Reducing Computational Complexity and Memory Usage of Iterative Hologram Optimization Using Scaled Diffraction
Abstract
1. Introduction
2. Proposed Method
2.1. Conventional Method
- We initially set random phase values in the hologram plane ;
- We compute the diffraction calculation from to the object plane with the propagation distance ;
- As an object plane constraint, the area where the original object in exists is replaced by , while the calculated value in the blank area remains;
- The updated is back-propagated to the hologram plane by the same diffraction calculation with the propagation distance ;
- We introduce two constraints to the hologram plane. The first constraint is to calculate because our target is a phase-only hologram. The second constraint is the support of the hologram. We set zero values in the blank area of the hologram plane, because the size of the hologram is ;
- We repeat Steps 2 to 5 until the number of iterations reaches a predefined number, or the image quality of the reconstructed complex amplitude reaches a predefined quality, or the image quality of the reconstructed complex amplitude decreases;
- To obtain the final hologram, we crop only the central part of with pixels.
2.2. Proposed Method 1: Scaled Diffraction-Based Hologram Optimization
- We initially set random phase values in the hologram plane , with the sampling pitch ;
- We compute the diffraction calculation from to the object plane with the sampling pitch of where m is the magnification. The calculation is performed by
- As an object plane constraint, the area where the original object in the object plane exists is replaced by down-sampled original object with the number of pixels . The complex values in the virtual blank area remain;
- The updated is back-propagated to the hologram plane using the same diffraction calculation:
- As a constraint on the hologram plane, we calculate , because our target is a phase-only hologram;
- We repeat Steps 2 to 5 until the number of iterations reaches a predefined number or the image quality of the reconstructed complex amplitude reaches a predefined quality.
2.3. Proposed Method 2: Combination Algorithm
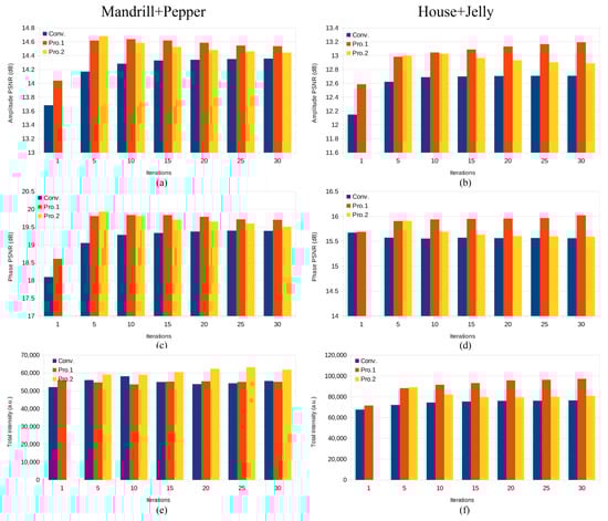
3. Results
4. Conclusions
Author Contributions
Funding
Conflicts of Interest
References
- Makowski, M.; Siemion, A.; Ducin, I.; Kakarenko, K.; Sypek, M.; Siemion, A.M.; Suszek, J.; Wojnowski, D.; Jaroszewicz, Z.; Kolodziejczyk, A. Complex light modulation for lensless image projection. Chin. Opt. Lett. 2011, 9, 120008. [Google Scholar] [CrossRef][Green Version]
- Liu, J.P.; Hsieh, W.Y.; Poon, T.C.; Tsang, P. Complex Fresnel hologram display using a single SLM. Appl. Opt. 2011, 50, H128–H135. [Google Scholar] [CrossRef]
- Rincon, I.; Arrizon, V. Generation of complex optical fields by double phase modulation in a SLM. OSA Contin. 2019, 2, 2983–2996. [Google Scholar] [CrossRef]
- Shimobaba, T.; Ito, T. Computer Holography: Acceleration Algorithms and Hardware Implementations; CRC Press: Boca Raton, FL, USA, 2019. [Google Scholar]
- Davis, J.A.; Cottrell, D.M.; Campos, J.; Yzuel, M.J.; Moreno, I. Encoding amplitude information onto phase-only filters. Appl. Opt. 1999, 38, 5004–5013. [Google Scholar] [CrossRef]
- Mendoza-Yero, O.; Mínguez-Vega, G.; Lancis, J. Encoding complex fields by using a phase-only optical element. Opt. Lett. 2014, 39, 1740–1743. [Google Scholar] [CrossRef]
- Goorden, S.A.; Bertolotti, J.; Mosk, A.P. Superpixel-based spatial amplitude and phase modulation using a digital micromirror device. Opt. Express 2014, 22, 17999–18009. [Google Scholar] [CrossRef]
- Kong, D.; Cao, L.; Jin, G.; Javidi, B. Three-dimensional scene encryption and display based on computer-generated holograms. Appl. Opt. 2016, 55, 8296–8300. [Google Scholar] [CrossRef]
- Shimobaba, T.; Takahashi, T.; Yamamoto, Y.; Hoshi, I.; Shiraki, A.; Kakue, T.; Ito, T. Simple complex amplitude encoding of a phase-only hologram using binarized amplitude. arXiv 2019, arXiv:1909.08177. [Google Scholar]
- Akahori, H. Spectrum leveling by an iterative algorithm with a dummy area for synthesizing the kinoform. Appl. Opt. 1986, 25, 802–811. [Google Scholar] [CrossRef]
- Wyrowski, F. Diffractive optical elements: Iterative calculation of quantized, blazed phase structures. JOSA A 1990, 7, 961–969. [Google Scholar] [CrossRef]
- Georgiou, A.; Christmas, J.; Collings, N.; Moore, J.; Crossland, W.A. Aspects of hologram calculation for video frames. J. Opt. A Pure Appl. Opt. 2008, 10, 035302. [Google Scholar] [CrossRef]
- Wu, L.; Cheng, S.; Tao, S. Complex amplitudes reconstructed in multiple output planes with a phase-only hologram. J. Opt. 2015, 17, 125603. [Google Scholar] [CrossRef]
- Tao, S.; Yu, W. Beam shaping of complex amplitude with separate constraints on the output beam. Opt. Express 2015, 23, 1052–1062. [Google Scholar] [CrossRef]
- Wang, H.; Yue, W.; Song, Q.; Liu, J.; Situ, G. A hybrid Gerchberg–Saxton-like algorithm for DOE and CGH calculation. Opt. Lasers Eng. 2017, 89, 109–115. [Google Scholar] [CrossRef]
- Gerchberg, R.W.; Saxton, W.O. A practical algorithm for the determination of phase from image and diffraction plane pictures. Optik 1972, 35, 237–246. [Google Scholar]
- Ferraro, P.; De Nicola, S.; Coppola, G.; Finizio, A.; Alfieri, D.; Pierattini, G. Controlling image size as a function of distance and wavelength in Fresnel-transform reconstruction of digital holograms. Opt. Lett. 2004, 29, 854–856. [Google Scholar] [CrossRef]
- Muffoletto, R.P.; Tyler, J.M.; Tohline, J.E. Shifted Fresnel diffraction for computational holography. Opt. Express 2007, 15, 5631–5640. [Google Scholar] [CrossRef]
- Paturzo, M.; Memmolo, P.; Finizio, A.; Näsänen, R.; Naughton, T.J.; Ferraro, P. Synthesis and display of dynamic holographic 3D scenes with real-world objects. Opt. Express 2010, 18, 8806–8815. [Google Scholar] [CrossRef]
- Restrepo, J.F.; Garcia-Sucerquia, J. Magnified reconstruction of digitally recorded holograms by Fresnel–Bluestein transform. Appl. Opt. 2010, 49, 6430–6435. [Google Scholar] [CrossRef]
- Odate, S.; Koike, C.; Toba, H.; Koike, T.; Sugaya, A.; Sugisaki, K.; Otaki, K.; Uchikawa, K. Angular spectrum calculations for arbitrary focal length with a scaled convolution. Opt. Express 2011, 19, 14268–14276. [Google Scholar] [CrossRef]
- Shimobaba, T.; Kakue, T.; Okada, N.; Oikawa, M.; Yamaguchi, Y.; Ito, T. Aliasing-reduced Fresnel diffraction with scale and shift operations. J. Opt. 2013, 15, 075405. [Google Scholar] [CrossRef]
- Shimobaba, T.; Weng, J.; Sakurai, T.; Okada, N.; Nishitsuji, T.; Takada, N.; Shiraki, A.; Masuda, N.; Ito, T. Computational wave optics library for C++: CWO++ library. Comput. Phys. Commun. 2012, 183, 1124–1138. [Google Scholar] [CrossRef]









© 2020 by the authors. Licensee MDPI, Basel, Switzerland. This article is an open access article distributed under the terms and conditions of the Creative Commons Attribution (CC BY) license (http://creativecommons.org/licenses/by/4.0/).
Share and Cite
Shimobaba, T.; Makowski, M.; Takahashi, T.; Yamamoto, Y.; Hoshi, I.; Nishitsuji, T.; Hoshikawa, N.; Kakue, T.; Ito, T. Reducing Computational Complexity and Memory Usage of Iterative Hologram Optimization Using Scaled Diffraction. Appl. Sci. 2020, 10, 1132. https://doi.org/10.3390/app10031132
Shimobaba T, Makowski M, Takahashi T, Yamamoto Y, Hoshi I, Nishitsuji T, Hoshikawa N, Kakue T, Ito T. Reducing Computational Complexity and Memory Usage of Iterative Hologram Optimization Using Scaled Diffraction. Applied Sciences. 2020; 10(3):1132. https://doi.org/10.3390/app10031132
Chicago/Turabian StyleShimobaba, Tomoyoshi, Michal Makowski, Takayuki Takahashi, Yota Yamamoto, Ikuo Hoshi, Takashi Nishitsuji, Naoto Hoshikawa, Takashi Kakue, and Tomoyoshi Ito. 2020. "Reducing Computational Complexity and Memory Usage of Iterative Hologram Optimization Using Scaled Diffraction" Applied Sciences 10, no. 3: 1132. https://doi.org/10.3390/app10031132
APA StyleShimobaba, T., Makowski, M., Takahashi, T., Yamamoto, Y., Hoshi, I., Nishitsuji, T., Hoshikawa, N., Kakue, T., & Ito, T. (2020). Reducing Computational Complexity and Memory Usage of Iterative Hologram Optimization Using Scaled Diffraction. Applied Sciences, 10(3), 1132. https://doi.org/10.3390/app10031132

