Group Pile Effect on Temperature Distributions inside Energy Storage Pile Foundations
Abstract
1. Introduction
- (1)
- Different heat sources. The thermo-active pile is typically heated up or cooled down by the liquid circulating inside the pile, while the energy storage pile is subjected to temperature changes from the compressed air.
- (2)
- Different locations of the thermal loading. The thermo-active pile is typically heated up or cooled down inside the pile section, while the energy storage pile is heated at the inner surface by the compressed air.
- (3)
- Different magnitudes of the thermal loading. The thermo-active pile has a temperature change in the range of 10 to 20 °C for typical applications and can be as high as 30 °C for extreme heat exchanges [12]. On the other hand, the energy storage pile can result in a temperature increase up to more than 100 °C.
2. Research Background
2.1. Thermodynamic Cycles
2.2. Group Pile Foundation
2.3. Performacne of Thermal-Active Energy Piles
3. Description of Thermal Loading and Models
3.1. Determination of Storage Temperature
3.2. Study Parameters
3.3. Analytical Model
- (1)
- A quarter symmetric 2D plane strain model was used.
- (2)
- Symmetry boundary conditions were imposed with no heat flux transfer.
- (3)
- The linear thermal material model was adopted in the main study.
- (4)
- The concrete cracking effect was ignored.
- (5)
- The change in the soil thermal conductivity over the moisture content was conservatively ignored.
4. Analytical Results and Discussions
4.1. Temperature Distribution in Concrete
4.2. Temperature Distribution in Soil
4.3. Sensitivity Study on the Thermal Property of the Soil
5. Conclusions
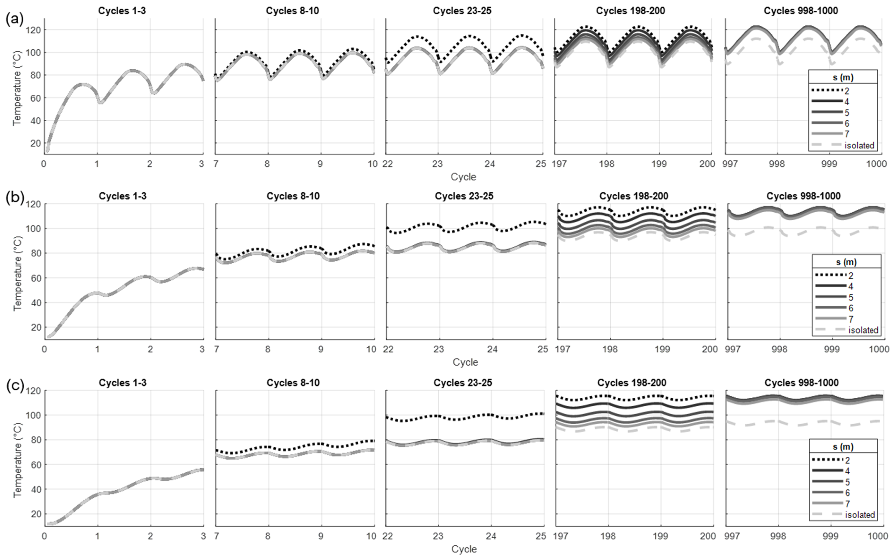
- The group pile effect tends to increase the temperature up to more than 100 °C depending on the location inside both the soil and the concrete section due to the additional heat transferred from the adjacent pile. The amount of the increase becomes more significant when moving away from the center of the pile at a stabilized state.
- As the increase of the loading cycles, the group pile effect firstly starts influencing the soil at the center line between two piles and then gradually affects other locations in the soil and concrete section when moving closer to the inner surface of the pile.
- Temperature increase from the group pile effect is faster for the cases with smaller pile spacing in both the concrete section and the soil. However, the temperature tends to converge to a similar magnitude after enough cycles regardless of the spacing of the piles. The final stabilized temperature can be as high as 120 °C in the concrete pile and 110 °C in the soil after numerous loading cycles.
- The group pile effect increases uniformity of the temperature distribution in the middle of the cycle but causes a less uniform distribution near the end of the cycle along the concrete section.
- The group pile effect increases uniformity of the temperature distribution in the soil. After a sufficient amount of cycles, the distribution tends to become constant along the radial direction.
- For the group pile case, the nonlinear thermal model with temperature-dependent soil thermal conductivity shows similar temperature distributions in both the concrete and the soil as that in the linear thermal model. For the isolated pile case, the nonlinear model predicts higher temperature in the concrete section and nearby soil layers but shows a lower temperature in the soil far from the concrete pile.
- The temperature profiles obtained in this paper for different pile spacings are important for future thermal induced mechanical response studies. The temperature magnitude is about 4 times higher than that in typical thermal-active energy piles. The group pile effect is significant on the temperature distribution of the pile foundation and needs to be considered for the design of the energy storage pile foundation.
Author Contributions
Funding
Conflicts of Interest
References
- Hayter, S.; Kandt, A. Renewable Energy Applications for Existing Buildings (Technical Report NREL/CP-7A40-52172); National Renewable Energy Lab. (NREL): Golden, CO, USA, 2011. Available online: https://www.osti.gov/biblio/1022419 (accessed on 20 September 2020).
- Rugolo, J.; Aziz, M. Electricity storage for intermittent renewable sources. Energy Environ. Sci. 2012, 5, 7151–7160. [Google Scholar] [CrossRef]
- Sabirova, A.; Zhang, D.; Kim, J.; Nguyen, M.; Shon, C. Development of a reinforced concrete foundation system for renewable energy storage. In Proceedings of the 8th Asian Young Geotechnical Engineering Conference, Astana, Kazakhstan, 5–7 August 2016. [Google Scholar]
- Tulebekova, S.; Saliyev, D.; Zhang, D.; Kim, J.; Karabay, A.; Turlybek, A.; Kazybayeva, L. Preliminary analytical study on the feasibility of using reinforced concrete pile foundations for renewable energy storage by compressed air energy storage technology. In IOP Conference Series: Materials Science and Engineering; IOP Publishing Ltd.: London, UK, November 2017; pp. 12–23. [Google Scholar]
- Tulebekova, S.; Zhang, D.; Lee, D.; Kim, J.; Barissov, T.; Tsoy, V. Nonlinear responses of energy storage pile foundations with fiber reinforced concrete. Struct. Eng. Mech. 2019, 71, 363–375. [Google Scholar]
- Zhang, D.; Kim, J.; Tulebekova, S.; Saliyev, D.; Lee, D.H. Structural responses of reinforced concrete pile foundations subjected to pressures from compressed air for renewable energy storage. Int. J. Concr. Struct. Mater. 2018, 12, 74. [Google Scholar] [CrossRef]
- Zhang, D.; Mamesh, Z.; Sailauova, D.; Shon, C.; Lee, D.H.; Kim, J. Temperature Distributions Inside Concrete Sections of Renewable Energy Storage Pile Foundations. Appl. Sci. 2019, 9, 4776. [Google Scholar] [CrossRef]
- Laloui, L.; Nuth, M.; Vulliet, L. Experimental and numerical investigations of the behaviour of heat exchanger pile. Int. J. Numer. Anal. Methods Geomech. 2016, 30, 763–781. [Google Scholar] [CrossRef]
- Bourne-Webb, P.; Amatya, B.; Soga, K. A framework for understanding energy pile behaviour. Proc. Inst. Civ. Eng. Geotech. Eng. 2013, 166, 170–177. [Google Scholar] [CrossRef]
- Faizal, M.; Bouazza, A.; McCartney, J.S.; Haberfield, C. Effects of cyclic temperature variations on thermalresponse of an energy pile under a residential building. J. Geotech. Geoenviron. Eng. 2019, 145, 04019066. [Google Scholar] [CrossRef]
- Murphy, K.D.; McCartney, J.S.; Henry, K.S. Evaluation of thermo-mechanical and thermal behavior offull-scale energy foundations. Acta Geotech. 2015, 10, 179–195. [Google Scholar] [CrossRef]
- Di Donna, A.; Loria, A.F.R.; Laloui, L. Numerical study of the response of a group of energy piles underdifferent combinations of thermo-mechanical loads. Comput. Geotech. 2016, 72, 126–142. [Google Scholar] [CrossRef]
- Surayatriyastuti, M.; Mroueh, H.; Burlon, S. Numerical analysis of a thermo-active pile under cyclic thermalloads. In Proceedings of the European Geothermal Conference (EGC 2013), Pisa, Italy, 3–7 June 2013; pp. 1–8. [Google Scholar]
- Assunção, R.M. Thermal and Thermal-Mechanical Analysis of Thermo-Active Pile Foundations. Ph.D. Thesis, Instituto Superior Técnico, University of Lisbon, Lisbon, Portugal, 2014. [Google Scholar]
- Tsetoulidis, C.; Naskos, A.; Georgiadis, K. Numerical investigation of the mechanical behaviour of single energy piles and energy pile groups. In Proceedings of the 1st International Conference on Energy Geotechnics, Kiel, Germany, 29–31 August 2016; pp. 569–575. [Google Scholar] [CrossRef]
- Salciarini, D.; Ronchi, F.; Tamagnini, C. Thermo-hydro-mechanical response of a large piled raft equipped with energy piles: A parametric study. Acta Geotech. 2017, 12, 703–728. [Google Scholar] [CrossRef]
- Mimouni, T.; Laloui, L. Behaviour of a group of energy piles. Can. Geotech. J. 2015, 52, 1913–1929. [Google Scholar] [CrossRef]
- Ma, Q.; Wang, P. Underground solar energy storage via energy piles. Appl. Energy 2020, 261, 114361. [Google Scholar] [CrossRef]
- Olgun, C.G.; Ozudogru, T.Y.; Abdelaziz, S.L.; Senol, A. Long-term performance of heat exchanger piles. Acta Geotech. 2015, 10, 553–569. [Google Scholar] [CrossRef]
- Energy Storage Association, Compressed Air Energy Storage. 2020. Available online: http://energystorage.org/compressed-air-energy-storage-caes (accessed on 12 August 2020).
- Kodur, V. Properties of concrete at elevated temperatures. ISRN Civ. Eng. 2014, 1–15. [Google Scholar] [CrossRef]
- Choi, Y.S.; Lee, J.; Prezzi, M.; Salgado, R. Response of pile groups driven in sand subjected to combined loads. Geotech. Geol. Eng. 2017, 35, 1587–1604. [Google Scholar] [CrossRef]
- Noman, B.J.; Abd-Awn, S.H.; Abbas, H.O. Effect of Pile Spacing on Group Efficiency in Gypseous Soil. Civ. Eng. J. 2019, 5, 373–389. [Google Scholar] [CrossRef]
- Souri, A.; Abu-Farsakh, M.Y.; Voyiadjis, G.Z. Evaluating the effect of pile spacing and configuration on the lateral resistance of pile groups. Mar. Georesour. Geotech. 2020, 1–13. [Google Scholar] [CrossRef]
- Murthy, V.N.S. Advanced Foundations Engineering-Geotechnical Engineering Series; CBS Publisher & Distributors: New Delhi, India, 2010; pp. 251–534. [Google Scholar]
- Das, B. Principles of Foundation Engineering, 9th ed.; Cengage Learning: Stamford, CT, USA, 2011; pp. 617–619. [Google Scholar]
- Zhang, D.; Fleischman, R.B. Establishment of performance-based seismic design factors for precast concrete floor diaphragms. Earthq. Eng. Struct. Dyn. 2006, 45, 675–698. [Google Scholar] [CrossRef]
- Simulia Abaqus, “Abaqus CAE Theory Guide”. Available online: http://130.149.89.49:2080/v2016/books/stm/default.htm?startat=ch02s04ath19.html (accessed on 12 August 2020).
- Bektimirova, U.; Shon, C.; Zhang, D.; Sharafutdinov, E.; Kim, J. Proportioning and characterization of reactive powder concrete for an energy storage pile application. Appl. Sci. Switz. 2018, 8, 2507. [Google Scholar] [CrossRef]
- Brandl, H. Energy foundations and other thermo active ground structures. Geotechnique 2016, 56, 81–122. [Google Scholar] [CrossRef]
- Kodur, V.; Khaliq, W. Effect of temperature on thermal properties of different types of high-strength concrete. J. Mater. Civ. Eng. 2011, 23, 793–8011. [Google Scholar] [CrossRef]
- Shon, C.S.; Mukashev, T.; Lee, D.H.; Zhang, D.; Kim, J.R. Can Common Reed Become an Effective Construction Material? Physical, Mechanical, and Thermal Properties of Mortar Mixture Containing Common Reed Fiber. Sustainability 2019, 11, 903. [Google Scholar] [CrossRef]
- Lee, S.J.; Kim, K.Y.; Choi, J.C.; Kwon, T.H. Experimental investigation on the variation of thermal conductivity of soils with effective stress, porosity, and water saturation. Geomech. Eng. 2016, 11, 771–785. [Google Scholar] [CrossRef]
- Yoon, S.; Lee, S.R.; Go, G.H.; Jianfeng, X.; Park, H.; Park, D. Thermal transfer behavior in two types of W-shape ground heat exchangers installed in multilayer soils. Geomech. Eng. 2014, 6, 79–98. [Google Scholar] [CrossRef]
- Thomas, H.R.; Rees, S.W. Measured and simulated heat transfer to foundation soils. Géotechnique 2009, 59, 365–375. [Google Scholar] [CrossRef]
- Haigh, S.K. Thermal conductivity of sands. Geotechnique 2012, 62, 617–625. [Google Scholar] [CrossRef]


















| Parameters | Definitions | Adopted values |
|---|---|---|
| R | Universal gas constant | 8.31 J/(mol⋅K) |
| T1 | Ambient temperature | 20 °C |
| C | Thermal constant | 10.89 |
| tin | Compressing time | 3600 s |
| ρi | The initial density of air | 1.2 kg/m3 |
| μ | The molar mass of air | 0.029 |
| η1 | Efficiency of compression | 75% |
| η 2 | The efficiency of heat exchange and storage | 90% |
© 2020 by the authors. Licensee MDPI, Basel, Switzerland. This article is an open access article distributed under the terms and conditions of the Creative Commons Attribution (CC BY) license (http://creativecommons.org/licenses/by/4.0/).
Share and Cite
Sailauova, D.; Mamesh, Z.; Zhang, D.; Lee, D.; Shon, C.-S.; Kim, J.R. Group Pile Effect on Temperature Distributions inside Energy Storage Pile Foundations. Appl. Sci. 2020, 10, 6597. https://doi.org/10.3390/app10186597
Sailauova D, Mamesh Z, Zhang D, Lee D, Shon C-S, Kim JR. Group Pile Effect on Temperature Distributions inside Energy Storage Pile Foundations. Applied Sciences. 2020; 10(18):6597. https://doi.org/10.3390/app10186597
Chicago/Turabian StyleSailauova, Dilnura, Zhamilya Mamesh, Dichuan Zhang, Deuckhang Lee, Chang-Seon Shon, and Jong R. Kim. 2020. "Group Pile Effect on Temperature Distributions inside Energy Storage Pile Foundations" Applied Sciences 10, no. 18: 6597. https://doi.org/10.3390/app10186597
APA StyleSailauova, D., Mamesh, Z., Zhang, D., Lee, D., Shon, C.-S., & Kim, J. R. (2020). Group Pile Effect on Temperature Distributions inside Energy Storage Pile Foundations. Applied Sciences, 10(18), 6597. https://doi.org/10.3390/app10186597

