Gasification Char and Used Foundry Sand as Alternative Fillers to Graphene Nanoplatelets for Electrically Conductive Mortars with and without Virgin/Recycled Carbon Fibres
Abstract
Featured Application
Abstract
1. Introduction
2. Materials and Methods
2.1. Materials
2.2. Methods
2.2.1. Preparation of Mortars
2.2.2. Mechanical Tests
2.2.3. Electrical Resistivity Measurements
Direct Current (DC)
Alternating Current (AC)
2.2.4. Capillary Water Absorption Test
2.2.5. Morphological Analysis of Materials
3. Results and Discussion
3.1. Choice of the Best Performing Carbon-Based By-Product Filler
3.2. Effect of the Combined Use of Virgin and Recycled Fillers and Fibres on Mortars’ Properties
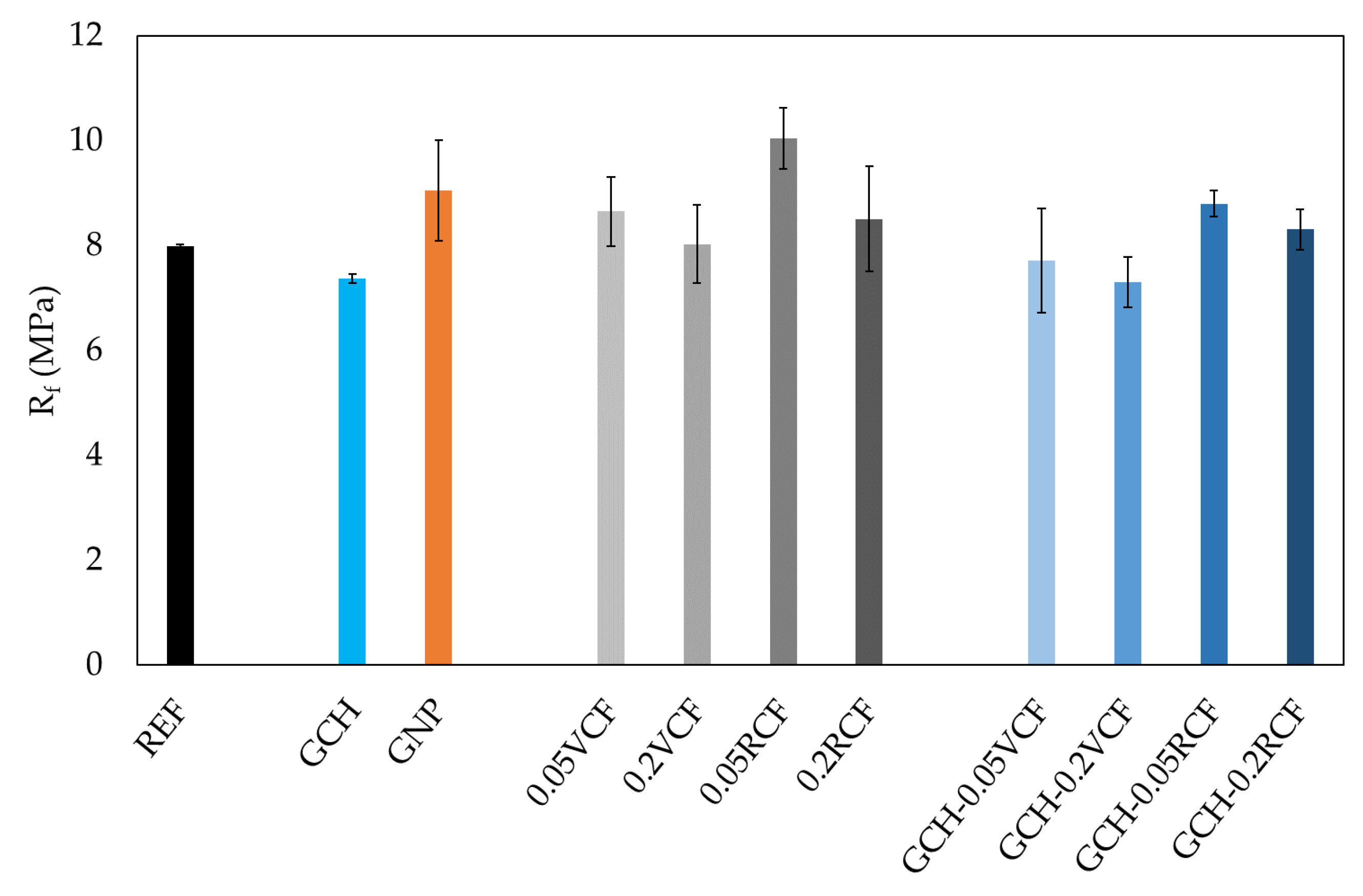
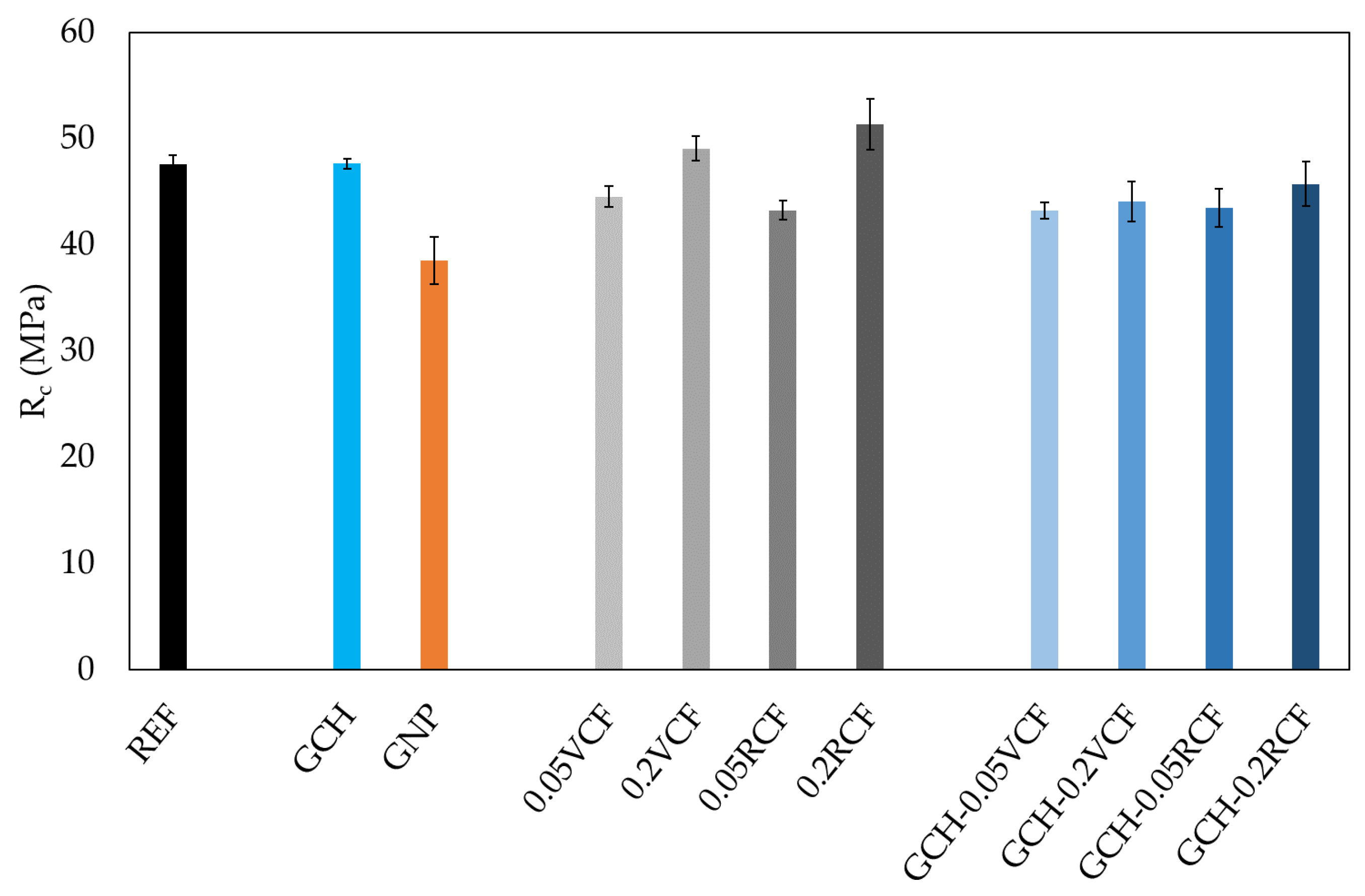
3.2.1. Mechanical Strength
3.2.2. Electrical Resistivity Measurements
3.3. Capillary Water Absorption
4. Conclusions
- GCH is a valid alternative to GNP because it decreases the electrical resistivity of mortars by maintaining their mechanical properties whereas GNP decrease their compressive strength.
- VCF and RCF have a similar effect on the compressive strength of mortars but RCF are better to improve their flexural behaviour, especially when the content of the fibres is low.
- GCH can be used alone to decrease the electrical resistivity of mortars; to further decrease the resistivity, VCF or RCF can also be added. The best performance can be obtained by adding RCF at 0.2 vol%.
- Fillers or fibres used alone reduce the capillary water absorption of mortars and the lowest absorption is provided by the addition of GCH.
- To measure the resistivity of composite systems, alternating current (AC) should be preferred to direct current (DC) in order to avoid polarisation of the electrodes or variation in properties over time due to ion migration (attributable to material polarisation).
Author Contributions
Funding
Institutional Review Board Statement
Informed Consent Statement
Data Availability Statement
Acknowledgments
Conflicts of Interest
References
- Chung, D.D.L. Electrically conductive cement-based materials. Adv. Cem. Res. 2004, 4, 167–176. [Google Scholar] [CrossRef]
- Wen, S.; Chung, D.D.L. Electrical-resistance-based damage self-sensing in carbon fiber reinforced cement. Carbon N. Y. 2007, 45, 710–716. [Google Scholar] [CrossRef]
- Chung, D.D.L. Carbon materials for structural self-sensing, electromagnetic shielding and thermal interfacing. Carbon N. Y. 2012, 50, 3342–3353. [Google Scholar] [CrossRef]
- Chuah, S.; Pan, Z.; Sanjayan, J.G.; Wang, C.M.; Duan, W.H. Nano reinforced cement and concrete composites and new perspective from graphene oxide. Constr. Build. Mater. 2014, 73, 113–124. [Google Scholar] [CrossRef]
- Pacheco-Torgal, F.; Jalali, S. Nanotechnology: Advantages and drawbacks in the field of construction and building materials. Constr. Build. Mater. 2011, 25, 582–590. [Google Scholar] [CrossRef]
- Siddique, R.; Mehta, A. Effect of carbon nanotubes on properties of cement mortars. Constr. Build. Mater. 2014, 50, 116–129. [Google Scholar] [CrossRef]
- Mohammed, A.; Sanjayan, J.G.; Duan, W.H.; Nazari, A. Incorporating graphene oxide in cement composites: A study of transport properties. Constr. Build. Mater. 2015, 84, 341–347. [Google Scholar] [CrossRef]
- Le, J.-L.; Du, H.; Pang, S.D. Use of 2D Graphene Nanoplatelets (GNP) in cement composites for structural health evaluation. Compos. Part B Eng. 2014, 67, 555–563. [Google Scholar] [CrossRef]
- Chung, D.D.L. Dispersion of Short Fibers in Cement. J. Mater. Civ. Eng. 2005, 17, 379–383. [Google Scholar] [CrossRef]
- Han, B.; Yu, X.; Ou, J. Self-Sensing Concrete in Smart Structures; Butterworth Publishers: Oxford, UK, 2014. [Google Scholar]
- Chiarello, M.; Zinno, R. Electrical conductivity of self-monitoring CFRC. Cem. Concr. Compos. 2005, 27, 463–469. [Google Scholar] [CrossRef]
- Han, B.; Zhang, L.; Zhang, C.; Wang, Y.; Yu, X.; Ou, J. Reinforcement effect and mechanism of carbon fibers to mechanical and electrically conductive properties of cement-based materials. Constr. Build. Mater. 2016, 125, 479–489. [Google Scholar] [CrossRef]
- Belli, A.; Mobili, A.; Bellezze, T.; Tittarelli, F. Commercial and recycled carbon/steel fibers for fiber-reinforced cement mortars with high electrical conductivity. Cem. Concr. Compos. 2020, 109, 103569. [Google Scholar] [CrossRef]
- Novoselov, K.S.; Geim, A.K.; Morozov, S.V.; Jiang, D.; Zhang, Y.; Dubonos, S.V.; Grigorieva, I.V.; Firsov, A.A. Electric Field Effect in Atomically Thin Carbon Films. Science 2004, 306, 666–669. [Google Scholar] [CrossRef] [PubMed]
- Al-Dahawi, A.; Öztürk, O.; Emami, F.; Yildirim, G.; Şahmaran, M. Effect of mixing methods on the electrical properties of cementitious composites incorporating different carbon-based materials. Constr. Build. Mater. 2016, 104, 160–168. [Google Scholar] [CrossRef]
- Liu, Q.; Xu, Q.; Yu, Q.; Gao, R.; Tong, T. Experimental investigation on mechanical and piezoresistive properties of cementitious materials containing graphene and graphene oxide nanoplatelets. Constr. Build. Mater. 2016, 127, 565–576. [Google Scholar] [CrossRef]
- Belli, A.; Mobili, A.; Bellezze, T.; Tittarelli, F.; Cachim, P.B. Evaluating the self-sensing ability of cement mortars manufactured with graphene nanoplatelets, virgin or recycled carbon fibers through piezoresistivity tests. Sustainability 2018, 10, 4013. [Google Scholar] [CrossRef]
- Shamsaei, E.; de Souza, F.B.; Yao, X.; Benhelal, E.; Akbari, A.; Duan, W. Graphene-based nanosheets for stronger and more durable concrete: A review. Constr. Build. Mater. 2018, 183, 642–660. [Google Scholar] [CrossRef]
- Zhang, M.; Ma, Y.; Zhu, Y.; Che, J.; Xiao, Y. Two-dimensional transparent hydrophobic coating based on liquid-phase exfoliated graphene fluoride. Carbon N. Y. 2013, 63, 149–156. [Google Scholar] [CrossRef]
- Khushnood, R.A.; Ahmad, S.; Savi, P.; Tulliani, J.M.; Giorcelli, M.; Ferro, G.A. Improvement in electromagnetic interference shielding effectiveness of cement composites using carbonaceous nano/micro inerts. Constr. Build. Mater. 2015, 85, 208–216. [Google Scholar] [CrossRef]
- Mobili, A.; Belli, A.; Giosuè, C.; Pierpaoli, M.; Bastianelli, L.; Mazzoli, A.; Ruello, M.L.; Bellezze, T.; Tittarelli, F. Mechanical, durability, depolluting and electrical properties of multifunctional mortars prepared with commercial or waste carbon-based fillers. Constr. Build. Mater. 2020. under review. [Google Scholar]
- Benedetti, V.; Patuzzi, F.; Baratieri, M. Gasification char as a potential substitute of activated carbon in adsorption applications. Energy Procedia 2017, 105, 712–717. [Google Scholar] [CrossRef]
- Sirico, A.; Bernardi, P.; Belletti, B.; Malcevschi, A.; Dalcanale, E.; Domenichelli, I.; Fornoni, P.; Moretti, E. Mechanical characterization of cement-based materials containing biochar from gasification. Constr. Build. Mater. 2020, 246, 118490. [Google Scholar] [CrossRef]
- Bilal, H.; Yaqub, M.; Rehman, S.K.U.; Abid, M.; Alyousef, R.; Alabduljabbar, H.; Aslam, F. Performance of Foundry Sand Concrete under Ambient and Elevated Temperatures. Materials 2019, 12, 2645. [Google Scholar] [CrossRef] [PubMed]
- Siddique, R.; Singh, G.; Belarbi, R.; Ait-Mokhtar, K. Comparative investigation on the influence of spent foundry sand as partial replacement of fine aggregates on the properties of two grades of concrete. Constr. Build. Mater. 2015, 83, 216–222. [Google Scholar] [CrossRef]
- Bhardwaj, B.; Kumar, P. Waste foundry sand in concrete: A review. Constr. Build. Mater. 2017, 156, 661–674. [Google Scholar] [CrossRef]
- Wen, S.; Chung, D.D.L. Partial replacement of carbon fiber by carbon black in multifunctional cement-matrix composites. Carbon N. Y. 2007, 45, 505–513. [Google Scholar] [CrossRef]
- Mobili, A.; Giosuè, C.; Corinaldesi, V.; Tittarelli, F. Bricks and Concrete Wastes as Coarse and Fine Aggregates in Sustainable Mortars. Adv. Mater. Sci. Eng. 2018, 2018, 8676708. [Google Scholar] [CrossRef]
- Mobili, A.; Giosuè, C.; Tittarelli, F. Valorisation of GRP Dust Waste in Fired Clay Bricks. Adv. Civ. Eng. 2018, 2018, 5256741. [Google Scholar] [CrossRef]
- Mobili, A.; Belli, A.; Giosuè, C.; Telesca, A.; Marroccoli, M.; Tittarelli, F. Calcium Sulfoaluminate, Geopolymeric, and Cementitious Mortars for Structural Applications. Environments 2017, 4, 64. [Google Scholar] [CrossRef]
- Mobili, A.; Telesca, A.; Marroccoli, M.; Tittarelli, F. Calcium sulfoaluminate and alkali-activated fly ash cements as alternative to Portland cement: Study on chemical, physical-mechanical, and durability properties of mortars with the same strength class. Constr. Build. Mater. 2020, 246, 118436. [Google Scholar] [CrossRef]
- Odimegwu, T.C.; Zakaria, I.; Abood, M.M.; Ibearugbulem, O. The use of industrial wastes as filler in concrete/mortar: A critical review. J. Eng. Appl. Sci. 2018, 13, 5987–5996. [Google Scholar] [CrossRef]
- Mrad, R.; Chehab, G. Mechanical and Microstructure Properties of Biochar-Based Mortar: An Internal Curing Agent for PCC. Sustainability 2020, 11, 2491. [Google Scholar] [CrossRef]
- Giosuè, C.; Pierpaoli, M.; Mobili, A.; Ruello, M.L.; Tittarelli, F. Multifunctional Lightweight Mortars for Indoor Applications to Improve Comfort and Health of Occupants: Thermal Properties and Photocatalytic Efficiency. Front. Mater. 2020, 7, 255. [Google Scholar] [CrossRef]
- Du, H.; Pang, S.D. Enhancement of barrier properties of cement mortar with graphene nanoplatelet. Cem. Concr. Res. 2015, 76, 10–19. [Google Scholar] [CrossRef]
- Prolongo, S.G.; Moriche, R.; Jiménez-Suárez, A.; Sánchez, M.; Ureña, A. Advantages and disadvantages of the addition of graphene nanoplatelets to epoxy resins. Eur. Polym. J. 2014, 61, 206–214. [Google Scholar] [CrossRef]
- Belli, A.; Mobili, A.; Bellezze, T.; Tittarelli, F.; Cachim, P.B. Piezoresistive behavior of mortars loaded with graphene and carbon fibers for the development of self-sensing composites. In Advances and Trends in Engineering Sciences and Technologies III—Proceedings of the 3rd International Conference on Engineering Sciences and Technologies; Taylor & Francis Group: Abingdon, UK, 2019; pp. 37–42. [Google Scholar]
- Chen, B.; Wu, K.; Yao, W. Conductivity of carbon fiber reinforced cement-based composites. Cem. Concr. Compos. 2004, 26, 291–297. [Google Scholar] [CrossRef]
- Berrocal, C.G.; Hornbostel, K.; Geiker, M.R.; Löfgren, I.; Lundgren, K.; Bekas, D.G. Electrical resistivity measurements in steel fibre reinforced cementitious materials. Cem. Concr. Compos. 2018, 89, 216–229. [Google Scholar] [CrossRef]
- Wen, S.; Chung, D.D.L. Piezoresistivity-based strain sensing in carbon fiber-reinforced cement. ACI Mater. J. 2007, 104, 171–179. [Google Scholar]
- Han, B.; Sun, S.; Ding, S.; Zhang, L.; Yu, X.; Ou, J. Review of nanocarbon-engineered multifunctional cementitious composites. Compos. Part A Appl. Sci. Manuf. 2015, 70, 69–81. [Google Scholar] [CrossRef]
- Polder, R.B. Test methods for on site measurement of resistivity of concrete—A RILEM TC-154 technical recommendation. Constr. Build. Mater. 2001, 15, 125–131. [Google Scholar] [CrossRef]












| Mortar | Cement (g) | Sand (g) | Water (g) | SP a (g) | GNP b (g) | UFS c (g) | GCH d (g) | VCF e (g) | RCF f (g) | Slump (mm) |
|---|---|---|---|---|---|---|---|---|---|---|
| REF g | 512 | 1535 | 256 | 2.8 | - | - | - | - | 188 | |
| UFS | 512 | 1535 | 256 | 6.0 | - | 20.5 | - | - | - | 193 |
| GCH | 512 | 1535 | 256 | 6.0 | - | - | 20.5 | - | - | 182 |
| GNP | 512 | 1535 | 256 | 8.4 | 20.5 | - | - | - | - | 187 |
| 0.05VCF | 512 | 1535 | 256 | 3.3 | - | - | - | 0.9 | - | 184 |
| 0.2VCF | 512 | 1535 | 256 | 4.3 | - | - | - | 3.4 | - | 187 |
| 0.05RCF | 512 | 1535 | 256 | 3.3 | - | - | - | - | 0.9 | 185 |
| 0.2RCF | 512 | 1535 | 256 | 4.3 | - | - | - | - | 3.7 | 185 |
| Mortar | CEM (g) | Sand (g) | Water (g) | SP (g) | GCH (g) | VCF (g) | RCF (g) | Slump (mm) |
|---|---|---|---|---|---|---|---|---|
| GCH-0.05VCF | 512 | 1535 | 256 | 5.6 | 20.5 | 0.9 | - | 186 |
| GCH-0.2VCF | 512 | 1535 | 256 | 9.1 | 20.5 | 3.4 | - | 200 |
| GCH-0.05RCF | 512 | 1535 | 256 | 6.2 | 20.5 | - | 0.9 | 190 |
| GCH-0.2RCF | 512 | 1535 | 256 | 8.1 | 20.5 | - | 3.7 | 193 |
| Mortar | Rf (MPa) | Rc (MPa) | DC a | AC b |
|---|---|---|---|---|
| ρ (Ω·cm) | ρ (Ω·cm) | |||
| REF | 8.0 ± 0.0 | 47.6 ± 0.9 | 7615 ± 334 | 8202 ± 214 |
| UFS | 7.0 ± 1.1 | 44.9 ± 1.3 | 10,863 ± 542 | 10,464 ± 371 |
| GCH | 7.4 ± 0.1 | 47.6 ± 0.5 | 5316 ± 159 | 4727 ± 29 |
Publisher’s Note: MDPI stays neutral with regard to jurisdictional claims in published maps and institutional affiliations. |
© 2020 by the authors. Licensee MDPI, Basel, Switzerland. This article is an open access article distributed under the terms and conditions of the Creative Commons Attribution (CC BY) license (http://creativecommons.org/licenses/by/4.0/).
Share and Cite
Mobili, A.; Giosuè, C.; Bellezze, T.; Revel, G.M.; Tittarelli, F. Gasification Char and Used Foundry Sand as Alternative Fillers to Graphene Nanoplatelets for Electrically Conductive Mortars with and without Virgin/Recycled Carbon Fibres. Appl. Sci. 2021, 11, 50. https://doi.org/10.3390/app11010050
Mobili A, Giosuè C, Bellezze T, Revel GM, Tittarelli F. Gasification Char and Used Foundry Sand as Alternative Fillers to Graphene Nanoplatelets for Electrically Conductive Mortars with and without Virgin/Recycled Carbon Fibres. Applied Sciences. 2021; 11(1):50. https://doi.org/10.3390/app11010050
Chicago/Turabian StyleMobili, Alessandra, Chiara Giosuè, Tiziano Bellezze, Gian Marco Revel, and Francesca Tittarelli. 2021. "Gasification Char and Used Foundry Sand as Alternative Fillers to Graphene Nanoplatelets for Electrically Conductive Mortars with and without Virgin/Recycled Carbon Fibres" Applied Sciences 11, no. 1: 50. https://doi.org/10.3390/app11010050
APA StyleMobili, A., Giosuè, C., Bellezze, T., Revel, G. M., & Tittarelli, F. (2021). Gasification Char and Used Foundry Sand as Alternative Fillers to Graphene Nanoplatelets for Electrically Conductive Mortars with and without Virgin/Recycled Carbon Fibres. Applied Sciences, 11(1), 50. https://doi.org/10.3390/app11010050
