Scaling Turbulent Combustion Fields in Explosions
Abstract
Featured Application
Abstract
1. Introduction
Relevance of This Work
2. Gas Dynamics of Explosions
3. Scaling Laws
4. Results
4.1. Fireball Cross-Sections
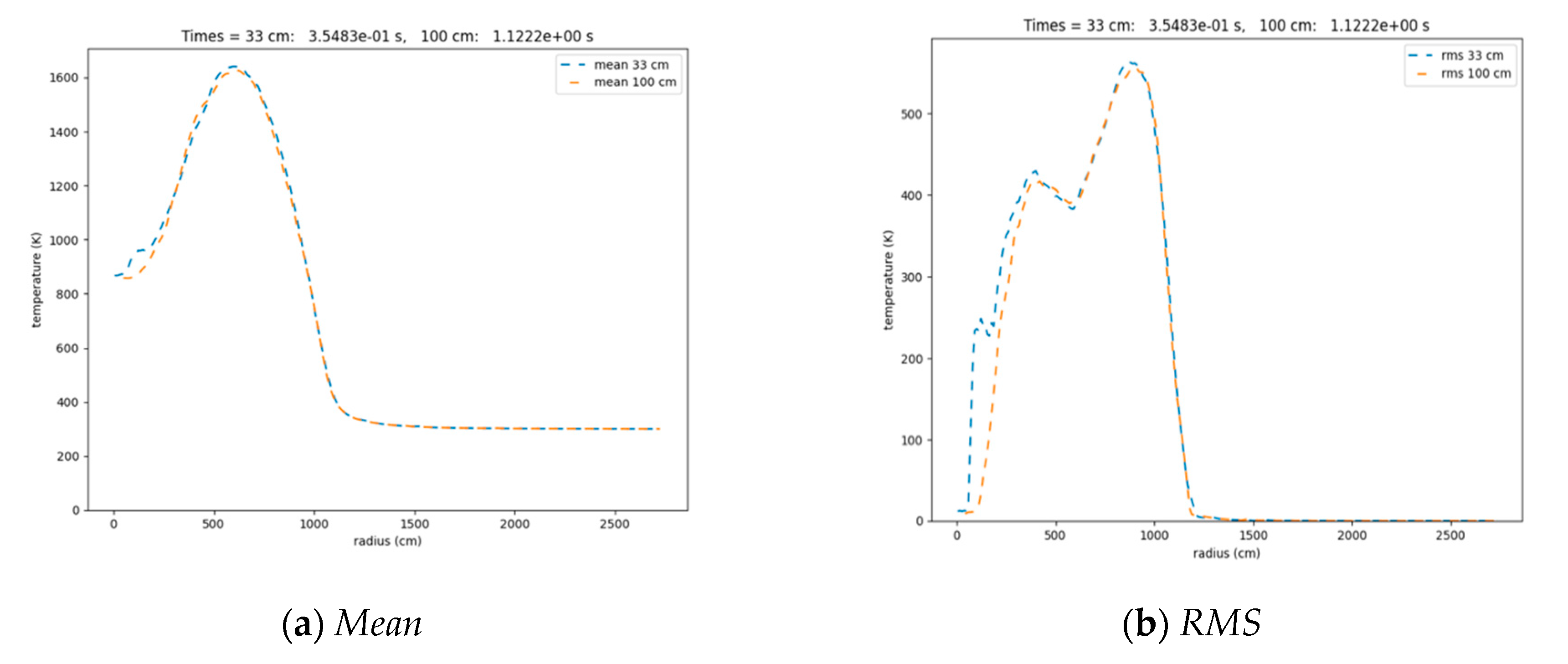
4.2. Mean and RMS Profiles
4.3. Summary
5. Three-Phase Pyrotechnic Explosions
5.1. Gas Phase
5.2. Particle Phase
5.3. Wake Phase
5.4. Scaling of Pyrotechnic Explosions
- •
- A full-scale charge (the dynamics of this pyrotechnic charge system was published in the 16th Detonation Symposium [21]) where with a mass of 7175 kg;
- •
- 1/3 scale charge where with a mass of 265.7 kg.
5.5. Gas Phase Results
5.6. DLP Phase Velocity Results
5.7. Mist Phase Results
5.8. Summary
- •
- Turbulent combustion in the gas phase fireball does scale with ;
- •
- The DLP flow field does not scale with ;
5.9. Conclusions
6. Discussion
6.1. Initial HE Density Perturbations
6.2. Grid Refinement
7. Conclusions
Author Contributions
Funding
Conflicts of Interest
Nomenclature
| Symbol | Definition |
| gas density | |
| gas velocity vector | |
| gas pressure | |
| gas total energy: | |
| gas internal energy | |
| mass fraction detonation products DP | |
| mass fraction of air | |
| mass fraction of fuel (detonation products) | |
| mass fraction of oxidizer (air) | |
| mass fraction of combustion products | |
| combustion rate | |
| stoichiometric air/fuel ratio | |
| vorticity vector | |
| baroclinic vorticity production: | |
| nondimensional radius: | |
| nondimensional time: | |
| explosion length scale: | |
| explosion time scale: | |
| mass of the high explosives charge | |
| heat of detonation | |
| geometry index j = 0, 1 or 2 for planar, cylindrical, or spherically symmetric flow | |
| R | nondimensional density function: |
| nondimensional velocity function: | |
| nondimensional internal energy function: | |
| nondimensional pressure function: | |
| nondimensional temperature function: | |
| nondimensional dilatational velocity: | |
| nondimensional rotational velocity: | |
| nondimensional Cartesian coordinates: , , | |
| fireball radius | |
| high explosives charge radius | |
| liquid ball radius | |
| high explosives charge mass | |
| number of i droplets: | |
| number of droplets i per unit volume: | |
| droplet i equilibration length | |
| mean | azimuthally averaged mean value |
| RMS | azimuthally averaged root mean squared value |
| dilatational velocity | |
| rotational velocity | |
| drag force | |
| heat transfer | |
| number of particles per unit volume | |
| position of particle i | |
| velocity of particle i | |
| mass of particle i | |
| surface recession rate of particle i | |
| specific internal energy of particle i | |
| diameter of particle i | |
| drag coefficient | |
| Nusselt coefficient | |
| Reynolds number | |
| Prandtl number | |
| thermal conductivity | |
| density of the wake phase | |
| velocity of the wake phase | |
| energy of the wake phase | |
| number of wake particles per unit volume: | |
| mass of the wake phase in cell: | |
| mass of air in cell | |
| mass of fuel in cell | |
| Subscripts | |
| 0 | characteristic scale |
| a | ambient conditions |
| FB | fireball |
| c | charge |
| i | particle i |
| D | drag |
| w | wake |
| B | ball |
| r | radial velocity |
| theta velocity | |
| phi velocity | |
| Chapman–Jouguet state | |
Appendix A. Azimuthal Averaging
| 1 | 2000 |
| 5 | 0.5 × 105 |
| 10 | 2 × 105 |
| 15 | 4.6 × 105 |
| 20 | 8 × 105 |
Appendix B. Helmholtz Velocity Decomposition
Appendix C. Nusselt Number Correlation for Turbulent Flow

References
- Bridgman, P.W. Dimensional Analysis; Yale University Press: New Haven, CT, USA, 1922; p. 40. [Google Scholar]
- Buckingham, E. On physically similar systems; illustrations of the use of dimensional equations. Phys. Rev. 1914, 4, 345. [Google Scholar] [CrossRef]
- Sedov, L.I. Similarity and Dimensional Methods in Mechanics; Academic Press: New York, NY, USA, 1959. [Google Scholar]
- Taylor, G.I. The formation of a blast wave by a very intense explosion. Br. Rep. RC-210 1941, 201, 175–186, later published in Proc. R. Soc. A 1950, 201, 175–186. [Google Scholar]
- Sedov, L.I. Propagation of strong blast waves. Prikl. Mat. Mech. 1946, 10, 241–250. [Google Scholar]
- Oppenheim, A.K.; Kuhl, A.L.; Lundstrom, E.A.; Kamel, M.M. A parametric study of self-similar blast waves. J. Fluid Mech. 1972, 52, 657–682. [Google Scholar] [CrossRef]
- Oppenheim, A.K.; Kuhl, A.L.; Kamel, M.M. On self-similar blast waves headed by the Chapman-Jouguet detonation. J. Fluid Mech. 1972, 55, 257–270. [Google Scholar] [CrossRef]
- Barenblatt, G.I.; Guirguis, R.H.; Kamel, M.M.; Kuhl, A.L.; Oppenheim, A.K.; Zel’dovich, Y.B. Self-similar explosion waves of variable energy at the front. J. Fluid Mech. 1980, 99, 841–858. [Google Scholar] [CrossRef]
- Barenblatt, G.I. Scaling, Self-Similarity, and Intermediate Asymptotics; Cambridge University Press: Cambridge, UK, 1996; p. 190. [Google Scholar]
- Glumac, N.; Kuhl, A.L. Optical emissions from spherical charges. In Proceedings of the 21st Biennial Conference APS Topical Group on Shock Compression of Condensed Matter (SHOCK19), Portland, OR, USA, 16–21 June 2019. [Google Scholar]
- Fried, L.E. CHEETAH 1.22 User’s Manual, UCRL-MA-117541; Lawrence Livermore National Laboratory: Livermore, CA, USA, 1995. [Google Scholar]
- Bastea, S.; Fried, L.E. Chemical Equilibrium Detonation. In Shock Wave Science and Technology Reference Library; Zhang, F., Ed.; Springer: Berlin/Heidelberg, Germany, 2012; Volume 6, p. 1. [Google Scholar]
- Boris, J.P. On large eddy simulation using sub-grid turbulence models-Comment 1, Wither turbulence? In Turbulence at the Crossroads; Lecture Notes in Physics; Lumley, J.L., Ed.; Springer: Berlin/Heidelberg, Germany, 1989; Volume 257, pp. 344–353. [Google Scholar]
- Kuhl, A.L. On the structure of self-similar detonation waves in TNT charges. Combust. Explos. Shock. Waves 2015, 51, 72–79. [Google Scholar] [CrossRef]
- Stanyukovich, K.P. Unsteady Motion of Continuous Media; Pergamon Press: London, UK, 1960; 749p, (see especially § 63. Expansion of Gaseous Sphere in a Vacuum, pp. 498–501 & Equation 63:13). [Google Scholar]
- Colella, P.; Woodward, P. The Piecewise Parabolic Method (PPM) for gas-dynamical simulations. J. Comp. Phys. 1984, 54, 174–201. [Google Scholar] [CrossRef]
- Miller, G.H.; Colella, P. A Conservative Three-Dimensional Eulerian Method for Coupled Solid-Fluid Shock Capturing. J. Comp. Phys. 2002, 183, 26–82. [Google Scholar] [CrossRef]
- Berger, M.J.; Colella, P. Local adaptive mesh refinement for shock hydrodynamics. J. Comp. Phys. 1989, 82, 64–84. [Google Scholar] [CrossRef]
- Bell, J.B.; Berger, M.; Saltzman, A.; Welcome, M. Three-dimensional Adaptive Mesh Refinement (AMR) for hyperbolic conservation laws. SIAM J. Sci. Stat. Comput. 1994, 15, 127–138. [Google Scholar] [CrossRef]
- Brode, H.L. Blast wave from a spherical charge. Phys. Fluids 1959, 2, 217–229. [Google Scholar] [CrossRef]
- Kuhl, A.L.; Grote, D.; Almgren, A.; Bell, J.B. Hydrodynamics of pyrotechnic explosions. In Sixteenth International Detonation Symposium; 22217-5660, ORNL-43-5762-19; Office of Naval Research: Arlington, VA, USA, 2018; pp. 1203–1212. [Google Scholar]
- Kuhl, A.K.; Grote, D. Modeling Expansion of Particle Clouds. LLNL-TR-718339. 2017. Available online: http://www.icders.org/ICDERS2017/abstracts/ICDERS2017-0986.pdf (accessed on 26 November 2020).
- Ingignoli, W. Étude de la Formation et de la Propagation des Détonations dans des Suspensions de particules D’aluminium en Atmosphère Oxydante ou Réactive. Ph.D Thesis, d’Université de Poitiers, Poitiers, France, 1999; 495p. [Google Scholar]
- Khasainov, B.; Kuhl, A.L.; Victorov, S.; Neuwald, P. Model of non-premixed combustion of Al–air mixtures. AIP Conf. Proc. 2005, 845, 449–452. [Google Scholar]
- Kuhl, A.L.; Bell, J.B.; Beckner, V.E. Heterogeneous continuum model of Aluminum particle combustion in explosions. Combust. Explos. Shock. Waves 2010, 46, 433–448. [Google Scholar] [CrossRef]
- Gunn, D.J. Transfer of heat or mass to particles in fixed and fluidized beds. Int. J. Heat Mass Transf. 1978, 21, 467–476, {see Equation (4.1) for e = 1: }. [Google Scholar] [CrossRef]
- Nigmatulin, R.I. Dynamics of Multi-Phase Flows; Nauka: Moscow, Russia, 1987; Volume 1. [Google Scholar]
- Collins, J.P.; Ferguson, R.E.; Chien, K.-Y.; Kuhl, A.L.; Krispin, J.; Glaz, H. Simulation of shock-induced dusty gas flows using various models. In Proceedings of the AIAA Fluid Dynamics Conference 94-2309, Colorado Springs, CO, USA, 20–23 June 1994. [Google Scholar]
- Tolman, R. The effect of droplet size on surface tension. J. Chem. Phys. 1949, 17, 333–337. [Google Scholar] [CrossRef]
- Batchelor, G.K. An Introduction to Fluid Dynamics; Cambridge University Press: Cambridge, UK, 1967; pp. 84–87. [Google Scholar]
- Morino, I. Helmholtz decomposition revisited: Vorticity generation and trailing edge condition. Comput. Mech. 1986, 1, 65–90, {vid. esp. Equation (2.12)}. [Google Scholar] [CrossRef]
- Hodge, W.V.D. The Theory and Applications of Harmonic Integrals; Cambridge Press: Cambridge, UK, 1941. [Google Scholar]


































| Variable | Scaling | Scale = 1 | Scale = 1/3 |
|---|---|---|---|
| ———Initial Conditions——— | |||
| HE charge radius | 100 cm | 100/3 cm | |
| HE charge mass (Comp B) | kg | kg | |
| Liquid ball radius; diameter | 10 cm; 20 cm | 10/3; 20/3 cm | |
| Droplet diameter | 3 mm | 3 mm | |
| Number of droplets | |||
| Droplets per unit volume | 37/cc | 37/cc | |
| Droplet equilibration length, | 30 m | m | |
| Droplet wake diameter, | |||
| Wake equilibration length, | |||
| ——— Drag & Heat Transfer Effects ——— | |||
| Droplet Reynolds number * | |||
| Droplet drag coefficient | 0.481 | 0.481 | |
| Droplet Nusselt number [23] | 40 | 40 | |
| Wake Reynolds number | |||
| Wake drag coefficient | 0.48 | 0.48 | |
| Wake Nusselt number [23] | 40 | 40 | |
| Variable | Scaled |
|---|---|
| HE charge radius, | |
| Ball radius, | |
| Droplet diameter, * | |
| Wake mist diameter, | |
| Number droplets, | |
| Droplets per unit volume, | |
| Droplet Reynolds number, | |
| Wake Reynolds number, |
| Variable | mean | RMS |
|---|---|---|
| OK * | OK | |
| OK | OK | |
| OK | -- | |
| ~ OK ) | ~ OK ( | |
| OK | OK | |
| OK | OK | |
| OK | ~ OK ( | |
| OK | ~ OK ( |
Publisher’s Note: MDPI stays neutral with regard to jurisdictional claims in published maps and institutional affiliations. |
© 2020 by the authors. Licensee MDPI, Basel, Switzerland. This article is an open access article distributed under the terms and conditions of the Creative Commons Attribution (CC BY) license (http://creativecommons.org/licenses/by/4.0/).
Share and Cite
Kuhl, A.; Grote, D.; Bell, J. Scaling Turbulent Combustion Fields in Explosions. Appl. Sci. 2020, 10, 8577. https://doi.org/10.3390/app10238577
Kuhl A, Grote D, Bell J. Scaling Turbulent Combustion Fields in Explosions. Applied Sciences. 2020; 10(23):8577. https://doi.org/10.3390/app10238577
Chicago/Turabian StyleKuhl, Allen, David Grote, and John Bell. 2020. "Scaling Turbulent Combustion Fields in Explosions" Applied Sciences 10, no. 23: 8577. https://doi.org/10.3390/app10238577
APA StyleKuhl, A., Grote, D., & Bell, J. (2020). Scaling Turbulent Combustion Fields in Explosions. Applied Sciences, 10(23), 8577. https://doi.org/10.3390/app10238577
