Comparison of Iodide, Iodate, and Iodine-Chitosan Complexes for the Biofortification of Lettuce
Abstract
Featured Application
Abstract
1. Introduction
2. Materials and Methods
2.1. Preparation of Cs-KI, Cs-KIO3 Complexes and Iodine Salts
2.2. Vegetable Material and Applied Treatments
2.2.1. Treatments Applied before Transplant
2.2.2. Treatments Applied before and after Transplant
2.3. Sampling
2.4. Biomass Production and Yields
2.5. Mineral Content
Determination
2.6. Iodine Content Determination
2.7. Chlorophyll Content Determination
2.8. Biomolecule Extraction
2.9. Total Protein (TP) Content Determination
2.10. Free and Cell Wall-Bound Phenol Determination
2.11. Superoxide Dismutase (SOD) Determination
2.12. Catalase Activity Determination
2.13. Glutathione Peroxidase (GPX) Quantification
2.14. Glutathione (GSH) Quantification
2.15. Antioxidant Capacity Determination by ABTS •+
2.16. Statistical Analyses
3. Results
3.1. Biomass Production and Yields
3.2. Mineral Content
3.2.1. Macronutrient Content
3.2.2. Micronutrient Content
3.2.3. Iodine and Minerals Correlation Analysis
3.3. Iodine Content in Lettuce
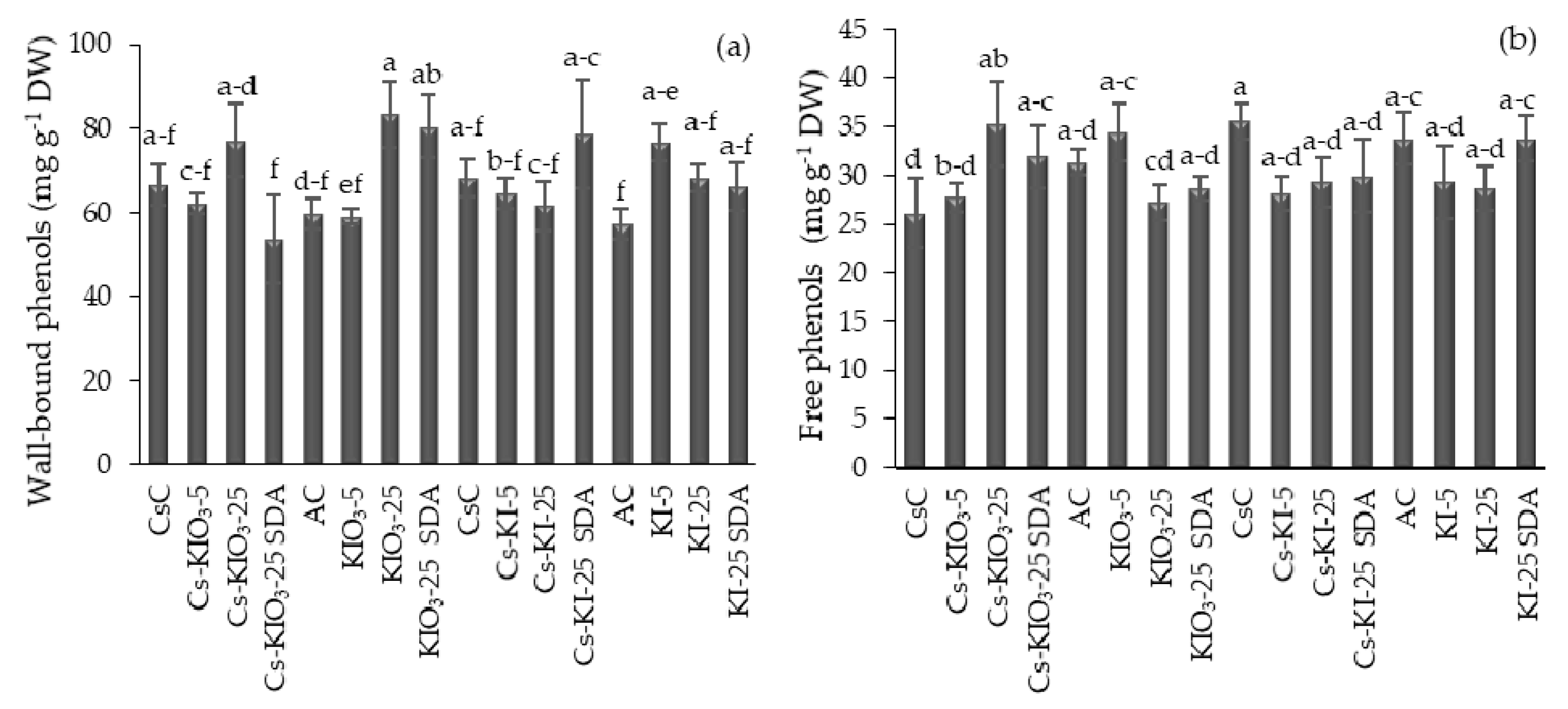
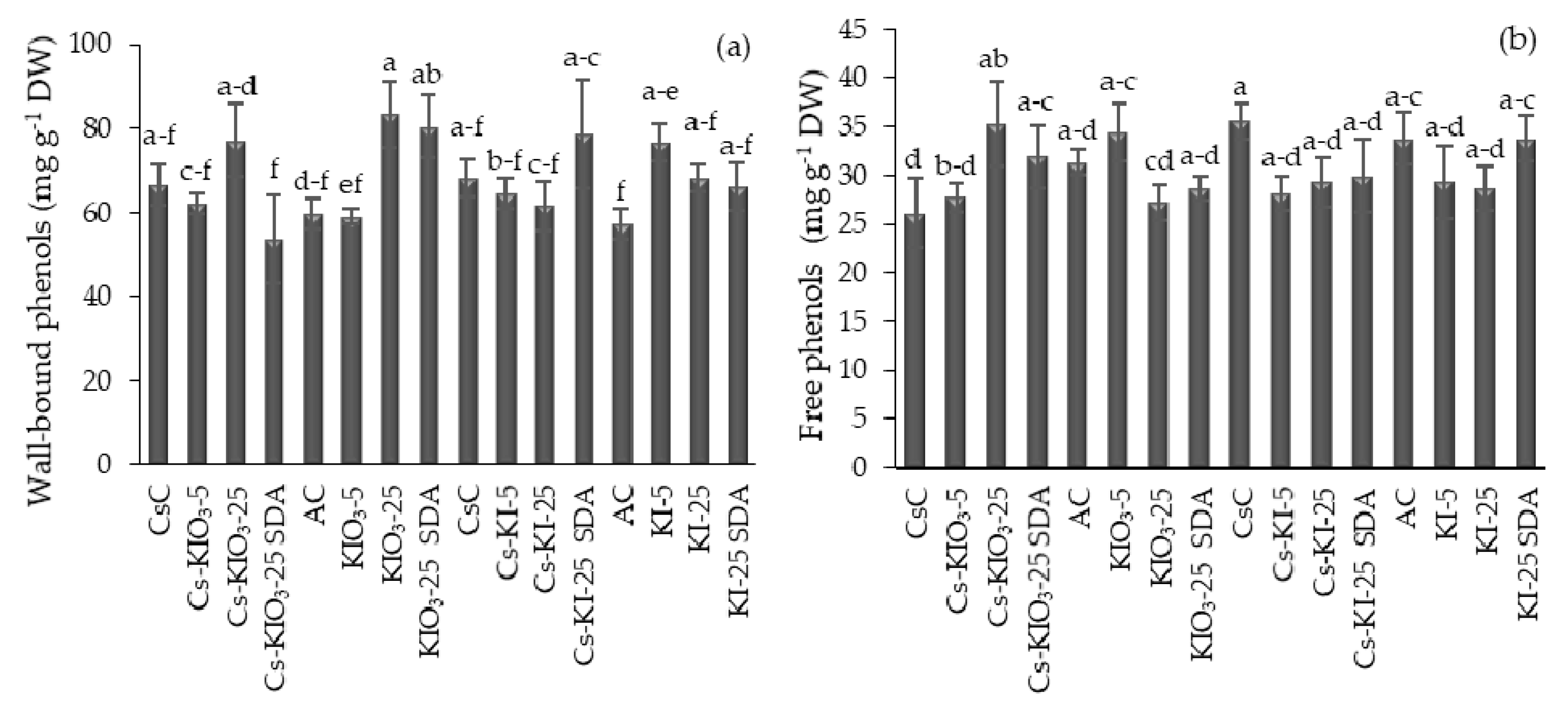
3.4. Cell Wall-Bound and Free Phenol Content
3.5. Chlorophyll Content
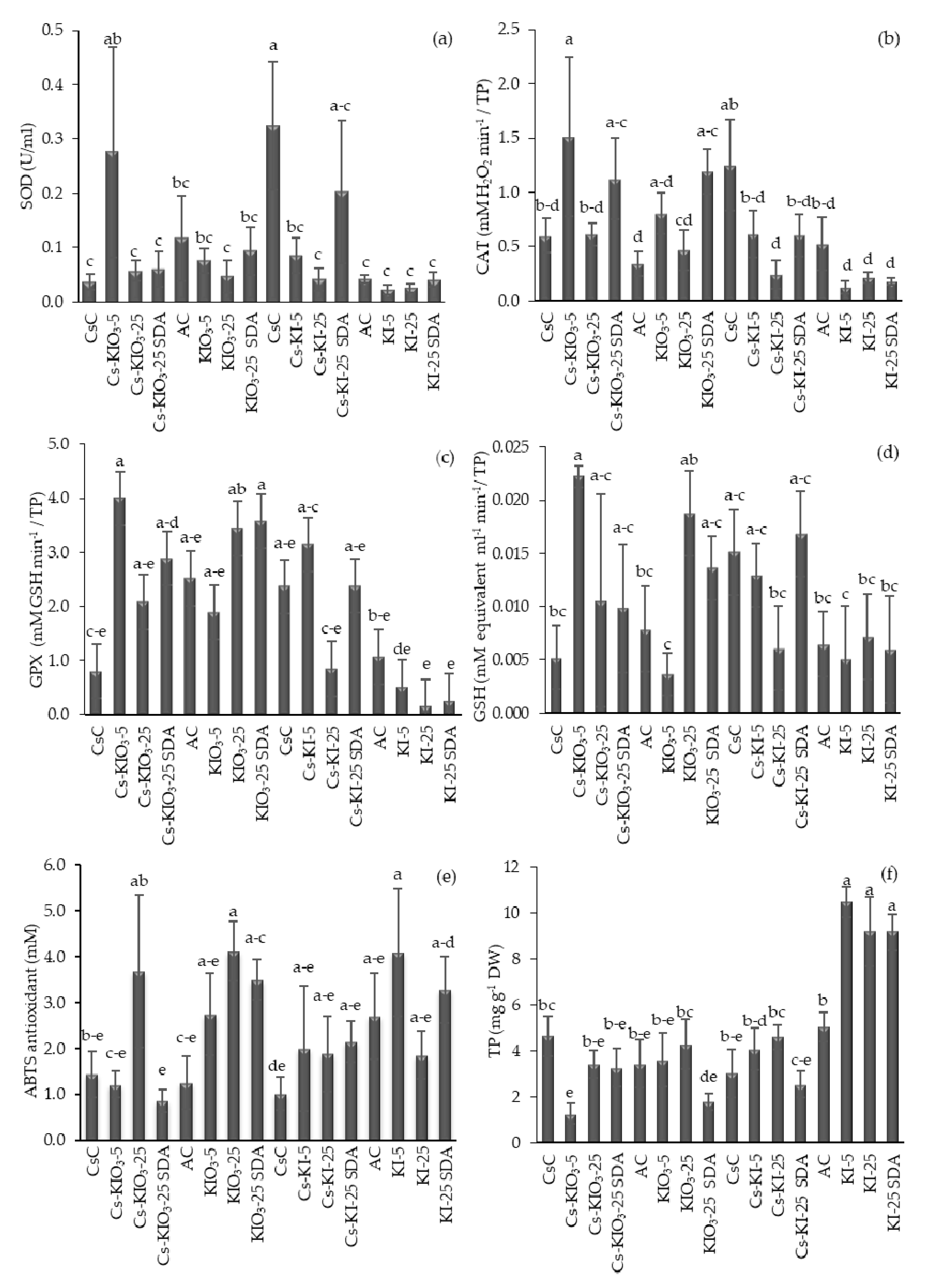
3.6. Enzymatic Activity, Antioxidants, and Proteins
4. Discussion
4.1. Biomass Production and Yields
4.2. Mineral Content
4.3. Iodine Content in Lettuce
4.4. Phenol Content
4.5. Chlorophyll Content
4.6. Total Protein Content
4.7. Enzymatic and Antioxidant Activity
5. Conclusions
Author Contributions
Funding
Acknowledgments
Conflicts of Interest
References
- de Benoist, B.; McLean, E.; Anderson, M.; Rogers, L. Iodine deficiency in 2007: Global progress since 2003. Food Nutr. Bull. 2008, 29, 195–202. [Google Scholar] [CrossRef] [PubMed]
- WHO/UNICEF/ICCIDD. Recommended Iodine Levels in Salt and Guidelines for Monitoring their Adequacy and Effectiveness. In Proceedings of the Joint WHO Consultation, Geneva, Switzerland, 8–9 July 1996. [Google Scholar]
- Pennington, J.A.T. A Review of Iodine Toxicity Reports. J. Am. Diet. Assoc. 1990, 90, 1571–1581. [Google Scholar]
- Backer, H.; Hollowell, J. Use of iodine for water disinfection: Iodine toxicity and maximum recommended dose. Environ. Health Perspect. 2000, 108, 679–684. [Google Scholar] [CrossRef] [PubMed]
- WHO/UNICEF/ICCIDD. Assessment of Iodine Deficiency Disorders and Monitoring Their Elimination; WHO Press: Geneva, Switzerland, 2007; ISBN 978 92 4 159582 7. [Google Scholar]
- Longvah, T.; Toteja, G.S.; Bulliyya, G.; Raghuvanshi, R.S.; Jain, S.; Rao, V.; Upadhya, A. Stability of added iodine in different Indian cooking processes. Food Chem. 2012, 130, 953–959. [Google Scholar] [CrossRef]
- Limchoowong, N.; Sricharoen, P.; Konkayan, M.; Chanthai, S. A Simple Efficient and Economic Method for Obtaining Iodate-Rich Chili Pepper Based Chitosan Edible Thin Film. J. Food Sci. Technol. 2018, 55, 3263–3272. [Google Scholar] [CrossRef] [PubMed]
- Reduce the Consumption of Salt. Available online: https://www.who.int/cardiovascular_diseases/es/ (accessed on 6 June 2019).
- Medrano, J.; Leija, P.; González, S.; Juárez, A.; Benavides, A. Use of Iodine to Biofortify and Promote Growth and Stress Tolerance in Crops. Front. Plant Sci. 2016, 7, 1–20. [Google Scholar]
- Blasco, B.; Rios, J.J.; Cervilla, L.M.; Sánchez, E.; Ruiz, J.M.; Romero, L. Iodine Biofortification and Antioxidant Capacity of Lettuce: Potential Benefits for Cultivation and Human Health. Ann. Appl. Biol. 2008, 152, 289–299. [Google Scholar] [CrossRef]
- Smoleń, S.; Rozek, S.; Ledwozyw-Smoleń, I.; Strzetelski, P. Preliminary evaluation of the influence of soil fertilization and foliar nutrition with iodine on the efficiency of iodine biofortification and chemical composition of lettuce. J. Elem. 2011, 16, 613–622. [Google Scholar] [CrossRef]
- Leyva, R.; Sánchez-Rodríguez, E.; Ríos, J.J.; Rubio-Wilhelmi, M.M.; Romero, L.; Ruiz, J.M.; Blasco, B. Beneficial Effects of Exogenous Iodine in Lettuce Plants Subjected to Salinity Stress. Plant Sci. 2011, 181, 195–202. [Google Scholar] [CrossRef]
- Kiferle, C.; Gonzali, S.; Holwerda, H.T.; Ibaceta, R.R.; Perata, P. Tomato fruits: A good target for iodine biofortification. Front. Plant Sci. 2013, 4, 1–10. [Google Scholar] [CrossRef]
- Smoleń, S.; Skoczylas, Ł.; Rakoczy, R.; Ledwożyw-Smoleń, I.; Kopeć, A.; Piątkowska, E.; Bieżanowska-Kopeć, R.; Pysz, M.; Koronowicz, A.; Kapusta-Dutch, J.S.W. Mineral composition of field-grown Lettuce (Lactuca sativa L.) depending on the diversified fertilization with iodine and selenium compounds. Acta Sci. Pol. Hortorum Cultus 2015, 14, 97–114. [Google Scholar]
- Lawson, P.G.; Daum, D.; Czauderna, R.; Meuser, H.; Härtling, J.W. Soil versus foliar iodine fertilization as a biofortification strategy for field-grown vegetables. Front. Plant Sci. 2015, 6, 1–11. [Google Scholar] [CrossRef] [PubMed]
- Herrett, R.A.; Hatfield, H.H.; Crosby, D.G.; Vlitos, A.J. Leaf Abscission Induced by the Iodide Ion. Plant Physiol. 1962, 37, 358–363. [Google Scholar] [CrossRef] [PubMed]
- Landini, M.; Gonzali, S.; Perata, P. Iodine biofortification in tomato. J. Plant Nutr. Soil Sci. 2011, 174, 480–486. [Google Scholar] [CrossRef]
- Whitehead, D.C. The Influence of Organic Matter, Chalk, and Sesquioxides on the Solubility of Iodide, Elemental Iodine, and Iodate Incubated With Soil. J. Soil Sci. 1974, 25, 461–470. [Google Scholar] [CrossRef]
- Shetaya, W.H.; Young, S.D.; Watts, M.J.; Ander, E.L.; Bailey, E.H. Iodine dynamics in soils. Geochim. Cosmochim. Acta 2012, 77, 457–473. [Google Scholar] [CrossRef]
- Whitehead, D.C. The distribution and transformations of iodine in the environment. Environ. Int. 1984, 10, 321–339. [Google Scholar] [CrossRef]
- Walker, M.; Ryan, C.A. Proteinase Inhibitor Synthesis in Tomato Leaves. Plant Physiol. 1984, 76, 787–790. [Google Scholar] [CrossRef]
- Pichyangkura, R.; Chadchawan, S. Biostimulant activity of chitosan in horticulture. Sci. Hortic. (Amst.) 2015, 196, 49–65. [Google Scholar] [CrossRef]
- Malerba, M.; Cerana, R. Chitosan effects on plant systems. Int. J. Mol. Sci. 2016, 17, 996. [Google Scholar] [CrossRef]
- Xu, C.; Mou, B. Chitosan as soil amendment affects lettuce growth, photochemical efficiency, and gas exchange. Horttechnology 2018, 28, 476–480. [Google Scholar] [CrossRef]
- Kurukji, D.; Norton, I.; Spyropoulos, F. Fabrication of sub-micron protein-chitosan electrostatic complexes for encapsulation and pH-Modulated delivery of model hydrophilic active compounds. Food Hydrocoll. 2016, 53, 249–260. [Google Scholar] [CrossRef][Green Version]
- Kurita, K.; Sannan, T.; Iwakura, Y. Studies on chitin. VI. Binding of metal cations. J. Appl. Polym. Sci. 1979, 23, 511–515. [Google Scholar] [CrossRef]
- Moulay, S. Molecular iodine/polymer complexes. J. Polym. Eng. 2013, 33, 389–443. [Google Scholar] [CrossRef]
- Bocanegra, M.P.; Lobartini, J.C.; Orioli, G.A. Plant uptake of iron chelated by humic acids of different molecular weights. Commun. Soil Sci. Plant Anal. 2006, 37, 239–248. [Google Scholar] [CrossRef]
- Chandra, S.; Chakraborty, N.; Dasgupta, A.; Sarkar, J.; Panda, K.; Acharya, K. Chitosan nanoparticles: A positive modulator of innate immune responses in plants. Sci. Rep. 2015, 5, 1–14. [Google Scholar] [CrossRef]
- Horwitz, W. Official Methods of Analysis of the Association of Official Analytical Chemists, 15th ed.; AOAC International: Washington, DC, USA, 1971; ISBN 0935584145. [Google Scholar]
- Fick, K.R.; Miller, S.M.; Funk, J.D.; McDowell, L.R.; Houser, R.H. Methods of Mineral Analysis for Plant and Animal Tissues; Universidad de Florida: Gainesville, FL, USA, 1976. [Google Scholar]
- Fischer, P.W.; L’Abbé, M.R.; Giroux, A. Colorimetric determination of total iodine in foods by iodide-catalyzed reduction of Ce+4. J. Assoc. Off. Anal. Chem 1986, 69, 687–689. [Google Scholar] [CrossRef]
- Cortés, C.; Rodríguez, M.N.; Benavides, A.; García, J.L.; Tornero, M.; Sánchez, P. Iodine increases growth and mineral concentration in bell pepper seedlings. Agrociencia 2016, 50, 747–758. [Google Scholar]
- Munira, S.; Hossain, M.; Zakaria, M.; Ahmed, J.; Islam, M. Evaluation of Potato Varieties against Salinity Stress in Bangladesh. Int. J. Plant Soil Sci. 2015, 6, 73–81. [Google Scholar] [CrossRef]
- Medrano, J.; Leija, P.; Juárez, A.; Rocha, A.; Benavides, A. Effect of iodine application on antioxidants in tomato seedlings. Rev. Chapingo Ser. Hortic. 2016, 22, 133–143. [Google Scholar]
- Bradford, M.M. Determinación de proteínas: método de bradford. Anal. Biochem. 1976, 254, 248–254. [Google Scholar] [CrossRef]
- Gurr, S.I.; McPherson, J.; Bowles, D.J. Lignin and associated phenolic acids in cell walls. Mol. Plant Pathol. Pr. Approach 1992, 3, 62. [Google Scholar]
- Cansev, A.; Gulen, H.; Eris, A. The activities of catalase and ascorbate peroxidase in olive (Olea europaea L. cv. Gemlik) under low temperature stress. Hortic. Environ. Biotechnol. 2011, 52, 113–120. [Google Scholar] [CrossRef]
- Xue, T.; Hartikainen, H.; Piironen, V. Antioxidative and growth-promoting effect of selenium on senescing lettuce. Plant Soil 2001, 237, 55–61. [Google Scholar] [CrossRef]
- Martínez, R.M.; Tuya, L.C.; Martínez, M.; Pérez, A.; Cánovas, A.M. The correlation coefficient of the spearman characterization ranges. Rev. Habanera Ciencias Medicas 2009, 8. [Google Scholar]
- Kopeć, A.; Piatkowska, E.; Biezanowska-Kopeć, R.; Pysz, M.; Koronowicz, A.; Kapusta-Duch, J.; Smoleń, S.; Rakoczy, R.; Skoczylas, Ł.; Leszczyńska, T.; et al. Effect of lettuce biofortified with iodine by soil fertilization on iodine concentration in various tissues and selected biochemical parameters in serum of Wistar rats. J. Funct. Foods 2015, 14, 479–486. [Google Scholar] [CrossRef]
- Limchoowong, N.; Sricharoen, P.; Techawongstien, S.; Chanthai, S. An iodine supplementation of tomato fruits coated with an edible film of the iodide-doped chitosan. Food Chem. 2016, 200, 223–229. [Google Scholar] [CrossRef]
- Blasco, B.; Ríos, J.J.; Leyva, R.; Cervilla, L.M.; Sánchez-Rodríguez, E.; Rubio-Wilhelmi, M.M.; Rosales, M.A.; Ruiz, J.M.; Romero, L. Does iodine biofortification affect oxidative metabolism in lettuce plants. Biol. Trace Elem. Res. 2011, 142, 831–842. [Google Scholar] [CrossRef]
- Hu, Q.; Moran, J.E.; Blackwood, V. Geochemical Cycling of Iodine Species in Soils. Lawrence Livermore Natl. Lab.(LLNL): Livermore 2007. [Google Scholar]
- Voogt, W.; Holwerda, H.T.; Khodabaks, R. Biofortification of lettuce (Lactuca sativa L.) with iodine: The effect of iodine form and concentration in the nutrient solution on growth, development and iodine uptake of lettuce grown in water culture. J. Sci. Food Agric. 2010, 90, 906–913. [Google Scholar]
- Wang, M.; Chen, Y.; Zhang, R.; Wang, W.; Zhao, X.; Du, Y.; Yin, H. Effects of chitosan oligosaccharides on the yield components and production quality of different wheat cultivars (Triticum aestivum L.) in Northwest China. F. Crop. Res. 2015, 172, 11–20. [Google Scholar] [CrossRef]
- El Hadrami, A.; Adam, L.R.; El Hadrami, I.; Daayf, F. Chitosan in Plant Protection. Mar. Drugs 2010, 8, 968–987. [Google Scholar] [CrossRef] [PubMed]
- Cakmak, I.; Prom-u-thai, C.; Guilherme, L.R.G.; Rashid, A.; Hora, K.H.; Yazici, A.; Savasli, E.; Kalayci, M.; Tutus, Y.; Phuphong, P.; et al. Iodine biofortification of wheat, rice and maize through fertilizer strategy. Plant Soil 2017, 418, 319–335. [Google Scholar] [CrossRef]
- Leija, P.; Benavides, A.; Rocha, A.; Medrano, J.R. Biofortification with iodine in plants for human consumption. Rev. Mex. Ciencias Agrícolas 2017, 7, 2025. [Google Scholar]
- Hageman, R.H.; Hodge, E.S.; McHargue, J.S. Effect of Potassium Iodide on the Ascorbic Acid Content and Growth of Tomato Plants. Plant Physiol. 1942, 17, 465–472. [Google Scholar] [CrossRef]
- García Osuna, H.T.; Benavides Mendoza, A.; Rivas Morales, C.; Morales Rubio, E.; Verde Star, J.; Miranda Ruvalcaba, R. Iodine application increased ascorbic acid content and modified the vascular tissue in Opuntia Ficus-Indica L. Pakistan J. Bot. 2014, 46, 127–134. [Google Scholar]
- Blasco, B.; Leyva, R.; Romero, L.; Ruiz, J.M. Iodine effects on phenolic metabolism in lettuce plants under salt stress. J. Agric. Food Chem. 2013, 61, 2591–2596. [Google Scholar] [CrossRef]
- Kato, S.; Wachi, T.; Yoshihira, K.; Nakagawa, T.; Ishikawa, A.; Takagi, D.; Tezuka, A.; Yoshida, H.; Yoshida, S.; Sekimoto, H.; et al. Rice (Oryza sativa L.) roots have iodate reduction activity in response to iodine. Front. Plant Sci. 2013, 4, 1–12. [Google Scholar] [CrossRef]
- Takeda, A.; Tsukada, H.; Takahashi, M.; Takaku, Y.; Hisamatsu, S. Changes in the chemical form of exogenous iodine in forest soils and their extracts. Radiat. Prot. Dosimetry 2015, 167, 181–186. [Google Scholar] [CrossRef]
- Dai, J.L.; Zhu, Y.G.; Huang, Y.Z.; Zhang, M.; Song, J.L. Availability of iodide and iodate to spinach (Spinacia oleracea L.) in relation to total iodine in soil solution. Plant Soil 2006, 289, 301–308. [Google Scholar] [CrossRef]
- Smoleń, S.; Kowalska, I.; Sady, W. Assessment of biofortification with iodine and selenium of lettuce cultivated in the NFT hydroponic system. Sci. Hortic. (Amst.) 2014, 166, 9–16. [Google Scholar] [CrossRef]
- Hong, C.L.; Weng, H.X.; Qin, Y.C.; Yan, A.L.; Xie, L.L. Transfer of iodine from soil to vegetables by applying exogenous iodine. Agron. Sustain. Dev. 2008, 28, 575–583. [Google Scholar] [CrossRef]
- Dai, J.L.; Zhu, Y.G.; Zhang, M.; Huang, Y.Z. Selecting iodine-enriched vegetables and the residual effect of iodate application to soil. Biol. Trace Elem. Res. 2004, 101, 265–276. [Google Scholar] [CrossRef]
- Mynett, A.; Wain, R.L. Herbicidal Action of Iodide: Effect on Chlorophyll Content and Photosynthesis in Dwarf Bean Phaseolvs Vulgaris. Weed Res. 1973, 13, 101–109. [Google Scholar] [CrossRef]
- Gill, S.S.; Tuteja, N. Reactive oxygen species and antioxidant machinery in abiotic stress tolerance in crop plants. Plant Physiol. Biochem. 2010, 48, 909–930. [Google Scholar] [CrossRef]
- Blasco, B.; Rios, J.J.; Cervilla, L.M.; Sánchez-Rodríguez, E.; Rubio-Wilhelmi, M.M.; Rosales, M.A.; Ruiz, J.M.; Romero, L. Photorespiration Process and Nitrogen Metabolism in Lettuce Plants (Lactuca sativa L.): Induced Changes in Response to Iodine Biofortification. J. Plant Growth Regul. 2010, 29, 477–486. [Google Scholar] [CrossRef]
- Gupta, N.; Bajpai, M.; Majumdar, R.; Mishra, P. Response of iodine on antioxidant levels of Glycine max L. Grown under Cd2+ stress. Adv. Biol. Res. (Rennes) 2015, 9, 40–48. [Google Scholar]
- Küpper, F.C.; Carpenter, L.J.; McFiggans, G.B.; Palmer, C.J.; Waite, T.J.; Boneberg, E.M.; Woitsch, S.; Weiller, M.; Abela, R.; Grolimund, D.; et al. Iodide accumulation provides kelp with an inorganic antioxidant impacting atmospheric chemistry. Proc. Natl. Acad. Sci. USA 2008, 105, 6954–6958. [Google Scholar]
- Küpper, F.; Schweigert, N.; Gall, E.A.; Legendre, J.; Vilter, H.; Kloareg, B. Iodine uptake in Laminariales involves extracellular, haloperoxidase-mediated oxidation of iodide. Planta 1998, 207, 163–171. [Google Scholar] [CrossRef]




| Treatments | Concentration (mg I kg−1 Substrate) | g plant−1 (n = 6) | |||
|---|---|---|---|---|---|
| LFW | HFW | LDW | HDW | ||
| CsC | 0 | 212.00 b–d | 667.63 ab | 17.62 c–e | 28.48 a–d |
| Cs-KIO3 | 5 | 294.32 a | 695.52 a | 24.27 a | 34.05 a |
| Cs-KIO3 | 25 | 264.95 ab | 634.78 ab | 22.50 ab | 33.80 a |
| Cs-KIO3 SDA | 25 | 235.85 a–c | 582.67 ab | 19.58 a–c | 29.28 a–c |
| AC | 0 | 146.72 e–f | 534.50 ab | 14.63 de | 22.37 d–e |
| KIO3 | 5 | 201.42 c–f | 579.57 ab | 18.50 b–d | 19.13 ef |
| KIO3 | 25 | 201.17 c–f | 595.68 ab | 16.97 c–e | 24.65 b–e |
| KIO3 SDA | 25 | 178.15 c–f | 499.05 b | 16.65 c–e | 19.95 ef |
| CsC | 0 | 196.97 c–f | 596.07 ab | 17.57 c–e | 24.20 b–e |
| Cs-KI | 5 | 190.12 c–f | 577.57 ab | 16.47 c–e | 24.92 b–e |
| Cs-KI | 25 | 155.77 d–f | 526.18 ab | 13.67 e | 22.70 c–e |
| Cs-KI SDA | 25 | 143.04 f | 280.17 c | 14.73 de | 15.03 f |
| AC | 0 | 194.55 c–f | 499.48 b | 17.37 c–e | 25.87 b–e |
| KI | 5 | 214.85 b–d | 587.67 ab | 19.13 b–d | 29.57 ab |
| KI | 25 | 205.10 b–e | 581.43 ab | 18.90 b–d | 27.48 a–d |
| KI SDA | 25 | 177.78 c–f | 495.32 b | 17.43 c–e | 24.95 b–e |
| Concentration (C) | 0.0311 | 0.0077 | ns | 0.0198 | |
| Chitosan (Cs) | 0.0494 | ns | ns | ns | |
| Chemical species (CSp) | 0.0041 | 0.0116 | 0.0229 | ns | |
| C × Cs | ns | ns | ns | ns | |
| C × CSp | ns | ns | ns | ns | |
| Cs × CSp | <0.0001 | ns | 0.0001 | <0.0001 | |
| C × Cs × CSp | ns | ns | ns | ns | |
| Treatments | Concentration (mg I kg−1 Substrate) | % Dry Weight (n = 6) | |||||
|---|---|---|---|---|---|---|---|
| N | P | K | Ca | Mg | Na | ||
| CsC | 0 | 0.82 b | 0.43 a | 13.27 a | 4.20 ab | 5.78 b | 13.97 a |
| Cs-KIO3 | 5 | 1.29 ab | 0.40 a | 12.01 ab | 2.25 cd | 3.91 c | 7.57 b |
| Cs-KIO3 | 25 | 1.48 a | 0.24 b–e | 10.81 a–c | 2.08 c–e | 3.62 cd | 3.91 bc |
| Cs-KIO3 SDA | 25 | 1.40 ab | 0.25 b–d | 8.06 b–d | 1.00 d–f | 2.20 de | 3.24 c |
| AC | 0 | 1.33 ab | 0.26 b–d | 8.15 b–d | 1.71 c–f | 1.91 e | 3.16 c |
| KIO3 | 5 | 1.21 ab | 0.20 c–g | 7.73 b–d | 1.87c–f | 2.25 c–e | 3.41 c |
| KIO3 | 25 | 1.55 a | 0.22 b–f | 8.06 b–d | 2.95 bc | 3.08 c–e | 6.03 bc |
| KIO3 SDA | 25 | 1.36 ab | 0.29 b | 6.61 cd | 1.50 d–f | 2.70 c–e | 4.32 bc |
| CsC | 0 | 1.21 ab | 0.20 c–g | 6.78 cd | 1.41 d–f | 2.33 c–e | 3.78 bc |
| Cs-KI | 5 | 1.43 ab | 0.28 bc | 7.48 b–d | 5.24 a | 7.90 a | 14.26 a |
| Cs-KI | 25 | 1.19 ab | 0.24 b–d | 6.91 cd | 1.29 d–f | 2.33 c–e | 3.25 c |
| Cs-KI SDA | 25 | 1.01 ab | 0.12 g | 5.49 d | 1.21 d–f | 2.20 de | 3.29 c |
| AC | 0 | 1.13 ab | 0.15 e–g | 5.53 d | 0.75 ef | 2.04 de | 2.62 c |
| KI | 5 | 1.18 ab | 0.13 g | 8.02 b–d | 0.96 d–f | 2.37 c–e | 5.41 bc |
| KI | 25 | 0.93 ab | 0.14 fg | 6.15 cd | 1.08 d–f | 1.91 e | 2.95 c |
| KI SDA | 25 | 1.07 ab | 0.19 d–g | 4.16 d | 0.67 f | 1.54 e | 2.53 c |
| Concentration (C) | ns | 0.0001 | 0.0004 | <0.0001 | <0.0001 | ns | |
| Chitosan (Cs) | ns | <0.0001 | <0.0001 | <0.0001 | <0.0001 | 0.0107 | |
| Chemical Species (CSp) | 0.0147 | <0.0001 | <0.0001 | <0.0001 | 0.0368 | ns | |
| C × Cs | ns | <0.0001 | ns | <0.0001 | <0.0001 | ns | |
| C × CSp | 0.006 | <0.0001 | ns | <0.0001 | <0.0001 | 0.0061 | |
| Cs × CSp | ns | ns | 0.0049 | 0.0002 | ns | ns | |
| C × Cs × CSp | ns | 0.0006 | ns | <0.0001 | <0.0001 | ns | |
| Treatments | Concentration (mg I kg−1 Substrate) | mg kg−1 Dry Weight (n = 6) | |||
|---|---|---|---|---|---|
| Zn | Fe | Mn | Cu | ||
| CsC | 0 | 49.24 a | 166.17 a–c | 86.49 de | 3.82 ab |
| Cs-KIO3 | 5 | 45.89 ab | 156.47 a–d | 79.15 e | 4.16 a |
| Cs-KIO3 | 25 | 37.77 b | 157.72 a–d | 88.35 de | 3.83 ab |
| Cs-KIO3 SDA | 25 | 40.05 ab | 158.38 a–d | 90.40 c–e | 3.99 a |
| AC | 0 | 39.24 ab | 171.09 ab | 97.76 b–e | 2.99 ab |
| KIO3 | 5 | 41.25 ab | 181.96 a | 96.31 b–e | 2.99 ab |
| KIO3 | 25 | 42.56 ab | 132.33 b–e | 106.89 b–e | 3.49 ab |
| KIO3 SDA | 25 | 42.72 ab | 143.96 a–e | 125.02 a–c | 3.66 ab |
| CsC | 0 | 39.56 ab | 133.65 b–d | 98.74 b–e | 2.83 ab |
| Cs-KI | 5 | 39.91 ab | 133.55 b–e | 131.72 ab | 3.66 ab |
| Cs-KI | 25 | 41.75 ab | 137.41 b–e | 150.55 a | 3.16 ab |
| Cs-KI SDA | 25 | 41.89 ab | 138.14 b–e | 116.86 a–d | 3.49 ab |
| AC | 0 | 36.09 b | 120.26 de | 85.00 de | 3.00 ab |
| KI | 5 | 37.59 b | 100.78 e | 107.77 b–e | 2.99 ab |
| KI | 25 | 37.91 ab | 125.86 c–e | 120.70 a–d | 3.33 ab |
| KI SDA | 25 | 36.56 b | 129.45 b–e | 108.19 b–e | 2.49 b |
| Concentration (C) | ns | ns | 0.0001 | ns | |
| Chitosan (Cs) | 0.0177 | 0.0333 | ns | 0.0012 | |
| Chemical Species (CSp) | 0.0036 | <0.0001 | <0.0001 | 0.0013 | |
| C × Cs | ns | ns | ns | ns | |
| C × CSp | ns | 0.0051 | 0.0003 | ns | |
| Cs × CSp | ns | ns | <0.0001 | ns | |
| C × Cs × CSp | 0.0492 | 0.0211 | ns | ns | |
| Treatments | Variable 1 | Variable 2 | Spearman | p-value |
|---|---|---|---|---|
| General treatment analysis | Iodine | Zinc | −0.04 | 0.7056 |
| Manganese | 0.4 | 0.0001 | ||
| Iron | −0.06 | 0.5316 | ||
| Copper | −0.03 | 0.7894 | ||
| Sodium | −0.16 | 0.1275 | ||
| Potassium | −0.31 | 0.0018 | ||
| Nitrogen | 0.05 | 0.6013 | ||
| Magnesium | −0.18 | 0.0827 | ||
| Phosphorus | −0.17 | 0.0951 | ||
| Calcium | −0.22 | 0.0301 |
| Treatments | Concentration (mg I kg−1 Substrate) | mg g−1 Dry Weight (n = 6) | ||
|---|---|---|---|---|
| Chl a | Chl b | Ct | ||
| CsC | 0 | 0.10 b | 0.05 b | 0.15 c |
| Cs-KIO3 | 5 | 0.11 b | 0.09 ab | 0.19 bc |
| Cs-KIO3 | 25 | 0.10 b | 0.09 ab | 0.19 bc |
| Cs-KIO3 SDA | 25 | 0.19 ab | 0.12 ab | 0.31 a–c |
| AC | 0 | 0.18 ab | 0.18 ab | 0.36 a–c |
| KIO3 | 5 | 0.28 a | 0.19 ab | 0.47 a–c |
| KIO3 | 25 | 0.18 ab | 0.33 a | 0.51 a–c |
| KIO3 SDA | 25 | 0.32 a | 0.24 ab | 0.56 ab |
| CsC | 0 | 0.17 ab | 0.12 ab | 0.30 a–c |
| Cs-KI | 5 | 0.25 ab | 0.12 ab | 0.36 a–c |
| Cs-KI | 25 | 0.28 a | 0.12 ab | 0.39 a–c |
| Cs-KI SDA | 25 | 0.28 a | 0.31 ab | 0.59 a |
| AC | 0 | 0.17 ab | 0.17 ab | 0.35 a–c |
| KI | 5 | 0.11 b | 0.08 ab | 0.19 bc |
| KI | 25 | 0.18 ab | 0.09 ab | 0.27 a–c |
| KI SDA | 25 | 0.30 a | 0.12 ab | 0.42 a–c |
| Concentration (C) | 0.038 | ns | ns | |
| Chitosan (Cs) | ns | ns | ns | |
| Chemical Species (CSp) | ns | ns | ns | |
| C × Cs | ns | ns | ns | |
| C × CSp | ns | ns | ns | |
| Cs × CSp | 0.0035 | ns | 0.0089 | |
| C × Cs × CSp | ns | ns | ns | |
© 2020 by the authors. Licensee MDPI, Basel, Switzerland. This article is an open access article distributed under the terms and conditions of the Creative Commons Attribution (CC BY) license (http://creativecommons.org/licenses/by/4.0/).
Share and Cite
Dávila Rangel, I.E.; Trejo Téllez, L.I.; Ortega Ortiz, H.; Juárez Maldonado, A.; González Morales, S.; Companioni González, B.; Cabrera De la Fuente, M.; Benavides Mendoza, A. Comparison of Iodide, Iodate, and Iodine-Chitosan Complexes for the Biofortification of Lettuce. Appl. Sci. 2020, 10, 2378. https://doi.org/10.3390/app10072378
Dávila Rangel IE, Trejo Téllez LI, Ortega Ortiz H, Juárez Maldonado A, González Morales S, Companioni González B, Cabrera De la Fuente M, Benavides Mendoza A. Comparison of Iodide, Iodate, and Iodine-Chitosan Complexes for the Biofortification of Lettuce. Applied Sciences. 2020; 10(7):2378. https://doi.org/10.3390/app10072378
Chicago/Turabian StyleDávila Rangel, Irma Esther, Libia Iris Trejo Téllez, Hortensia Ortega Ortiz, Antonio Juárez Maldonado, Susana González Morales, Barbarita Companioni González, Marcelino Cabrera De la Fuente, and Adalberto Benavides Mendoza. 2020. "Comparison of Iodide, Iodate, and Iodine-Chitosan Complexes for the Biofortification of Lettuce" Applied Sciences 10, no. 7: 2378. https://doi.org/10.3390/app10072378
APA StyleDávila Rangel, I. E., Trejo Téllez, L. I., Ortega Ortiz, H., Juárez Maldonado, A., González Morales, S., Companioni González, B., Cabrera De la Fuente, M., & Benavides Mendoza, A. (2020). Comparison of Iodide, Iodate, and Iodine-Chitosan Complexes for the Biofortification of Lettuce. Applied Sciences, 10(7), 2378. https://doi.org/10.3390/app10072378

