Thermoelastic Analysis of Functionally Graded Cylindrical Panels with Piezoelectric Layers
Abstract
1. Introduction
2. Governing Equations
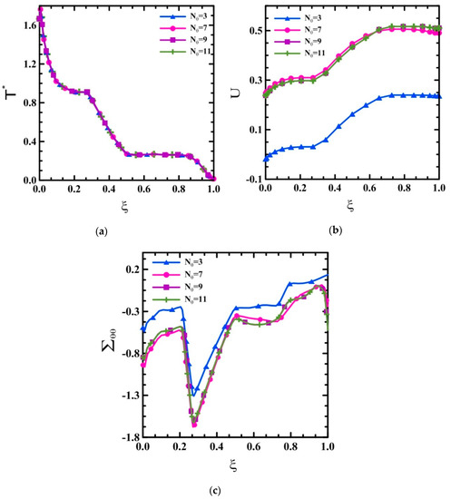
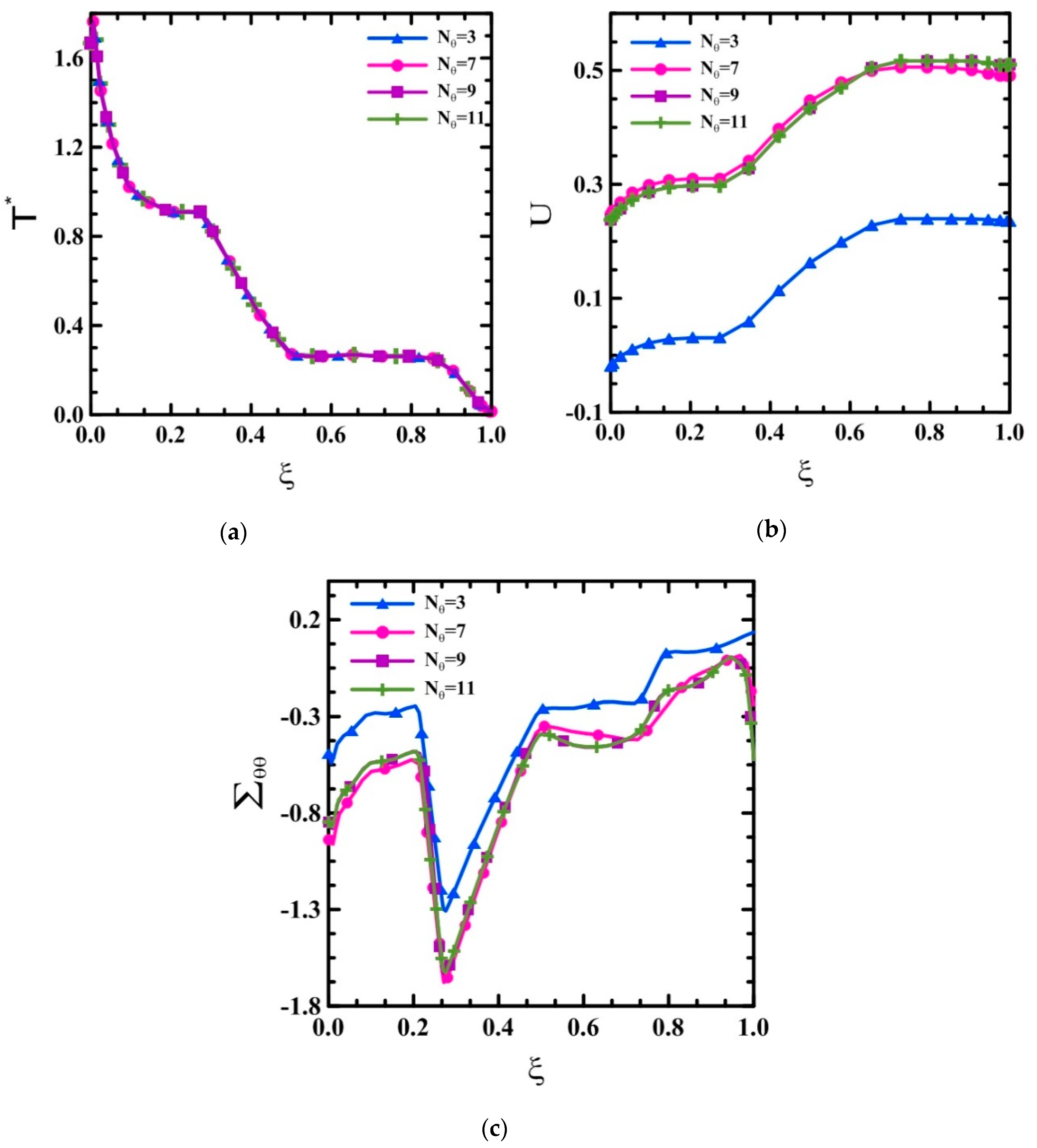
3. Solution Procedure
4. Numerical Results
5. Conclusions
- The model can simulate thermoelastic wave propagation in multilayer panels.
- An increased material gradient index n decreases the heat wave speed.
- The classical thermoelasticity theory based on a null value of relaxation time is unable to accurately predict the thermoelastic behavior of laminated panels under a thermal shock loading.
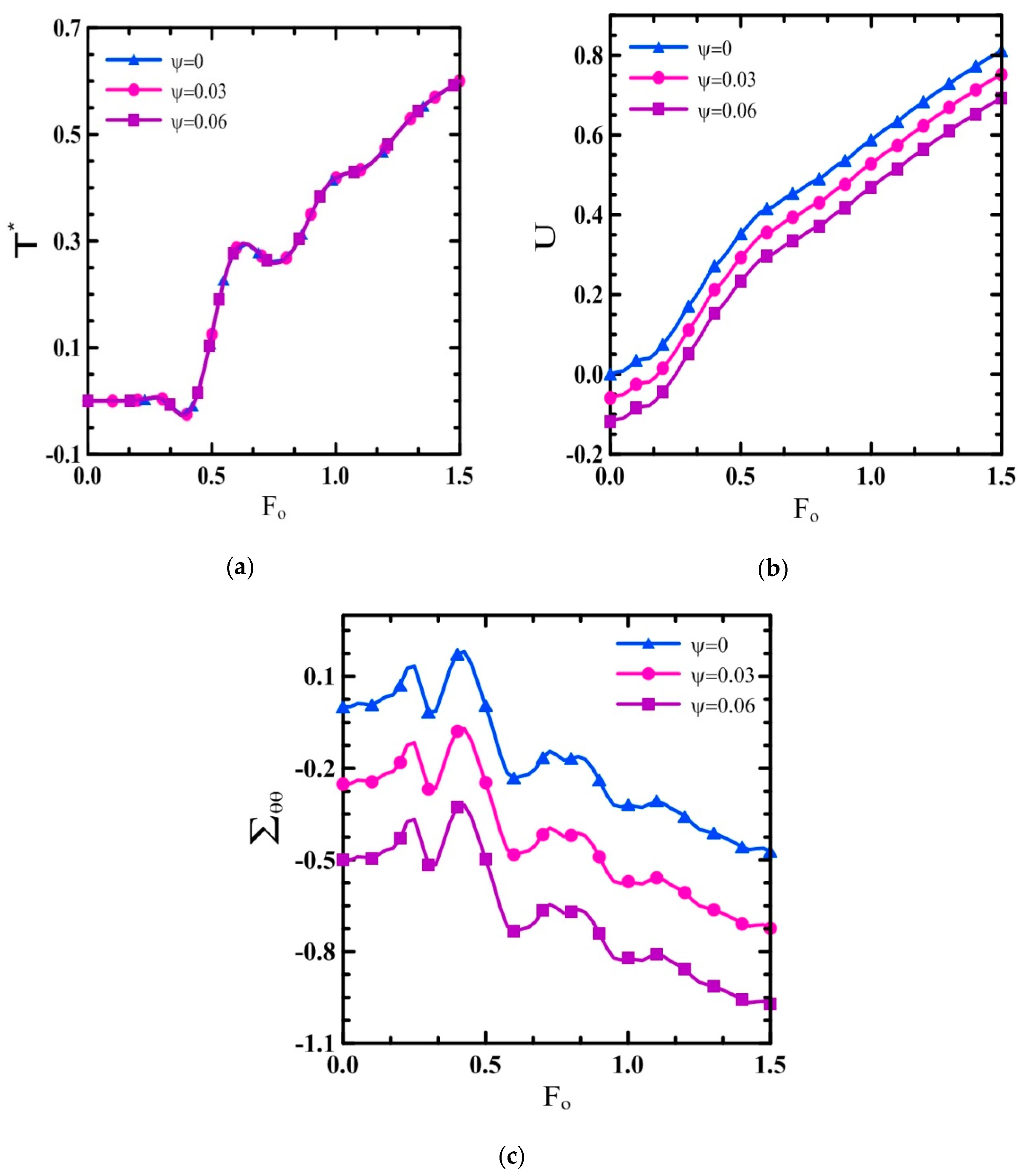
- An increased core thickness-to-piezoelectric thickness ratio yields an increased value of all the thermoelastic field variables.
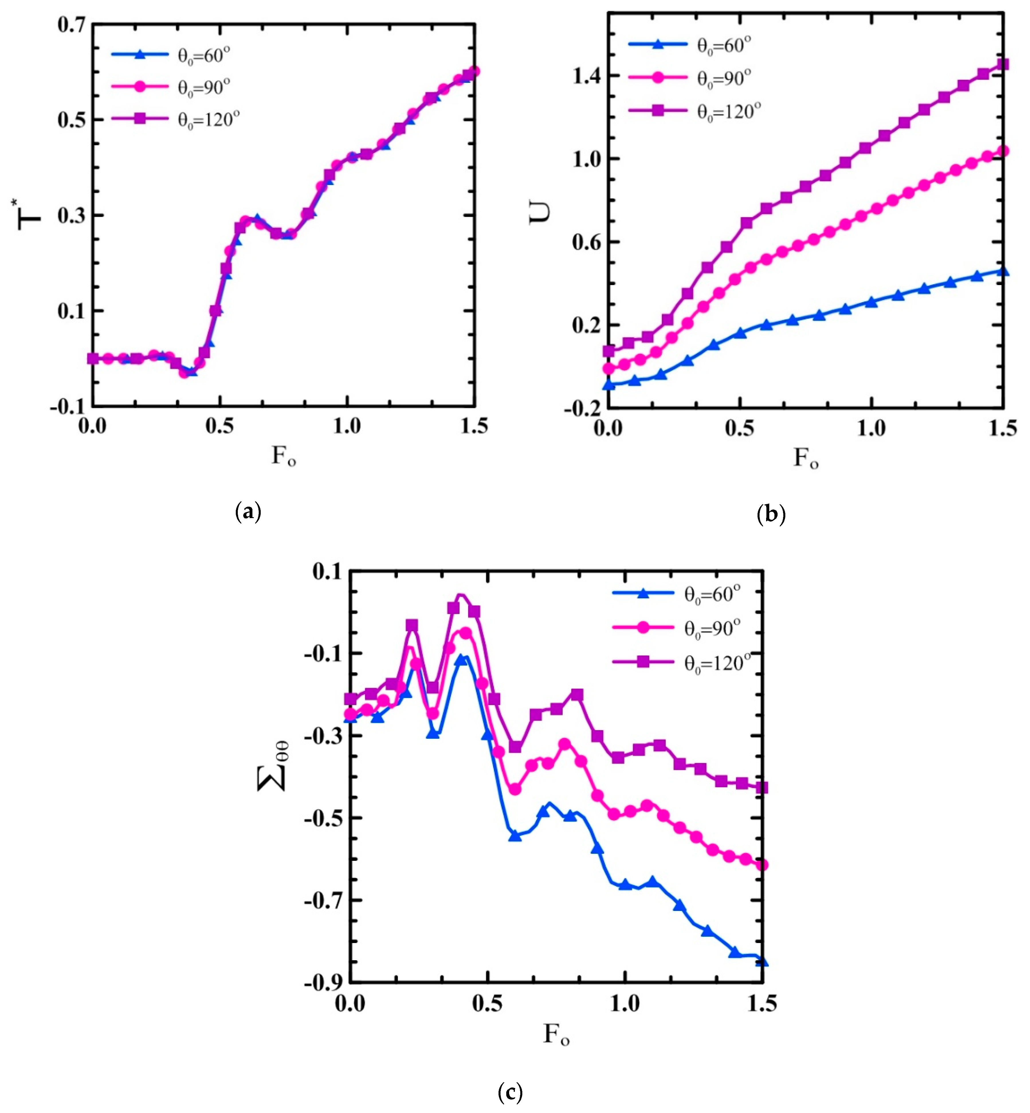
- An increased opening angle of the panel increases the radial displacement and decreases the hoop stress component.
- The location of the maximum values for the hoop stress is almost independent of the geometrical opening angle .
- The opening angle does not allow any sensitive variation in the distribution and time histories of the temperature.
- An increased external electrical voltage decreases the radial displacement and increases the hoop stress component without affecting the temperature variation.
Author Contributions
Funding
Conflicts of Interest
References
- Lord, H.W.; Shulman, Y. A generalized dynamical theory of thermoelasticity. J. Mech. Phys. Solids 1967, 15, 299–309. [Google Scholar] [CrossRef]
- Hetnarski, R.B.; Ignaczak, J. Generalized thermoelasticity. J. Therm. Stresses 1999, 22, 451–476. [Google Scholar]
- Chouduri, S.K.R. On a thermoelastic three-phase-lag model. J. Therm. Stresses 2007, 30, 231–238. [Google Scholar] [CrossRef]
- Bahtui, A.; Eslami, M.R. Generalized coupled thermoelasticity of functionally graded cylindrical shells. Int. J. Numer. Methods Eng. 2007, 69, 676–697. [Google Scholar] [CrossRef]
- Bagri, A.; Eslami, M.R. Generalized coupled thermoelasticity of functionally graded annular disk considering the Lord–Shulman theory. Compos. Struct. 2008, 83, 168–179. [Google Scholar] [CrossRef]
- Zhou, F.-X.; Li, S.; Lai, Y.-M. Three-dimensional analysis for transient coupled thermoelastic response of a functionally graded rectangular plate. J. Sound Vib. 2011, 330, 3990–4001. [Google Scholar] [CrossRef]
- Shariyat, M. Nonlinear transient stress and wave propagation analyses of the FGM thick cylinders, employing a unified generalized thermoelasticity theory. Int. J. Mech. Sci. 2012, 65, 24–37. [Google Scholar] [CrossRef]
- Abbas, I.A.; Zenkour, A.M. LS model on electro–magneto–thermoelastic response of an infinite functionally graded cylinder. Compos. Struct. 2013, 96, 89–96. [Google Scholar] [CrossRef]
- Xia, R.; Tian, X.; Shen, Y. Dynamic response of two-dimensional generalized thermoelastic coupling problem subjected to a moving heat source. Acta Mech. Solida Sin. 2014, 27, 300–305. [Google Scholar] [CrossRef]
- Zenkour, A.M. Three-dimensional thermal shock plate problem within the framework of different thermoelasticity theories. Compos. Struct. 2015, 132, 1029–1042. [Google Scholar] [CrossRef]
- Heydarpour, Y.; Aghdam, M.M. Transient analysis of rotating functionally graded truncated conical shells based on the Lord–Shulman model. Thin Walled Struct. 2016, 104, 168–184. [Google Scholar] [CrossRef]
- Kiani, Y.; Eslami, M.R. Nonlinear generalized thermoelasticity of an isotropic layer based on Lord-Shulman theory. Eur. J. Mech. Solids 2017, 61, 245–253. [Google Scholar] [CrossRef]
- Entezari, A.; Filippi, M.; Carrera, E.; Kouchakzadeh, M.A. 3D dynamic coupled thermoelastic solution for constant thickness disks using refined 1D finite element models. Appl. Math. Model. 2018, 60, 273–285. [Google Scholar] [CrossRef]
- Wang, Y.Z.; Zan, C.; Liu, D.; Zhou, J.Z. Generalized solution of the thermoelastic problem for the axisymmetric structure with temperature-dependent properties. Eur. J. Mech. Solids 2019, 76, 346–354. [Google Scholar] [CrossRef]
- Ootao, Y.; Tanigawa, Y. Two-dimensional thermoelastic analysis of a functionally graded cylindrical panel due to nonuniform heat supply. Mech. Res. Commun. 2005, 32, 429–443. [Google Scholar] [CrossRef]
- Shao, Z.S.; Wang, T.J. Three-dimensional solutions for the stress fields in functionally graded cylindrical panel with finite length and subjected to thermal/mechanical loads. Int. J. Solids Struct. 2006, 43, 3856–3874. [Google Scholar] [CrossRef]
- Ootao, Y.; Tanigawa, Y. Transient thermoelastic problem of a functionally graded cylindrical panel due to nonuniform heat supply. J. Therm. Stresses 2007, 30, 441–457. [Google Scholar] [CrossRef]
- Shao, Z.; Wang, T.; Ang, K.K. Transient thermomechanical stresses of functionally graded cylindrical panels. AIAA J. 2007, 45, 2487–2496. [Google Scholar] [CrossRef]
- Wang, X.; Sudak, L.J. Three-dimensional analysis of multi-layered functionally graded anisotropic cylindrical panel under thermomechanical loading. Mech. Mater. 2008, 40, 235–254. [Google Scholar] [CrossRef]
- Malekzadeh, P.; Ghaedsharaf, M. Three-dimensional thermoelastic analysis of finite length laminated cylindrical panels with functionally graded layers. Meccanica 2014, 49, 887–906. [Google Scholar] [CrossRef]
- Ranjan Kar, V.; Kumar Panda, S. Thermoelastic analysis of functionally graded doubly curved shell panels using nonlinear finite element method. Compos. Struct. 2015, 129, 201–212. [Google Scholar]
- Khakpour Komarsofla, M.; Jedari Salami, S.; Shakeri, M. Thermo elastic- up to yielding behavior of three dimensional functionally graded cylindrical panel based on a full layer-wise theory. Compos. Struct. 2019, 208, 261–275. [Google Scholar] [CrossRef]
- Kumar Hirwani, C.; Kumar Panda, S. Nonlinear finite element solutions of thermoelastic deflection and stress responses of internally damaged curved panel structure. Appl. Math. Model. 2019, 65, 303–317. [Google Scholar] [CrossRef]
- Wu, C.-P.; Huang, S.-E. Three-dimensional solutions of functionally graded piezo-thermo-elastic shells and plates using a modified pagano method. Comput. Mater. Contin. 2009, 12, 251–281. [Google Scholar]
- Wu, C.-P.; Chiu, K.-H.; Jiang, R.-Y. A meshless collocation method for the coupled analysis of functionally graded piezo-thermo-elastic shells and plates under thermal loads. Int. J. Eng. Sci. 2012, 56, 29–48. [Google Scholar] [CrossRef]
- Sheng, G.G.; Wang, X. Response and control of functionally graded laminated piezoelectric shells under thermal shock and moving loadings. Compos. Struct. 2010, 93, 132–141. [Google Scholar] [CrossRef]
- Alibeigloo, A. Thermoelastic solution for static deformations of functionally graded cylindrical shell bonded to thin piezoelectric layers. Compos. Struct. 2011, 93, 961–972. [Google Scholar] [CrossRef]
- Akbari Alashti, R.; Khorsand, M. Three-dimensional dynamo-thermo-elastic analysis of a functionally graded cylindrical shell with piezoelectric layers by DQ-FD coupled. Int. J. Press. Vessel. Pip. 2012, 96–97, 49–67. [Google Scholar] [CrossRef]
- Akbari Alashti, R.; Khorsand, M. Three-dimensional nonlinear thermo-elastic analysis of functionally graded cylindrical shells with piezoelectric layers by differential quadrature method. Acta Mech. 2012, 223, 2565–2590. [Google Scholar] [CrossRef]
- Alibeigloo, A. Thermoelastic analysis of functionally graded carbon nanotube reinforced composite cylindrical panel embedded in piezoelectric sensor and actuator layers. Compos. Part B Eng. 2016, 98, 225–243. [Google Scholar] [CrossRef]
- Alibeigloo, A.; Pasha Zanoosi, A.A. Thermo-electro-elasticity solution of functionally graded carbon nanotube reinforced composite cylindrical shell embedded in piezoelectric layers. Compos. Struct. 2017, 173, 268–280. [Google Scholar] [CrossRef]
- Entezari, A.; Filippi, M.; Carrera, E.; Kouchakzadeh, M.A. 3D-wave propagation in generalized thermoelastic functionally graded disks. Compos. Struct. 2018, 206, 941–951. [Google Scholar] [CrossRef]
- Zhang, X.-Y.; Xie, Y.-J.; Li, X.-F. Transient thermoelastic response in a cracked strip of functionally graded materials via generalized fractional heat conduction. Appl. Math. Model. 2019, 70, 328–349. [Google Scholar] [CrossRef]
- Sator, L.; Sladek, V.; Sladek, J. Coupling effects in transient analysis of FGM plates bending in non-classical thermoelasticity. Compos. Part B Eng. 2019, 165, 233–246. [Google Scholar] [CrossRef]
- Pourasghar, A.; Chen, Z. Hyperbolic heat conduction and thermoelastic solution of functionally graded CNT reinforced cylindrical panel subjected to heat pulse. Int. J. Solids Struct. 2019, 163, 117–129. [Google Scholar] [CrossRef]
- Heydarpour, Y.; Malekzadeh, P. Thermoelastic analysis of multilayered FG spherical shells based on Lord–Shulman theory. Iran. J. Sci. Technol. Trans. Mech. Eng. 2019, 43, 845–867. [Google Scholar] [CrossRef]
- Heydarpour, Y.; Malekzadeh, P.; Gholipour, F. Thermoelastic analysis of FG-GPLRC spherical shells under thermo-mechanical loadings based on Lord-Shulman theory. Compos. Part B Eng. 2019, 164, 400–424. [Google Scholar] [CrossRef]
- Golbahar Haghighi, M.; Malekzadeh, P.; Rahideh, H.; Vaghefi, M. Inverse transient heat conduction problems of a multilayered functionally graded cylinder. Numer. Heat Transfer Part A Appl. 2012, 61, 717–733. [Google Scholar] [CrossRef]
- Arefi, M.; Mohammadi, M.; Tabatabaeian, A.; Dimitri, R.; Tornabene, F. Two-dimensional thermo-elastic analysis of FG-CNTRC cylindrical pressure vessels. Steel Compos. Struct. 2018, 27, 525–536. [Google Scholar]
- Karami, B.; Shahsavari, D.; Janghorban, M.; Dimitri, R.; Tornabene, F. Wave propagation of porous nanoshells. Nanomaterials 2018, 9, 22. [Google Scholar] [CrossRef]
- Mohammadi, M.; Arefi, M.; Dimitri, R.; Tornabene, F. Higher-order thermo-elastic analysis of FG-CNTRC cylindrical vessels surrounded by a pasternak foundation. Nanomaterials 2019, 9, 79. [Google Scholar] [CrossRef] [PubMed]
- Nejati, M.; Ghasemi-Ghalebahman, A.; Soltanimaleki, A.; Dimitri, R.; Tornabene, F. Thermal vibration analysis of SMA hybrid composite double curved sandwich panels. Compos. Struct. 2019, 224, 111035. [Google Scholar] [CrossRef]
- Malekzadeh, P. A two-dimensional layerwise-differential quadrature static analysis of thick laminated composite circular arches. Appl. Math. Model. 2009, 33, 1850–1861. [Google Scholar] [CrossRef]
- Malekzadeh, P.; Golbahar Haghighi, M.R.; Heydarpour, Y. Heat transfer analysis of functionally graded hollow cylinders subjected to an axisymmetric moving boundary heat flux. Numer. Heat Transfer Part A Appl. 2012, 61, 614–632. [Google Scholar] [CrossRef]
- Heydarpour, Y.; Aghdam, M.M. A hybrid Bézier based multi-step method and differential quadrature for 3D transient response of variable stiffness composite plates. Compos. Struct. 2016, 154, 344–359. [Google Scholar] [CrossRef]
- Dimitri, R.; Fantuzzi, N.; Tornabene, F.; Zavarise, G. Innovative numerical methods based on SFEM and IGA for computing stress concentrations in isotropic plates with discontinuities. Int. J. Mech. Sci. 2016, 118, 166–187. [Google Scholar] [CrossRef]
- Kamarian, S.; Salim, M.; Dimitri, R.; Tornabene, F. Free vibration analysis of conical shells reinforced with agglomerated Carbon Nanotubes. Int. J. Mech. Sci. 2016, 108–109, 157–165. [Google Scholar] [CrossRef]
- Tornabene, F.; Dimitri, R.; Viola, E. Transient dynamic response of generally-shaped arches based on a GDQ-time-stepping method. Int. J. Mech. Sci. 2016, 114, 277–314. [Google Scholar] [CrossRef]
- Nejati, M.; Asanjarani, A.; Dimitri, R.; Tornabene, F. Static and free vibration analysis of functionally graded conical shells reinforced by carbon nanotubes. Int. J. Mech. Sci. 2017, 130, 383–398. [Google Scholar] [CrossRef]
- Heydarpour, Y.; Aghdam, M.M. A coupled integral–differential quadrature and B-spline-based multi-step technique for transient analysis of VSCL plates. Acta Mech. 2017, 228, 2965–2986. [Google Scholar] [CrossRef]
- Malekzadeh, P.; Setoodeh, A.R.; Shojaee, M. Vibration of FG-GPLs eccentric annular plates embedded in piezoelectric layers using a transformed differential quadrature method. Comput. Meth. Appl. Mech. Eng. 2018, 340, 451–479. [Google Scholar] [CrossRef]
- Heydarpour, Y.; Aghdam, M.M. Response of VSCL plates under moving load using a mixed integral-differential quadrature and novel NURBS based multi-step method. Compos. Part B Eng. 2018, 140, 260–280. [Google Scholar] [CrossRef]
- Santos, H.; Mota Soares, C.M.; Mota Soares, C.A.; Reddy, J.N. A semi-analytical finite element model for the analysis of cylindrical shells made of functionally graded materials under thermal shock. Compos. Struct. 2008, 86, 10–21. [Google Scholar] [CrossRef]














| Material | Ti-6Al-4V | ZrO2 |
|---|---|---|
| 18.1 | 2.036 | |
| 4410 | 5600 | |
| 808.3 | 615.6 | |
| 66.2 | 117 | |
| 10.3 × 10−6 | 7.11 × 10−6 | |
| 0.322 | 0.322 |
| 115 | d1 (coul/N) | −3.92 × 10−12 | |
| C22 [GPa] | 139 | Vp | 0.31 |
| C55 [GPa] | 25.6 | Ep [GPa] | 63 |
| C12 [GPa] | 74 | 7500 | |
| e2 [coul/m2] | −5.2 | Cp [J/kgK] | 350 |
| e3 [coul/m2] | 15.1 | 2.62 × 10−6 | |
| e4 [coul/m2] | 12.7 | 1.97 × 10−6 | |
| 6.5 | 1.5 | ||
| 5.6 | 2.1 | ||
| P3 (coul/m2K) | 5.4 × 10−5 |
| NURBS-Based Multi−Step Method | Newmark’s Method (Galerkin Scheme) | |||||||
|---|---|---|---|---|---|---|---|---|
| U | CPU Time (s) | U | CPU Time (s) | |||||
| 10 | 0.523 | 0.704 | −0.836 | 0.0024 | 0.311 | 0.456 | −0.425 | 9.400 |
| 25 | 0.449 | 0.581 | −0.732 | 0.0196 | 0.340 | 0.448 | −0.616 | 18.106 |
| 50 | 0.405 | 0.549 | −0.584 | 0.0263 | 0.339 | 0.473 | −0.483 | 37.406 |
| 75 | 0.367 | 0.516 | −0.529 | 0.0339 | 0.340 | 0.475 | −0.486 | 53.471 |
| 100 | 0.352 | 0.489 | −0.506 | 0.0408 | 0.341 | 0.475 | −0.488 | 69.603 |
| 125 | 0.346 | 0.481 | −0.497 | 0.0452 | 0.342 | 0.476 | −0.490 | 81.531 |
| 200 | 0.342 | 0.476 | −0.491 | 0.0584 | 0.342 | 0.476 | −0.490 | 146.73 |
| 300 | 0.342 | 0.475 | −0.489 | 0.0660 | 0.342 | 0.476 | −0.490 | 343.89 |
| Material | Zirconia | Steel |
|---|---|---|
| 2.09 | 20 | |
| 5700 | 8166 | |
| 531.9 | 325.35 | |
| 168.06 | 207.79 | |
| 2.3 × 10−4 | 1.5 × 10−5 | |
| 0.298 | 0.3178 |
© 2020 by the authors. Licensee MDPI, Basel, Switzerland. This article is an open access article distributed under the terms and conditions of the Creative Commons Attribution (CC BY) license (http://creativecommons.org/licenses/by/4.0/).
Share and Cite
Heydarpour, Y.; Malekzadeh, P.; Dimitri, R.; Tornabene, F. Thermoelastic Analysis of Functionally Graded Cylindrical Panels with Piezoelectric Layers. Appl. Sci. 2020, 10, 1397. https://doi.org/10.3390/app10041397
Heydarpour Y, Malekzadeh P, Dimitri R, Tornabene F. Thermoelastic Analysis of Functionally Graded Cylindrical Panels with Piezoelectric Layers. Applied Sciences. 2020; 10(4):1397. https://doi.org/10.3390/app10041397
Chicago/Turabian StyleHeydarpour, Yasin, Parviz Malekzadeh, Rossana Dimitri, and Francesco Tornabene. 2020. "Thermoelastic Analysis of Functionally Graded Cylindrical Panels with Piezoelectric Layers" Applied Sciences 10, no. 4: 1397. https://doi.org/10.3390/app10041397
APA StyleHeydarpour, Y., Malekzadeh, P., Dimitri, R., & Tornabene, F. (2020). Thermoelastic Analysis of Functionally Graded Cylindrical Panels with Piezoelectric Layers. Applied Sciences, 10(4), 1397. https://doi.org/10.3390/app10041397

