Correlations Between Phenolic Composition and Perceived Astringency of Wines
Abstract
1. Introduction
2. Materials and Methods
2.1. Reagents
2.2. Wine Sample Preparation
2.3. Color Characterization
2.4. Total Phenolic Content
2.5. Polymeric Tannin Content
2.6. Proanthocyanidin Content
2.7. Total Anthocyanin Content
2.8. Interaction of Phenolic Compounds with Salivary Protein
2.9. Sensory Evaluation
2.10. Statistical Analysis
3. Results and Discussion
3.1. Color Characteristics
3.2. Phenolic Composition
3.3. Correlations between Astringent Attributes and Perceived Astringency
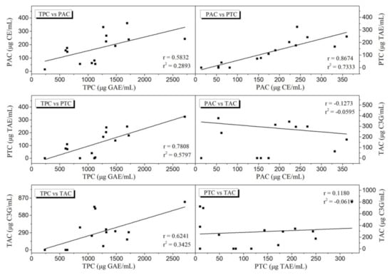
3.4. Correlations between Astringent Attributes
3.5. Correlations between Phenolic/Salivary Protein Interaction and Astringent Attributes
4. Conclusions
Author Contributions
Funding
Conflicts of Interest
References
- Landon, J.; Weller, K.; Harbertson, J.; Ross, C. Chemical and sensory evaluation of astringency in Washington state red wines. Am. J. Enol. Viticult. 2008, 59, 153–158. [Google Scholar]
- Bautista, A.B.O.; Busse, N.V.; Fernandez, J.I.F.; Gomez, E.P.; Gil, R.M. The extraction kinetics of anthocyanins and proanthocyanidins from grape to wine in three different varieties. J. Int. Sci. Vigne Vin 2016, 50, 91–100. [Google Scholar] [CrossRef]
- Bahena-Garrido, S.M.; Ohama, T.; Suehiro, Y.; Hata, Y.; Isogai, A.; Iwashita, K.; Goto-Yamamoto, N.; Koyama, K. The potential aroma and flavor compounds inVitissp. cv. Koshu andV. viniferaL. cv. Chardonnay under different environmental conditions. J. Sci. Food Agric. 2019, 99, 1926–1937. [Google Scholar] [CrossRef] [PubMed]
- Garrido, J.; Borges, F. Wine and grape polyphenols—A chemical perspective. Food Res. Int. 2013, 54, 1844–1858. [Google Scholar] [CrossRef]
- Liaudanskas, M.; Viškelis, P.; Jakštas, V.; Raudonis, R.; Kviklys, D.; Milašius, A.; Janulis, V. Application of an Optimized HPLC Method for the Detection of Various Phenolic Compounds in Apples from Lithuanian Cultivars. J. Chem. 2014, 2014, 1–10. [Google Scholar] [CrossRef]
- Gamella, M.; Campuzano, S.; Reviejo, A.; Pingarrón, J.M.; Campuzano, S. Electrochemical Estimation of the Polyphenol Index in Wines Using a Laccase Biosensor. J. Agric. Food Chem. 2006, 54, 7960–7967. [Google Scholar] [CrossRef]
- Hossain, M.A.; Shah, M.D. A study on the total phenols content and antioxidant activity of essential oil and different solvent extracts of endemic plant Merremia borneensis. Arab. J. Chem. 2015, 8, 66–71. [Google Scholar] [CrossRef]
- Blainski, A.; Lopes, G.C.; De Mello, J.C.P. Application and Analysis of the Folin Ciocalteu Method for the Determination of the Total Phenolic Content from Limonium Brasiliense L. Molecules 2013, 18, 6852–6865. [Google Scholar] [CrossRef]
- Deluc, L.; Bogs, J.; Walker, A.R.; Ferrier, T.; Decendit, A.; Merillon, J.-M.; Robinson, S.P.; Barrieu, F. The Transcription Factor VvMYB5b Contributes to the Regulation of Anthocyanin and Proanthocyanidin Biosynthesis in Developing Grape Berries. Plant Physiol. 2008, 147, 2041–2053. [Google Scholar] [CrossRef]
- Butler, L.G.; Price, M.L.; Brotherton, J.E. Vanillin assay for proanthocyanidins (condensed tannins): Modification of the solvent for estimation of the degree of polymerization. J. Agric. Food Chem. 1982, 30, 1087–1089. [Google Scholar] [CrossRef]
- Cáceres-Mella, A.; Peña-Neira, Á.; Narváez-Bastias, J.; Jara-Campos, C.; López-Solís, R.; Canals, J.M. Comparison of analytical methods for measuring proanthocyanidins in wines and their relationship with perceived astringency. Int. J. Food Sci. Technol. 2013, 48, 2588–2594. [Google Scholar] [CrossRef]
- Kim, H.I.; Hur, Y.Y.; Jung, S.M.; Im, D.J.; Chung, K.H.; Kim, S.J. Comparison of volatile compounds in juices and wines of white grape cultivars Cheongsoo, Chardonnay, and Riesling. Korean J. Food Preserv. 2018, 25, 165–172. [Google Scholar] [CrossRef]
- Babincev, L.M.; Gurešić, D.M.; Simonović, R.M. Spectrophotometric characterization of red wine color from the vineyard region of Metohia. J. Agric. Sci. 2016, 61, 281–290. [Google Scholar] [CrossRef]
- Harbertson, J.F.; Mireles, M.; Yu, Y. Improvement of BSA Tannin Precipitation Assay by Reformulation of Resuspension Buffer. Am. J. Enol. Vitic. 2014, 66, 95–99. [Google Scholar] [CrossRef]
- Panico, A.M.; Garufi, F.; Nitto, S.; Di Mauro, R.; Longhitano, R.; Magrì, G.; Catalfo, A.; Serrentino, M.; De Guidi, G. Antioxidant activity and phenolic content of strawberry genotypes from Fragariaxananassa. Pharm. Biol. 2009, 47, 203–208. [Google Scholar] [CrossRef]
- Soares, S.; Sousa, A.; Mateus, N.; De Freitas, V. Effect of Condensed Tannins Addition on the Astringency of Red Wines. Chem. Senses 2011, 37, 191–198. [Google Scholar] [CrossRef]
- Sheridan, M.K.; Elias, R.J. Exogenous acetaldehyde as a tool for modulating wine color and astringency during fermentation. Food Chem. 2015, 177, 17–22. [Google Scholar] [CrossRef]
- De Freitas, V.; Fernandes, A.; Oliveira, J.; Teixeira, N.; Mateus, N. A review of the current knowledge of red wine colour. OENO One 2017, 51, 1–15. [Google Scholar] [CrossRef]
- Márquez, A.; Serratosa, M.P.; Merida, J. Pyranoanthocyanin Derived Pigments in Wine: Structure and Formation during Winemaking. J. Chem. 2013, 2013, 1–15. [Google Scholar] [CrossRef]
- Cosme, F.; Vilela, A.; Jordão, A.M.; Desk, S. Wine phenolics: Looking for a smooth mouthfeel. SDRP J. Food Sci. Technol. 2017, 1, 20–28. [Google Scholar] [CrossRef]
- Martí, N.; Lizama, V.; Verdú, J.; Muñoz, N.; Aleixandre, J.; Saura, D. Prediction of Phenolic Composition of Monastrell and Tempranillo Wines: Correlation between Phenolic Content and Traditional Variables of Fruit Maturity. Int. J. Food Prop. 2014, 18, 465–479. [Google Scholar] [CrossRef]
- Harbertson, J.F.; Kilmister, R.L.; Kelm, M.A.; Downey, M.O. Impact of condensed tannin size as individual and mixed polymers on bovine serum albumin precipitation. Food Chem. 2014, 160, 16–21. [Google Scholar] [CrossRef] [PubMed]
- De Lima, M.T.R.; Kelly, M.T.; Cabanis, M.-T.; Blaise, A. Levels of phenolic acids, catechin and epicatechin in wines of Portugal and the Azores prodece from different varieties and vintages. OENO One 2006, 40, 47. [Google Scholar] [CrossRef]
- McRae, J.M.; Kennedy, J.A. Wine and Grape Tannin Interactions with Salivary Proteins and Their Impact on Astringency: A Review of Current Research. Molecules 2011, 16, 2348–2364. [Google Scholar] [CrossRef] [PubMed]
- Lesschaeve, I.; Noble, A.C. Polyphenols: Factors influencing their sensory properties and their effects on food and beverage preferences. Am. J. Clin. Nutr. 2005, 81, 330–335. [Google Scholar] [CrossRef] [PubMed]
- Gonzalo-Diago, A.; Dizy, M.; Fernández-Zurbano, P. Taste and Mouthfeel Properties of Red Wines Proanthocyanidins and Their Relation to the Chemical Composition. J. Agric. Food Chem. 2013, 61, 8861–8870. [Google Scholar] [CrossRef] [PubMed]
- Cheynier, V.; Duenas, M.P.; Salas, E.; Maury, C.; Souquet, J.M.; Sarni Manchado, P.; Fulcrand, H. Structure and properties of wine pigments and tannins. Am. J. Enol. Viticult. 2006, 57, 298–305. [Google Scholar]
- Sánchez-Moreno, C.; Cao, G.; Ou, A.B.; Prior, R.L. Anthocyanin and Proanthocyanidin Content in Selected White and Red Wines. Oxygen Radical Absorbance Capacity Comparison with Nontraditional Wines Obtained from Highbush Blueberry. J. Agric. Food Chem. 2003, 51, 4889–4896. [Google Scholar] [CrossRef]
- Li, H.; Waffo-Teguo, P.; Jourdes, M.; Li, H.; Teissedre, P.-L. Chemical Affinity between Tannin Size and Salivary Protein Binding Abilities: Implications for Wine Astringency. PLoS ONE 2016, 11, e0161095. [Google Scholar] [CrossRef]
- Peleg, H.; Gacon, K.; Schlich, P.; Noble, A. Bitterness and astringency of flavan-3-ol monomers, dimers and trimers. J. Sci. Food Agric. 1999, 79, 1123–1128. [Google Scholar] [CrossRef]
- Paissoni, M.A.; Waffo-Teguo, P.; Li, H.; Jourdes, M.; Rolle, L.; Teissedre, P.-L. Chemical and sensorial investigation of in-mouth sensory properties of grape anthocyanins. Sci. Rep. 2018, 8, 17098. [Google Scholar] [CrossRef] [PubMed]




| Class | Breeding Lines | Parentage (Ovary × Pollen) |
|---|---|---|
| Red | T-04-04-24 | Alden × Cheongsoo |
| T-07-66-23 | Wonkyo Ra-05 × Chancellor | |
| T-07-66-84 | Muller Thurgau × Cheongsoo | |
| T-07-66-106 | Wonkyo Ra-05 × Chancellor | |
| T-12-02-06 | Bailey Alicante A × Wase Neo Muscat | |
| T-12-02-08 | Bailey Alicante A × Wase Neo Muscat | |
| W-01-12-157 | Schulyer × Black Sanjaku | |
| W-07-02-13 | Black Pegaru × Baco 1 | |
| W-10-01-65 | Zweigeltrebe × Muscat Bailey A | |
| W-10-05-018 | Cabernet Sauvignon × Muscat Bailey A | |
| W-11-01-33 | Bailey Alicante A × Merlot | |
| White | W-10-21-174 | Wonkyo Ra-05 × Chancellor |
| W-12-06-05 | Chasselas Rouge × Cheongsoo | |
| W-12-06-07 | Chasselas Rouge × Cheongsoo | |
| W-12-06-16 | Chasselas Rouge × Cheongsoo |
| Class | Breeding Lines | Color Intensity (I) | Hue (T) | % Color Compounds | ||
|---|---|---|---|---|---|---|
| Yellow | Red | Blue | ||||
| Red | T-04-04-24 | 2.37 | 0.58 | 33 | 58 | 9 |
| T-07-66-23 | 1.10 | 0.83 | 41 | 50 | 9 | |
| T-07-66-84 | 1.53 | 1.1 | 48 | 44 | 9 | |
| T-07-66-106 | 5.10 | 0.41 | 26 | 65 | 9 | |
| T-12-02-06 | 5.14 | 0.51 | 30 | 59 | 11 | |
| T-12-02-08 | 5.50 | 0.43 | 28 | 64 | 8 | |
| W-01-12-157 | 1.24 | 0.7 | 37 | 54 | 9 | |
| W-07-02-13 | 4.04 | 0.55 | 33 | 60 | 8 | |
| W-10-01-65 | 5.95 | 0.45 | 28 | 62 | 10 | |
| W-10-05-018 | 1.40 | 0.82 | 41 | 49 | 10 | |
| W-11-01-33 | 11.99 | 0.54 | 30 | 56 | 14 | |
| White | W-10-21-174 | 0.07 | 3.72 | 72 | 19 | 9 |
| W-12-06-05 | 0.24 | 2.28 | 65 | 29 | 6 | |
| W-12-06-07 | 0.11 | 2.39 | 65 | 28 | 7 | |
| W-12-06-16 | 0.12 | 2.18 | 64 | 29 | 7 | |
| Class | Breeding Lines | Phenolic Compounds (μg/mL) | Turbidity (×103 NTU 5) | |||
|---|---|---|---|---|---|---|
| TPC 1 | PAC 2 | PTC 3 | TAC 4 | |||
| Red | T-04-04-24 | 1324 ± 9 d | 266.7 ± 19.9 c | 241.2 ± 33.1 b | 296.6 ± 12.3 e | 28.5 ± 1 bc |
| T-07-66-23 | 858 ± 19 f | 54.7 ± 9 h | N/D | 376.4 ± 12.5 c | 14.2 ± 3.1 de | |
| T-07-66-84 | 1067 ± 30 e | 62.2 ± 13.1 h | 40.4 ± 1.7 h | 236.8 ± 9.2 f | 12.8 ± 2.6 de | |
| T-07-66-106 | 1114 ± 24 e | 81.6 ± 18.8 h | N/D | 722.4 ± 52.8 b | 19.4 ± 2.9 cd | |
| T-12-02-06 | 1720 ± 42 b | 239.2 ± 26.3 d | 177.1 ± 26.5 cd | 295 ± 14.8 e | 25.4 ± 3.4 bc | |
| T-12-02-08 | 1484 ± 42 c | 190.2 ± 28.7 e | 137.7 ± 15.7 ef | 314.2 ± 12.8 de | 28 ± 7.1 bc | |
| W-01-12-157 | 1693 ± 102 b | 360.1 ± 34.9 a | 247.1 ± 46.1 b | 174.6 ± 2.9 g | 33.3 ± 11.9 ab | |
| W-07-02-13 | 1129 ± 28 e | 55.1 ± 8 h | 7 ± 0.6 i | 695 ± 9 b | 25.4 ± 4.7 bc | |
| W-10-01-65 | 1320 ± 30 d | 223.3 ± 26.8 d | 203.3 ± 25.8 c | 343.7 ± 19 cd | 31.5 ± 4 b | |
| W-10-05-018 | 1270 ± 12 d | 331.4 ± 28 b | 167.2 ± 8.1 de | 63.5 ± 5.9 h | 10.8 ± 1.5 de | |
| W-11-01-33 | 2714 ± 95 a | 242.3 ± 29.6 cd | 324.3 ± 6.4 a | 804.9 ± 56.2 a | 41 ± 9.7 a | |
| White | W-10-21-174 | 238 ± 4 h | 13.9 ± 2.7 i | N/D | N/D | 5.7 ± 1 e |
| W-12-06-05 | 635 ± 7 g | 146.9 ± 23.8 g | 71.2 ± 2.3 g | N/D | 7.5 ± 1.4 e | |
| W-12-06-07 | 631 ± 7 g | 174.2 ± 15.7 ef | 109.5 ± 7.7 f | N/D | 13.3 ± 3.4 de | |
| W-12-06-16 | 604 ± 11 g | 155.9 ± 20.8 fg | 76.3 ± 7.5 g | N/D | 11.3 ± 2.5 de | |
Publisher’s Note: MDPI stays neutral with regard to jurisdictional claims in published maps and institutional affiliations. |
© 2020 by the authors. Licensee MDPI, Basel, Switzerland. This article is an open access article distributed under the terms and conditions of the Creative Commons Attribution (CC BY) license (http://creativecommons.org/licenses/by/4.0/).
Share and Cite
Choi, K.-O.; Lee, D.H.; Park, S.J.; Im, D.; Hur, Y.Y. Correlations Between Phenolic Composition and Perceived Astringency of Wines. Appl. Sci. 2020, 10, 8020. https://doi.org/10.3390/app10228020
Choi K-O, Lee DH, Park SJ, Im D, Hur YY. Correlations Between Phenolic Composition and Perceived Astringency of Wines. Applied Sciences. 2020; 10(22):8020. https://doi.org/10.3390/app10228020
Chicago/Turabian StyleChoi, Kyeong-Ok, Dong Hoon Lee, Seo Jun Park, Dongjun Im, and Youn Young Hur. 2020. "Correlations Between Phenolic Composition and Perceived Astringency of Wines" Applied Sciences 10, no. 22: 8020. https://doi.org/10.3390/app10228020
APA StyleChoi, K.-O., Lee, D. H., Park, S. J., Im, D., & Hur, Y. Y. (2020). Correlations Between Phenolic Composition and Perceived Astringency of Wines. Applied Sciences, 10(22), 8020. https://doi.org/10.3390/app10228020
