Conversion between Logic and Algebraic Expressions of Boolean Control Networks
Abstract
1. Introduction
2. Preliminaries
3. Conversion of Expressions of Boolean Functions
3.1. From Logic Expression to Algebraic Expression
3.2. From Algebraic Expression to Logic Expression
4. Conversion of Expressions of Boolean Control Networks
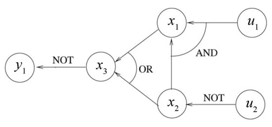
4.1. From Logic Expression to Algebraic Expression
| Algorithm 1 Algorithm for converting the logic expression to the algebraic expression of BCN (6). |
| Input: Logic expression of (resp. ). |
| Output: Transition matrix L (resp. H). |
| Setp 1. For , construct the truth table of for each , which is denoted by
|
| Setp 2. Compute by Formula (11). |
| Setp 3. The control-depending network transition matrix is given in (12). |
| Setp 4. For , construct the truth table of for each , which is denoted by
|
| Setp 5. Compute by Formula (13). |
| Setp 6. The transition matrix from to is given in (14). |
| Algorithm 2 Algorithm for converting the algebraic expression back to the logic expression of BCN (7). |
| Input: Transition matrix L (resp. H). |
Output: Logic expression of (resp. ).
|
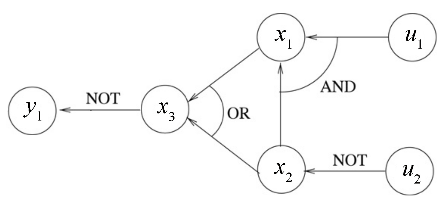
4.2. From Algebraic Expression to Logic Expression
- Step 1.
- Step 2.
- Through the decimal-binary conversion, one can calculate for each and , which is presented in Table 1.
- Step 3.
- LetThen, the logic expression of is
- Step 4.
- Step 5.
- Through the decimal-binary conversion, one can calculate for each , which is presented in Table 2.
- Step 6.
- LetThen, the logic expression of is
5. Conclusions
Author Contributions
Funding
Conflicts of Interest
Abbreviations
| BN | Boolean network |
| BCN | Boolean control network |
| STP | semi-tensor product |
References
- Kauffman, S.A. Metabolic stability and epigenesis in randomly constructed genetic nets. J. Theor. Biol. 1969, 22, 437–467. [Google Scholar] [CrossRef]
- Jamshidi, V. A VLSI majority-logic device based on spin transfer torque mechanism for brain-inspired computing architecture. IEEE Trans. Very Large Scale Integr. (VLSI) Syst. 2020, 28, 1858–1866. [Google Scholar] [CrossRef]
- Wang, C.; Tao, Y. Karnaugh maps of logical systems and applications in digital circuit design. Circuits Syst. Signal Process. 2020, 39, 2245–2271. [Google Scholar] [CrossRef]
- Bandyopadhyay, C.; Das, R.; Chattopadhyay, A.; Rahaman, H. Design and synthesis of improved reversible circuits using AIG- and MIG-based graph data structures. IET Comput. Digit. Tech. 2019, 13, 38–48. [Google Scholar] [CrossRef]
- Rushdi, A.M.; Ahmad, W. Digital circuit design utilizing equation solving over ‘big’ Boolean algebras. Int. J. Math. Eng. Manag. Sci. 2018, 3, 404–428. [Google Scholar] [CrossRef]
- Roth, C.H.; Kinney, L.L. Fundamentals of Logic Design; CENGAGE Learning: Stamford, USA, 2010. [Google Scholar]
- Schneeweiss, W.G. Boolean Functions with Engineering Applications and Computer Programs; Springer-Verlag: London, UK, 1989. [Google Scholar]
- Steinbach, B.; Posthoff, C. Boolean differential calculus. Synth. Lect. Digital Circuits Syst. 2017, 12, 1–217. [Google Scholar] [CrossRef]
- Zaitseva, E.N.; Levashenko, V.G. Importance analysis by logical differential calculus. Autom. Remote Control 2013, 74, 171–182. [Google Scholar] [CrossRef]
- Schneeweiss, W.G. A short Boolean derivation of mean failure frequency for any (also non-coherent) system. Reliab. Eng. Syst. Saf. 2009, 94, 1363–1367. [Google Scholar] [CrossRef]
- Cheng, D.; Qi, H. A linear representation of dynamics of Boolean networks. IEEE Trans. Autom. Control 2010, 55, 2251–2258. [Google Scholar] [CrossRef]
- Rushdi, A.M.; Ghaleb, F. A tutorial exposition of semi-tensor products of matrices with a stress on their representation of Boolean functions. J. King Abdulaziz Univ. 2016, 5, 3–41. [Google Scholar] [CrossRef]
- Fornasini, E.; Valcher, M.E. Observability, reconstructibility and state observers of Boolean control networks. IEEE Trans. Autom. Control 2013, 58, 1390–1401. [Google Scholar] [CrossRef]
- Laschov, D.; Margaliot, M.; Even, G. Observability of Boolean networks: A graph-theoretic approach. Automatica 2013, 49, 2351–2362. [Google Scholar] [CrossRef]
- Laschov, D.; Margaliot, M. Controllability of Boolean control networks via the Perron-Frobenius theory. Automatica 2012, 48, 1218–1223. [Google Scholar] [CrossRef]
- Cheng, D.; Qi, H. Controllability and observability of Boolean control networks. Automatica 2009, 45, 1659–1667. [Google Scholar] [CrossRef]
- Guo, Y.; Shen, Y.; Gui, W. Asymptotical stability of logic dynamical systems with random impulsive disturbances. IEEE Trans. Autom. 2020. [Google Scholar] [CrossRef]
- Yerudkar, A.; Del Vecchio, C.; Glielmo, L. Feedback stabilization control design for switched Boolean control networks. Automatica 2020, 116, 108934. [Google Scholar] [CrossRef]
- Kobayashi, K.; Hiraishi, K. Design of probabilistic Boolean networks based on network structure and steady- state probabilities. IEEE Trans. Neural Netw. Learn. Syst. 2017, 28, 1966–1971. [Google Scholar] [CrossRef]
- Kadelka, C.; Kuipers, J.; Laubenbacher, R. The influence of canalization on the robustness of Boolean networks. Phys. D: Nonlinear Phenom. 2017, 353–354, 39–47. [Google Scholar] [CrossRef]
- Bof, N.; Fornasini, E.; Valcher, M.E. Output feedback stabilization of Boolean control networks. Automatica 2015, 57, 21–28. [Google Scholar] [CrossRef]
- Fornasini, E.; Valcher, M.E. On the periodic trajectories of Boolean control networks. Automatica 2013, 49, 1506–1509. [Google Scholar] [CrossRef]
- Fornasini, E.; Valcher, M.E. Optimal control of Boolean control networks. IEEE Trans. Autom. Control 2014, 59, 1258–1270. [Google Scholar] [CrossRef]
- Laschov, D.; Margaliot, M. Minimum-time control of Boolean networks. SIAM J. Control Optim. 2013, 51, 2869–2892. [Google Scholar] [CrossRef]
- Melkman, A.A.; Cheng, X.; Ching, W.; Akutsu, T. Identifying a probabilistic Boolean threshold network from samples. IEEE Trans. Neural Netw. Learn. Syst. 2018, 29, 869–881. [Google Scholar] [CrossRef]
- Sarda, K.; Yerudkar, A.; Del Vecchio, C. Disturbance decoupling control design for Boolean control networks: A Boolean algebra approach. IET Control. Theory Appl. 2020. [Google Scholar] [CrossRef]
- Sarda, K.; Yerudkar, A.; Del Vecchio, C.; Glielmo, L.; Singh, N. Subspace and coordinate transformation for Boolean control networks using binary logic. In Proceedings of the 27th Mediterranean Conference on Control and Automation (MED), Akko, Israel, 1–4 July 2019; pp. 328–333. [Google Scholar]
- Khatri, C.G.; Rao, C.R. Solutions to some functional equations and their applications to characterization of probability distributions. Sankhya Indian J. Stat. Ser. A 1968, 30, 167–180. [Google Scholar]
- Cheng, D.; Qi, H. Matrix expression of logic and fuzzy control. In Proceedings of the 44th IEEE Conference on Decision and Control, Seville, Spain, 12–15 December 2005; pp. 3273–3278. [Google Scholar]

| 0 | 0 | 0 | 0 | 0 | 0 | 0 | 1 | 0 | 2 |
| 1 | 0 | 0 | 0 | 0 | 1 | 0 | 0 | 0 | 0 |
| 2 | 0 | 0 | 0 | 1 | 0 | 0 | 1 | 0 | 2 |
| 3 | 0 | 0 | 0 | 1 | 1 | 0 | 0 | 0 | 0 |
| 4 | 0 | 0 | 1 | 0 | 0 | 0 | 1 | 0 | 2 |
| 5 | 0 | 0 | 1 | 0 | 1 | 0 | 0 | 0 | 0 |
| 6 | 0 | 0 | 1 | 1 | 0 | 0 | 1 | 0 | 2 |
| 7 | 0 | 0 | 1 | 1 | 1 | 0 | 0 | 0 | 0 |
| 8 | 0 | 1 | 0 | 0 | 0 | 0 | 1 | 1 | 3 |
| 9 | 0 | 1 | 0 | 0 | 1 | 0 | 0 | 1 | 1 |
| 10 | 0 | 1 | 0 | 1 | 0 | 1 | 1 | 1 | 7 |
| 11 | 0 | 1 | 0 | 1 | 1 | 1 | 0 | 1 | 5 |
| 12 | 0 | 1 | 1 | 0 | 0 | 0 | 1 | 1 | 3 |
| 13 | 0 | 1 | 1 | 0 | 1 | 0 | 0 | 1 | 1 |
| 14 | 0 | 1 | 1 | 1 | 0 | 1 | 1 | 1 | 7 |
| 15 | 0 | 1 | 1 | 1 | 1 | 1 | 0 | 1 | 5 |
| 16 | 1 | 0 | 0 | 0 | 0 | 0 | 1 | 1 | 3 |
| 17 | 1 | 0 | 0 | 0 | 1 | 0 | 0 | 1 | 1 |
| 18 | 1 | 0 | 0 | 1 | 0 | 0 | 1 | 1 | 3 |
| 19 | 1 | 0 | 0 | 1 | 1 | 0 | 0 | 1 | 1 |
| 20 | 1 | 0 | 1 | 0 | 0 | 0 | 1 | 1 | 3 |
| 21 | 1 | 0 | 1 | 0 | 1 | 0 | 0 | 1 | 1 |
| 22 | 1 | 0 | 1 | 1 | 0 | 0 | 1 | 1 | 3 |
| 23 | 1 | 0 | 1 | 1 | 1 | 0 | 0 | 1 | 1 |
| 24 | 1 | 1 | 0 | 0 | 0 | 0 | 1 | 1 | 3 |
| 25 | 1 | 1 | 0 | 0 | 1 | 0 | 0 | 1 | 1 |
| 26 | 1 | 1 | 0 | 1 | 0 | 1 | 1 | 1 | 7 |
| 27 | 1 | 1 | 0 | 1 | 1 | 1 | 0 | 1 | 5 |
| 28 | 1 | 1 | 1 | 0 | 0 | 0 | 1 | 1 | 3 |
| 29 | 1 | 1 | 1 | 0 | 1 | 0 | 0 | 1 | 1 |
| 30 | 1 | 1 | 1 | 1 | 0 | 1 | 1 | 1 | 7 |
| 31 | 1 | 1 | 1 | 1 | 1 | 1 | 0 | 1 | 5 |
| 0 | 0 | 0 | 0 | 1 | 1 |
| 1 | 0 | 0 | 1 | 0 | 0 |
| 2 | 0 | 1 | 0 | 1 | 1 |
| 3 | 0 | 1 | 1 | 0 | 0 |
| 4 | 1 | 0 | 0 | 1 | 1 |
| 5 | 1 | 0 | 1 | 0 | 0 |
| 6 | 1 | 1 | 0 | 1 | 1 |
| 7 | 1 | 1 | 1 | 0 | 0 |
Publisher’s Note: MDPI stays neutral with regard to jurisdictional claims in published maps and institutional affiliations. |
© 2020 by the authors. Licensee MDPI, Basel, Switzerland. This article is an open access article distributed under the terms and conditions of the Creative Commons Attribution (CC BY) license (http://creativecommons.org/licenses/by/4.0/).
Share and Cite
Wang, C.; Tao, Y. Conversion between Logic and Algebraic Expressions of Boolean Control Networks. Appl. Sci. 2020, 10, 7180. https://doi.org/10.3390/app10207180
Wang C, Tao Y. Conversion between Logic and Algebraic Expressions of Boolean Control Networks. Applied Sciences. 2020; 10(20):7180. https://doi.org/10.3390/app10207180
Chicago/Turabian StyleWang, Cailu, and Yuegang Tao. 2020. "Conversion between Logic and Algebraic Expressions of Boolean Control Networks" Applied Sciences 10, no. 20: 7180. https://doi.org/10.3390/app10207180
APA StyleWang, C., & Tao, Y. (2020). Conversion between Logic and Algebraic Expressions of Boolean Control Networks. Applied Sciences, 10(20), 7180. https://doi.org/10.3390/app10207180

