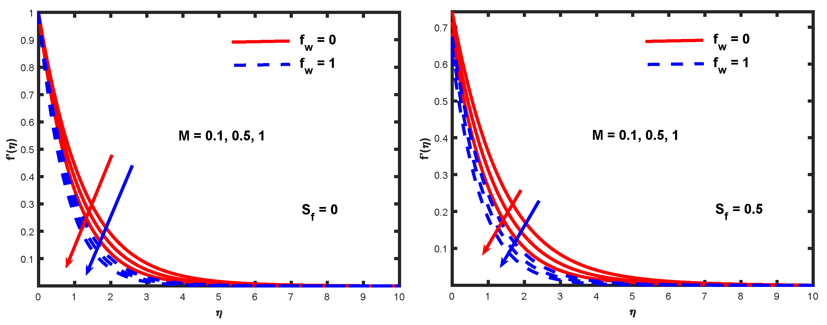
- The fluid velocity decreases with the increasing values of M, and while the opposite behavior is noticed for K and .
- With the increasing values of M, micro-rotation profile decreases while it increases with the increment in K.
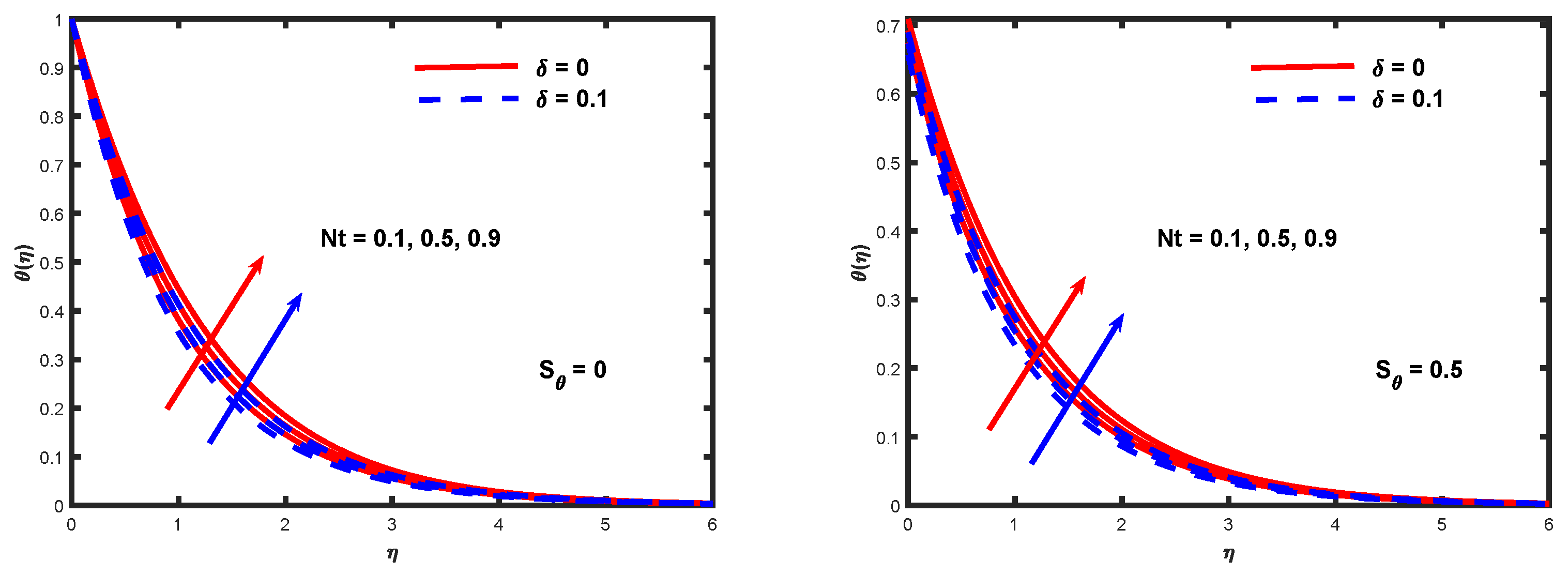
- Temperature increases with the increment in the values of , , and M while opposite behavior shows for .
- A decrement in the concentration profile is seen when the values of and rises while the profile rises with the rise in .
- With the increment in the values of , and the motile micro-organism density profile decreases.
Author Contributions
Funding
Institutional Review Board Statement
Informed Consent Statement
Data Availability Statement
Acknowledgments
Conflicts of Interest
References
- Nayak, M.; Prakash, J.; Tripathi, D.; Pandey, V.; Shaw, S.; Makinde, O. 3D Bioconvective multiple slip flow of chemically reactive Casson nanofluid with gyrotactic micro-organisms. Heat Transf. Asian Res. 2020, 49, 135–153. [Google Scholar] [CrossRef]
- Mohamed, K.; Ismail, T.; Nourreddine, N.; Mohamed Rafik, S. Analytical study of nano-bioconvective flow in a horizontal channel using Adomian decomposition method. J. Comput. Appl. Res. Mech. Eng. 2020, 9, 245–258. [Google Scholar]
- Balla, C.S.; Alluguvelli, R.; Naikoti, K.; Makinde, O.D. Effect of chemical reaction on bioconvective flow in oxytactic microorganisms suspended porous cavity. J. Appl. Comput. Mech. 2020, 6, 653–664. [Google Scholar]
- Khan, N.S.; Shah, Q.; Bhaumik, A.; Kumam, P.; Thounthong, P.; Amiri, I. Entropy generation in bioconvection nanofluid flow between two stretchable rotating disks. Sci. Rep. 2020, 10, 4448. [Google Scholar] [CrossRef] [PubMed]
- Ali, L.; Liu, X.; Ali, B.; Mujeed, S.; Abdal, S. Finite Element Simulation of Multi-Slip Effects on Unsteady MHD Bioconvective Micropolar nanofluid Flow Over a Sheet with Solutal and Thermal Convective Boundary Conditions. Coatings 2019, 9, 842. [Google Scholar] [CrossRef]
- Ayodeji, F.; Tope, A.; Pele, O. Magneto-hydrodynamics (MHD) Bioconvection Nanofluid Slip Flow over a Stretching Sheet with Thermophoresis, Viscous Dissipation and Brownian Motion. Mach. Learn. Res. 2020, 4, 51–60. [Google Scholar] [CrossRef]
- Mondal, S.K.; Pal, D. Mathematical analysis for Brownian motion of nonlinear thermal bioconvective stagnation point flow in a nanofluid using DTM and RKF method. J. Comput. Des. Eng. 2020, 7, 294–307. [Google Scholar] [CrossRef]
- Bhatti, M.M.; Shahid, A.; Abbas, T.; Alamri, S.Z.; Ellahi, R. Study of Activation Energy on the Movement of Gyrotactic Microorganism in a Magnetized Nanofluids Past a Porous Plate. Processes 2020, 8, 328. [Google Scholar] [CrossRef]
- Ansari, M.S.; Otegbeye, O.; Trivedi, M.; Goqo, S. Magnetohydrodynamic bioconvective Casson nanofluid flow: A numerical simulation by paired quasilinearisation. J. Appl. Comput. Mech. 2020, 7, 1–16. [Google Scholar]
- Magagula, V.M.; Shaw, S.; Kairi, R.R. Double dispersed bioconvective Casson nanofluid fluid flow over a nonlinear convective stretching sheet in suspension of gyrotactic microorganism. Heat Transf. 2019, 49, 2449–2471. [Google Scholar] [CrossRef]
- Al-Khaled, K.; Khan, S.U.; Khan, I. Chemically reactive bioconvection flow of tangent hyperbolic nanoliquid with gyrotactic microorganisms and nonlinear thermal radiation. Heliyon 2020, 6, 1–7. [Google Scholar] [CrossRef]
- Ali, L.; Liu, X.; Ali, B.; Mujeed, S.; Abdal, S.; Khan, S.A. Analysis of Magnetic Properties of Nano-Particles Due to a Magnetic Dipole in Micropolar Fluid Flow over a Stretching Sheet. Coatings 2020, 10, 170. [Google Scholar] [CrossRef]
- Ali, L.; Liu, X.; Ali, B.; Mujeed, S.; Abdal, S.; Mutahir, A. The Impact of Nanoparticles Due to Applied Magnetic Dipole in Micropolar Fluid Flow Using the Finite Element Method. Symmetry 2020, 12, 520. [Google Scholar] [CrossRef]
- Abdal, S.; Hussain, S.; Ahmad, F.; Ali, B. Hydromagnetic stagnation point flow of micropolar fluids due to a porous stretching surface with radiation and viscous dissipation effects. Sci. Int. 2015, 27, 3965–3971. [Google Scholar]
- Sadiq, M.A.; Khan, A.U.; Saleem, S.; Nadeem, S. Numerical simulation of oscillatory oblique stagnation point flow of a magneto micropolar nanofluid. RSC Adv. 2019, 9, 4751–4764. [Google Scholar] [CrossRef]
- Aslani, K.E.; Benos, L.; Tzirtzilakis, E.; Sarris, I.E. Micromagnetorotation of MHD Micropolar Flows. Symmetry 2020, 12, 148. [Google Scholar] [CrossRef]
- Mishra, S.; Hoque, M.M.; Mohanty, B.; Anika, N. Heat transfer effect on MHD flow of a micropolar fluid through porous medium with uniform heat source and radiation. Nonlinear Eng. 2019, 8, 65–73. [Google Scholar] [CrossRef]
- Nadeem, S.; Malik, M.; Abbas, N. Heat transfer of three-dimensional micropolar fluid on a Riga plate. Can. J. Phys. 2020, 98, 32–38. [Google Scholar] [CrossRef]
- Aslani, K.E.; Mahabaleshwar, U.S.; Singh, J.; Sarris, I.E. Combined Effect of Radiation and Inclined MHD Flow of a Micropolar Fluid Over a Porous Stretching/Shrinking Sheet with Mass Transpiration. Int. J. Appl. Comput. Math. 2021, 7, 1–21. [Google Scholar] [CrossRef]
- Reddy, G.J.; Kethireddy, B.; Beg, O.A. Flow visualization using heat lines for unsteady radiative hydromagnetic micropolar convection from a vertical slender hollow cylinder. Int. J. Mech. Sci. 2018, 140, 493–505. [Google Scholar] [CrossRef]
- Ramadevi, B.; Kumar, K.A.; Sugunamma, V.; Reddy, J.R.; Sandeep, N. Magnetohydrodynamic mixed convective flow of micropolar fluid past a stretching surface using modified Fourier’s heat flux model. J. Therm. Anal. Calorim. 2020, 139, 1379–1393. [Google Scholar] [CrossRef]
- Ismail, H.N.A.; Abourabia, A.M.; Hammad, D.; Ahmed, N.A.; El Desouky, A. On the MHD flow and heat transfer of a micropolar fluid in a rectangular duct under the effects of the induced magnetic field and slip boundary conditions. SN Appl. Sci. 2020, 2, 25–34. [Google Scholar] [CrossRef]
- Patel, H.R.; Mittal, A.S.; Darji, R.R. MHD flow of micropolar nanofluid over a stretching/shrinking sheet considering radiation. Int. Commun. Heat Mass Transf. 2019, 108, 104322. [Google Scholar] [CrossRef]
- Turkyilmazoglu, M. Mixed convection flow of magnetohydrodynamic micropolar fluid due to a porous heated/cooled deformable plate: Exact solutions. Int. J. Heat Mass Transf. 2017, 106, 127–134. [Google Scholar] [CrossRef]
- Asadi, A.; Aberoumand, S.; Moradikazerouni, A.; Pourfattah, F.; Żyła, G.; Estellé, P.; Mahian, O.; Wongwises, S.; Nguyen, H.M.; Arabkoohsar, A. Recent advances in preparation methods and thermophysical properties of oil-based nanofluids: A state-of-the-art review. Powder Technol. 2019, 352, 209–226. [Google Scholar] [CrossRef]
- Mahian, O.; Kolsi, L.; Amani, M.; Estellé, P.; Ahmadi, G.; Kleinstreuer, C.; Marshall, J.S.; Siavashi, M.; Taylor, R.A.; Niazmand, H.; et al. Recent advances in modeling and simulation of nanofluid flows-Part I: Fundamentals and theory. Phys. Rep. 2019, 790, 1–48. [Google Scholar] [CrossRef]
- Gkountas, A.A.; Benos, L.T.; Sofiadis, G.N.; Sarris, I.E. A printed-circuit heat exchanger consideration by exploiting an Al2O3-water nanofluid: Effect of the nanoparticles interfacial layer on heat transfer. Therm. Sci. Eng. Prog. 2021, 22, 100818. [Google Scholar] [CrossRef]
- Ali, L.; Liu, X.; Ali, B.; Mujeed, S.; Abdal, S. Finite Element Analysis of Thermo-Diffusion and Multi-Slip Effects on MHD Unsteady Flow of Casson Nano-Fluid over a Shrinking/Stretching Sheet with Radiation and Heat Source. Appl. Sci. 2019, 9, 5217. [Google Scholar] [CrossRef]
- Abdal, S.; Ali, B.; Younas, S.; Ali, L.; Mariam, A. Thermo-Diffusion and Multislip Effects on MHD Mixed Convection Unsteady Flow of Micropolar Nanofluid over a Shrinking/Stretching Sheet with Radiation in the Presence of Heat Source. Symmetry 2020, 12, 49. [Google Scholar] [CrossRef]
- Ali, B.; Naqvi, R.A.; Nie, Y.; Khan, S.A.; Sadiq, M.T.; Rehman, A.U.; Abdal, S. Variable Viscosity Effects on Unsteady MHD an Axisymmetric Nanofluid Flow over a Stretching Surface with Thermo-Diffusion: FEM Approach. Symmetry 2020, 12, 234. [Google Scholar] [CrossRef]
- Ali, B.; Hussain, S.; Abdal, S.; Mehdi, M.M. Impact of Stefan blowing on thermal radiation and Cattaneo–Christov characteristics for nanofluid flow containing microorganisms with ablation/accretion of leading edge: FEM approach. Eur. Phys. J. Plus 2020, 135, 1–18. [Google Scholar] [CrossRef]
- Yang, L.; Du, K.; Zhang, Z. Heat transfer and flow optimization of a novel sinusoidal minitube filled with non-Newtonian SiC/EG-water nanofluids. Int. J. Mech. Sci. 2020, 168, 105310. [Google Scholar] [CrossRef]
- Yang, L.; Ji, W.; Huang, J.n.; Xu, G. An updated review on the influential parameters on thermal conductivity of nano-fluids. J. Mol. Liq. 2019, 296, 111780. [Google Scholar] [CrossRef]
- Karvelas, E.; Lampropoulos, N.; Benos, L.; Karakasidis, T.; Sarris, I. On the magnetic aggregation of Fe3O4 nanoparticles. Comput. Methods Programs Biomed. 2021, 198, 105778. [Google Scholar] [CrossRef]
- Abdal, S.; Hussain, S.; Siddique, I.; Ahmadian, A.; Ferrara, M. On solution existence of MHD Casson nanofluid transportation across an extending cylinder through porous media and evaluation of priori bounds. Sci. Rep. 2021, 11, 7799. [Google Scholar] [CrossRef]
- Yang, L.; Ji, W.; Zhang, Z.; Jin, X. Thermal conductivity enhancement of water by adding graphene nano-sheets: Consideration of particle loading and temperature effects. Int. Commun. Heat Mass Transf. 2019, 109, 104353. [Google Scholar] [CrossRef]
- Moraveji, M.K.; Barzegarian, R.; Bahiraei, M.; Barzegarian, M.; Aloueyan, A.; Wongwises, S. Numerical evaluation on thermal–hydraulic characteristics of dilute heat-dissipating nanofluids flow in microchannels. J. Therm. Anal. Calorim. 2019, 135, 671–683. [Google Scholar] [CrossRef]
- Mousavi, S.B.; Heris, S.Z.; Estellé, P. Experimental comparison between ZnO and MoS2 nanoparticles as additives on performance of diesel oil-based nano lubricant. Sci. Rep. 2020, 10, 5813. [Google Scholar] [CrossRef] [PubMed]
- Abbas, Z.; Abdal, S.; Hussain, N.; Hussain, F.; Adnan, M.; Ali, B.; Zulqarnain, R.M.; Ali, L.; Younas, S. MHD Boundary Layer Flow and Heat Transfer of Nanofluid over a Vertical Stretching Sheet in the Presence of a Heat Source. Sci. Inq. Rev. 2019, 3, 60–73. [Google Scholar] [CrossRef]
- Hussain, F.; Abdal, S.; Abbas, Z.; Hussain, N.; Adnan, M.; Ali, B.; Zulqarnain, R.M.; Ali, L.; Younas, S. Buoyancy Effect on MHD Slip Flow and Heat Transfer of a Nanofluid Flow over a Vertical Porous Plate. Sci. Inq. Rev. 2020, 4. [Google Scholar] [CrossRef]
- Ali, B.; Naqvi, R.A.; Ali, L.; Abdal, S.; Hussain, S. A comparative description on time-dependent rotating magnetic transport of a water base liquid H2O with hybrid nano-materials Al2O3-Cu and Al2O3-TiO2 over an extending sheet using Buongiorno model: Finite element approach. Chin. J. Phys. 2021, 70, 125–139. [Google Scholar] [CrossRef]
- Ali, B.; Nie, Y.; Hussain, S.; Habib, D.; Abdal, S. Insight into the dynamics of fluid conveying tiny particles over a rotating surface subject to Cattaneo–Christov heat transfer, Coriolis force, and Arrhenius activation energy. Comput. Math. Appl. 2021, 93, 130–143. [Google Scholar] [CrossRef]
- Benos, L.T.; Mahabaleshwar, U.; Sakanaka, P.; Sarris, I. Thermal analysis of the unsteady sheet stretching subject to slip and magnetohydrodynamic effects. Therm. Sci. Eng. Prog. 2019, 13, 100367. [Google Scholar] [CrossRef]
- Ibrahim, W.; Negera, M. MHD slip flow of upper-convected Maxwell nanofluid over a stretching sheet with chemical reaction. J. Egypt. Math. Soc. 2020, 28, 1–28. [Google Scholar] [CrossRef]
- Khan, S.A.; Nie, Y.; Ali, B. Multiple slip effects on magnetohydrodynamic axisymmetric buoyant nanofluid flow above a stretching sheet with radiation and chemical reaction. Symmetry 2019, 11, 1171. [Google Scholar] [CrossRef]
- Gireesha, B.; Ramesh, G.; Bagewadi, C. Heat transfer in MHD flow of a dusty fluid over a stretching sheet with viscous dissipation. Adv. Appl. Sci. Res. 2012, 3, 2392–2401. [Google Scholar]
- Mabood, F.; Shateyi, S. Multiple slip effects on MHD unsteady flow heat and mass transfer impinging on permeable stretching sheet with radiation. Model. Simul. Eng. 2019, 2019, 3052790. [Google Scholar] [CrossRef]
- Ali, B.; Nie, Y.; Khan, S.A.; Sadiq, M.T.; Tariq, M. Finite element simulation of multiple slip effects on MHD unsteady maxwell nanofluid flow over a permeable stretching sheet with radiation and thermo-diffusion in the presence of chemical reaction. Processes 2019, 7, 628. [Google Scholar] [CrossRef]
- Haile, E.; Shankar, B. Heat and mass transfer in the boundary layer of unsteady viscous nanofluid along a vertical stretching sheet. J. Comput. Eng. 2014, 2014, 345153. [Google Scholar] [CrossRef]
- Majeed, A.; Zeeshan, A.; Xu, H.; Kashif, M.; Masud, U. Heat transfer analysis of magneto-Eyring-Powell fluid over a nonlinear stretching surface with multiple slip effects: Application of Roseland’s heat flux. Can. J. Phys. 2019, 97, 1253–1261. [Google Scholar] [CrossRef]
- Ishak, A. MHD boundary layer flow due to an exponentially stretching sheet with radiation effect. Sains Malays. 2011, 40, 391–395. [Google Scholar]
- Mabood, F.; Khan, W.; Ismail, A.M. MHD flow over exponential radiating stretching sheet using homotopy analysis method. J. King Saud Univ. Eng. Sci. 2017, 29, 68–74. [Google Scholar] [CrossRef]
- Mukhopadhyay, S. Slip effects on MHD boundary layer flow over an exponentially stretching sheet with suction/blowing and thermal radiation. Ain Shams Eng. J. 2013, 4, 485–491. [Google Scholar] [CrossRef]


















| M | Shahid et al. [45] | Gireesha et al. [46] | Sohaib et al. [29] | Our Results |
|---|---|---|---|---|
| 0.0 | 1.0000080 | 1.000 | 1.0000130 | 1.0000110 |
| 0.2 | 1.0954458 | 1.095 | 1.0954463 | 1.0954453 |
| 0.5 | 1.2247446 | 1.224 | 1.2247454 | 1.2247434 |
| 1.0 | 1.4142132 | 1.414 | 1.4142180 | 1.4142160 |
| 1.2 | 1.4832393 | 1.483 | 1.4832402 | 1.4832396 |
| 1.5 | 1.5811384 | 1.581 | 1.5811396 | 1.5811382 |
| 2.0 | 1.7320504 | 1.732 | 1.7320516 | 1.7320512 |
| M | Shahid et al. [45] | Fazle [47] | Our Results | Shahid et al. [45] | Fazle [47] | Our Results | |
|---|---|---|---|---|---|---|---|
| 0 | −1.0000082 | −1.0000084 | −1.0000081 | - | - | - | - |
| 1 | 1.41421353 | 1.41421356 | 1.41421354 | - | - | - | - |
| 5 | 2.44948963 | 2.44948974 | 2.44948968 | 0.72 | 0.8088 | 0.8088 | 0.8086 |
| 10 | 3.31662463 | 3.31662479 | 3.31662475 | 1 | 1.0000 | 1.0000 | 1.0000 |
| 50 | 7.14142839 | 7.14142843 | 7.14142841 | 3 | 1.9237 | 1.9237 | 1.9245 |
| 100 | 10.0498751 | 10.0498756 | 10.0498754 | 10 | 3.7207 | 3.7207 | 3.7212 |
| 500 | 22.3830283 | 22.3830293 | 22.3830298 | - | - | - | - |
| 1000 | 31.6385833 | 31.6385840 | 31.6385838 | - | - | - | - |
| Liaqat et al. [5] | Shahid et al. [45] | Bagh et al. [48] | Haile et al. [49] | Our Results | |
|---|---|---|---|---|---|
| 0.72 | 0.8086 | 0.808634 | 0.808634 | - | 0.808633 |
| 1.00 | 1.0000 | 1.000008 | 1.000001 | 1.0004 | 1.000008 |
| 3.00 | 1.9236 | 1.923678 | 1.923683 | 1.9234 | 1.923677 |
| 10.0 | 3.7206 | 3.720668 | 3.720674 | 3.7205 | 3.720658 |
| 100 | 12.2946 | - | - | 12.2962 | 12.29405 |
Publisher’s Note: MDPI stays neutral with regard to jurisdictional claims in published maps and institutional affiliations. |
© 2021 by the authors. Licensee MDPI, Basel, Switzerland. This article is an open access article distributed under the terms and conditions of the Creative Commons Attribution (CC BY) license (https://creativecommons.org/licenses/by/4.0/).
Share and Cite
Abdal, S.; Alhumade, H.; Siddique, I.; Alam, M.M.; Ahmad, I.; Hussain, S. Radiation and Multiple Slip Effects on Magnetohydrodynamic Bioconvection Flow of Micropolar Based Nanofluid over a Stretching Surface. Appl. Sci. 2021, 11, 5136. https://doi.org/10.3390/app11115136
Abdal S, Alhumade H, Siddique I, Alam MM, Ahmad I, Hussain S. Radiation and Multiple Slip Effects on Magnetohydrodynamic Bioconvection Flow of Micropolar Based Nanofluid over a Stretching Surface. Applied Sciences. 2021; 11(11):5136. https://doi.org/10.3390/app11115136
Chicago/Turabian StyleAbdal, Sohaib, Hesham Alhumade, Imran Siddique, Mohammad Mahtab Alam, Irfan Ahmad, and Sajjad Hussain. 2021. "Radiation and Multiple Slip Effects on Magnetohydrodynamic Bioconvection Flow of Micropolar Based Nanofluid over a Stretching Surface" Applied Sciences 11, no. 11: 5136. https://doi.org/10.3390/app11115136
APA StyleAbdal, S., Alhumade, H., Siddique, I., Alam, M. M., Ahmad, I., & Hussain, S. (2021). Radiation and Multiple Slip Effects on Magnetohydrodynamic Bioconvection Flow of Micropolar Based Nanofluid over a Stretching Surface. Applied Sciences, 11(11), 5136. https://doi.org/10.3390/app11115136

