Study on the Prediction Method of the Ultra-Low-Cycle Fatigue Damage of Steel
Abstract
1. Introduction
2. Theoretical Model for ULCF of Structural Steel
2.1. CDM Model for ULCF
2.2. CVGM for ULCF
2.3. Material Property
2.4. Calibration of Material Parameters for CDM
2.5. Calibration of Material Parameters for CVGM
2.5.1. Cycle Loading Test for Notched Round Bar Specimen
2.5.2. Calibration of Material Parameters for CVGM by Finite Element Analysis
3. ULCF Life Prediction for the Q345qC Base Material and Weld Joints
3.1. Strain Cyclic Loading Test for Base Material and Welded Joints
3.1.1. Material of Test Specimen and Loading System
3.1.2. Test Results
3.2. ULCF Predictions for Base Material and Weld Joints
3.2.1. Establishment of a Finite Element Model
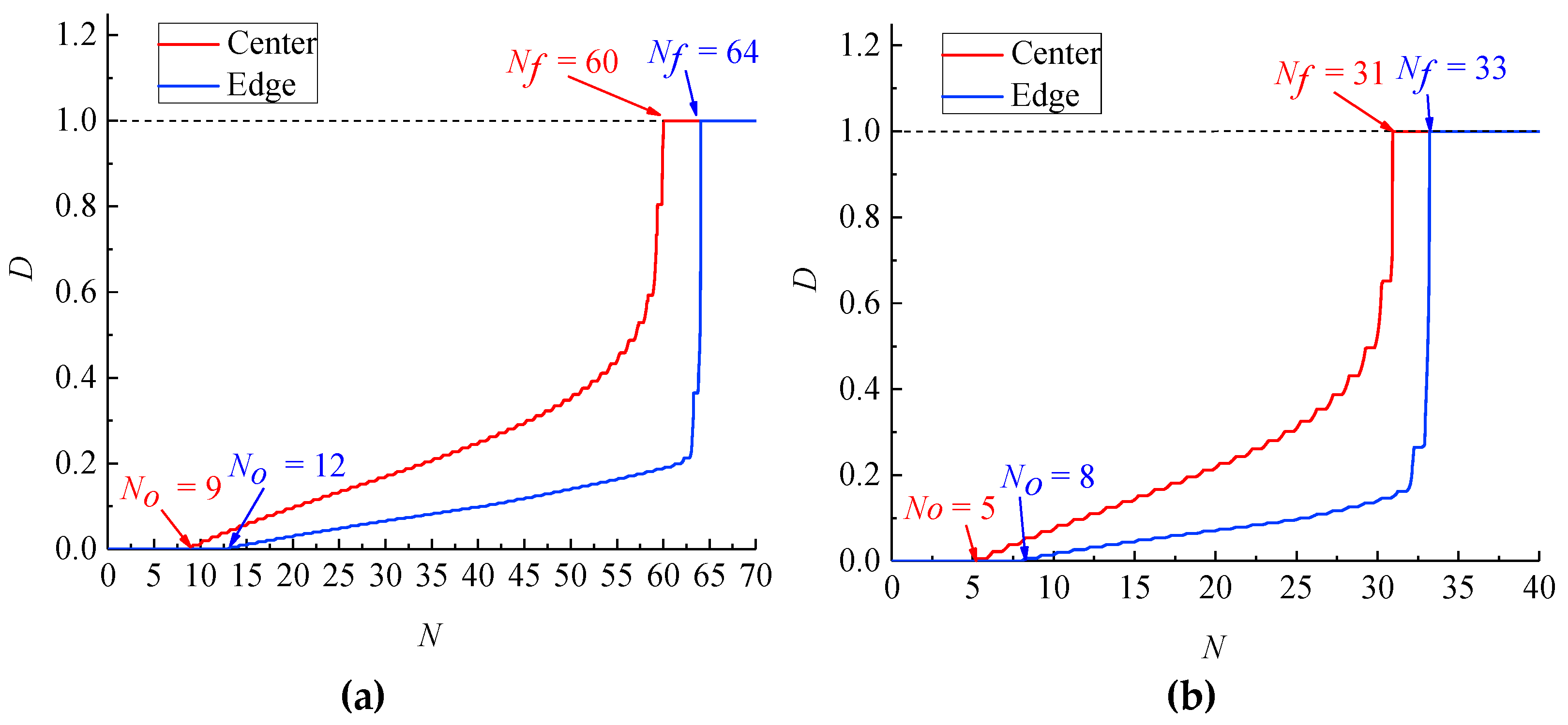
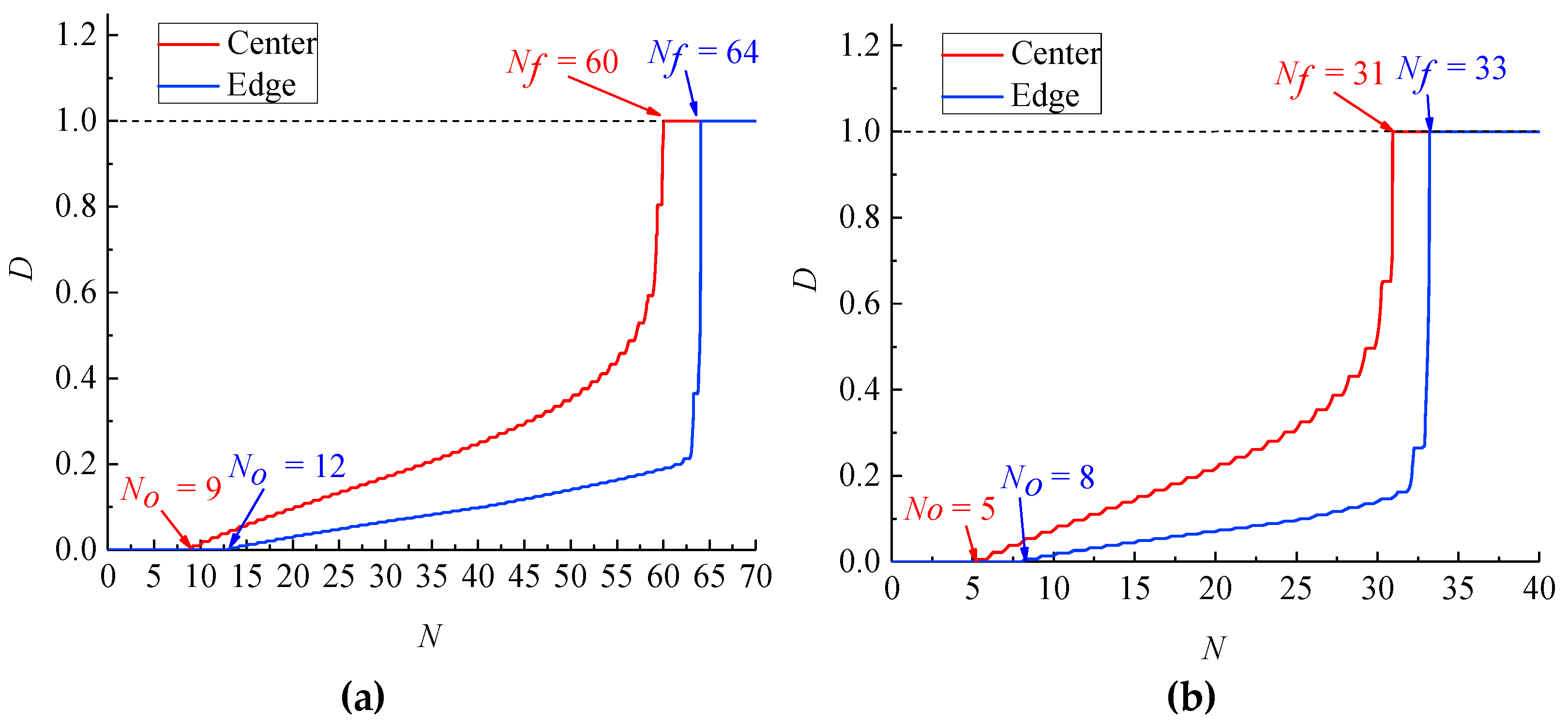
3.2.2. Fatigue Life Prediction Based on the CDM Model
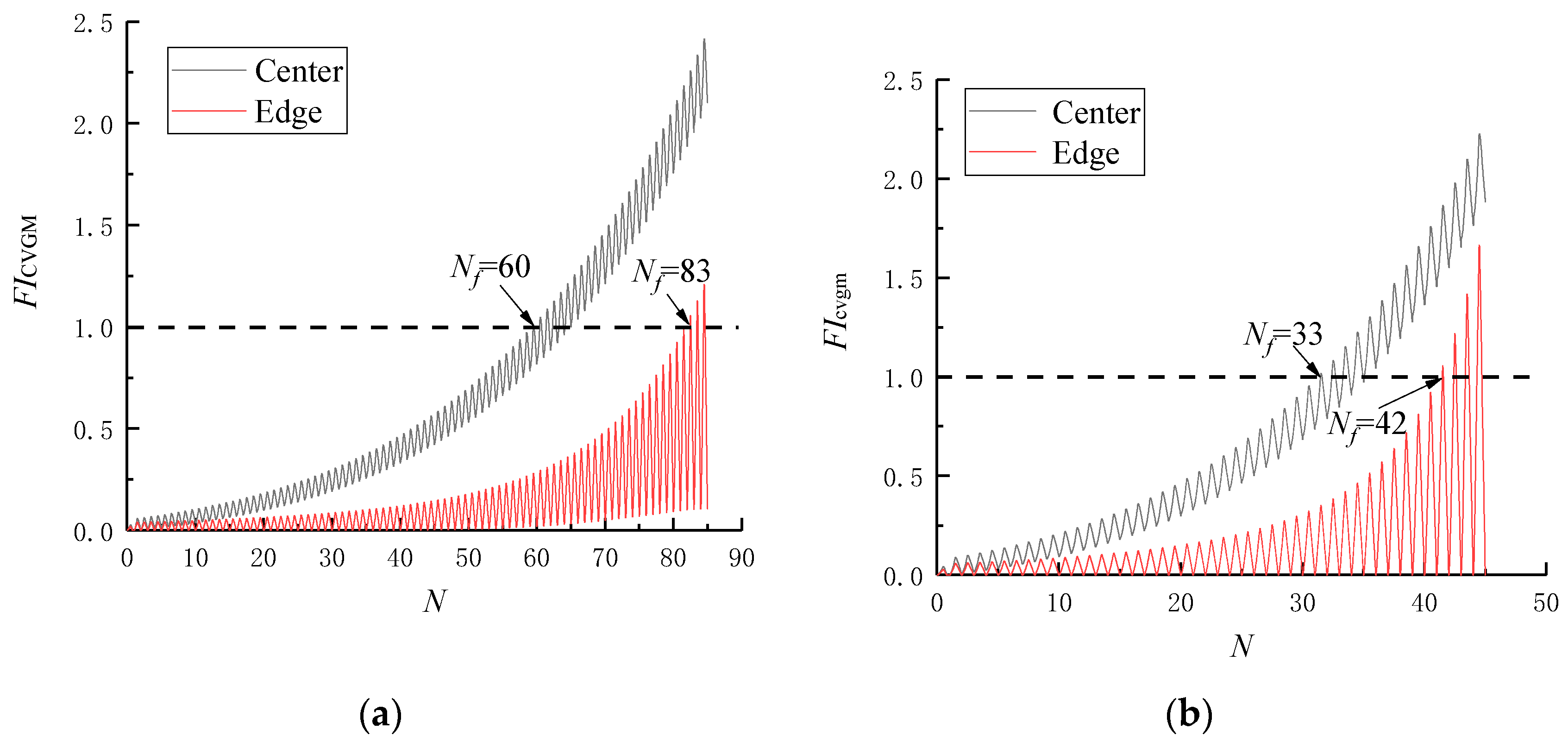
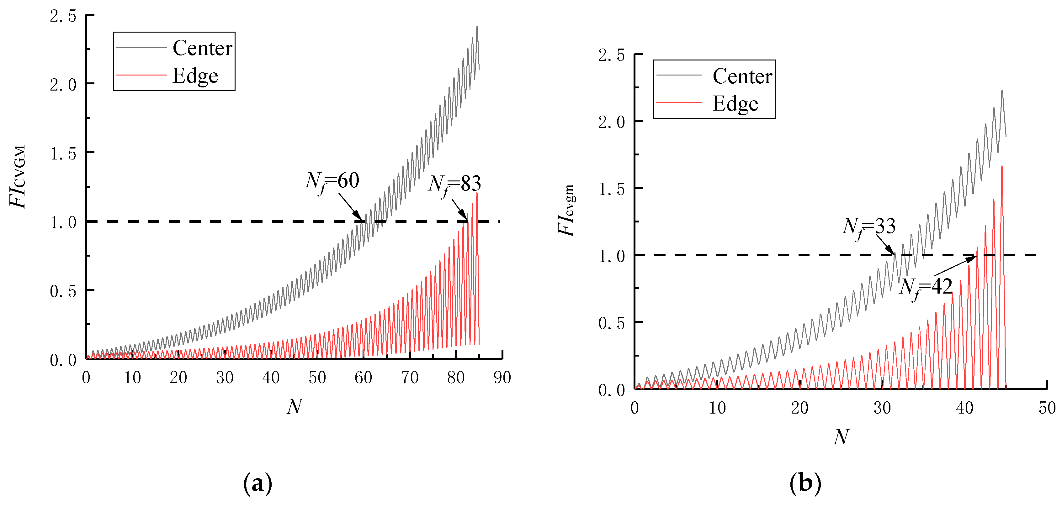
3.2.3. Fatigue Life Prediction Based on the CVGM
3.2.4. Comparison of Two Fatigue Life Prediction Methods
4. Conclusions
- (1)
- Under stress triaxiality state, only the equivalent plastic strain cannot be used for fracture prediction. The crack initiation stage occupies most of the fracture life in the test.
- (2)
- The value toughness parameter η in CVGM for weld metal are the least one, and the dispersion coefficient of weld metal is the largest, thereby indicating that the weld metal can be easily damaged and has a large material uniformity.
- (3)
- The location of cracks initiation predicted by the CDM model for the base metal and weld specimens is slightly different from the test results, but the predicted post-fracture path and fracture surface are consistent with the test results. The CDM model can also predict the relationship between the crack initiation and fracture lives.
- (4)
- CVGM can predict the crack initiation and fracture lives well but cannot predict the relationship between the crack initiation and fracture lives and the post-fracture path. In addition, the location of the cracks initiation predicted by CVGM for the base metal and weld specimens is different from the test results.
- (5)
- Compared with the CVGM model, the CDM model can predict the fatigue life and the relationship between fatigue and fracture lives, the post-fracture path and the number of cycles to initial damage. In addition, the parameter calibration is simple, and the prediction error is small. The finite element size is not limited by the characteristic length, and the calculation efficiency is high. CDM can directly consider the effect of damage on the elastic modulus of materials and can be combined easily with the finite element software for easy engineering application.
Author Contributions
Funding
Conflicts of Interest
References
- Subcommittee on Investigation of Seismic Damage of Steel Structure. Investigation of causes of damage to steel structure on Hanshin-Awaji earthquake disaster. Proc. JSCE 2000, 64, 17–30. [Google Scholar]
- Miller, D.K. Lessons learned from the Northridge earthquake. Eng. Struct. 1998, 20, 249–260. [Google Scholar] [CrossRef]
- Goto, Y.; Ebisawa, T.; Lu, X.L. Local buckling restraining behavior of thin-walled circular CFT columns under seismic loads. J. Struct. Eng. 2014, 140, 1–14. [Google Scholar] [CrossRef]
- Usami, T.; Ge, H.B.; Saizuka, K. Behavior of partially concrete-filled steel bridge piers under cyclic and dynamic loading. J. Constr. Steel Res. 1997, 41, 121–136. [Google Scholar] [CrossRef]
- Tong, L.; Huang, X.; Zhou, F.; Chen, Y. Experimental and numerical investigations on extremely-low-cycle fatigue fracture behavior of steel welded joints. J. Constr. Steel Res. 2016, 119, 98–112. [Google Scholar] [CrossRef]
- Pereira, J.; De Jesus, A.M.; Fernandes, A. A new ultra-low cycle fatigue model applied to the X60 piping steel. Int. J. Fatigue 2016, 93, 201–213. [Google Scholar] [CrossRef]
- Kuwamura, H.; Takagi, N. Similitude law of prefracture hysteresis of steel members. J. Struct. Eng. 2004, 130, 752–761. [Google Scholar] [CrossRef]
- Mendes, L.A.; Castro, L.M. A simplified reinforcing steel model suitable for cyclic loading including ultra-low-cycle fatigue effects. Eng. Struct. 2014, 68, 155–164. [Google Scholar] [CrossRef]
- Nip, K.H.; Gardner, L.; Davies, C.M. Extremely low cycle fatigue tests on structural carbon steel and stainless steel. J. Constr. Steel Res. 2010, 66, 96–110. [Google Scholar] [CrossRef]
- Huang, X.W.; Tong, L.W.; Zhou, F. Prediction of fracture behavior of beam-to-column welded joints using micromechanics damage model. J. Constr. Steel Res. 2013, 85, 60–72. [Google Scholar] [CrossRef]
- Bleck, W.; Dahl, W.; Nonn, A. Numerical and experimental analyses of damage behavior of steel moment connection. Eng. Fract. Mech. 2009, 76, 1531–1547. [Google Scholar] [CrossRef]
- Xue, L. A unified expression for low cycle fatigue and extremely low cycle fatigue and its implication for monotonic loading. Int. J. Fatigue 2008, 30, 1691–1698. [Google Scholar] [CrossRef]
- Kermajani, M.; Malek Ghaini, F.; Miresmaeili, R.; Aghakouchak, A.A.; Shadmand, M. Effect of weld metal toughness on fracture behavior under ultra-low cycle fatigue loading (earthquake). Mater. Sci. Eng. A 2016, 668, 30–37. [Google Scholar] [CrossRef]
- Zhang, Q.B.; Zhang, J.X.; Zhao, P.F.; Huang, Y.; Yu, Z.H.; Fang, X.Y. Low-cycle fatigue behaviors of a new type of 10% Cr martensitic steel and welded joint with Ni-based weld metal. Int. J. Fatigue 2016, 88, 78–87. [Google Scholar] [CrossRef]
- Zhou, H.; Wang, Y.Q.; Shi, Y.J.; Xiong, J.; Yang, L. Extremely low cycle fatigue prediction of steel beam-to-column connection by using a micro-mechanics based fracture model. Int. J. Fatigue 2013, 48, 90–100. [Google Scholar] [CrossRef]
- Tateishi, K.; Hanji, T.; Minami, K. A prediction model for extremely low cycle fatigue strength of structural steel. Int. J. Fatigue 2007, 29, 887–896. [Google Scholar] [CrossRef]
- Liao, F.F.; Wang, W.; Li, W.C.; Zhou, T.H. Review on research status of connection fracture of steel structures. J. Archit. Civ. Eng. 2016, 33, 67–75. [Google Scholar]
- Coffin, L.F.J. A study of the effects of cyclic thermal stresses on a ductile metal. Trans. ASME 1954, 76, 931–950. [Google Scholar]
- Manson, S.S. Behavior of Materials under Conditions of Thermal Stress; University of Michigan: Ann Arbor, MI, USA, 1953; pp. 1–37. [Google Scholar]
- Kuroda, M. Extremely low cycle fatigue life prediction based on a new cumulative fatigue damage model. Int. J. Fatigue 2002, 24, 699–703. [Google Scholar] [CrossRef]
- Huang, X.W.; Zhang, X.; Miao, T.C. A damage prediction model for ultra low cycle fatigue failure of building structural steel. Eng. Mech. 2017, 34, 101–108. [Google Scholar] [CrossRef]
- Xing, J.H.; Guo, C.L.; Li, Y.Y.; Chen, A.G. Damage coefficient identification of micromechanical fracture prediction models for steel Q235B. J. Harbin Inst. Technol. 2017, 49, 184–188. [Google Scholar]
- Hancock, J.W.; Mackenzie, A.C. On the mechanics of ductile failure in high-strength steel subjected to multi-axial stress-states. J. Mech. Phys. Solids 1976, 24, 147–169. [Google Scholar] [CrossRef]
- Adasooriya, N.D.; Siriwardane, S.C.; Ohga, M. A simplified approach to predict the failure of steel members under interaction effect of fracture and fatigue. Int. J. Fatigue 2013, 47, 161–173. [Google Scholar] [CrossRef]
- Liao, Y.H.; Xie, X.; Tang, Z.Z. Low cycle fatigue properties and fracture mechanism of Q345qC steel and its welded joint. J. Zhejiang Univ. 2018, 52, 73–81. [Google Scholar] [CrossRef]
- Li, S.L.; Xie, X.; Liao, Y.H. Improvement of cyclic void growth model for ultra-low cycle fatigue prediction of steel bridge piers. Materials 2019, 12, 1615. [Google Scholar] [CrossRef]
- Girão Coelho, A.M. Rotation capacity of partial strength steel joints with three-dimensional finite element approach. Comput. Struct. 2013, 116, 88–97. [Google Scholar] [CrossRef]
- Cheng, G.; Zuo, J.; Lou, Z. Continuum damage model of low-cycle fatigue and fatigue damage analysis of welded joint. Eng. Fract. Mech. 1996, 55, 155–161. [Google Scholar] [CrossRef]
- Tian, Q.; Zhuge, H.Q.; Xie, X. Prediction of the ultra-low-cycle fatigue damage of Q345qc steel and its weld joint. Materials 2019, 12, 4014. [Google Scholar] [CrossRef]
- Bonora, N. A nonlinear CDM model for ductile failure. Eng. Fract. Mech. 1997, 58, 11–28. [Google Scholar] [CrossRef]
- Kanvinde, A.M.; Deierlein, G.G. Cyclic void growth model to assess ductile fracture initiation in structural steels due to ultra low cycle fatigue. J. Eng. Mech. 2007, 133, 701–712. [Google Scholar] [CrossRef]
- Chaboche, J.L. Time independent constitutive theories for cyclic plasticity. Int. J. Plast. 1986, 2, 149–188. [Google Scholar] [CrossRef]
- Liao, Y.H. Research on Ultra Low Cycle Fatigue Properties and Fracture Mechanism of Steel Bridge Welded Joint. Master’s Degree Thesis, Zhejiang University, Hangzhou, China, 2018. [Google Scholar]














| Material | σ|0/ MPa | Q∞/ MPa | b | C1/ MPa | γ1 | C2/ MPa | γ2 | C3/ MPa | γ3 |
|---|---|---|---|---|---|---|---|---|---|
| Base metal | 354.10 | 13.2 | 0.6 | 44373.7 | 523.8 | 9346.6 | 120.2 | 946.1 | 18.7 |
| Heat-affected zone (HAZ) | 312.57 | 9.8 | 0.7 | 32242.4 | 199.2 | 3858.5 | 43.1 | 329.2 | 0.3 |
| Weld Metal | 428.45 | 17.4 | 0.4 | 12752.3 | 160.0 | 1111.2 | 160.0 | 630.5 | 26.0 |
| Material | R/mm | Number | δf/mm | η |
|---|---|---|---|---|
| Base metal | 4.25 | BLM-1 | 2.240 | 2.981 |
| BLM-2 | 2.262 | 3.000 | ||
| 3.0 | BMM-1 | 1.876 | 2.902 | |
| BMM-2 | 1.917 | 2.965 | ||
| 1.5 | BSM-1 | 3.543 | 3.280 | |
| BSM-2 | 3.477 | 3.163 | ||
| Average | 3.048 | |||
| Dispersion coefficient | 4.7% | |||
| Heat-affected zone | 4.25 | HLM-1 | 2.098 | 2.759 |
| HLM-2 | 1.934 | 2.576 | ||
| 3.0 | HMM-1 | 1.895 | 2.795 | |
| HMM-2 | 1.922 | 2.947 | ||
| 1.5 | HSM-1 | 3.808 | 3.242 | |
| HSM-2 | 4.009 | 3.536 | ||
| Average | 2.976 | |||
| Dispersion coefficient | 11.9% | |||
| Weld metal | 4.25 | WLM-1 | 1.821 | 2.711 |
| WLM-2 | 1.672 | 2.521 | ||
| 3.0 | WMM-1 | 1.371 | 2.591 | |
| WMM-2 | 1.306 | 2.454 | ||
| 1.5 | WSM-1 | 2.593 | 1.508 | |
| WSM-2 | 2.264 | 1.103 | ||
| Average | 2.148 | |||
| Dispersion coefficient | 31.2% | |||
| Δεt/% | Number | Crack Initial Location | Fatigue Life Nf | Fracture Life Nr | Nf/Nr | Average Fatigue Life Nf’ |
|---|---|---|---|---|---|---|
| 7.0 | BMC01 | Section edge | 78 | 84 | 92.9% | 77 |
| BMC03 | Section edge | 76 | 81 | 93.8% | ||
| BMC21 | Section edge | 78 | 80 | 97.5% | ||
| WMC04 | HAZ edge | 43 | 46 | 93.5% | 37 | |
| WMC12 | HAZ edge | 40 | 42 | 95.2% | ||
| WMC13 | HAZ edge | 29 | 34 | 85.3% | ||
| 8.0 | BMC05 | Section edge | 51 | 57 | 89.5% | 59 |
| BMC08 | Section edge | 55 | 57 | 96.5% | ||
| BMC22 | Section edge | 72 | 75 | 96.0% | ||
| WMC15 | HAZ edge | 32 | 35 | 91.4% | 32 | |
| WMC18 | HAZ edge | 32 | 33 | 97.0% | ||
| WMC21 | HAZ edge | 33 | 36 | 91.7% | ||
| 9.0 | BMC04 | Section edge | 47 | 51 | 92.2% | 44 |
| BMC17 | Section edge | 41 | 45 | 91.1% | ||
| BMC18 | Section edge | 45 | 48 | 93.8% | ||
| WMC03 | HAZ edge | 24 | 26 | 92.3% | 25 | |
| WMC06 | HAZ edge | 29 | 31 | 93.5% | ||
| WMC07 | HAZ edge | 24 | 25 | 96.0% | ||
| 10.0 | BMC15 | Section edge | 41 | 44 | 93.2% | 34 |
| BMC16 | Section edge | 30 | 31 | 96.8% | ||
| BMC19 | Section edge | 33 | 35 | 94.3% | ||
| WMC01 | Weld edge | 17 | 19 | 89.5% | 21 | |
| WMC08 | Weld edge | 25 | 27 | 92.6% | ||
| WMC20 | HAZ edge | 21 | 25 | 84.0% |
| Δεt % | Nf (Test) | Relative Error (%) | Nr (Test) | Relative Error (%) | ||
|---|---|---|---|---|---|---|
| 7.0 | 60 | 77 | −22.1 | 64 | 82 | −21.9 |
| 8.0 | 47 | 59 | −20.3 | 50 | 63 | −20.6 |
| 9.0 | 38 | 44 | −13.6 | 41 | 48 | −14.6 |
| 10.0 | 31 | 35 | −11.4 | 33 | 37 | −10.8 |
| Δεt % | WM (Predicted) | Nf (Test) | Relative Error (%) | HAZ (Predicted) | Nr (Test) | Relative Error (%) |
|---|---|---|---|---|---|---|
| 7.0 | 27 | 37 | −27.0 | 38 | 41 | −7.3 |
| 8.0 | 26 | 32 | −18.8 | 33 | 35 | −5.7 |
| 9.0 | 21 | 26 | −19.2 | 26 | 27 | −3.7 |
| 10.0 | 17 | 21 | −19.0 | 23 | 24 | −4.2 |
| Δεt/% | Predicted | Test | ||||
|---|---|---|---|---|---|---|
| Npf | Npr | Npf/Npr | Nf | Nr | Nf/Nr | |
| 7.0 | 60 | 64 | 93.8% | 77 | 82 | 93.9% |
| 8.0 | 47 | 50 | 94.0% | 59 | 63 | 93.7% |
| 9.0 | 38 | 41 | 92.7% | 44 | 48 | 91.7% |
| 10.0 | 31 | 33 | 93.9% | 35 | 37 | 94.6% |
| Δεt/% | Predicted | Test | ||||
|---|---|---|---|---|---|---|
| Npf | Npr | Npf/Npr | Nf | Nr | Nf/Nr | |
| 7.0 | 27 | 38 | 71.0% | 37 | 41 | 90.2% |
| 8.0 | 26 | 33 | 78.8% | 32 | 35 | 91.4% |
| 9.0 | 21 | 27 | 77.8% | 26 | 27 | 96.3% |
| 10.0 | 17 | 23 | 73.9% | 21 | 24 | 87.5% |
| Δεt % | Nf (Test) | Relative Error (%) | Nr (Test) | Relative Error (%) | ||
|---|---|---|---|---|---|---|
| 7.0 | 60 | 77 | −22.1 | 83 | 82 | 1.2 |
| 8.0 | 48 | 59 | −18.6 | 66 | 63 | 4.8 |
| 9.0 | 40 | 44 | −9.1 | 56 | 48 | 16.7 |
| 10.0 | 33 | 35 | −5.7 | 42 | 37 | 13.5 |
| Δεt % | WM (Predicted) | Nf (Test) | Relative Error (%) | HAZ (Predicted) | Nr (Test) | Relative Error (%) |
|---|---|---|---|---|---|---|
| 7.0 | 27 | 37 | −27.0 | 39 | 41 | −4.9 |
| 8.0 | 22 | 32 | −31.3 | 32 | 35 | −8.6 |
| 9.0 | 17 | 26 | −34.6 | 27 | 27 | 0 |
| 10.0 | 15 | 21 | −28.6 | 22 | 24 | −8.3 |
| Δεt/% | Predicted | Test | ||||
|---|---|---|---|---|---|---|
| Npf | Npr | Npf/Npr | Nf | Nr | Nf/Nr | |
| 7.0 | 60 | 83 | 72.3% | 77 | 82 | 93.9% |
| 8.0 | 48 | 66 | 72.7% | 59 | 63 | 93.7% |
| 9.0 | 40 | 56 | 71.4% | 44 | 48 | 91.7% |
| 10.0 | 33 | 42 | 78.6% | 35 | 37 | 94.6% |
| Δεt/% | Predicted | Test | ||||
|---|---|---|---|---|---|---|
| Npf | Npr | Npf/Npr | Nf | Nr | Nf/Nr | |
| 7.0 | 27 | 39 | 69.2% | 37 | 41 | 90.2% |
| 8.0 | 22 | 32 | 68.8% | 32 | 35 | 91.4% |
| 9.0 | 17 | 27 | 63.0% | 26 | 27 | 96.3% |
| 10.0 | 15 | 22 | 68.2% | 21 | 24 | 87.5% |
© 2020 by the authors. Licensee MDPI, Basel, Switzerland. This article is an open access article distributed under the terms and conditions of the Creative Commons Attribution (CC BY) license (http://creativecommons.org/licenses/by/4.0/).
Share and Cite
Tian, Q.; Liao, Y.; Xie, X.; Zhuge, H. Study on the Prediction Method of the Ultra-Low-Cycle Fatigue Damage of Steel. Appl. Sci. 2020, 10, 679. https://doi.org/10.3390/app10020679
Tian Q, Liao Y, Xie X, Zhuge H. Study on the Prediction Method of the Ultra-Low-Cycle Fatigue Damage of Steel. Applied Sciences. 2020; 10(2):679. https://doi.org/10.3390/app10020679
Chicago/Turabian StyleTian, Qin, Yanhua Liao, Xu Xie, and Hanqing Zhuge. 2020. "Study on the Prediction Method of the Ultra-Low-Cycle Fatigue Damage of Steel" Applied Sciences 10, no. 2: 679. https://doi.org/10.3390/app10020679
APA StyleTian, Q., Liao, Y., Xie, X., & Zhuge, H. (2020). Study on the Prediction Method of the Ultra-Low-Cycle Fatigue Damage of Steel. Applied Sciences, 10(2), 679. https://doi.org/10.3390/app10020679
