Mechanical Properties and Explosive Spalling Behavior of Steel-Fiber-Reinforced Concrete Exposed to High Temperature—A Review
Abstract
1. Introduction
2. Mechanical Properties of SFRC Exposed to High Temperature
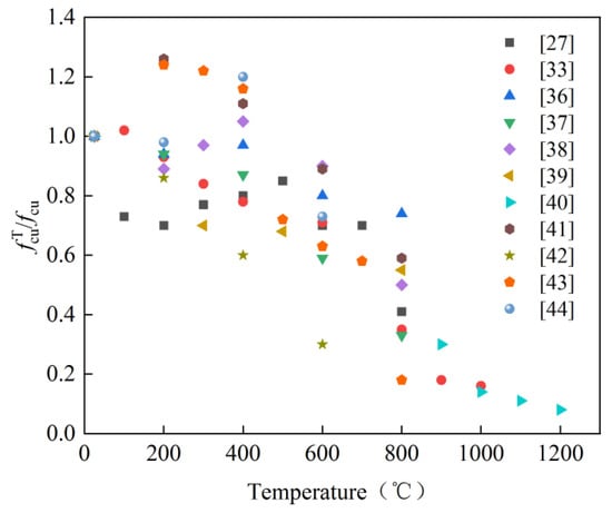
2.1. Residual Compressive Strength
2.2. Residual Flexural Properties
2.3. Residual Tensile Strength
2.4. Residual Elastic Properties
2.5. Residual Fracture Properties
2.6. Stress–Strain Relationship
3. Explosive Spalling Behavior
4. Microstructure of SFRC Exposed to High Temperature
5. Conclusions and Perspectives
5.1. Conclusions
- The residual compressive strength of concrete exposed to high temperatures improved significantly by the addition of steel fibers owing to the bridging crack effect and inherently high melting temperature. The residual compressive strength of SFRC was affected by the volume content of steel fibers and the temperature history of the sample, including the heating rate and cooling regime. Most studies have shown that the most significant effect was exerted when the amount of steel fiber was 1%.
 - Steel fibers significantly improved the residual flexural strength of concrete when the exposure temperature was less than 800 °C. Beyond 800 °C, the steel fiber lost its effect gradually owing to oxidation and corrosion. Compared with hybrid steel and polypropylene FRC and single polypropylene FRC, the residual flexural strength of single steel FRC was the highest.
 - The tensile strength of concrete was closely related to its explosive spalling behavior at elevated temperatures. SFRC maintained its good tensile properties at high temperatures. With the increase in steel fiber dosage, the residual tensile strength of SFRC improved significantly. Compared with type, the aspect ratio and volume fraction of steel fiber exerted greater effects on the residual tensile strength.
 - High temperatures exerted the most significant effect on the elastic modulus of concrete. The elastic modulus of SFRC decreased approximately linearly. In addition, steel fibers could enhance the residual elastic properties of RAC.
 - With the increase in exposure temperature (below 400 °C), the residual fracture energy of concrete increased gradually. The presence of steel fiber further increased the residual fracture energy and significantly improved the fracture toughness of concrete after elevated temperature exposure. In addition, the enhancement of unstable fracture toughness was approximately twice that of initiation fracture toughness.
 - With the increase in temperature, both the pre-peak and post-peak stages of the stress–strain curve of SFRC became gentler gradually, the peak stress decreased gradually, and the strain at the peak stress increased gradually. Additionally, the presence of steel fibers improved the toughness of heated concrete.
 - Water vapor pressure and thermal stress caused by the temperature gradient inside the concrete at high temperatures were the main causes of explosive spalling. Most studies have reported that the addition of steel fiber reduced the risk of concrete explosive spalling. The presence of steel fiber could decelerate the accumulation of steam pressure inside concrete, reduce the temperature gradient, bridge the microcracks inside concrete, and improve the tensile strength of concrete.
 
5.2. Perspectives
Author Contributions
Funding
Conflicts of Interest
References
- Rashiddadash, P.; Ramezanianpour, A.A.; Mahdikhani, M. Experimental investigation on flexural toughness of hybrid fiber reinforced concrete (HFRC) containing metakaolin and pumice. Constr. Build. Mater. 2014, 51, 313–320. [Google Scholar] [CrossRef]
 - Thokchom, S.; Ghosh, P.; Ghosh, S. Performance of fly ash based geopolymer mortars in sulphate solution. J. Eng. Sci. Technol. Rev. 2010, 3, 36–40. [Google Scholar] [CrossRef]
 - Luhar, S.; Cheng, T.W.; Nicolaides, D.; Luhar, I.; Panias, D.; Sakkas, K. Valorisation of glass wastes for the development of geopolymer composites–Durability, thermal and microstructural properties: A review. Constr. Build. Mater. 2019, 222, 673–687. [Google Scholar] [CrossRef]
 - Luhar, S.; Cheng, T.W.; Nicolaides, D.; Luhar, I.; Panias, D.; Sakkas, K. Valorisation of glass waste for development of geopolymer composites-Mechanical properties and rheological characteristics: A review. Constr. Build. Mater. 2019, 220, 547–564. [Google Scholar] [CrossRef]
 - Noumowe, A.N.; Clastres, P.; Debicki, G.; Costaz, J.L. High performance concrete for severe thermal conditions. In Proceedings of the International Conference on Concrete under Severe Conditions, CONSEC’95, Sapporo, Japan, 2–4 August 1995; E & FN Spon: London, UK, 1995; pp. 1129–1140. [Google Scholar]
 - Arioz, O. Effects of elevated temperatures on properties of concrete. Fire Saf. J. 2007, 42, 516–522. [Google Scholar] [CrossRef]
 - Krishna, D.A.; Priyadarsini, R.S.; Narayanan, S. Effect of elevated temperatures on the mechanical properties of concrete. Procedia Struct. Integr. 2019, 14, 384–394. [Google Scholar] [CrossRef]
 - Caetano, H.; Ferreira, G.; Rodrigues, J.P.C.; Pimienta, P. Effect of the high temperatures on the microstructure and compressive strength of high strength fibre concretes. Constr. Build. Mater. 2019, 199, 717–736. [Google Scholar] [CrossRef]
 - Handoo, S.K.; Agarwal, S.; Agarwal, S.K. Physicochemical, mineralogical, and morphological characteristics of concrete exposed to elevated temperatures. Cem. Concr. Res. 2002, 32, 1009–1018. [Google Scholar] [CrossRef]
 - Li, M.; Qian, C.; Sun, W. Mechanical properties of high-strength concrete after fire. Cem. Concr. Res. 2004, 34, 1001–1005. [Google Scholar] [CrossRef]
 - Peng, G.F.; Yang, W.W.; Zhao, J.; Liu, Y.F.; Bian, S.H.; Zhao, L.H. Explosive spalling and residual mechanical properties of fiber-toughened high-performance concrete subjected to high temperatures. Cem. Concr. Res. 2006, 36, 723–727. [Google Scholar] [CrossRef]
 - Janotka, I.; Bagel, L. Pore structures, permeabilities, and compressive strengths of concrete at temperatures up to 800 °C. Mater. J. 2002, 99, 196–200. [Google Scholar]
 - Chen, G.M.; Yang, H.; Lin, C.J.; Chen, J.F.; He, Y.H.; Zhang, H.Z. Fracture behaviour of steel fibre reinforced recycled aggregate concrete after exposure to elevated temperatures. Constr. Build. Mater. 2016, 128, 272–286. [Google Scholar] [CrossRef]
 - Ma, Q.; Guo, R.; Zhao, Z.; Lin, Z.; He, K. Mechanical properties of concrete at high temperature—A review. Constr. Build. Mater. 2015, 93, 371–383. [Google Scholar] [CrossRef]
 - Fu, Y.F.; Wong, Y.L.; Poon, C.S.; Tang, C.A. Literature review of study on mechanism of explosive spalling in concrete at elevated temperatures. J. Build. Mater. 2006, 9, 323–329. [Google Scholar]
 - Bažant, Z.P.; Kaplan, M.F.; Bazant, Z.P. Concrete at High Temperatures: Material Properties and Mathematical Models; Longman-Addison-Wesley: London, UK, 1996. [Google Scholar]
 - Kalifa, P.; Menneteau, F.D.; Quenard, D. Spalling and pore pressure in HPC at high temperatures. Cem. Concr. Res. 2000, 30, 1915–1927. [Google Scholar] [CrossRef]
 - Kalifa, P.; Chene, G.; Galle, C. High-temperature behaviour of HPC with polypropylene fibres: From spalling to microstructure. Cem. Concr. Res. 2001, 31, 1487–1499. [Google Scholar] [CrossRef]
 - Romualdi, J.P.; Ramey, M.; Sanday, S.C. Prevention and control of cracking by use of short random fibers. Spec. Publ. 1968, 20, 179–204. [Google Scholar]
 - Ding, Y.; Zhang, F.; Torgal, F.; Zhang, Y. Shear behaviour of steel fibre reinforced self-consolidating concrete beams based on the modified compression field theory. Compos. Struct. 2012, 94, 2440–2449. [Google Scholar] [CrossRef]
 - Eik, M.; Puttonen, J.; Herrmann, H. An orthotropic material model for steel fibre reinforced concrete based on the orientation distribution of fibres. Compos. Struct. 2015, 121, 324–336. [Google Scholar] [CrossRef]
 - Abdallah, S.; Fan, M.; Zhou, X.; Le Geyt, S. Anchorage effects of various steel fibre architectures for concrete reinforcement. Int. J. Concr. Struct. Mater. 2016, 10, 325–335. [Google Scholar] [CrossRef]
 - Laranjeira, F.; Molins, C.; Aguado, A. Predicting the pullout response of inclined hooked steel fibers. Cem. Concr. Res. 2010, 40, 1471–1487. [Google Scholar] [CrossRef]
 - Zīle, E.; Zīle, O. Effect of the fiber geometry on the pullout response of mechanically deformed steel fibers. Cem. Concr. Res. 2013, 44, 18–24. [Google Scholar] [CrossRef]
 - Varona, F.B.; Baeza, F.J.; Bru, D.; Ivorra, S. Influence of high temperature on the mechanical properties of hybrid fibre reinforced normal and high strength concrete. Constr. Build. Mater. 2018, 159, 73–82. [Google Scholar] [CrossRef]
 - Li, Y.; Pimienta, P.; Pinoteau, N.; Tan, K.H. Effect of aggregate size and inclusion of polypropylene and steel fibers on explosive spalling and pore pressure in ultra-high-performance concrete (UHPC) at elevated temperature. Cem. Concr. Compos. 2019, 99, 62–71. [Google Scholar] [CrossRef]
 - Zheng, W.; Luo, B.; Wang, Y. Compressive and tensile properties of reactive powder concrete with steel fibres at elevated temperatures. Constr. Build. Mater. 2013, 41, 844–851. [Google Scholar] [CrossRef]
 - Gao, D.; Yan, D.; Li, X. Splitting strength of GGBFS concrete incorporating with steel fiber and polypropylene fiber after exposure to elevated temperatures. Fire Saf. J. 2012, 54, 67–73. [Google Scholar] [CrossRef]
 - Poon, C.S.; Shui, Z.H.; Lam, L.; Fok, H.; Kou, S.C. Influence of moisture states of natural and recycled aggregates on the slump and compressive strength of concrete. Cem. Concr. Res. 2004, 34, 31–36. [Google Scholar] [CrossRef]
 - Poon, C.S.; Shui, Z.H.; Lam, L. Compressive behavior of fiber reinforced high-performance concrete subjected to elevated temperatures. Cem. Concr. Res. 2004, 34, 2215–2222. [Google Scholar] [CrossRef]
 - Purkiss, J.A. Steel fibre reinforced concrete at elevated temperatures. Int. J. Cem. Compos. Lightweight Concr. 1984, 6, 179–184. [Google Scholar] [CrossRef]
 - Faiyadh, F.I.; Al-Ausi, M.A. Effect of elevated temperature on splitting tensile strength of fibre concrete. Int. J. Cem. Compos. Lightweight Concr. 1989, 11, 175–178. [Google Scholar] [CrossRef]
 - Lau, A.; Anson, M. Effect of high temperatures on high performance steel fibre reinforced concrete. Cem. Concr. Res. 2006, 36, 1698–1707. [Google Scholar] [CrossRef]
 - Rilem, T.C. Test methods for mechanical properties of concrete at high temperatures, Recommendations, Part 3: Compressive strength for service and accident conditions. Mater. Struct. 1995, 28, 410–414. [Google Scholar]
 - Rilem, T.C. Test methods for mechanical properties of concrete at high temperatures recommendations–Part 4: Tensile strength for service and accident conditions. Mater. Struct. 2000, 33, 219–223. [Google Scholar]
 - Ismail, R.; Zakwan, F.A.A.; Petrus, C.; Marzuki, N.A.; Hashim, N.H.; Mustafa, M.F. Compressive behavior of steel fiber reinforced concrete after exposed to high temperatures. In CIEC 2013; Springer: Singapore, 2014; pp. 731–740. [Google Scholar]
 - Xie, J.; Zhang, Z.; Lu, Z.; Sun, M. Coupling effects of silica fume and steel-fiber on the compressive behaviour of recycled aggregate concrete after exposure to elevated temperature. Constr. Build. Mater. 2018, 184, 752–764. [Google Scholar] [CrossRef]
 - Zhao, J.; Gao, D.Y.; Wang, B. The experimental study on mechanical property of steel fiber reinforced high strength concrete after high temperature. Concrete 2006, 28, 4–6. [Google Scholar]
 - Chen, H.G.; Liu, F.Y.; Sun, B.; Wang, M.; Cheng, P.J. Impact of steel fibre dosage on mechanical properties of concrete under high temperature. J. Chongqing Jiaotong Univ. 2010, 29, 552–554. [Google Scholar]
 - Düğenci, O.; Haktanir, T.; Altun, F. Experimental research for the effect of high temperature on the mechanical properties of steel fiber-reinforced concrete. Constr. Build. Mater. 2015, 75, 82–88. [Google Scholar] [CrossRef]
 - Shaikh, F.U.A.; Hosan, A. Mechanical properties of steel fibre reinforced geopolymer concretes at elevated temperatures. Constr. Build. Mater. 2016, 114, 15–28. [Google Scholar] [CrossRef]
 - Chen, G.M.; He, Y.H.; Yang, H.; Chen, J.F.; Guo, Y.C. Compressive behavior of steel fiber reinforced recycled aggregate concrete after exposure to elevated temperatures. Constr. Build. Mater. 2014, 71, 1–15. [Google Scholar] [CrossRef]
 - Tai, Y.S.; Pan, H.H.; Kung, Y.N. Mechanical properties of steel fiber reinforced reactive powder concrete following exposure to high temperature reaching 800 °C. Nucl. Eng. Des. 2011, 241, 2416–2424. [Google Scholar] [CrossRef]
 - Li, L.; Zhang, R.; Jin, L.; Du, X.; Wu, J.; Duan, W. Experimental study on dynamic compressive behavior of steel fiber reinforced concrete at elevated temperatures. Constr. Build. Mater. 2019, 210, 673–684. [Google Scholar] [CrossRef]
 - Mehta, P.K. Concrete: Structure, Properties and Materials; Prentice-Hall Inc.: Englewood Cliffs, NJ, USA, 1986. [Google Scholar]
 - Khoury, G.A. Effect of fire on concrete and concrete structures. Prog. Struct. Eng. Mater. 2000, 2, 429–447. [Google Scholar] [CrossRef]
 - Bangi, M.R.; Horiguchi, T. Effect of fibre type and geometry on maximum pore pressures in fibre-reinforced high strength concrete at elevated temperatures. Cem. Concr. Res. 2012, 42, 459–466. [Google Scholar] [CrossRef]
 - Zheng, W.; Li, H.; Wang, Y. Compressive behaviour of hybrid fiber-reinforced reactive powder concrete after high temperature. Mater. Des. 2012, 41, 403–409. [Google Scholar] [CrossRef]
 - Scheinherrová, L.; Vejmelková, E.; Keppert, M.; Bezdička, P.; Doleželová, M.; Krejsová, J.; Grzeszczyk, S.; Matuszek-Chmurowska, A.; Černý, R. Effect of Cu-Zn coated steel fibers on high temperature resistance of reactive powder concrete. Cem. Concr. Res. 2019, 117, 45–57. [Google Scholar] [CrossRef]
 - Bangi, M.R.; Horiguchi, T. Pore pressure development in hybrid fibre-reinforced high strength concrete at elevated temperatures. Cem. Concr. Res. 2011, 41, 1150–1156. [Google Scholar] [CrossRef]
 - Luo, X.; Sun, W.; Chan, S.Y.N. Effect of heating and cooling regimes on residual strength and microstructure of normal strength and high-performance concrete. Cem. Concr. Res. 2000, 30, 379–383. [Google Scholar] [CrossRef]
 - Ishihara, S.; Goshima, T.; Nomura, K.; Yoshimoto, T. Crack propagation behavior of cermets and cemented carbides under repeated thermal shocks by the improved quench test. J. Mater. Sci. 1999, 34, 629–636. [Google Scholar] [CrossRef]
 - Nassif, A.Y. Postfiring stress-strain hysteresis of concrete subjected to various heating and cooling regimes. Fire Mater. 2002, 26, 103–109. [Google Scholar] [CrossRef]
 - Totten, G.E. Steel Heat Treatment Handbook; CRC Press: Boca Raton, FL, USA, 2006; Volume 2. [Google Scholar]
 - Li, Y.; Yang, E.H.; Tan, K.H. Effects of heating followed by water quenching on strength and microstructure of ultra-high performance concrete. Constr. Build. Mater. 2019, 207, 403–411. [Google Scholar] [CrossRef]
 - Jameran, A.; Ibrahim, I.S.; Yazan, S.H.S.; Rahim, S.N.A. Mechanical properties of steel-polypropylene fibre reinforced concrete under elevated temperature. Procedia Eng. 2015, 125, 818–824. [Google Scholar] [CrossRef]
 - Choumanidis, D.; Badogiannis, E.; Nomikos, P.; Sofianos, A. The effect of different fibres on the flexural behaviour of concrete exposed to normal and elevated temperatures. Constr. Build. Mater. 2016, 129, 266–277. [Google Scholar] [CrossRef]
 - Yermak, N.; Pliya, P.; Beaucour, A.L.; Simon, A.; Noumowé, A. Influence of steel and/or polypropylene fibres on the behaviour of concrete at high temperature: Spalling, transfer and mechanical properties. Constr. Build. Mater. 2017, 132, 240–250. [Google Scholar] [CrossRef]
 - Ezziane, M.; Molez, L.; Jauberthie, R.; Rangeard, D. Heat exposure tests on various types of fibre mortar. Eur. J. Environ. Civ. Eng. 2011, 15, 715–726. [Google Scholar] [CrossRef]
 - Pliya, P.; Beaucour, A.L.; Noumowé, A. Contribution of cocktail of polypropylene and steel fibres in improving the behaviour of high strength concrete subjected to high temperature. Constr. Build. Mater. 2011, 25, 1926–1934. [Google Scholar] [CrossRef]
 - British Standard Institute. Eurocode 2: Design of Concrete Structure–Part 1. 2: General Rules–Structural Fire Design; BS EN. 1992-1-2:2004; British Standard Institute: London, UK, 2004. [Google Scholar]
 - Xiao, J.; Xie, Q.; Xie, W. Study on high-performance concrete at high temperatures in China (2004–2016)-An updated overview. Fire Saf. J. 2018, 95, 11–24. [Google Scholar] [CrossRef]
 - Kim, J.; Lee, G.P. Evaluation of mechanical properties of steel-fibre-reinforced concrete exposed to high temperatures by double-punch test. Constr. Build. Mater. 2015, 79, 182–191. [Google Scholar] [CrossRef]
 - Mindess, S.; Young, J.F.; Darwin, D. Concrete, Pearson Education; Pearson Education: Upper SaddleRiver, NJ, USA, 2003. [Google Scholar]
 - Khaliq, W.; Kodur, V. High temperature mechanical properties of high-strength fly ash concrete with and without fibers. ACI Mater. J. 2012, 109, 665–674. [Google Scholar]
 - Suhaendi, S.L.; Horiguchi, T. Effect of short fibers on residual permeability and mechanical properties of hybrid fibre reinforced high strength concrete after heat exposition. Cem. Concr. Res. 2006, 36, 1672–1678. [Google Scholar] [CrossRef]
 - Aydın, S.; Yazıcı, H.; Baradan, B. High temperature resistance of normal strength and autoclaved high strength mortars incorporated polypropylene and steel fibers. Constr. Build. Mater. 2008, 22, 504–512. [Google Scholar] [CrossRef]
 - Gao, C.; Yang, D.; Yu, J.; Wang, L.; Li, P. Mechanical properties of fiber reinforcedconcrete after high temperature. Concrete 2013, 35, 33–36. [Google Scholar]
 - Chen, B.; Liu, J. Residual strength of hybrid-fiber-reinforced high-strength concrete after exposure to high temperatures. Cem. Concr. Res. 2004, 34, 1065–1069. [Google Scholar] [CrossRef]
 - Guo, Y.C.; Zhang, J.H.; Chen, G.M.; Xie, Z.H. Compressive behaviour of concrete structures incorporating recycled concrete aggregates, rubber crumb and reinforced with steel fibre, subjected to elevated temperatures. J. Clean. Prod. 2014, 72, 193–203. [Google Scholar] [CrossRef]
 - Khaliq, W.; Kodur, V. Thermal and mechanical properties of fiber reinforced high performance self-consolidating concrete at elevated temperatures. Cem. Concr. Res. 2011, 41, 1112–1122. [Google Scholar] [CrossRef]
 - Guo, Y.C.; Zhang, J.H.; Chen, G.; Chen, G.M.; Xie, Z.H. Fracture behaviors of a new steel fiber reinforced recycled aggregate concrete with crumb rubber. Constr. Build. Mater. 2014, 53, 32–39. [Google Scholar] [CrossRef]
 - Menou, A.; Mounajed, G.; Boussa, H.; Pineaud, A.; Carre, H. Residual fracture energy of cement paste, mortar and concrete subject to high temperature. Theor. Appl. Fract. Mech. 2006, 45, 64–71. [Google Scholar] [CrossRef]
 - Nielsen, C.V.; Biéanić, N. Residual fracture energy of high-performance and normal concrete subject to high temperatures. Mater. Struct. 2003, 36, 515. [Google Scholar] [CrossRef]
 - Watanabe, K.; Bangi, M.R.; Horiguchi, T. The effect of testing conditions (hot and residual) on fracture toughness of fiber reinforced high-strength concrete subjected to high temperatures. Cem. Concr. Res. 2013, 51, 6–13. [Google Scholar] [CrossRef]
 - Ding, Y.; Azevedo, C.; Aguiar, J.B.; Jalali, S. Study on residual behaviour and flexural toughness of fibre cocktail reinforced self compacting high performance concrete after exposure to high temperature. Constr. Build. Mater. 2012, 26, 21–31. [Google Scholar] [CrossRef]
 - Ríos, J.D.; Cifuentes, H.; Leiva, C.; Seitl, S. Analysis of the mechanical and fracture behavior of heated ultra-high-performance fiber-reinforced concrete by X-ray computed tomography. Cem. Concr. Res. 2019, 119, 77–88. [Google Scholar] [CrossRef]
 - Zheng, W.; Li, H.; Wang, Y. Compressive stress–strain relationship of steel fiber-reinforced reactive powder concrete after exposure to elevated temperatures. Constr. Build. Mater. 2012, 35, 931–940. [Google Scholar] [CrossRef]
 - Colombo, M.; Di Prisco, M.; Felicetti, R. Mechanical properties of steel fibre reinforced concrete exposed at high temperatures. Mater. Struct. 2010, 43, 475–491. [Google Scholar] [CrossRef]
 - Taerwe, L.R. Influence of steel fibers on strain-softening of high-strength concrete. Mater. J. 1993, 89, 54–60. [Google Scholar]
 - Nataraja, M.C.; Dhang, N.; Gupta, A.P. Stress–strain curves for steel-fiber reinforced concrete under compression. Cem. Concr. Compos. 1999, 21, 383–390. [Google Scholar] [CrossRef]
 - Gawin, D.; Alonso, C.; Andrade, C.; Majorana, C.E.; Pesavento, F. Effect of damage on permeability and hygro-thermal behaviour of HPCs at elevated temperatures: Part 1. Experimental results. Comput. Concr. 2005, 2, 189–202. [Google Scholar] [CrossRef]
 - Chan, Y.N.; Peng, G.F.; Anson, M. Residual strength and pore structure of high-strength concrete and normal strength concrete after exposure to high temperatures. Cem. Concr. Compos. 1999, 21, 23–27. [Google Scholar] [CrossRef]
 - Alarcon-Ruiz, L.; Platret, G.; Massieu, E.; Ehrlacher, A. The use of thermal analysis in assessing the effect of temperature on a cement paste. Cem. Concr. Res. 2005, 35, 609–613. [Google Scholar] [CrossRef]
 - Alonso, C.; Fernandez, L. Dehydration and rehydration processes of cement paste exposed to high temperature environments. J. Mater. Sci. 2004, 39, 3015–3024. [Google Scholar] [CrossRef]
 - Castellote, M.; Alonso, C.; Andrade, C.; Turrillas, X.; Campo, J. Composition and microstructural changes of cement pastes upon heating, as studied by neutron diffraction. Cem. Concr. Res. 2004, 34, 1633–1644. [Google Scholar] [CrossRef]
 - Hager, I. Behaviour of cement concrete at high temperature. Bull. Pol. Acad. Sci. Tech. Sci. 2013, 61, 145–154. [Google Scholar] [CrossRef]
 - Lim, S. Effects of Elevated Temperature Exposure on Cement-Based Composite Materials. Ph.D. Thesis, University of Illinois at Urbana-Champaign, Champaign, IL, USA, 2015. [Google Scholar]
 - Consolazio, G.R.; McVay, M.C.; Rish, J.W., III. Measurement and prediction of pore pressures in saturated cement mortar subjected to radiant heating. Mater. J. 1998, 95, 525–536. [Google Scholar]
 - Henry, M.; Darma, I.S.; Sugiyama, T. Analysis of the effect of heating and re-curing on the microstructure of high-strength concrete using X-ray CT. Constr. Build. Mater. 2014, 67, 37–46. [Google Scholar] [CrossRef]
 - Fletcher, I.A.; Welch, S.; Torero, J.L.; Carvel, R.O.; Usmani, A. The behaviour ofconcrete structures in fire. Therm. Sci. 2007, 11, 1–16. [Google Scholar] [CrossRef]
 - Ozawa, M.; Uchida, S.; Kamada, T.; Morimoto, H. Study of mechanisms of explosive spalling in high-strength concrete at high temperatures using acoustic emission. Constr. Build. Mater. 2012, 37, 621–628. [Google Scholar] [CrossRef]
 - Debicki, G.; Haniche, R.; Delhomme, F. An experimental method for assessing the spalling sensitivity of concrete mixture submitted to high temperature. Cem. Concr. Compos. 2012, 34, 958–963. [Google Scholar] [CrossRef]
 - Naus, D. The Effect of Elevated Temperature on Concrete Materials and Structures: A Literature Review; Division of Engineering Technology, Office of Nuclear Regulatory Research, US Nuclear Regulatory Commission: Rockville, MD, USA, 2006.
 - Varona, F.B.; Baeza, F.J.; Bru, D.; Ivorra, S. Evolution of the bond strength between reinforcing steel and fibre reinforced concrete after high temperature exposure. Constr. Build. Mater. 2018, 176, 359–370. [Google Scholar] [CrossRef]
 - Hertz, K.D. Danish investigations on silica fume concretes at elevated temperatures. Mater. J. 1992, 89, 345–347. [Google Scholar]
 - Sideris, K.K.; Manita, P.; Chaniotakis, E. Performance of thermally damaged fibre reinforced concretes. Constr. Build. Mater. 2009, 23, 1232–1239. [Google Scholar] [CrossRef]
 - Felicetti, R. Assessment of the equivalent thermal diffusivity for fire analysis of concrete structures. In Proceedings of the Fib Task Group 4.3 Workshop Fire Design of Concrete Structures, Coimbra, Portugal, 8–9 November 2007. [Google Scholar]
 - Zhang, D.; Ju, L. Effects of hybrid fiber on HPC properties under hightemperature. Ind. Constr. 2005, 35, 8–14. [Google Scholar]
 - Huang, Z.; Padmaja, K.; Li, S.; Liew, J.R. Mechanical properties and microstructure of ultra-lightweight cement composites with fly ash cenospheres after exposure to high temperatures. Constr. Build. Mater. 2018, 164, 760–774. [Google Scholar] [CrossRef]
 - Ahmad, S.; Rasul, M.; Adekunle, S.K.; Al-Dulaijan, S.U.; Maslehuddin, M.; Ali, S.I. Mechanical properties of steel fiber-reinforced UHPC mixtures exposed to elevated temperature: Effects of exposure duration and fiber content. Compos. Part B Eng. 2019, 168, 291–301. [Google Scholar] [CrossRef]
 - Mohamedbhai, G.T.G. Effect of exposure time and rates of heating and cooling on residual strength of heated concrete. Mag. Concr. Res. 1986, 38, 151–158. [Google Scholar] [CrossRef]
 - Peng, G.F.; Bian, S.H.; Guo, Z.Q.; Zhao, J.; Peng, X.L.; Jiang, Y.C. Effect of thermal shock due to rapid cooling on residual mechanical properties of fiber concrete exposed to high temperatures. Constr. Build. Mater. 2008, 22, 948–955. [Google Scholar] [CrossRef]
 - Khoury, G.A.; Majorana, C.E.; Pesavento, F.; Schrefler, B.A. Modelling of heated concrete. Mag. Concr. Res. 2002, 54, 77–101. [Google Scholar] [CrossRef]
 













© 2020 by the authors. Licensee MDPI, Basel, Switzerland. This article is an open access article distributed under the terms and conditions of the Creative Commons Attribution (CC BY) license (http://creativecommons.org/licenses/by/4.0/).
Share and Cite
Zhang, P.; Kang, L.; Wang, J.; Guo, J.; Hu, S.; Ling, Y. Mechanical Properties and Explosive Spalling Behavior of Steel-Fiber-Reinforced Concrete Exposed to High Temperature—A Review. Appl. Sci. 2020, 10, 2324. https://doi.org/10.3390/app10072324
Zhang P, Kang L, Wang J, Guo J, Hu S, Ling Y. Mechanical Properties and Explosive Spalling Behavior of Steel-Fiber-Reinforced Concrete Exposed to High Temperature—A Review. Applied Sciences. 2020; 10(7):2324. https://doi.org/10.3390/app10072324
Chicago/Turabian StyleZhang, Peng, Luoyi Kang, Juan Wang, Jinjun Guo, Shaowei Hu, and Yifeng Ling. 2020. "Mechanical Properties and Explosive Spalling Behavior of Steel-Fiber-Reinforced Concrete Exposed to High Temperature—A Review" Applied Sciences 10, no. 7: 2324. https://doi.org/10.3390/app10072324
APA StyleZhang, P., Kang, L., Wang, J., Guo, J., Hu, S., & Ling, Y. (2020). Mechanical Properties and Explosive Spalling Behavior of Steel-Fiber-Reinforced Concrete Exposed to High Temperature—A Review. Applied Sciences, 10(7), 2324. https://doi.org/10.3390/app10072324
        
