Asymptotic Analytical Solution on Lamb Waves in Functionally Graded Nano Copper Layered Wafer
Abstract
1. Introduction
2. Statement of the Problem
2.1. Governing Equations
2.2. Boundary Conditions
- (i)
- Lamb waves in a simple waferTraction-free conditions: and at
- (ii)
- Lamb waves in a multilayered waferTraction-free conditions: and at and and atContinuity conditions: , , , and at
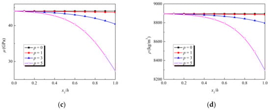
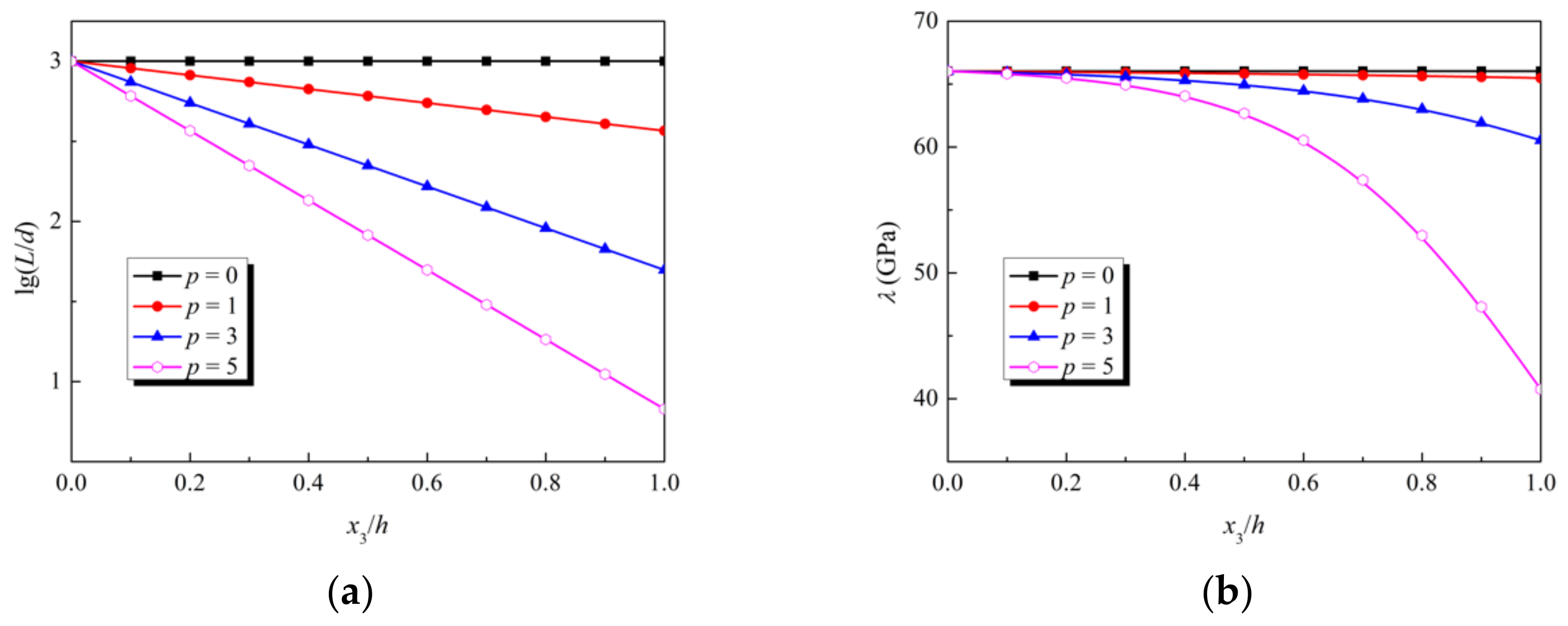
2.3. Material Parameters
3. Solution to the Problem
3.1. Ordinary Differential Equations with Variable Coefficients and Power Series Solution
3.2. Modified Transfer Matrix Method
4. Numerical Results and Discussion
4.1. Materials
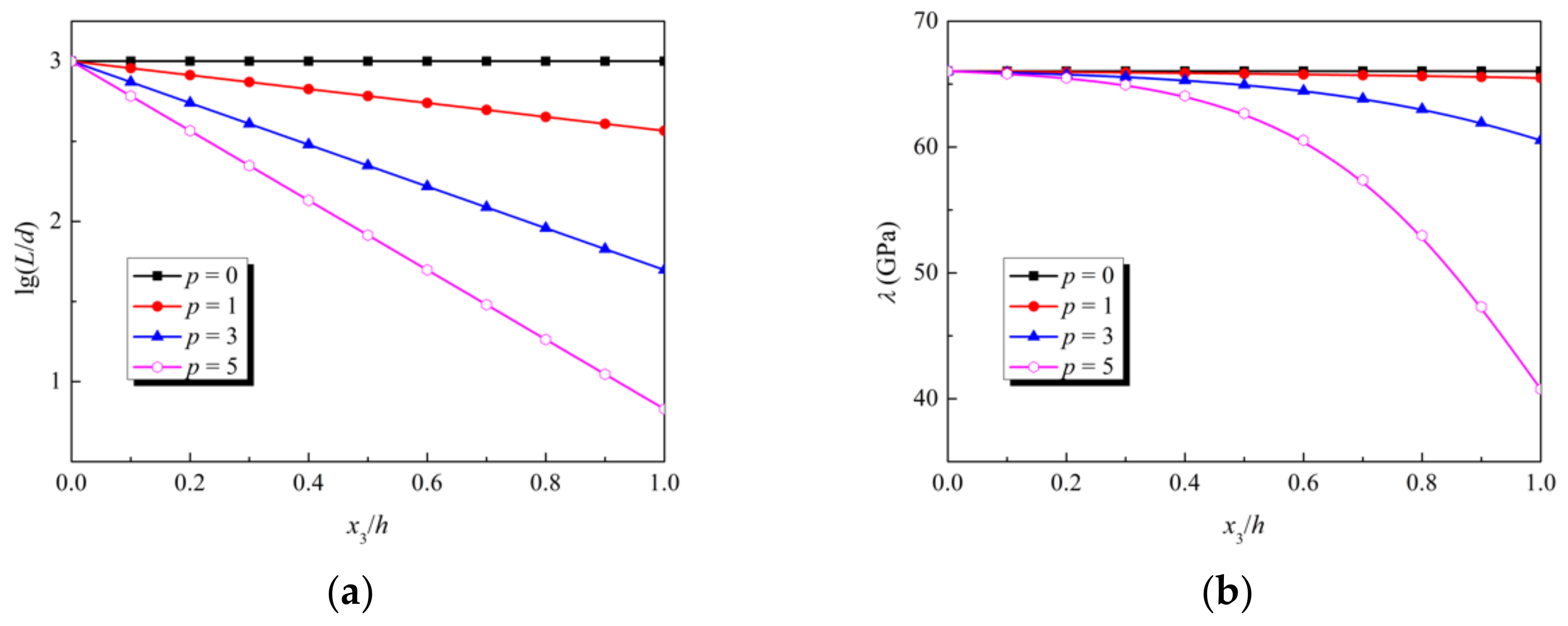
4.2. Lamb Waves in a Simple FG Nano Copper Wafer
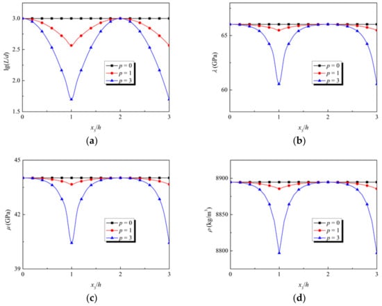
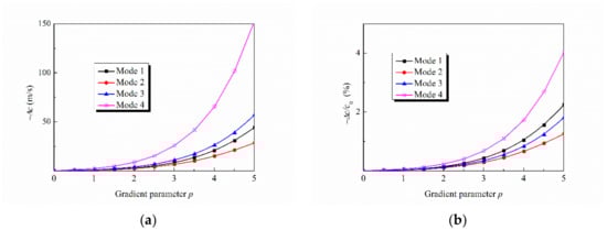
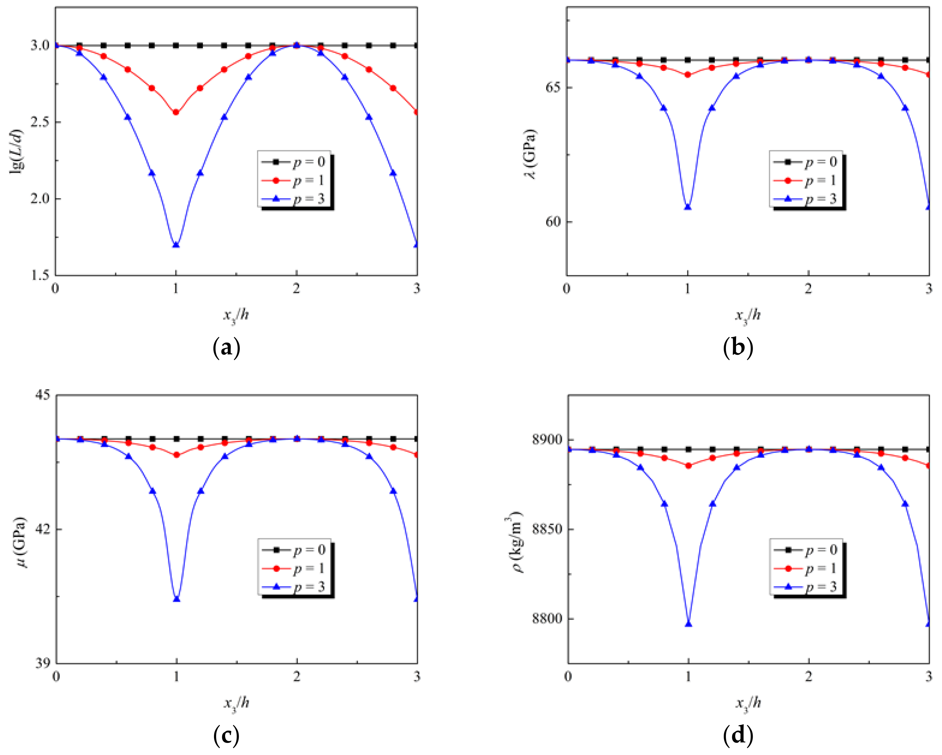
4.3. Lamb Waves in a Multilayered FG Nano Copper Wafer
5. Conclusions
Author Contributions
Funding
Conflicts of Interest
References
- Fang, T.H.; Li, W.L.; Tao, N.R.; Lu, K. Revealing extraordinary intrinsic tensile plasticity in gradient nano-grained copper. Science 2011, 331, 1587–1590. [Google Scholar] [CrossRef] [PubMed]
- Lu, K. Making strong nanomaterials ductile with gradients. Science 2014, 345, 1455–1456. [Google Scholar] [CrossRef] [PubMed]
- Thevamaran, R.; Lawal, O.; Yazdi, S.; Jeon, S.-J.; Lee, J.-H.; Thomas, E.L. Dynamic creation and evolution of gradient nanostructure in single-crystal metallic microcubes. Science 2016, 354, 312–316. [Google Scholar] [CrossRef] [PubMed]
- Yang, L.; Tao, N.R.; Lu, K.; Lu, L. Enhanced fatigue resistance of Cu with a gradient nanograined surface layer. Scr. Mater. 2013, 68, 801–804. [Google Scholar] [CrossRef]
- Yang, D.K.; Cizek, P.; Fabijanic, D.; Wang, J.T.; Hodgson, P.D. Work hardening in ultrafine-grained titanium: Multilayering and grading. Acta Mater. 2013, 61, 2840–2852. [Google Scholar] [CrossRef]
- Wang, Q.; Yin, Y.; Sun, Q.; Xiao, L.; Sun, J. Gradient nano microstructure and its formation mechanism in pure titanium produced by surface rolling treatment. J. Mater. Res. 2014, 29, 569–577. [Google Scholar] [CrossRef]
- Yuan, C.; Fu, R.; Sang, D.; Yao, Y.; Zhang, X. The tensile properties and fracture behavior of gradient nano-grained/coarse-grained zirconium. Mater. Lett. 2013, 107, 134–137. [Google Scholar] [CrossRef]
- Lu, X.L.; Lu, Q.H.; Li, Y.; Lu, L. Gradient confinement induced uniform tensile ductility in metallic glass. Sci. Rep. 2013, 3, 3319. [Google Scholar] [CrossRef]
- Wang, H.T.; Tao, N.R.; Lu, K. Architectured surface layer with a gradient nanotwinned structure in a Fe-Mn austenitic steel. Scr. Mater. 2013, 68, 22–27. [Google Scholar] [CrossRef]
- Moering, J.; Ma, X.; Chen, G.; Miao, P.; Li, G.; Qian, G.; Mathaudhu, S.; Zhu, Y. The role of shear strain on texture and microstructural gradients in low carbon steel processed by Surface Mechanical Attrition Treatment. Scr. Mater. 2015, 108, 100–103. [Google Scholar] [CrossRef]
- Zhao, J.; Xia, W.; Li, N.; Li, F.-L. A gradient nano/micro-structured surface layer on copper induced by severe plasticity roller burnishing. Trans. Nonferrous Met. Soc. China 2014, 24, 441–448. [Google Scholar] [CrossRef]
- Wang, Y.L.; Molotnikov, A.; Diez, M.; Lapovok, R.; Kim, H.; Wang, J.T.; Estrin, Y. Gradient structure produced by three roll planetary milling: Numerical simulation and microstructural observations. Mater. Sci. Eng. A Struct. Mater. Prop. Microstruct. Process. 2015, 639, 165–172. [Google Scholar] [CrossRef]
- Yin, Z.; Yang, X.; Ma, X.; Moering, J.; Yang, J.; Gong, Y.; Zhu, Y.; Zhu, X. Strength and ductility of gradient structured copper obtained by surface mechanical attrition treatment. Mater Des. 2016, 105, 89–95. [Google Scholar] [CrossRef]
- Zeng, Z.; Li, X.; Xu, D.; Lu, L.; Gao, H.; Zhu, T. Gradient plasticity in gradient nano-grained metals. Extrem. Mech. Lett. 2016, 8, 213–219. [Google Scholar] [CrossRef]
- Rose, J.L. Ultrasonic Waves in Solid Media; Cambridge University Press: Cambridge, MA, USA, 1999. [Google Scholar]
- Achenbach, J.D. Wave Propagation in Elastic Solids; Elsevier: New York, NY, USA, 1984. [Google Scholar]
- Wang, J.; Du, J. A two-dimensional analysis of surface acoustic waves in finite elastic plates with eigensolutions. Sci. China Phys. Mech. Astron. 2007, 50, 631–649. [Google Scholar] [CrossRef]
- Du, J.; Jin, X.; Wang, J.; Xian, K. Love wave propagation in functionally graded piezoelectric material layer. Ultrasonics 2007, 46, 13–22. [Google Scholar] [CrossRef]
- Collet, B.; Destrade, M.; Maugin, G.A. Bleustein-Gulyaev waves in some functionally graded materials. Eur. J. Mech. A Solids 2006, 25, 695–706. [Google Scholar] [CrossRef]
- Cao, X.; Jin, F.; Wang, Z. Theoretical investigation on horizontally shear waves in a functionally gradient piezoelectric material plate. In Proceedings of the 7th International Conference on Fracture and Strength of Solids, FEOFS 2007, Urumqi, China, 27–29 August 2007; pp. 707–712. [Google Scholar]
- Vlasie, V.; Rousseau, M. Guided modes in a plane elastic layer with gradually continuous acoustic properties. NDT E Int. 2004, 37, 633–644. [Google Scholar] [CrossRef]
- Qian, Z.H.; Jin, F.; Lu, T.; Hirose, S. Transverse surface waves in a piezoelectric material carrying a gradient metal layer of finite thickness. Int. J. Eng. Sci. 2009, 47, 1049–1054. [Google Scholar] [CrossRef]
- Li, X.Y.; Wang, Z.K.; Huang, S.H. Love waves in functionally graded piezoelectric materials. Int. J. Solids Struct. 2004, 41, 7309–7328. [Google Scholar] [CrossRef]
- Lefebvre, J.E.; Zhang, V.; Gazalet, J.; Gryba, T.; Sadaune, V. Acoustic wave propagation in continuous functionally graded plates: An extension of the Legendre polynomial approach. Ieee Trans. Ultrason. Ferroelectr. Freq. Control 2001, 48, 1332–1340. [Google Scholar] [CrossRef] [PubMed]
- Yu, J.G.; Zhang, C. Effects of initial stress on guided waves in orthotropic functionally graded plates. Appl. Math. Model. 2014, 38, 464–478. [Google Scholar] [CrossRef]
- Yu, J.G.; Wu, B.; He, C.F. Guided thermoelastic waves in functionally graded plates with two relaxation times. Int. J. Eng. Sci. 2010, 48, 1709–1720. [Google Scholar] [CrossRef]
- Cao, X.; Jin, F.; Jeon, I. Calculation of propagation properties of Lamb waves in a functionally graded material (FGM) plate by power series technique. Ndt E Int. 2011, 44, 84–92. [Google Scholar] [CrossRef]
- Yan, L.; Zhang, J.; Song, G.; Liu, M.; He, C. The dispersion curves and wave structures of Lamb waves in functionally graded plate: Theoretical and simulation analysis. In Proceedings of the 45th Annual Review of Progress in Quantitative Nondestructive Evaluation; Bond, L.J., Holland, S., Laflamme, S., Eds.; AIP Publishing LLC: Burlington, VT, USA, 2019; Volume 2102, p. 050020. [Google Scholar]
- Liu, C.; Yu, J.; Xu, W.; Zhang, X.; Wang, X. Dispersion characteristics of guided waves in functionally graded anisotropic micro/nano-plates based on the modified couple stress theory. Thin Walled Struct. 2021, 161, 107527. [Google Scholar] [CrossRef]
- Liu, C.; Yu, J.; Zhang, B.; Zhang, X.; Elmaimouni, L. Analysis of Lamb wave propagation in a functionally graded piezoelectric small-scale plate based on the modified couple stress theory. Compos. Struct. 2021, 265, 113733. [Google Scholar] [CrossRef]
- Tani, J.; Liu, G.R. SH surface waves in functionally gradient piezoelectric plates. JSME Int. J. Ser. AMech. Mater. Eng. 1993, 36, 152–155. [Google Scholar] [CrossRef][Green Version]
- Liu, G.R.; Tani, J.; Ohyoshi, T.; Watanabe, K. Characteristic wave surfaces in anisotropic laminated plates. ASME J. Vib. Acoust. 1991, 113, 279–285. [Google Scholar] [CrossRef]
- Liu, G.R.; Dai, K.Y.; Han, X.; Ohyoshi, T. Dispersion of waves and characteristic wave surfaces in functionally graded piezoelectric plates. J. Sound Vib. 2003, 268, 131–147. [Google Scholar] [CrossRef]
- Yang, J.; Yang, Z. Analytical and numerical modeling of resonant piezoelectric devices in China—A review. Sci. China Ser. G Phys. Mech. Astron. 2008, 51, 1775–1807. [Google Scholar] [CrossRef]
- Golub, M.V.; Fomenko, S.I.; Bui, T.Q.; Zhang, C.; Wang, Y.S. Transmission and band gaps of elastic SH waves in functionally graded periodic laminates. Int. J. Solids Struct. 2012, 49, 344–354. [Google Scholar] [CrossRef]
- Fomenko, S.I.; Golub, M.V.; Zhang, C.; Bui, T.Q.; Wang, Y.S. In-plane elastic wave propagation and band-gaps in layered functionally graded phononic crystals. Int. J. Solids Struct. 2014, 51, 2491–2503. [Google Scholar] [CrossRef]
- Kuznetsov, S.V. Abnormal dispersion of flexural Lamb waves in functionally graded plates. Z. Für Angew. Math. Und Phys. Zamp 2019, 70, 89. [Google Scholar] [CrossRef]
- Kuznetsov, S.V. Similarity and discrepancy of Lamb wave propagation in functionally graded, stratified, and homogeneous media. Int. J. Dyn. Control 2020, 8, 717–722. [Google Scholar] [CrossRef]
- Hu, Y.; Cao, X.; Niu, Y.; Ru, Y. SH waves in a functionally graded nano copper layered wafer. In Proceedings of the 2019 14th Symposium on Piezoelectrcity, Acoustic Waves and Device Applications (SPAWDA), Shijiazhuang, China, 1–4 November 2019. [Google Scholar]
- Wang, G.F.; Feng, X.Q.; Yu, S.W. Interface effects on effective elastic moduli of nanocrystalline materials. Mater. Sci. Eng. A 2003, 363, 1–8. [Google Scholar] [CrossRef]










Publisher’s Note: MDPI stays neutral with regard to jurisdictional claims in published maps and institutional affiliations. |
© 2021 by the authors. Licensee MDPI, Basel, Switzerland. This article is an open access article distributed under the terms and conditions of the Creative Commons Attribution (CC BY) license (https://creativecommons.org/licenses/by/4.0/).
Share and Cite
Hu, Y.; Cao, X.; Niu, Y.; Ru, Y.; Shi, J. Asymptotic Analytical Solution on Lamb Waves in Functionally Graded Nano Copper Layered Wafer. Appl. Sci. 2021, 11, 4442. https://doi.org/10.3390/app11104442
Hu Y, Cao X, Niu Y, Ru Y, Shi J. Asymptotic Analytical Solution on Lamb Waves in Functionally Graded Nano Copper Layered Wafer. Applied Sciences. 2021; 11(10):4442. https://doi.org/10.3390/app11104442
Chicago/Turabian StyleHu, Yifeng, Xiaoshan Cao, Yi Niu, Yan Ru, and Junping Shi. 2021. "Asymptotic Analytical Solution on Lamb Waves in Functionally Graded Nano Copper Layered Wafer" Applied Sciences 11, no. 10: 4442. https://doi.org/10.3390/app11104442
APA StyleHu, Y., Cao, X., Niu, Y., Ru, Y., & Shi, J. (2021). Asymptotic Analytical Solution on Lamb Waves in Functionally Graded Nano Copper Layered Wafer. Applied Sciences, 11(10), 4442. https://doi.org/10.3390/app11104442

