Vegetable-Milk-Based Yogurt-Like Structure: Rheological Properties Influenced by Gluten-Free Carob Seed Flour
Abstract
1. Introduction
2. Materials and Methods
2.1. Yogurt Production
2.2. Microrheological Analysis
2.3. Dynamic Rheological Characterization of Yogurt-Like Samples
2.4. pH Values Evaluation
2.5. Statistical Analysis
3. Results and Discussion
3.1. Microrheological Parameters During Fermentation Process
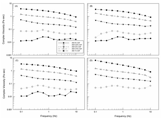
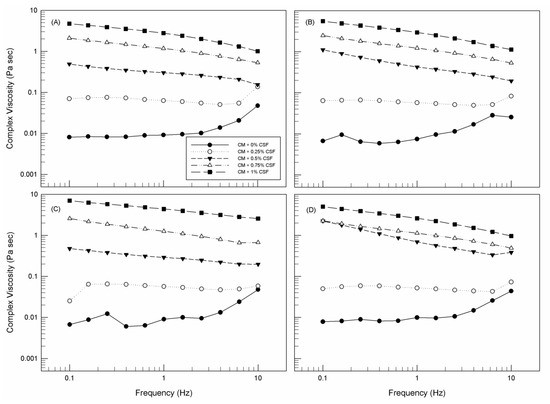
3.2. Dynamic Rheological Study of Yogurt Samples
4. pH Results
5. Conclusions
Author Contributions
Funding
Acknowledgments
Conflicts of Interest
References
- Caio, G.; Volta, U.; Sapone, A.; Leffler, D.A.; De Giorgio, R.; Catassi, C.; Fasano, A. Celiac disease: A comprehensive current review. BMC Med. 2019, 17, 1–20. [Google Scholar] [CrossRef] [PubMed]
- Kahleova, H.; Levin, S.; Barnard, N. Cardio-metabolic benefits of plant-based diets. Nutrients 2017, 9, 848. [Google Scholar] [CrossRef] [PubMed]
- Kahleova, H.; Katz, D.L. Vegetarian Dietary Patterns in the Prevention and Treatment of Disease. Front. Nutr. 2020, 7, 92. [Google Scholar] [CrossRef] [PubMed]
- Bernat, N.; Cháfer, M.; Chiralt, A.; González-Martínez, C. Vegetable milks and their fermented derivative products. Int. J. Food Stud. 2014, 3. [Google Scholar] [CrossRef]
- Sirtori, C.R.; Lovati, M.R. Soy proteins and cardiovascular disease. Curr. Atheroscler. Rep. 2001, 3, 47–53. [Google Scholar] [CrossRef]
- Rui, X.; Zhang, Q.; Huang, J.; Li, W.; Chen, X.; Jiang, M.; Dong, M. Does lactic fermentation influence soy yogurt protein digestibility: A comparative study between soymilk and soy yogurt at different pH. J. Sci. Food Agric. 2019, 99, 861–867. [Google Scholar] [CrossRef]
- Alyaqoubi, S.; Abdullah, A.; Samudi, M.; Abdullah, N.; Addai, Z.R.; Musa, K.H. Study of antioxidant activity and physicochemical properties of coconut milk (Pati santan) in Malaysia. J. Chem. Pharm. Res. 2015, 7, 967–9736. [Google Scholar]
- Ellis, D.; Lieb, J. Hyperoxaluria and genitourinary disorders in children ingesting almond milk products. J. Pediatr. 2015, 167, 1155–1158. [Google Scholar] [CrossRef]
- Jambazian, P.R.; Haddad, E.; Rajaram, S.; Tanzman, J.; Sabaté, J. Almonds in the diet simultaneously improve plasma α-tocopherol concentrations and reduce plasma lipids. J. Am. Diet. Assoc. 2005, 105, 449–454. [Google Scholar] [CrossRef]
- Yadav, A.; Jaiswal, P.; Jaiswal, M.; Kumar, N.; Sharma, R.; Raghuwanshi, S.; Prasad, G.B.K.S.; Bisen, P.S. Concise Review: Importance of probiotics yogurt for human health improvement. IOSR J. Environ. Sci. Toxicol. Food Technol. 2015, 9, 25–30. [Google Scholar] [CrossRef]
- Somkuti, G.A.; Steinberg, D.H. Pediocin production in milk by Pediococcus acidilactici in co-culture with Streptococcus thermophilus and Lactobacillus delbrueckii subsp. bulgaricus. J. Ind. Microbiol. Biotechnol. 2010, 37, 65–69. [Google Scholar] [CrossRef] [PubMed]
- Donkor, O.N.; Henriksson, A.; Vasiljevic, T.; Shah, N.P. α-Galactosidase and proteolytic activities of selected probiotic and dairy cultures in fermented soymilk. Food Chem. 2007, 104, 10–20. [Google Scholar] [CrossRef]
- Nikitina, E.; Riyanto, R.A.; Vafina, A.; Yurtaeva, T.; Tsyganov, M.; Ezhkova, G. Effect of fermented modified potato starches to low-fat yogurt. J. Food Nut. Res. 2019, 7, 549–553. [Google Scholar] [CrossRef]
- Skryplonek, K.; Henriques, M.; Gomes, D.; Viegas, J.; Fonseca, C.; Pereira, C.; Dmytrów, I.; Mituniewicz-Małek, A. Characteristics of lactose-free frozen yogurt with κ-carrageenan and corn starch as stabilizers. J. Dairy Sci. 2019, 102, 7838–7848. [Google Scholar] [CrossRef] [PubMed]
- Hashim, I.B.; Khalil, A.H.; Afifi, H.S. Quality characteristics and consumer acceptance of yogurt fortified with date fiber. J. Dairy Sci. 2009, 92, 5403–5407. [Google Scholar] [CrossRef]
- Denkova, R.; Goranov, B.; Denkova, Z.; Teneva, D.; Kostov, G. Enhancing yogurt health benefits: Development of starters for dairy and non-dairy yogurt. In Functional Foods: Sources, Health Effects and Future Perspectives, 1st ed.; Nelson, N., Ed.; Nova Sciences Publishers: Hauppauge, NY, USA, 2017; Chapter 7. [Google Scholar]
- Grasso, N.; Alonso-Miravalles, L.; O’Mahony, J.A. Composition, physicochemical and sensorial properties of commercial plant-based yogurts. Foods 2020, 9, 252. [Google Scholar] [CrossRef]
- Matia-Merino, L.; Lau, K.; Dickinson, E. Effects of low-methoxyl amidated pectin and ionic calcium on rheology and microstructure of acid-induced sodium caseinate gels. Food Hydrocoll. 2004, 18, 271–281. [Google Scholar] [CrossRef]
- Durazzo, A.; Turfani, V.; Narducci, V.; Azzini, E.; Maiani, G.; Carcea, M. Nutritional characterisation and bioactive components of commercial carobs flours. Food Chem. 2014, 153, 109–113. [Google Scholar] [CrossRef]
- Petkova, N.; Petrova, I.; Ivanov, I.; Mihov, R.; Hadjikinova, R.; Ognyanov, M.; Nikolova, V. Nutritional and antioxidant potential of carob (Ceratonia siliqua) flour and evaluation of functional properties of its polysaccharide fraction. J. Pharm. Sci. Res. 2017, 9, 2189–2195. [Google Scholar]
- Turfani, V.; Narducci, V.; Durazzo, A.; Galli, V.; Carcea, M. Technological, nutritional and functional properties of wheat bread enriched with lentil or carob flours. LWT 2017, 78, 361–366. [Google Scholar] [CrossRef]
- Fidan, H.; Stankov, S.; Petkova, N.; Petkova, Z.; Iliev, A.; Stoyanova, M.; Ivanova, T.; Zhelyazkov, N.; Ibrahim, S.; Stoyanova, A.; et al. Evaluation of chemical composition, antioxidant potential and functional properties of carob (Ceratonia siliqua L.) seeds. J. Food Sci. Technol. 2020, 57, 2404–2413. [Google Scholar] [CrossRef] [PubMed]
- Smith, B.M.; Bean, S.R.; Schober, T.J.; Tilley, M.; Herald, T.J.; Aramouni, F. Composition and molecular weight distribution of carob germ protein fractions. J. Agric. Food Chem. 2010, 58, 7794–7800. [Google Scholar] [CrossRef] [PubMed]
- Feillet, P.; Roulland, T.M. Caroubin: A gluten-like protein isolated from carob bean germ. Cereal Chem. 1998, 75, 488–492. [Google Scholar] [CrossRef]
- Bengoechea, C.; Puppo, M.C.; Romero, A.; Cordobes, F.; Guerrero, A. Linear and non-linear viscoelasticity of emulsions containing carob protein as emulsifier. J. Food Eng. 2008, 87, 124–135. [Google Scholar] [CrossRef]
- Miñarro, B.; Albanell, E.; Aguilar, N.; Guamis, B.; Capellas, M. Effect of legume flours on baking characteristics of gluten-free bread. J. Cereal Sci. 2012, 56, 476–481. [Google Scholar] [CrossRef]
- Tsatsaragkou, K.; Gounaropoulos, G.; Mandala, I. Development of gluten free bread containing carob flour and resistant starch. LWT Food Sci. Technol. 2014, 58, 124–129. [Google Scholar] [CrossRef]
- Tsatsaragkou, K.; Kara, T.; Ritzoulis, C.; Mandala, I.; Rosell, C.M. Improving carob flour performance for making gluten-free breads by particle size fractionation and jet milling. Food Bioprocess Technol. 2017, 10, 831–841. [Google Scholar] [CrossRef]
- Benković, M.; Bosiljkov, T.; Semić, A.; Ježek, D.; Srečec, S. Influence of carob flour and carob bean gum on rheological properties of cocoa and carob pastry fillings. Foods 2019, 8, 66. [Google Scholar] [CrossRef]
- Román, L.; González, A.; Espina, T.; Gómez, M. Degree of roasting of carob flour affecting the properties of gluten-free cakes and cookies. J. Food Sci. Technol. 2017, 54, 2094–2103. [Google Scholar] [CrossRef]
- Ceniti, C.; Froiio, F.; Gagliardi, A.; Britti, D.; Paolino, D.; Costanzo, N. Observations on passive microrheology for monitoring the fermentation process in yoghurt. Int. Dairy J. 2020, 102, 104604. [Google Scholar] [CrossRef]
- Jiang, D.; Huang, J.; Shao, H.; Hu, X.; Song, L.; Zhang, Y. Characterization of bladder acellular matrix hydrogel with inherent bioactive factors. Mater. Sci. Eng. C 2017, 77, 184–189. [Google Scholar] [CrossRef] [PubMed]
- Cristiano, M.C.; Froiio, F.; Costanzo, N.; Poerio, A.; Lugli, M.; Fresta, M.; Britti, D.; Paolino, D. Effects of flour mean particle size, size distribution and water content on rheological properties of wheat flour doughs. Eur. Food Res. Technol. 2019, 245, 2053–2062. [Google Scholar] [CrossRef]
- Cristiano, M.C.; Froiio, F.; Mancuso, A.; De Gaetano, F.; Ventura, C.A.; Fresta, M.; Paolino, D. The Rheolaser Master™ and Kinexus Rotational Rheometer® to Evaluate the Influence of Topical Drug Delivery Systems on Rheological Features of Topical Poloxamer Gel. Molecules 2020, 25, 1979. [Google Scholar] [CrossRef] [PubMed]
- Tsatsaragkou, K.; Yiannopoulos, S.; Kontogiorgi, A.; Poulli, E.; Krokida, M.; Mandala, I. Effect of carob flour addition on the rheological properties of gluten-free breads. Food Bioprocess Technol. 2014, 7, 868–876. [Google Scholar] [CrossRef]
- Moreira, T.C.; da Silva, A.T.; Fagundes, C.; Ferreira, S.M.R.; Cândido, L.M.B.; Passos, M.; Krüger, C.C.H. Elaboration of yogurt with reduced level of lactose added of carob (Ceratonia siliqua L.). LWT Food Sci. Technol. 2017, 76, 326–329. [Google Scholar] [CrossRef]
- Larson, R.G. The Structure and Rheology of Complex Fluids; Oxford University Press: New York, NY, USA, 1999; Volume 150. [Google Scholar]
- Khali, U.; Haider, S.; Khan, M.S.; Haider, A.; Khan, R.; Alghyamah, A.A.; Almasry, W.A.; Bououdina, M. Synthesis of novel copper nanoparticles/ternary polymer blend nanocomposites and their structural, thermal and rheological properties and AC impedance. Polym. Int. 2017, 66, 1182–1189. [Google Scholar] [CrossRef]
- Mei, J.; Feng, F.; Li, Y. Effective of different homogeneous methods on physicochemical, textural and sensory characteristics of soybean (Glycine max L.) yogurt. CyTA-J. Food 2017, 15, 21–26. [Google Scholar] [CrossRef]
- Mason, T.G.; Gang, H.; Weitz, D.A. Rheology of complex fluids measured by dynamic light scattering. J. Mol. Struct. 1996, 383, 81–90. [Google Scholar] [CrossRef]
- Nazir, A.; Asghar, A.; Aslam Maan, A. Food Gels: Gelling Process and New Applications. In Advances in Food Rheology and Its Applications; Ahmed, J., Ed.; Woodhead Publishing: Duxford, UK, 2017; pp. 335–353. [Google Scholar] [CrossRef]
- Yaakob, H.; Ahmed, N.R.; Daud, S.K.; Abd Malek, R.; Rahman, R.A. Optimization of ingredient and processing levels for the production of coconut yogurt using response surface methodology. Food Sci. Biotechnol. 2012, 21, 933–940. [Google Scholar] [CrossRef]
- Bernat, N.; Cháfer, M.; Chiralt, A.; González-Martínez, C. Development of a non-dairy probiotic fermented product based on almond milk and inulin. Food Sci. Technol. Int. 2015, 21, 440–453. [Google Scholar] [CrossRef]
- Granata, L.A.; Morr, C.V. Improved acid, flavor and volatile compound production in a high protein and fiber soymilk yogurt-like product. J. Food Sci. 1996, 61, 331–336. [Google Scholar] [CrossRef]
- Widyastuti, Y.; Febrisiantosa, A. The role of lactic acid bacteria in milk fermentation. Food Nutr. Sci. 2014. [Google Scholar] [CrossRef]





| Vegetal Milk | Coconut Milk | Almond Milk | Soy Milk | |
|---|---|---|---|---|
| CSF (%) | ||||
| 0 | 3 h 45 min 1 s ± 1 s | 1 h 12 min 26 s ± 4 s | 2 h 2 min 49 s ± 0.5 s | |
| 0.25 | 2 h 55 min 1 s ± 2 s | 1 h 39 min 20 s ± 0.5 s | 1 h 24 min 32 s ± 1 s | |
| 0.5 | 1 h 7 min 36 s ± 2 s | 1 h 30 min 2 s ± 1.5 s | 1 h 46 min 44 s ± 2 s | |
| 0.75 | 1 h 2 min 50 s ± 2 s | 1 h 39 min 51 s ± 1.5 s | 4 h 0 min 14 s ± 3.5 s | |
| 1 | 1 h 42 min 50 s ± 8.5 s | 2 h 22 min 51 s ± 7 s | 3 h 31 min 56 s ± 7 s | |
| Sample | 1 SLB-BF | 2 SLB-AF | |
|---|---|---|---|
| CM + 0% CSF | 0.61 ± 0.03 | 0.47 ± 0.02 | * |
| CM + 0.25% CSF | 0.57 ± 0.05 | 0.35 ± 0.01 | * |
| CM + 0.5% CSF | 0.71 ± 0.09 | 0.23 ± 0.02 | ** |
| CM + 0.75% CSF | 0.70 ± 0.06 | 0.27 ± 0.01 | ** |
| CM + 1% CSF | 0.78 ± 0.08 | 0.28 ± 0.03 | ** |
| AM + 0% CSF | 0.63 ± 0.05 | 0.17 ± 0.02 | ** |
| AM + 0.25% CSF | 0.77 ± 0.03 | 0.28 ± 0.03 | ** |
| AM + 0.5% CSF | 0.95 ± 0.02 | 0.21 ± 0.04 | ** |
| AM + 0.75% CSF | 0.90 ± 0.01 | 0.21 ± 0.02 | ** |
| AM + 1% CSF | 0.70 ± 0.01 | 0.33 ± 0.07 | ** |
| SM + 0% CSF | 0.62 ± 0.03 | 0.12 ± 0.01 | ** |
| SM + 0.25% CSF | 0.77 ± 0.01 | 0.32 ± 0.02 | ** |
| SM + 0.5% CSF | 0.93 ± 0.03 | 0.42 ± 0.03 | ** |
| SM + 0.75% CSF | 0.61 ± 0.01 | 0.47 ± 0.07 | * |
| SM + 1% CSF | 0.57±0.01 | 0.49±0.06 |
| Sample | MVI 24 h (*10−4 nm−2.s) | MVI 48 h (*10−4 nm−2.s) | MVI 5 days (*10−4 nm−2.s) |
|---|---|---|---|
| CM + 0% CSF | 0.0920 ± 0.0054 | 0.0716 ± 0.003 | 0.0702 ± 0.012 |
| CM + 0.25% CSF | 4.43 ± 0.89 * | 4.13 ± 0.18 ** | 4.44 ± 0.36 ** |
| CM + 0.5% CSF | 14.3 ± 1.14 ** | 23.5 ± 0.54 ** | 24.2 ± 0.10 ** |
| CM + 0.75% CSF | 188 ± 0.56 ** | 186 ± 0.81 ** | 231 ± 0.59 ** |
| CM + 1% CSF | 304 ± 0.87 ** | 321 ± 1.27 ** | 691 ± 0.99 ** |
| AM + 0% CSF | 0.447 ± 0.14 | 0.175 ± 0.065 | - |
| AM + 0.25% CSF | 4.57 ± 1.29 * | 4.73 ± 0.13 ** | 4.84 ± 0.23 |
| AM + 0.5% CSF | 36 ± 2.29 ** | 35.2 ± 0.094 ** | 16.1 ± 0.74 |
| AM + 0.75% CSF | 58.2 ± 2.95 ** | 55.3 ± 0.58 ** | 56.5 ± 0.24 |
| AM + 1% CSF | 56.5 ± 1.05 ** | 58.1 ± 0.67 ** | 55.7 ± 0.71 |
| SM + 0% CSF | 0.0803 ± 0.003 | 0.079 ± 0.002 | 0.0104 ± 0.002 |
| SM + 0.25% CSF | 55.2 ± 1.09 ** | 6.23 ± 0.031 ** | 3.67 ± 0.19 ** |
| SM + 0.5% CSF | 137 ± 2.04 ** | 185 ± 1.08 ** | 643 ± 1.02 ** |
| SM + 0.75% CSF | 247 ± 1.45 ** | 353 ± 1.20 ** | 660 ± 1.35 ** |
| SM + 1% CSF | 505 ± 0.98 ** | 449 ± 1.09 ** | 871 ± 1.42 ** |
| Sample | EI 24 h (* ×10−2) | EI 48 h (* ×10−2) | EI 5 days (* ×10−2) |
|---|---|---|---|
| CM + 0% CSF | 0.0751 ± 0.009 | 0.0742 ± 0.0075 | 0.0917 ± 0.0064 |
| CM + 0.25% CSF | 0.171 ± 0.021 * | 0.174 ± 0.013 ** | 0.176 ± 0.041 * |
| CM + 0.5% CSF | 0.272 ±0.014 ** | 0.261 ± 0.101 | 0.268 ± 0.042 * |
| CM + 0.75% CSF | 0.721 ± 0.11 ** | 0.694 ±0.096 ** | 0.525 ± 0.012 ** |
| CM + 1% CSF | 1.31 ± 0.014 ** | 1.27 ± 0.17 ** | 1.03 ± 0.094 ** |
| AM + 0% CSF | 0.0898 ± 0.003 | 0.0797 ± 0.002 | - |
| AM + 0.25% CSF | 0.19 ± 0.014 ** | 0.155 ± 0.021 * | 0.171 ± 0.019 |
| AM + 0.5% CSF | 0.274 ± 0.036 ** | 0.285 ± 0.023 ** | 0.414 ± 0.034 |
| AM + 0.75% CSF | 0.457 ± 0.014 ** | 0.474 ± 0.110 * | 0.402 ± 0.028 |
| AM + 1% CSF | 0.824 ± 0.098 ** | 0.720 ± 0.025 ** | 0.658 ± 0.017 |
| SM + 0% CSF | 0.0232 ± 0.003 | 0.0681 ± 0.008 | 0.0683 ± 0.009 |
| SM + 0.25% CSF | 0.741 ± 0.041 ** | 0.217 ± 0.0054 ** | 0.211 ± 0.0055 ** |
| SM + 0.5% CSF | 0.884 ± 0.11 ** | 0.985 ± 0.087 ** | 0.983 ± 0.036 ** |
| SM + 0.75% CSF | 1.56 ± 0.025 ** | 1.72 ± 0.019 ** | 1.74 ± 0.029 ** |
| SM + 1% CSF | 2.53 ± 0.102 ** | 2.52 ± 0.072 ** | 2.46 ± 0.078 ** |
| Vegetal Milk | Coconut Milk | Almond Milk | Soy Milk | |
|---|---|---|---|---|
| CSF (%) | ||||
| Raw Milk a | 7.33 ± 0.02 | 7.82 ± 0.07 | 7.28 ± 0.08 | |
| 0 | 5.03 ± 0.05 | 4.43 ± 0.04 | 4.30 ± 0.05 | |
| 0.25 | 5.03 ± 0.01 | 4.42 ± 0.05 | 4.27 ± 0.04 | |
| 0.5 | 5.0 ± 0.06 | 4.67 ± 0.01 | 4.41 ± 0.08 | |
| 0.75 | 5.08 ± 0.08 | 4.74 ± 0.06 | 4.38 ± 0.02 | |
| 1 | 5.09 ± 0.09 | 4.84 ± 0.02 | 4.41 ± 0.07 | |
© 2020 by the authors. Licensee MDPI, Basel, Switzerland. This article is an open access article distributed under the terms and conditions of the Creative Commons Attribution (CC BY) license (http://creativecommons.org/licenses/by/4.0/).
Share and Cite
Froiio, F.; Cristiano, M.C.; Mancuso, A.; Iannone, M.; Paolino, D. Vegetable-Milk-Based Yogurt-Like Structure: Rheological Properties Influenced by Gluten-Free Carob Seed Flour. Appl. Sci. 2020, 10, 6963. https://doi.org/10.3390/app10196963
Froiio F, Cristiano MC, Mancuso A, Iannone M, Paolino D. Vegetable-Milk-Based Yogurt-Like Structure: Rheological Properties Influenced by Gluten-Free Carob Seed Flour. Applied Sciences. 2020; 10(19):6963. https://doi.org/10.3390/app10196963
Chicago/Turabian StyleFroiio, Francesca, Maria Chiara Cristiano, Antonia Mancuso, Michelangelo Iannone, and Donatella Paolino. 2020. "Vegetable-Milk-Based Yogurt-Like Structure: Rheological Properties Influenced by Gluten-Free Carob Seed Flour" Applied Sciences 10, no. 19: 6963. https://doi.org/10.3390/app10196963
APA StyleFroiio, F., Cristiano, M. C., Mancuso, A., Iannone, M., & Paolino, D. (2020). Vegetable-Milk-Based Yogurt-Like Structure: Rheological Properties Influenced by Gluten-Free Carob Seed Flour. Applied Sciences, 10(19), 6963. https://doi.org/10.3390/app10196963

