Shake Table Test of Long Span Cable-Stayed Bridge Subjected to Near-Fault Ground Motions Considering Velocity Pulse Effect and Non-Uniform Excitation
Abstract
Featured Application
Abstract
1. Introduction
2. Prototype Bridge and the Scaled Model
2.1. Prototype Bridge
2.2. Scaled Model
2.2.1. Shake Table System
2.2.2. Similitude Ratio
2.2.3. Girder and Stayed Cables
2.2.4. Additional Masses
2.2.5. Sensors Arrangement
3. Dynamic Characteristics and Test Cases
3.1. Dynamic Characteristics of the Test CSB
3.2. Input Ground Motions
3.3. Shake Table Test Cases
4. Seismic Response of CSBs Under Uniform Excitations
4.1. Reproduction Validation for Uniform Excitations
4.2. Seismic Responses of Towers and Ppiers
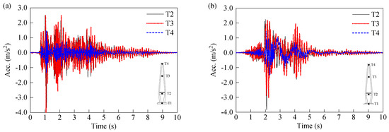
4.2.1. Accelerations Responses
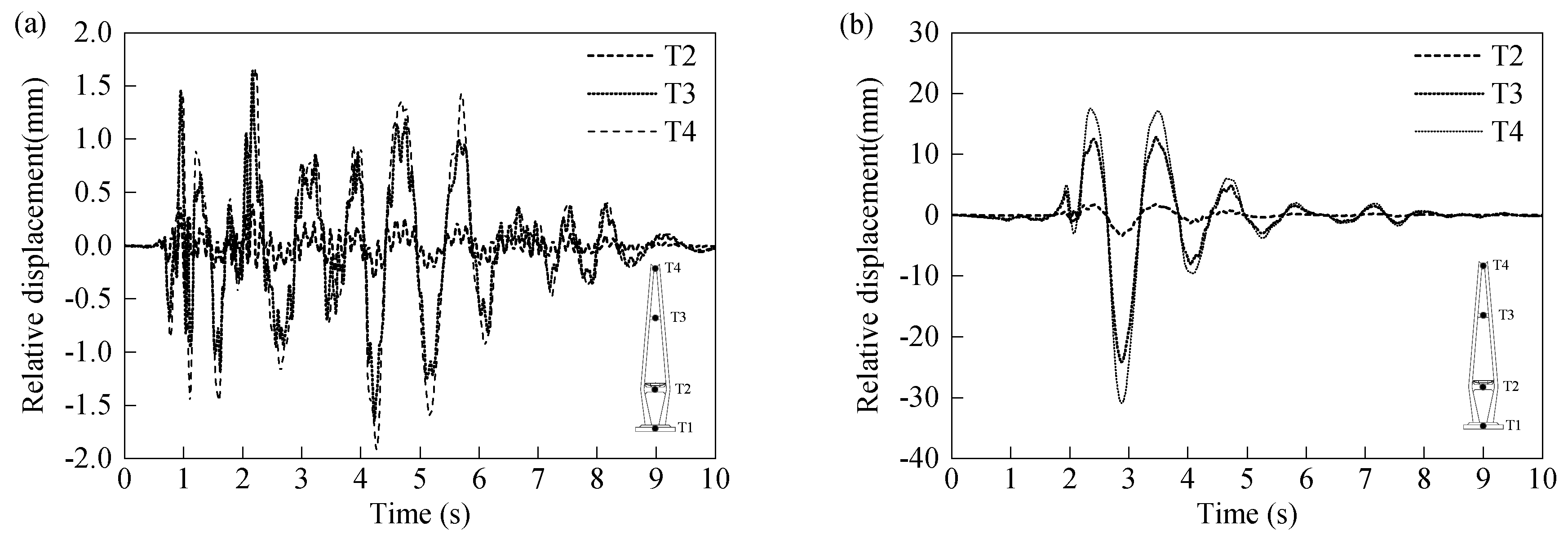
4.2.2. Displacements Responses
4.2.3. Strains and Bending Moment
4.3. Seismic Responses of Girder
4.3.1. Longitudinal Responses
4.3.2. Vertical Response
4.4. Seismic Responses of Bearing
4.5. Comparison of the Seismic Response
5. Seismic Responses of CSBs Under Non-Uniform Excitations
5.1. Non-Uniform Test Cases
5.2. Seismic Responses Subjected to the Non-Uniform Excitations
6. Conclusions
- (1)
- The first six modes and the corresponding frequencies of the scaled CSB were identified using the SSI method. The fundamental mode shows as girder and tower longitudinal vibration with a frequency of 0.79 Hz. The 2nd mode shows as girder vertical antisymmetric vibration combing tower longitudinal bending with a frequency of 6.61 Hz. In the first six in-plane modes, the 2nd, 4th and 6th modes are antisymmetric, while the 1st, 3rd and 5th modes are symmetric.
- (2)
- The maximum displacement of the tower occurs on the tower top node, the maximum acceleration response of the tower occurs on the middle cross beam, and the maximum bending moment of the tower occurs on the bottom section
- (3)
- The deformation of the tower and girder subjected to uniform excitation is not always larger than that subjected to non-uniform excitation, and therefore the non-uniform case should be considered in the seismic design of CSBs.
Author Contributions
Funding
Acknowledgments
Conflicts of Interest
References
- Xu, Y.; Hu, S. Seismic design of high-rise towers for cable-stayed bridges under strong earthquakes. Front. Arch. Civ. Eng. China 2011, 5, 451–461. [Google Scholar] [CrossRef]
- Soneji, B.; Jangid, R. Passive hybrid systems for earthquake protection of cable-stayed bridge. Eng. Struct. 2007, 29, 57–70. [Google Scholar] [CrossRef]
- Loh, C.-H.; Liao, W.-I.; Chai, J.-F. Effect of near-fault earthquake on bridges: Lessons learned from Chi-Chi earthquake. Earthq. Eng. Struct. Vib. 2001, 1, 86–93. [Google Scholar] [CrossRef]
- Xu, Y.; Duan, X.; Li, J. Seismic design strategy of cable stayed bridges subjected to strong ground motion. Struct. Eng. Mech. 2012, 51, 909–921. [Google Scholar] [CrossRef]
- Yi, J.; Li, J. Effect of Seismic-Induced bearing uplift of a Cable-Stayed bridge. J. Bridge Eng. 2019, 24, 4018125. [Google Scholar] [CrossRef]
- Fang, Z.; Zhang, C.; Chen, Y.; Zheng, Z.; Xu, L. Research on the shaking table test of three towers cable-stayed bridge based on three shaking table system. China Civ. Eng. 2012, 45, 25–29. (In Chinese) [Google Scholar]
- Yadi, S.; Suhendro, B.; Priyosulistyo, H.; Aminullah, A. Shake table test of floating cable-stayed bridge under earthquake excitation during construction with balanced cantilever method. Int. J. Civ. Eng. Technol. 2018, 9, 2063–2081. [Google Scholar]
- Xu, L.; Zhang, H.; Gao, J.; Zhang, C. Longitudinal seismic responses of a cable-stayed bridge based on shaking table tests of a half-bridge scale model. Adv. Struct. Eng. 2018, 1–13. [Google Scholar] [CrossRef]
- Xie, W.; Sun, L. Experimental and numerical verification on effects of inelastic tower links on transverse seismic response of tower of bridge full model. Eng. Struct. 2019, 182, 344–362. [Google Scholar] [CrossRef]
- Yadi, S.; Suhendro, B.; Priyosulistyo, H.; Aminullah, A. Dynamic response of long-span bridges subjected to nonuniform excitation: A state-of-the-art review. Matec. Web. Conf. 2019, 258, 5017. [Google Scholar] [CrossRef][Green Version]
- Shiravand, M.R.; Parvanehro, P. Spatial variation of seismic ground motion effects on nonlinear responses of cable stayed bridges considering different soil types. Soil Dyn. Earthq. Eng. 2019, 119, 104–117. [Google Scholar] [CrossRef]
- Li, S.; Zhang, F.; Wang, J.-Q.; Alam, M.S.; Zhang, J. Seismic responses of super-span cable-stayed bridges induced by ground motions in different sites relative to fault rupture considering soil-structure interaction. Soil Dyn. Earthq. Eng. 2017, 101, 295–310. [Google Scholar] [CrossRef]
- Liang, F.; Jia, Y.; Sun, L.; Xie, W.; Chen, H. Seismic response of pile groups supporting long-span cable-stayed bridge subjected to multi-support excitations. Soil Dyn. Earthq. Eng. 2017, 101, 182–203. [Google Scholar] [CrossRef]
- Jia, H.; Lan, X.; Zheng, S.; Li, L.; Liu, C. Assessment on required separation length between adjacent bridge segments to avoid pounding. Soil Dyn. Earthq. Eng. 2019, 120, 398–407. [Google Scholar] [CrossRef]
- Kojima, K.; Takewaki, I. Critical earthquake response of elastic-plastic structures under Near-Fault ground motions (Part 2: Forward-Directivity input). Front. Built Environ. 2015, 1, 1–13. [Google Scholar] [CrossRef][Green Version]
- Ardakani, S.; Saiidi, M.S. Simple method to estimate residual displacement in concrete bridge columns under near-fault earthquake motions. Eng. Struct. 2018, 176, 208–219. [Google Scholar] [CrossRef]
- Adanur, S.; Altunişik, A.C.; Bayraktar, A.; Akköse, M. Comparison of near-fault and far-fault ground motion effects on geometrically nonlinear earthquake behavior of suspension bridges. Nat. Hazards 2012, 64, 593–614. [Google Scholar] [CrossRef]
- Yang, D.; Zhao, Y.; Li, G. Influence analysis of motion characteristics of near-fault ground motions on seismic responses of long-period structures. J. Disaster Prev. Mitig. Eng. 2007, 27, 133–140. (In Chinese) [Google Scholar]
- Zhou, L.; Wang, X.; Ye, A. Effectiveness evaluation and optimal design of nonlinear viscous dampers for inelastic structures under pulse-type ground motions. Earthq. Eng. Struct. Dyn. 2018, 47, 2802–2820. [Google Scholar]
- Zhou, L.; Wang, X.; Ye, A. Shake table test on transverse steel damper seismic system for long span cable-stayed bridges. Eng. Struct. 2019, 179, 106–119. [Google Scholar] [CrossRef]
- Lesgidis, N.; Kwon, O.-S.; Sextos, A. A time-domain seismic SSI analysis method for inelastic bridge structures through the use of a frequency-dependent lumped parameter model. Earthq. Eng. Struct. Dyn. 2015, 44, 2137–2156. [Google Scholar] [CrossRef]
- Shahi, S.K.; Baker, J.W. An efficient algorithm to identify Strong-Velocity pulses in multicomponent ground motions. Bull. Seismol. Soc. Am. 2014, 104, 2456–2466. [Google Scholar] [CrossRef]
- Ancheta, T.; Darragh, R.; Stewart, J.; Silva, W.J.; Chiou, B.S.J.; Wooddell, K.E.; Graves, R.W.; Kottke, A.R.; Boore, D.M.; Kishida, T.; et al. PEER NGA-West2 Database; Technical Report 2013/03; Pacific Earthquake Engineering Research Center: Berkeley, CA, USA, 2013. [Google Scholar]
- Okamoto, Y.; Nakamura, S. Static and seismic studies on steel/concrete hybrid towers for multi-span cable-stayed bridges. J. Constr. Steel Res. 2011, 67, 203–210. [Google Scholar] [CrossRef]
- Martinez-Rodrigo, M.D.; Filiatrault, A. A case study on the application of passive control and seismic isolation techniques to cable-stayed bridges: A comparative investigation through non-linear dynamic analyses. Eng. Struct. 2015, 99, 232–252. [Google Scholar] [CrossRef]




























| Table NO. | Table Size | Self-Weight | Payload | Degree of Freedom | Stroke Length | Velocity | Acceleration | Operation Frequency |
|---|---|---|---|---|---|---|---|---|
| 1# | 4 m × 4 m | 9.65 t | 22 t | 3 | ±250 mm | 75 cm/s | 1.5 g(Ux)/1.2 g(Uy) | 0.1–50 Hz |
| 2# (3#) | 2.5 × 2.5 m | 3.0 t | 10 t | 3 | ±250 mm | 150 cm/s | 1.5 g(Ux)/1.2 g(Uy) | 0.1–50 Hz |
| Physical Properties | 1/Ratio | Material Properties | 1/Ratio | Dynamic Parameter | 1/Ratio |
|---|---|---|---|---|---|
| Length | 1/102 | Elastic Modulus | 1/12.81 | time | 0.0707 |
| Area | 1/104 | bending Stiffness | 1/1.281 × 109 | Frequency | 1/0.0707 |
| Moment of inertia | 1/108 | Equivalent density | 1/0.2562 | Velocity | 1/7.07 |
| Strain | 1 | Mass | 1/256,200 | Acceleration | 2 |
| Component | Material | Young’s Modulus of Elastic E (MPa) | Density (kg/m3) | Poisson’s Ratio | Yield Strength (MPa) |
|---|---|---|---|---|---|
| tower/pier | PMMA | 2.69 × 103 | 1180 | 0.391 | 126 |
| girder | Aluminum | 7.53 × 104 | 2700 | 0.326 | 187 |
| stayed cable | Steel | 1.95 × 105 | 7850 | 0.3 | 1330 |
| Test cases | Uniform Excitation | Non-Uniform Excitation | ||||||
|---|---|---|---|---|---|---|---|---|
| Case1 | Case2 | Case3 | Case4 | Case5 | Case6 | Case7 | Case8 | |
| Exctation | ScEL | ScTCU | ScEL | ScEL | ScEL | ScTCU | ScTCU | ScTCU |
| delay time (dt) | 0 s | 0 s | 0.1 s | 0.2 s | 0.4 s | 0.1 s | 0.2 s | 0.4 s |
| Components | 0#Pier | 1# Pier | 2# Pier | 5# Pier | 6# Pier | 7# Pier |
|---|---|---|---|---|---|---|
| under ScEL | 10.23 | 10.01 | 9.98 | 10.14 | 10.23 | 10.23 |
| under ScTCU | 13.84 | 14.32 | 14.87 | 13.8 | 13.18 | 13.84 |
| Excitation | Longitudinal Acceleration (m/s2) | Longitudinal Displacement (mm) | ||||
|---|---|---|---|---|---|---|
| T2-3# | T3-3# | T4-3# | T2-3# | T3-3# | T4-3# | |
| ScEL | 3.68 | 4.21 | 1.49 | 1.53 | 1.00 | 1.15 |
| ScTCU | 3.83 | 3.02 | 1.52 | 22.17 | 25.63 | 32.30 |
| Excitation | Vertical Acceleration (m/s2) | Vertical Displacement (mm) | ||||
|---|---|---|---|---|---|---|
| G2 | G3 | G4 | G2 | G3 | G4 | |
| ScEL | 2.82 | 0.89 | 2.69 | 0.38 | 0.06 | 0.55 |
| ScTCU | 1.69 | 1.06 | 1.54 | 2.07 | 0.56 | 3.76 |
© 2020 by the authors. Licensee MDPI, Basel, Switzerland. This article is an open access article distributed under the terms and conditions of the Creative Commons Attribution (CC BY) license (http://creativecommons.org/licenses/by/4.0/).
Share and Cite
Zhang, C.; Fu, G.; Lai, Z.; Du, X.; Wang, P.; Dong, H.; Jia, H. Shake Table Test of Long Span Cable-Stayed Bridge Subjected to Near-Fault Ground Motions Considering Velocity Pulse Effect and Non-Uniform Excitation. Appl. Sci. 2020, 10, 6969. https://doi.org/10.3390/app10196969
Zhang C, Fu G, Lai Z, Du X, Wang P, Dong H, Jia H. Shake Table Test of Long Span Cable-Stayed Bridge Subjected to Near-Fault Ground Motions Considering Velocity Pulse Effect and Non-Uniform Excitation. Applied Sciences. 2020; 10(19):6969. https://doi.org/10.3390/app10196969
Chicago/Turabian StyleZhang, Chao, Guanghui Fu, Zhichao Lai, Xiuli Du, Piguang Wang, Huihui Dong, and Hongyu Jia. 2020. "Shake Table Test of Long Span Cable-Stayed Bridge Subjected to Near-Fault Ground Motions Considering Velocity Pulse Effect and Non-Uniform Excitation" Applied Sciences 10, no. 19: 6969. https://doi.org/10.3390/app10196969
APA StyleZhang, C., Fu, G., Lai, Z., Du, X., Wang, P., Dong, H., & Jia, H. (2020). Shake Table Test of Long Span Cable-Stayed Bridge Subjected to Near-Fault Ground Motions Considering Velocity Pulse Effect and Non-Uniform Excitation. Applied Sciences, 10(19), 6969. https://doi.org/10.3390/app10196969

