Synthesis, Structures, Electrochemistry, and Catalytic Activity towards Cyclohexanol Oxidation of Mono-, Di-, and Polynuclear Iron(III) Complexes with 3-Amino-2-Pyrazinecarboxylate
Abstract
1. Introduction
2. Experimental
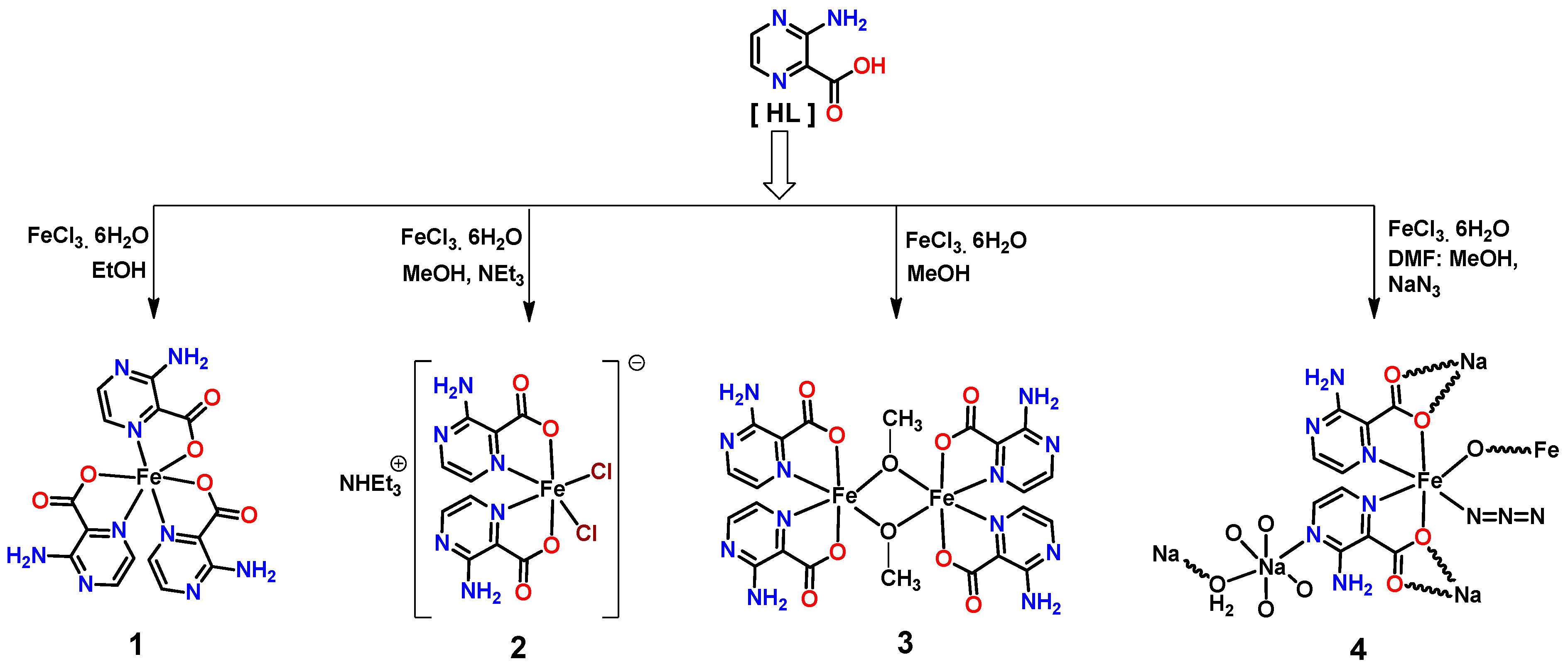
2.1. Synthesis of 1
2.2. Synthesis of 2
2.3. Synthesis of 3
2.4. Synthesis of 4
2.5. Electrochemical Studies
2.6. Crystal Structure Determinations
2.7. General Procedure for the Peroxidative Oxidation of Cyclohexanol
3. Results and Discussion
3.1. Syntheses and Characterization
3.2. Crystal Structure Analyses
3.3. Hirshfeld Surface Analysis
3.4. Electrochemistry of Compounds 1–4
4. Microwave-Assisted Catalytic Peroxidative Oxidation of Cyclohexanol to Cyclohexanone
5. Concluding Remarks
Supplementary Materials
Author Contributions
Funding
Acknowledgments
Conflicts of Interest
References
- Vernik, I.; Stynes, D.V. (μ-Oxo)diiron Complexes of Gated Glyoximes. Structural Changes Accompanying Ligation Trans to the Oxo Bridge. Inorg. Chem. 1996, 35, 2006–2010. [Google Scholar] [CrossRef]
- Feig, A.L.; Lippard, S.J. Reactions of Non-Heme Iron(II) Centers with Dioxygen in Biology and Chemistry. Chem. Rev. 1994, 94, 759–805. [Google Scholar] [CrossRef]
- True, A.E.; Scarrow, R.C.; Randall, C.R.; Holz, R.C.; Que, L. EXAFS studies of uteroferrin and its anion complexes. J. Am. Chem. Soc. 1993, 115, 4246–4255. [Google Scholar] [CrossRef]
- Nordlund, P.; Eklund, H. Structure and function of the Escherichia coli ribonucleotide reductase protein R2. J. Mol. Biol. 1993, 232, 123–164. [Google Scholar] [CrossRef] [PubMed]
- Solomon, E.I.; Brunold, T.C.; Davis, M.I.; Kemsley, J.N.; Lee, S.-K.; Lehnert, N.; Neese, F.; Skulan, A.J.; Yang, Y.-S.; Zhou, J. Geometric and Electronic Structure/Function Correlations in Non-Heme Iron Enzymes. Chem. Rev. 2000, 100, 235–350. [Google Scholar] [CrossRef] [PubMed]
- Parrilha, G.L.; Fernandes, C.; Bortoluzzi, A.J.; Szpoganicz, B.; Silva, M.S.; Pich, C.T.; Terenzi, H.; Horn, A., Jr. A new μ-oxo di-iron complex with suitable features to mimic metallohydrolase activity: X-ray molecular structure, aqua solution behavior and nuclease activity of the complex [Fe(HPClNOL)(SO4)]2-μ-oxo. Inorg. Chem. Commun. 2008, 11, 643–647. [Google Scholar] [CrossRef]
- Biswas, R.; Drew, M.G.B.; Estarellas, C.; Frontera, A.; Ghosh, A. Synthesis and Crystal Structures ofμ-Oxido- andμ-Hydroxido-BridgedDinuclear Iron(III) Complexes with an N2O Donor Ligand—A TheoreticalStudy on the Influence of Weak Forces on the Fe–O–Fe Bridging Angle. Eur. J. Inorg. Chem. 2011, 2011, 2558–2566. [Google Scholar] [CrossRef]
- Naiya, S.; Drew, M.G.B.; Diaz, C.; Ribas, J.; Ghosh, A. Synthesis, Crystal Structure, and Magnetic Properties of a Very Rare Double μ-1,1-Azido- and a μ-1,1-(OMe)-Bridged FeIII Dimer Containing a N,N,O-Donor Tridentate Schiff Base Ligand. Eur. J. Inorg. Chem. 2011, 2011, 4993–4999. [Google Scholar] [CrossRef]
- Negoro, S.; Asada, H.; Fujiwara, M.; Matsushita, T. Preparation and characterization of three types of dinuclear iron(III) complexes with H2salbn, N,N′-disalicylidene-1,4-diaminobutane. Inorg. Chem. Commun. 2003, 6, 357–360. [Google Scholar] [CrossRef]
- Hazra, S.; Bhattacharya, S.; Singh, M.K.; Carrella, L.; Rentschler, E.; Weyhermueller, T.; Rajaraman, G.; Mohanta, S. Syntheses, Structures, Magnetic Properties, and Density Functional Theory Magneto-Structural Correlations of Bis(μ-phenoxo) and Bis(μ-phenoxo)-μ-acetate/Bis(μ-phenoxo)-bis(μ-acetate) Dinuclear FeIIINiII Compounds. Inorg. Chem. 2013, 52, 12881–12892. [Google Scholar] [CrossRef]
- Berto, T.C.; Speelman, A.L.; Zheng, S.; Lehnert, N. Mono-and dinuclear non-heme iron–nitrosyl complexes: Models for key intermediates in bacterial nitric oxide reductases. Coord. Chem. Rev. 2013, 257, 244–259. [Google Scholar] [CrossRef]
- Hill, R.J.; Long, D.L.; Champness, N.R.; Hubberstey, P.; Schroder, M. New Approaches to the Analysis of High Connectivity Materials: Design Frameworks Based upon 44- and 63-Subnet Tectons. Acc. Chem. Res. 2005, 38, 335–348. [Google Scholar] [CrossRef] [PubMed]
- Tanase, S.; Marques Gallego, P.; Bouwman, E.; Long, G.J.; Rebbouh, L.; Grandjean, F.; de Gelder, R.; Mutikainen, I.; Turpeinen, U.; Reedijk, J. Versatility in the binding of 2-pyrazinecarboxylate with iron. Synthesis, structure and magnetic properties of iron(ii) and iron(iii) complexes. Dalton Trans. 2006, 13, 1675–1684. [Google Scholar] [CrossRef]
- Starosta, W.; Leciejewicz, J. catena-Poly[[bis(μ-3-aminopyrazine-2-carboxylato)-κ3N1,O:O; κ3O:N1,O)-dilithium]-di- μ-aqua]. Acta Cryst. 2010, 66, m744–m745. [Google Scholar] [CrossRef] [PubMed]
- Gao, S.; Ng, S.W. (3-Aminopyrazin-4-ium-2-carboxylate-κ2N1,O)diaquazinc(II) dinitrate. Acta Cryst. 2010, 66, m1466. [Google Scholar] [CrossRef]
- Deng, Z.-P.; Kang, W.; Huo, L.-H.; Zhao, H.; Gao, S. Rare-earth organic frameworks involving three types of architecture tuned by the lanthanide contraction effect: Hydrothermal syntheses, structures and luminescence. Dalton Trans. 2010, 39, 6276–6284. [Google Scholar] [CrossRef]
- Karmakar, A.; Hazra, S.; Rúbio, G.M.D.M.; da Guedes Silva, M.F.C.; Pombeiro, A.J.L. Packing polymorphism in 3-amino-2-pyrazinecarboxylate based tin(ii) complexes and their catalytic activity towards cyanosilylation of aldehydes. New J. Chem. 2018, 42, 17513–17523. [Google Scholar] [CrossRef]
- Karmakar, A.; Martins, L.M.D.R.S.; da Guedes Silva, M.F.C.; Hazra, S.; Pombeiro, A.J.L. Solvent-Free Microwave-Assisted Peroxidative Oxidation of Alcohols Catalyzed by Iron(III)-TEMPO Catalytic Systems. Catal. Lett. 2015, 145, 2066–2076. [Google Scholar] [CrossRef]
- Karmakar, A.; Hazra, S.; da Guedes Silva, M.F.C.; Pombeiro, A.J.L. Synthesis, structure and catalytic application of lead(ii) complexes in cyanosilylation reactions. Dalton Trans. 2015, 44, 268–280. [Google Scholar] [CrossRef]
- Boudalis, A.K.; Sanakis, Y.; Dahan, F.; Hendrich, M.; Tuchagues, J.-P. An Octanuclear Complex Containing the {Fe3O}7+ Metal Core: Structural, Magnetic, Mössbauer, and Electron Paramagnetic Resonance Studies. Inorg. Chem. 2006, 45, 443–453. [Google Scholar] [CrossRef]
- Phillips, A.M.F.; Pombeiro, A.J.L.; Kopylovich, M.N. Recent Advances in Cascade Reactions Initiated by Alcohol Oxidation. ChemCatChem 2017, 9, 217–246. [Google Scholar] [CrossRef]
- Gryca, I.; Machura, B.; Małecki, J.G.; Shul’pina, L.S.; Pombeiro, A.J.L.; Shul’pin, G.B. New p-tolylimido rhenium(V) complexes with carboxylate-based ligands: Synthesis, structures and their catalytic potential in oxidations with peroxides. Dalton Trans. 2014, 43, 5759–5776. [Google Scholar] [CrossRef] [PubMed]
- Kopylovich, M.N.; Ribeiro, A.P.C.; Alegria, E.C.B.A.; Martins, N.M.R.; Martins, L.M.D.R.S.; Pombeiro, A.J.L. Catalytic Oxidation of Alcohols: Recent Advances. Adv. Organomet. Chem. 2015, 63, 91–174. [Google Scholar]
- Schröder, K.; Join, B.; Amali, A.J.; Junge, K.; Ribas, X.; Costas, M.; Beller, M. A Biomimetic Iron Catalyst for the Epoxidation of Olefins with Molecular Oxygen at Room Temperature. Angew. Chem. Int. Ed. 2011, 6, 1425–1429. [Google Scholar] [CrossRef]
- Kinen, C.O.; Rossi, L.I.; de Rossi, R.H. Mechanism of the Selective Sulfide Oxidation Promoted by HNO3/FeBr3. J. Org. Chem. 2009, 74, 7132–7139. [Google Scholar] [CrossRef] [PubMed]
- Chen, M.; White, M.C. Combined Effects on Selectivity in Fe-Catalyzed Methylene Oxidation. Science 2010, 327, 566–571. [Google Scholar] [CrossRef]
- Ribeiro, A.P.C.; Martins, L.M.D.R.S.; Carabineiro, S.A.C.; Buijnsters, J.G.; Figueiredo, J.L.; Pombeiro, A.J.L. Heterogenized C-Scorpionate Iron(II) Complex on Nanostructured Carbon Materials as Recyclable Catalysts for Microwave-Assisted Oxidation Reactions. ChemCatChem 2018, 10, 1821. [Google Scholar] [CrossRef]
- Martins, M.D.R.S.; Ribeiro, A.P.C.; Carabineiro, S.A.C.; Figueiredo, J.L.; Pombeiro, A.J.L. Highly efficient and reusable CNT supported iron(ii) catalyst for microwave assisted alcohol oxidation. Dalton Trans. 2016, 45, 6816–6819. [Google Scholar] [CrossRef]
- Ribeiro, A.P.C.; Martins, L.M.D.R.S.; Kuznetsov, M.L.; Pombeiro, A.J.L. Tuning Cyclohexane Oxidation: Combination of Microwave Irradiation and Ionic Liquid with the C-Scorpionate [FeCl2(Tpm)] Catalyst. Organometallics 2017, 36, 192–198. [Google Scholar] [CrossRef]
- Nizova, G.V.; Krebs, B.; Süss-Fink, G.; Schindler, S.; Westerheide, L.; Cuervo, L.G.; Shul’pin, G.B. Hydroperoxidation of methane and other alkanes with H2O2 catalyzed by a dinuclear iron complex and an amino acid. Tetrahedron 2002, 58, 9231–9237. [Google Scholar] [CrossRef]
- Ellis, W.B. Ullmann’s Encyclopedia of Industrial Chemistry, 6th ed.; Chiusoli, G.P., Maitlis, P.M., Eds.; Wiley-VCH: Weinheim, Germany, 1999; pp. 192–195. [Google Scholar]
- Reisner, E.; Arion, V.B.; da Guedes Silva, M.F.C.; Lichtenecker, R.; Eichinger, A.; Keppler, B.K.; Yu Kukushkin, V.; Pombeiro, A.J.L. Tuning of Redox Potentials for the Design of Ruthenium Anticancer Drugs—An Electrochemical Study of [trans-RuCl4L(DMSO)]− and [trans-RuCl4L2]− Complexes, where L = Imidazole, 1,2,4-Triazole, Indazole. Inorg. Chem. 2004, 43, 7083–7093. [Google Scholar] [CrossRef] [PubMed]
- Bruker. APEX2 & SAINT; AXS Inc.: Madison, WI, USA, 2004. [Google Scholar]
- Sheldrick, G.M. A short history of SHELX. Acta Crystallogr. Sect. A 2008, 64, 112–122. [Google Scholar] [CrossRef] [PubMed]
- Farrugia, L.J. WinGX suite for small-molecule single-crystal crystallography. J. Appl. Crystallogr. 1999, 32, 837–838. [Google Scholar] [CrossRef]
- Spek, A.L. PLATON, an Integrated Tool for the Analysis of the Results of a Single Crystal Structure Determination. Acta Crystallogr. Sect. A 1990, 46, C34. [Google Scholar]
- Nakamoto, K. Infrared and Raman Spectra of Inorganic and Coordination Compounds, 5th ed.; Wiley & Sons: New York, NY, USA, 1997. [Google Scholar]
- Wallar, B.J.; Lipscomb, J.D. Dioxygen Activation by Enzymes Containing Binuclear Non-Heme Iron Clusters. Chem. Rev. 1996, 96, 2625–2658. [Google Scholar] [CrossRef] [PubMed]
- Spackman, M.A.; Jayatilaka, D. Hirshfeld surface analysis. CrystEngComm 2009, 11, 19–32. [Google Scholar] [CrossRef]
- Timokhin, I.; Pettinari, C.; Marchetti, F.; Pettinari, R.; Condello, F.; Galli, S.; Alegria, E.C.B.A.; Martins, L.M.D.R.S.; Pombeiro, A.J.L. Novel Coordination Polymers with (Pyrazolato)-based Tectons: Catalytic Activity in the Peroxidative Oxidation of Alcohols and Cyclohexane. Cryst. Growth Des. 2015, 15, 2303–2317. [Google Scholar] [CrossRef]
- Martins, L.M.D.R.S.; de Peixoto Almeida, M.; Carabineiro, S.A.C.; Figueiredo, J.L.; Pombeiro, A.J.L. Heterogenisation of a C-Scorpionate FeII Complex on Carbon Materials for Cyclohexane Oxidation with Hydrogen Peroxide. ChemCatChem 2013, 5, 3847–3856. [Google Scholar] [CrossRef]
- Sutradhar, M.; Barman, T.R.; Pombeiro, A.J.L.; Martins, L.M.D.R.S. Cu(II) and Fe(III) complexes derived from N-acetylpyrazine-2-carbohydrazide as efficient catalysts towards solvent-free microwave assisted oxidation of alcohols. Catalysts 2019, 9, 1053. [Google Scholar] [CrossRef]
- Pettinari, C.; Marchetti, F.; Cerquetella, A.; Pettinari, R.; Monari, M.; Leod, T.C.O.M.; Martins, L.M.D.R.S.; Pombeiro, A.J.L. Coordination chemistry of the (η6-cymene)ruthenium(II) fragment with bis-, tris-, and tetrakis(pyrazol-1-yl)borate ligands: Synthesis, structural, electrochemical and catalytic diastereoselective nitroaldol reaction studies. Organometallics 2011, 30, 1616–1626. [Google Scholar] [CrossRef]
- Ribeiro, A.P.C.; Martins, L.M.D.R.S.; Hazra, S.; Pombeiro, A.J.L. Catalytic Oxidation of Cyclohexane with Hydrogen Peroxide and a Tetracopper(II) Complex in an Ionic Liquid. Comptes Rendus Chim. 2015, 18, 758–765. [Google Scholar] [CrossRef]
- Figiel, P.J.; Leskelä, M.; Repo, T. TEMPO-Copper(II) Diimine-Catalysed Oxidation of Benzylic Alcohols in Aqueous Media. Adv. Synth. Catal. 2007, 349, 1173–1179. [Google Scholar] [CrossRef]
- Karmakar, A.; Soliman, M.M.A.; Alegria, E.C.B.A.; Rúbio, G.M.D.M.; da Guedes Silva, M.F.C.; Pombeiro, A.J.L. A copper-amidocarboxylate based metal organic macrocycle and framework: Synthesis, structure and catalytic activities towards microwave assisted alcohol oxidation and Knoevenagel reactions. New J. Chem. 2019, 43, 9843–9854. [Google Scholar] [CrossRef]












| Complex | IE½red | IIE½red |
|---|---|---|
| 1 | 0.079 | −1.638 |
| 2 | 0.076 | −1.646 |
| 3 | 0.074 | −1.654 |
| 4 | 0.076 | −1.655 |
© 2020 by the authors. Licensee MDPI, Basel, Switzerland. This article is an open access article distributed under the terms and conditions of the Creative Commons Attribution (CC BY) license (http://creativecommons.org/licenses/by/4.0/).
Share and Cite
Karmakar, A.; M.D.R.S. Martins, L.; Yahorava, Y.; C. Guedes da Silva, M.F.; J. L. Pombeiro, A. Synthesis, Structures, Electrochemistry, and Catalytic Activity towards Cyclohexanol Oxidation of Mono-, Di-, and Polynuclear Iron(III) Complexes with 3-Amino-2-Pyrazinecarboxylate. Appl. Sci. 2020, 10, 2692. https://doi.org/10.3390/app10082692
Karmakar A, M.D.R.S. Martins L, Yahorava Y, C. Guedes da Silva MF, J. L. Pombeiro A. Synthesis, Structures, Electrochemistry, and Catalytic Activity towards Cyclohexanol Oxidation of Mono-, Di-, and Polynuclear Iron(III) Complexes with 3-Amino-2-Pyrazinecarboxylate. Applied Sciences. 2020; 10(8):2692. https://doi.org/10.3390/app10082692
Chicago/Turabian StyleKarmakar, Anirban, Luísa M.D.R.S. Martins, Yuliya Yahorava, M. Fátima C. Guedes da Silva, and Armando J. L. Pombeiro. 2020. "Synthesis, Structures, Electrochemistry, and Catalytic Activity towards Cyclohexanol Oxidation of Mono-, Di-, and Polynuclear Iron(III) Complexes with 3-Amino-2-Pyrazinecarboxylate" Applied Sciences 10, no. 8: 2692. https://doi.org/10.3390/app10082692
APA StyleKarmakar, A., M.D.R.S. Martins, L., Yahorava, Y., C. Guedes da Silva, M. F., & J. L. Pombeiro, A. (2020). Synthesis, Structures, Electrochemistry, and Catalytic Activity towards Cyclohexanol Oxidation of Mono-, Di-, and Polynuclear Iron(III) Complexes with 3-Amino-2-Pyrazinecarboxylate. Applied Sciences, 10(8), 2692. https://doi.org/10.3390/app10082692

