A Closed-Form Method for Simultaneous Target Localization and UAV Trajectory Optimization
Abstract
Featured Application
Abstract
1. Introduction
- (i)
- It is derived that the target localization using the UAV with a visual platform is a 3D bearing-only target localization problem.
- (ii)
- A closed-form method based on EIF for the simultaneous target localization and UAV trajectory optimization problem is presented, which well decouples the target localization from the UAV trajectory optimization. By using the predicted estimate of the target estimate and taking account of the process noise in the trajectory optimization phase, the optimized next waypoint will become more effective than existing methods.
- (iii)
- By analyzing the valid information of the information matrix, the position-related information matrix is extracted, which can facilitate the numerical computation for the optimization objective of the next waypoint.
2. Target Localization Based on Visual Platform
2.1. System Structure and Preliminaries
2.2. Target Localization Principle
3. Simultaneous Target Localization and Unmanned Aerial Vehicle (UAV) Trajectory Optimization
3.1. Target Localization with the Attitude Measurement of Line of Sight (LoS)
3.2. Simultaneous Target Localization and UAV Trajectory Optimization
3.2.1. Target Localization Using EIF
- Prediction update:
- Measurement update:wheredenotes the Jacobian matrix of with respect to at , and can be computed using the corresponding information matrix and information state vector as follows:
3.2.2. UAV Trajectory Optimization
| Algorithm 1: Simultaneous target localization and UAV trajectory optimization. | |
| Input: Initial state and covariance matrix ; initial position of UAV ; Process noise covariance: ; Measurement noise covariance: , | |
| Output: UAV waypoints , and target position estimate ; | |
| 1: | ;; |
| 2: | for do |
| 3: | ; |
| 4: | ; |
| 5: | Establish the objective: ; |
| Solve the optimization problem (31) using interior points method. | |
| 6: | ; |
| 7: | ; |
| 8: | ; |
| 9: | Wait for a new measurement: ; |
| 10: | ; |
| 11: | ; |
| 12: | ; |
| 13: | ; |
| 14: | ; |
| 15: | ; |
| 16: | end for |
3.2.3. Generalization to Other Motion Models
4. Simulations, Experiments and Results Analysis
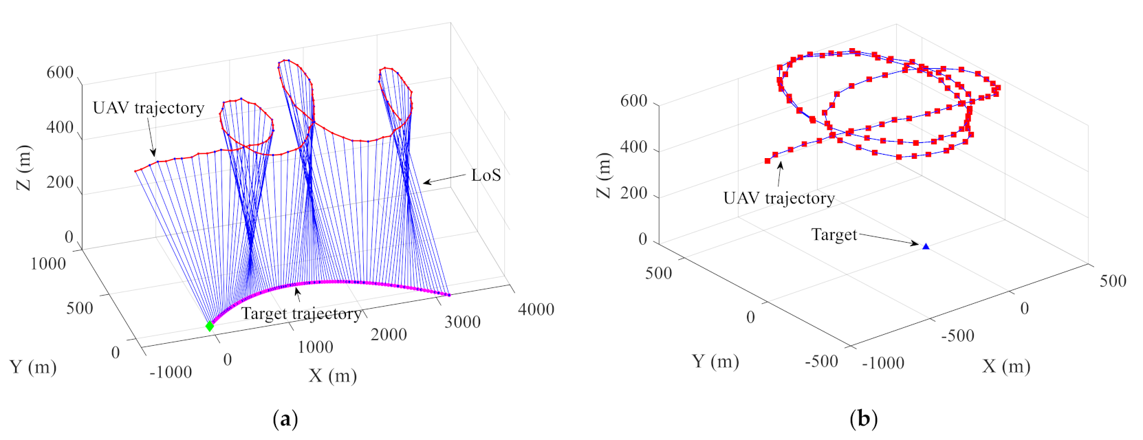
4.1. Simulations
4.2. Field Experiment
5. Conclusions
Author Contributions
Funding
Conflicts of Interest
References
- Ponda, S.; Kolacinski, R.; Frazzoli, E. Trajectory Optimization for Target Localization Using Small Unmanned Aerial Vehicles. In Proceedings of the AIAA Guidance, Navigation, and Control Conference, Chicago, IL, USA, 10–13 August 2009. [Google Scholar]
- Quigley, M.; Goodrich, M.A.; Griffiths, S.; Eldredge, A.; Beard, R.W. Target Acquisition, Localization, and Surveillance Using a Fixed-Wing Mini-UAV and Gimbaled Camera. In Proceedings of the 2005 IEEE International Conference on Robotics and Automation, Barcelona, Spain, 18–22 April 2005; IEEE: New York, NY, USA, 2005. [Google Scholar]
- Barber, D.B.; Redding, J.D.; Mclain, T.W.; Beard, R.W.; Taylor, C.N. Vision-based Target Geo-location using a Fixed-wing Miniature Air Vehicle. J. Intell. Robot. Syst. 2006, 47, 361–382. [Google Scholar] [CrossRef]
- Sohn, S.; Lee, B.R.; Kim, J.; Kee, C. Vision-based real-time target localization for single-antenna GPS-guided UAV. IEEE Trans. Aerosp. Electron. Syst. 2008, 44, 1391–1401. [Google Scholar] [CrossRef]
- Redding, J.D.; Mclain, T.W.; Beard, R.W.; Taylor, C.N. Vision-Based Target Localization from a Fixed-Wing Miniature Air Vehicle. In Proceedings of the American Control Conference, Minneapolis, MN, USA, 14–16 June 2006. [Google Scholar]
- Doğançay, K. Bearings-only target localization using total least squares. Signal Process. 2005, 85, 1695–1710. [Google Scholar] [CrossRef]
- Bishop, A.N.; Anderson, B.D.O.; Fidan, B.; Pathirana, P.N.; Mao, G. Bearing-Only Localization using Geometrically Constrained Optimization. IEEE Trans. Aerosp. Electron. Syst. 2009, 45, 308–320. [Google Scholar] [CrossRef]
- Wang, X.; Liu, J.; Zhou, Q. Real-time multi-target localization from unmanned aerial vehicles. Sensors 2017, 17, 33. [Google Scholar] [CrossRef] [PubMed]
- Doğançay, K.; Hmam, H. Optimal angular sensor separation for AOA localization. Signal Process. 2008, 88, 1248–1260. [Google Scholar] [CrossRef]
- Bishop, A.N.; Fidan, B.; Anderson, B.D.O.; Doğançay, K.; Pathirana, P.N. Optimality analysis of sensor-target localization geometries. Automatica 2010, 46, 479–492. [Google Scholar] [CrossRef]
- Xu, S.; Dogancay, K. Optimal Sensor Placement for 3-D Angle-of-Arrival Target Localization. IEEE Trans. Aerosp. Electron. Syst. 2017, 53, 1196–1211. [Google Scholar] [CrossRef]
- Bai, G.; Liu, J.; Song, Y.; Zuo, Y. Two-UAV intersection localization system based on the airborne optoelectronic platform. Sensors 2017, 17, 98. [Google Scholar] [CrossRef] [PubMed]
- Passerieux, J.-M.; Van Cappel, D. Optimal observer maneuver for bearings-only tracking. IEEE Trans Aerosp. Electron. Syst. 1998, 34, 777–788. [Google Scholar] [CrossRef]
- Wei, H.-W.; Peng, R.; Wan, Q.; Chen, Z.X.; Ye, S.F. Multidimensional scaling analysis for passive moving target localization with TDOA and FDOA measurements. IEEE Trans. Signal Process. 2009, 58, 1677–1688. [Google Scholar]
- Deghat, M.; Shames, I.; Anderson, B.D.; Yu, C. Localization and circumnavigation of a slowly moving target using bearing measurements. IEEE Trans. Autom. Control 2014, 59, 2182–2188. [Google Scholar] [CrossRef]
- Crasta, N.; Moreno-Salinas, D.; Pascoal, A.M.; Aranda, J. Multiple autonomous surface vehicle motion planning for cooperative range-based underwater target localization. Annu. Rev. Control 2018, 46, 326–342. [Google Scholar] [CrossRef]
- Uluskan, S. Noncausal trajectory optimization for real-time range-only target localization by multiple UAVs. Aerosp. Sci. Technol. 2020, 99, 105558. [Google Scholar] [CrossRef]
- Anjaly, P.; Ratnoo, A. Observability enhancement of maneuvering target with bearings-only information. J. Guid. Control Dyn. 2018, 41, 184–198. [Google Scholar] [CrossRef]
- He, S.; Shin, H.-S.; Tsourdos, A. Trajectory optimization for target localization with bearing-only measurement. IEEE Trans. Robot. 2019, 35, 653–668. [Google Scholar] [CrossRef]
- Lee, W.; Bang, H.; Leeghim, H. Cooperative localization between small UAVs using a combination of heterogeneous sensors. Aerosp. Sci. Technol. 2013, 27, 105–111. [Google Scholar] [CrossRef]
- Dogancay, K. UAV path planning for passive emitter localization. IEEE Trans. Aerosp. Electron. Syst. 2012, 48, 1150–1166. [Google Scholar] [CrossRef]
- Fosbury, A.; Crassidis, J. Optimal Trajectory Determination for Increased Relative Navigation Observability of Air Vehicles. In Proceedings of the AIAA Guidance, Navigation and Control Conference and Exhibit, Honolulu, HI, USA, 18–21 August 2008. [Google Scholar]
- Oshman, Y.; Davidson, P. Optimization of observer trajectories for bearings-only target localization. IEEE Trans. Aerosp. Electron. Syst. 1999, 35, 892–902. [Google Scholar] [CrossRef]
- Tokekar, P.; Hook, J.V.; Isler, V. Active Target Localization for Bearing Based Robotic Telemetry. In Proceedings of the 2011 IEEE/RSJ International Conference on Intelligent Robots and Systems, San Francisco, CA, USA, 25–30 September 2011. [Google Scholar]
- Yu, H.; Sharma, R.; Beard, R.W.; Taylor, C.N. Observability-based local path planning and obstacle avoidance using bearing-only measurements. Robot. Auton. Syst. 2013, 61, 1392–1405. [Google Scholar] [CrossRef]
- Grime, S.; Durrant-Whyte, H.F.; Ho, P. Communication in Decentralized Data-Fusion Systems. In Proceedings of the 1992 American Control Conference, Chicago, IL, USA, 24–26 June 1992. [Google Scholar]
- Bar-Shalom, Y.; Li, X.-R. Estimation and Tracking-Principles, Techniques, and Software; Artech House, Inc.: Norwood, MA, USA, 1993. [Google Scholar]
- Bar-Shalom, Y.; Li, X.R.; Kirubarajan, T. Estimation with Applications to Tracking and Navigation: Theory Algorithms and Software; John Wiley & Sons: Hoboken, NJ, USA, 2004. [Google Scholar]
- Iskandarani, M.; Givigi, S.N.; Rabbath, C.A.; Beaulieu, A. Linear Model Predictive Control for the Encirclement of a Target Using a Quadrotor Aircraft. In Proceedings of the 21st Mediterranean Conference on Control and Automation, Chania, Greece, 25–28 June 2013; IEEE: New York, NY, USA, 2013. [Google Scholar]















| Roll Angle | Pitch Angle | Yaw Angle | Azimuth | Elevation | |
|---|---|---|---|---|---|
| SYM | |||||
| STD (degree) | 0.8 | 0.8 | 1.2 | 1 | 1 |
| Roll Angle | Pitch Angle | Yaw Angle | Azimuth | Elevation | |
|---|---|---|---|---|---|
| SYM | |||||
| STD (degree) | 1.5 | 1.5 | 2 | 5 | 5 |
Publisher’s Note: MDPI stays neutral with regard to jurisdictional claims in published maps and institutional affiliations. |
© 2020 by the authors. Licensee MDPI, Basel, Switzerland. This article is an open access article distributed under the terms and conditions of the Creative Commons Attribution (CC BY) license (http://creativecommons.org/licenses/by/4.0/).
Share and Cite
Wang, D.; Huang, D.; Xu, C.; Han, W. A Closed-Form Method for Simultaneous Target Localization and UAV Trajectory Optimization. Appl. Sci. 2021, 11, 114. https://doi.org/10.3390/app11010114
Wang D, Huang D, Xu C, Han W. A Closed-Form Method for Simultaneous Target Localization and UAV Trajectory Optimization. Applied Sciences. 2021; 11(1):114. https://doi.org/10.3390/app11010114
Chicago/Turabian StyleWang, Dongzhen, Daqing Huang, Cheng Xu, and Wei Han. 2021. "A Closed-Form Method for Simultaneous Target Localization and UAV Trajectory Optimization" Applied Sciences 11, no. 1: 114. https://doi.org/10.3390/app11010114
APA StyleWang, D., Huang, D., Xu, C., & Han, W. (2021). A Closed-Form Method for Simultaneous Target Localization and UAV Trajectory Optimization. Applied Sciences, 11(1), 114. https://doi.org/10.3390/app11010114
