A Simplified Method for Assessing the Response of RC Frame Structures to Sudden Column Removal
Abstract
1. Introduction
2. Modelling Sudden Column Removal on Frame structures
2.1. Maximum Dynamic Response of the System
- a linear elastic phase with tangent stiffness . This phase ends at a yielding force , corresponding to a displacement ;
- a hardening phase with plasticity. The tangent stiffness of this phase has tangent stiffness . The system increases its displacement up to , when its velocity is null;
- the unloading follows a linear elastic law with tangent stiffness equal to .
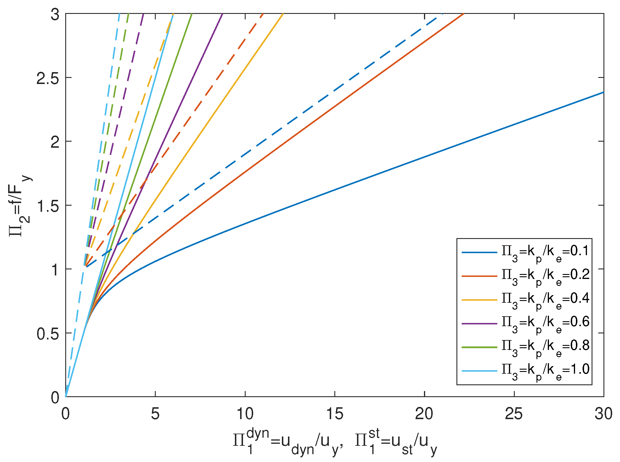
2.2. Dimensional Analysis for the Dynamic Phase of the Sudden Damage
2.3. Dynamic Amplification Factor (DAF)
3. Proposed Method for the Simplified Analysis
- 1.
- the capacity and the ductility properties of the beams are assessed and a bending moment-curvature (BM-) relationship is obtained. The bending moment at yielding, , and the ultimate bending moment, , and the corresponding kinematic quantities, and , are considered as representative for the behaviour of the concrete cross-section;
- 2.
- the axial force, , acting in the removed column is computed considering the loads applied on its tributary area, that is, half of the dead and live loads each beam plus the weight of the upper columns.
- 3.
- the mechanism that originates following column removal is studied and the upper bound theorem of the plastic analysis is applied. With reference to Figure 7b, the replacement axial force previously computed is inserted in the mechanism as an upward force located in A; bending moments m are applied in the plastic hinges. A downward variable force, that is, column removal force, is inserted in A. The value of for which the virtual work principle (VWP) holds defines an upper bound collapse load, [37];
- 4.
- the chord rotation of beams ends, , is computed and an approximate downward displacement of node A is obtained as ;
- 5.
- the compliance curve is built repeating points 3. and 4. considering the yielding and ultimate capacities of the beams. The yielding force, , is computed through the load multiplier and the corresponding displacement, , through the chord rotation at yielding, . A similar approach is required for the ultimate point, that is, for and . The tangent stiffnesses in the elastic and in the plastic with hardening part of the curve are evaluated as
- 6.
- the displacement due to a quasi-static column removal process is evaluated asThe dimensionless quantities , and are computed and the dynamic amplification factor is evaluated following the steps reported in Appendix A;
- 7.
- the maximum dynamic displacement is computed as .
4. An Example
- 1.
- The analytical model proposed by Park and Paulay [39] was adopted for the evaluation of the bending moments and the corresponding curvatures. It results a bending moment at yielding equal to kNm and a curvature equal to m. Referring to the ultimate capacity, it follows that at the ultimate concrete compressive strain, , the compression steel is not yielding. The ultimate bending moment and curvature are kNm and m, respectively.
- 2.
- The axial force in the selected column was evaluated considering the tributary area of the column, that is, half length of the beam. The force results from the following expressionwhere and are the dead and the live loads, respectively, and are the linear weights of beam and column, respectively, ℓ is the length of the beam, h is the interstorey height, is the number of floors and is the width of the column. For the present example, the axial force is kN.
- 3.
- The upper bound theorem of the plastic analysis was applied and the load multiplier that defines the collapse load is determined asSubstituting the values of the yielding and the ultimate bending moments it results and , respectively.
- 4.
- The chord rotation of beams end were computed through the analytical models proposed in the Italian Building Code [40,41] for an equivalent cantilever: the elastic rotation is due to an elastic curvature increasing from zero (at the free end of the cantilever) to (at the opposite end); the plastic curvature, that is, , is kept constant on the plastic hinge length [42]. According to the aforementioned approach, chord rotation at yielding is radians, while ultimate chord rotation is equal to radians. The corresponding downward displacements are mm and mm.
- 5.
- The bilinear compliance curve is derived from the data previously obtained. It results kN and kN. Thus, the tangent stiffnesses in the elastic and the hardening phase are computed through Equations (7), resulting in 6,443,181 N/m and 311,482 N/m.
- 6.
- the displacement due to a quasi-static column removal process was computed through Equation (8) as mm. The displacement at yielding to be inserted in the dimensionless quantities computed at the following point is mm.
- 7.
- The dimensionless quantities were computed according to Section 2.2 asfrom which is computed. Referring to the dimensionless static displacement, it results .
- 8.
- The dynamic amplification factor isfrom which it results mm.
Special Case: Side Column Removal
5. Comparison with Numerical Simulations
6. Conclusions
Author Contributions
Funding
Conflicts of Interest
Appendix A. Solution of the Nonlinear SDOF System
References
- De Biagi, V.; Parisi, F.; Asprone, D.; Chiaia, B.; Manfredi, G. Collapse resistance assessment through the implementation of progressive damage in finite element codes. Eng. Struct. 2017, 136, 523–534. [Google Scholar] [CrossRef]
- Abbasnia, R.; Nav, F.; Usefi, N.; Rashidian, O. A new method for progressive collapse analysis of RC frames. Struct. Eng. Mech. 2016, 60, 31–50. [Google Scholar] [CrossRef]
- Starossek, U. Typology of progressive collapse. Eng. Struct. 2007, 29, 2302–2307. [Google Scholar] [CrossRef]
- Izzuddin, B.; Vlassis, A.; Elghazouli, A.; Nethercot, D. Progressive collapse of multi-storey buildings due to sudden column loss–Part I: Simplified assessment framework. Eng. Struct. 2008, 30, 1308–1318. [Google Scholar] [CrossRef]
- Tsai, M.H. An analytical methodology for the dynamic amplification factor in progressive collapse evaluation of building structures. Mech. Res. Commun. 2010, 37, 61–66. [Google Scholar] [CrossRef]
- Brunesi, E.; Nascimbene, R. Extreme response of reinforced concrete buildings through fiber force-based finite element analysis. Eng. Struct. 2014, 69, 206–215. [Google Scholar] [CrossRef]
- Almusallam, T.; Elsanadedy, H.; Abbas, H.; Alsayed, S.; Al-Salloum, Y. Progressive collapse analysis of a RC building subjected to blast loads. Struct. Eng. Mech. 2010, 36, 301–319. [Google Scholar] [CrossRef]
- Liu, R.; Davison, B.; Tyas, A. A study of progressive collapse in multi-storey steel frames. In Proceedings of the Structures Congress 2005: Metropolis and Beyond, New York, NY, USA, 20–24 April 2005; pp. 1–9. [Google Scholar]
- Olmati, P.; Petrini, F.; Bontempi, F. Numerical analyses for the structural assessment of steel buildings under explosions. Struct. Eng. Mech. 2013, 45, 803–819. [Google Scholar] [CrossRef]
- Weerheijm, J.; Mediavilla, J.; Van Doormaal, J. Explosive loading of multi storey RC buildings: Dynamic response and progressive collapse. Struct. Eng. Mech. 2009, 32, 193–212. [Google Scholar] [CrossRef]
- Yu, J.; Guo, Y. Nonlinear SDOF model for dynamic response of structures under progressive collapse. J. Eng. Mech. 2015, 142, 04015103. [Google Scholar] [CrossRef]
- Stephen, D.; Lam, D.; Forth, J.; Ye, J.; Tsavdaridis, K. An evaluation of modelling approaches and column removal time on progressive collapse of building. J. Constr. Steel Res. 2019, 153, 243–253. [Google Scholar] [CrossRef]
- Gudmundsson, G.; Izzuddin, B. The ‘sudden column loss’ idealisation for disproportionate collapse assessment. Struct. Eng. 2010, 88, 22–26. [Google Scholar]
- Sasani, M.; Kropelnicki, J. Progressive collapse analysis of an RC structure. Struct. Des. Tall Spec. Build. 2008, 17, 757–771. [Google Scholar] [CrossRef]
- Lu, X.; Lin, K.; Li, Y.; Guan, H.; Ren, P.; Zhou, Y. Experimental investigation of RC beam-slab substructures against progressive collapse subject to an edge-column-removal scenario. Eng. Struct. 2017, 149, 91–103. [Google Scholar] [CrossRef]
- Yu, J.; Tan, K.H. Experimental and numerical investigation on progressive collapse resistance of reinforced concrete beam column sub-assemblages. Eng. Struct. 2013, 55, 90–106. [Google Scholar] [CrossRef]
- Yu, J.; Tan, K.H. Structural behavior of RC beam-column subassemblages under a middle column removal scenario. J. Struct. Eng. 2013, 139, 233–250. [Google Scholar] [CrossRef]
- Bao, Y.; Lew, H.S.; Kunnath, S.K. Modeling of reinforced concrete assemblies under column-removal scenario. J. Struct. Eng. 2014, 140, 04013026. [Google Scholar] [CrossRef]
- Valipour, H.R.; Foster, S.J. Finite element modelling of reinforced concrete framed structures including catenary action. Comput. Struct. 2010, 88, 529–538. [Google Scholar] [CrossRef]
- Pham, A.T.; Tan, K.H.; Yu, J. Numerical investigations on static and dynamic responses of reinforced concrete sub-assemblages under progressive collapse. Eng. Struct. 2017, 149, 2–20. [Google Scholar] [CrossRef]
- Pham, A.T.; Tan, K.H. A simplified model of catenary action in reinforced concrete frames under axially restrained conditions. Mag. Concr. Res. 2017, 69, 1115–1134. [Google Scholar] [CrossRef]
- Marchelli, M.; De Biagi, V. Dynamic effects induced by the impact of debris flows on protection barriers. Int. J. Prot. Struct. 2019, 10, 116–131. [Google Scholar] [CrossRef]
- Ventura, A.; De Biagi, V.; Chiaia, B. Structural robustness of RC frame buildings under threat-independent damage scenarios. Struct. Eng. Mech. 2018, 65, 689–698. [Google Scholar]
- Clough, R.; Penzien, J. Dynamics of Structures; Computers & Structures; Pearson: Harlow, UK, 1995. [Google Scholar]
- Chopra, A. Dynamics of Structures. Theory and Applications to Earthquake Engineering, 4th ed.; Pearsons: Harlow, UK, 2014. [Google Scholar]
- Tsai, M.H.; Lin, B.H. Dynamic amplification factor for progressive collapse resistance analysis of an RC building. Struct. Des. Tall Spec. Build. 2009, 18, 539–557. [Google Scholar] [CrossRef]
- Tsai, M.H.; You, Z.K. Experimental evaluation of inelastic dynamic amplification factors for progressive collapse analysis under sudden support loss. Mech. Res. Commun. 2012, 40, 56–62. [Google Scholar] [CrossRef]
- Powell, G. Progressive collapse: Case studies using nonlinear analysis. In Proceedings of the Structures Congress 2005: Metropolis and Beyond, New York, NY, USA, 20–24 April 2005; pp. 1–14. [Google Scholar]
- Tavakoli, H.R.; Kiakojouri, F. Numerical study of progressive collapse in framed structures: A new approach for dynamic column removal. Int. J. Eng. Trans. A: Basics 2013, 26, 685–692. [Google Scholar] [CrossRef]
- Kiakojouri, F.; Sheidaii, M.R.; De Biagi, V.; Chiaia, B. Progressive Collapse Assessment of Steel Moment-Resisting Frames Using Static-and Dynamic-Incremental Analyses. J. Perform. Constr. Facil. 2020, 34, 04020025. [Google Scholar] [CrossRef]
- De Biagi, V.; Chiaia, B. Complexity and robustness of frame structures. Int. J. Solids Struct. 2013, 50, 3723–3741. [Google Scholar] [CrossRef]
- Kiakojouri, F.; Sheidaii, M.R. Effects of finite element modeling and analysis techniques on response of steel moment-resisting frame in dynamic column removal scenarios. Asian J. Civ. Eng. 2018, 19, 295–307. [Google Scholar] [CrossRef]
- Makris, N.; Black, C. Dimensional analysis of rigid-plastic and elastoplastic structures under pulse-type excitations. J. Eng. Mech. 2004, 130, 1006–1018. [Google Scholar] [CrossRef]
- Langhaar, H. Dimensional Analysis and Theory of Models; Wiley: New York, NY, USA, 1951. [Google Scholar]
- Barenblatt, G. Scaling, Self-Similarity, and Intermediate Asymptotics: Dimensional Analysis and Intermediate Asymptotics; Cambridge University Press: Cambridge, UK, 1996. [Google Scholar]
- Kiakojouri, F.; De Biagi, V.; Chiaia, B.; Sheidaii, M.R. Progressive collapse of framed building structures: Current knowledge and future prospects. Eng. Struct. 2020, 206, 110061. [Google Scholar] [CrossRef]
- Megson, T.H.G. Structural and Stress Analysis; Butterworth-Heinemann: Oxford, UK, 2019. [Google Scholar]
- CEN. EN 1992-1-1:2004 Eurocode 2: Design of Concrete Structures; Comité Européen de Normalisation: Brussels, Belgium, 2004. [Google Scholar]
- Park, R.; Paulay, T. Reinforced Concrete Structures; John Wiley & Sons: Hoboken, NJ, USA, 1975. [Google Scholar]
- Italian Ministry for Infrastructures and Transports. Aggiornamento delle Norme tecniche per le costruzioni. Gazz. Uff. Della Repubb. Ital. 2018, 42, 1–368. [Google Scholar]
- Italian Ministry for Infrastructures and Transports. Istruzioni per l’applicazione dell’Aggiornamento delle “Norme tecniche per le costruzioni” di cui al DM 17 gennaio 2018. Gazz. Uff. Della Repubb. Ital. 2019, 35, 1–348. [Google Scholar]
- Mpampatsikos, V.; Nascimbene, R.; Petrini, L. A critical review of the RC frame existing building assessment procedure according to Eurocode 8 and Italian seismic code. J. Earthq. Eng. 2008, 12, 52–82. [Google Scholar] [CrossRef]
- Seismosoft Ltd. SeismoStruct—A Computer Program for Static and Dynamic Nonlinear Analysis of Framed Structures. Available online: www.seismosoft.com (accessed on 28 April 2020).
- Seismosoft Ltd. SeismoStruct Technical Information Sheet. 2018. Available online: www.seismosoft.com (accessed on 28 April 2020).
- Mander, J.B.; Priestley, M.J.; Park, R. Theoretical stress-strain model for confined concrete. J. Struct. Eng. 1988, 114, 1804–1826. [Google Scholar] [CrossRef]
- Scott, M.H.; Fenves, G.L. Plastic hinge integration methods for force-based beam–column elements. J. Struct. Eng. 2006, 132, 244–252. [Google Scholar] [CrossRef]
- Hilber, H.M.; Hughes, T.J.; Taylor, R.L. Improved numerical dissipation for time integration algorithms in structural dynamics. Earthq. Eng. Struct. Dyn. 1977, 5, 283–292. [Google Scholar] [CrossRef]










| Beams | Removed | DAF | Error | |||
|---|---|---|---|---|---|---|
| Reinforcement | Column | (mm) | (mm) | (mm) | ||
| 3 + 316 | Middle | 32.4 | 124.4 | 3.84 | 122.5 | −1.5% |
| 3 + 320 | Middle | 23.3 | 47.7 | 2.04 | 49.8 | +4.4% |
| 4 + 416 | Middle | 25.8 | 57.6 | 2.23 | 61.3 | +6.4% |
| 3 + 320 | Side | 39.2 | 63.2 | 1.61 | 58.7 | −7.7% |
© 2020 by the authors. Licensee MDPI, Basel, Switzerland. This article is an open access article distributed under the terms and conditions of the Creative Commons Attribution (CC BY) license (http://creativecommons.org/licenses/by/4.0/).
Share and Cite
Biagi, V.D.; Kiakojouri, F.; Chiaia, B.; Sheidaii, M.R. A Simplified Method for Assessing the Response of RC Frame Structures to Sudden Column Removal. Appl. Sci. 2020, 10, 3081. https://doi.org/10.3390/app10093081
Biagi VD, Kiakojouri F, Chiaia B, Sheidaii MR. A Simplified Method for Assessing the Response of RC Frame Structures to Sudden Column Removal. Applied Sciences. 2020; 10(9):3081. https://doi.org/10.3390/app10093081
Chicago/Turabian StyleBiagi, Valerio De, Foad Kiakojouri, Bernardino Chiaia, and Mohammad Reza Sheidaii. 2020. "A Simplified Method for Assessing the Response of RC Frame Structures to Sudden Column Removal" Applied Sciences 10, no. 9: 3081. https://doi.org/10.3390/app10093081
APA StyleBiagi, V. D., Kiakojouri, F., Chiaia, B., & Sheidaii, M. R. (2020). A Simplified Method for Assessing the Response of RC Frame Structures to Sudden Column Removal. Applied Sciences, 10(9), 3081. https://doi.org/10.3390/app10093081

