Accelerated System-Level Seismic Risk Assessment of Bridge Transportation Networks through Artificial Neural Network-Based Surrogate Model
Abstract
Featured Application
Abstract
1. Introduction
2. Proposed Method
2.1. Conventional Monte Carlo Simulation (MCS) Framework for Direct Calculation
2.2. Artificial Neural Network (ANN) Model
2.3. Proposed ANN-Based Surrogate Model
3. Application Example
3.1. Description of Target Bridge Transportation Network
3.2. Uncertain Magnitude and Location of Epicenter for Probabilistic Seismic Hazard Analysis (PSHA)
3.3. Construction of ANN-Based Surrogate Model
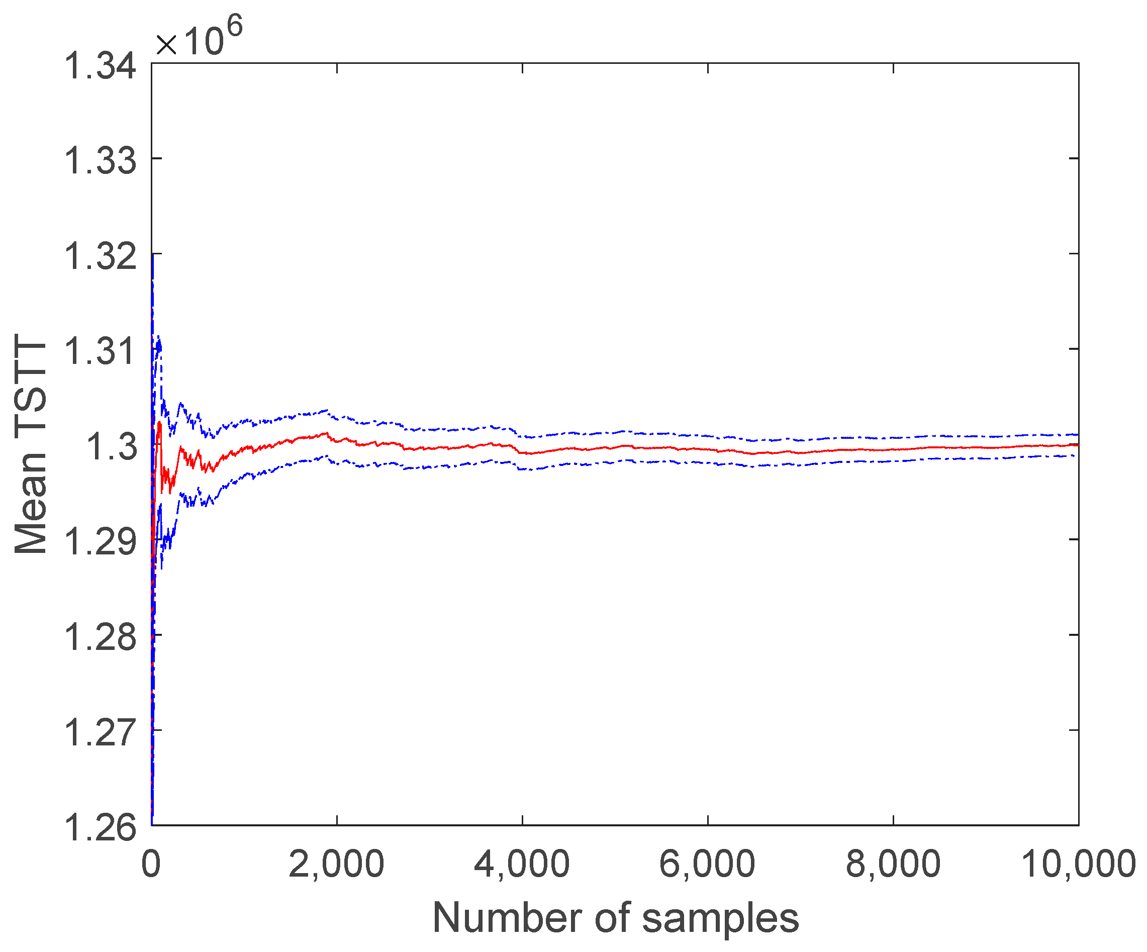
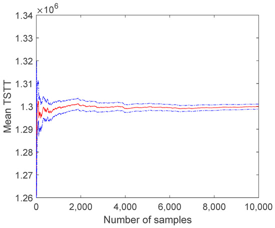
3.4. Analysis Results
4. Conclusions
Author Contributions
Funding
Acknowledgments
Conflicts of Interest
References
- Kim, J.; Deshmukh, A.; Hastak, M. A framework for assessing the resilience of a disaster debris management system. Int. J. Disaster Risk Reduct. 2018, 28, 674–687. [Google Scholar] [CrossRef]
- Yoon, S.; Lee, Y.-J.; Jung, H.-J. A comprehensive framework for seismic risk assessment of urban water transmission networks. Int. J. Disaster Risk Reduct. 2018, 31, 983–994. [Google Scholar] [CrossRef]
- Esposito, S.; Iervolino, I.; d’Onofrio, A.; Santo, A.; Cavalieri, F.; Franchin, P. Simulation-based seismic risk assessment of gas distribution networks. Comput. Aided Civ. Infrastruct. Eng. 2015, 30, 508–523. [Google Scholar] [CrossRef]
- Nuti, C.; Rasulo, A.; Vanzi, I. Seismic safety evaluation of electric power supply at urban level. Earthq. Eng. Struct. Dyn. 2007, 36, 245–263. [Google Scholar] [CrossRef]
- Dueñas-Osorio, L.; Craig, J.I.; Goodno, B.J. Seismic response of critical interdependent networks. Earthq. Eng. Struct. Dyn. 2007, 36, 285–306. [Google Scholar] [CrossRef]
- Rokneddin, K.; Ghosh, J.; Dueñas-Osorio, L.; Padgett, J.E. Bridge retrofit prioritisation for ageing transportation networks subject to seismic hazards. Struct. Infrastruct. Eng. 2013, 9, 1050–1066. [Google Scholar] [CrossRef]
- Kang, W.-H.; Song, J.; Gardoni, P. Matrix-based system reliability method and applications to bridge networks. Reliab. Eng. Syst. Saf. 2008, 93, 1584–1593. [Google Scholar] [CrossRef]
- Yoon, S.; Lee, Y.-J.; Jung, H.-J. A comprehensive approach to flow-based seismic risk analysis of water transmission network. Struct. Eng. Mech. 2020, 73, 339–351. [Google Scholar]
- Shi, P.; O’Rourke, T.D. Seismic Response Modeling of Water Supply Systems; Multidisciplinary Center for Earthquake Engineering Research: Buffalo, NY, USA, 2008. [Google Scholar]
- Wang, Y.; O’Rourke, T.D. Seismic Performance Evaluation of Water Supply Systems; Multidisciplinary Center for Earthquake Engineering Research: Buffalo, NY, USA, 2008. [Google Scholar]
- Nuti, C.; Rasulo, A.; Vanzi, I. Seismic safety of network structures and infrastructures. Struct. Infrastruct. Eng. 2010, 6, 95–110. [Google Scholar] [CrossRef]
- Choi, E.; Song, J. Development of Multi-Group Non-dominated Sorting Genetic Algorithm for identifying critical post-disaster scenarios of lifeline networks. Int. J. Disaster Risk Reduct. 2019, 41, 101299. [Google Scholar] [CrossRef]
- Tak, H.-Y.; Suh, W.; Lee, Y.-J. System-Level Seismic Risk Assessment of Bridge Transportation Networks Employing Probabilistic Seismic Hazard Analysis. Math. Probl. Eng. 2019, 2019, 6503616. [Google Scholar] [CrossRef]
- Lee, Y.-J.; Song, J.; Gardoni, P.; Lim, H.-W. Post-hazard flow capacity of bridge transportation network considering structural deterioration of bridges. Struct. Infrastruct. Eng. 2011, 7, 509–521. [Google Scholar] [CrossRef]
- Sharma, S.; Mathew, T.V. Multiobjective network design for emission and travel-time trade-off for a sustainable large urban transportation network. Environ. Plan. B Plan. Des. 2011, 38, 520–538. [Google Scholar] [CrossRef]
- Chang, L. Transportation System Modeling and Applications in Earthquake Engineering; Mid-America Earthquake (MAE) Center: Urbana, IL, USA, 2010. [Google Scholar]
- Kim, Y.-S.; Spencer, B.F., Jr.; Elnashai, A.S. Seismic Loss Assessment and Mitigation for Critical Urban Infrastructure Systems; Newmark Structural Engineering Laboratory, University of Illinois at Urbana: Urbana, IL, USA, 2008; ISSN 1940-9826. [Google Scholar]
- Yoon, S.; Lee, Y.-J.; Jung, H.-J. Flow-Based Optimal System Design of Urban Water Transmission Network under Seismic Conditions. Water Resour. Manag. 2020, 34, 1971–1990. [Google Scholar] [CrossRef]
- Stern, R.E.; Song, J.; Work, D.B. Accelerated Monte Carlo system reliability analysis through machine-learning-based surrogate models of network connectivity. Reliab. Eng. Syst. Saf. 2017, 164, 1–9. [Google Scholar] [CrossRef]
- Dueñas-Osorio, L.; Rojo, J. Reliability assessment of lifeline systems with radial topology. Comput. Aided Civ. Infrastruct. Eng. 2011, 26, 111–128. [Google Scholar] [CrossRef]
- Kang, W.-H.; Lee, Y.-J.; Zhang, C. Computer-aided analysis of flow in water pipe networks after a seismic event. Math. Probl. Eng. 2017, 2017, 2017046. [Google Scholar] [CrossRef]
- Song, J.; Kang, W.-H. System reliability and sensitivity under statistical dependence by matrix-based system reliability method. Struct. Saf. 2009, 31, 148–156. [Google Scholar] [CrossRef]
- Li, J.; He, J. A recursive decomposition algorithm for network seismic reliability evaluation. Earthq. Eng. Struct. Dyn. 2002, 31, 1525–1539. [Google Scholar] [CrossRef]
- Li, J.; Qian, Y.; Liu, W. Minimal cut-based recursive decomposition algorithm for seismic reliability evaluation of lifeline networks. Earthq. Eng. Eng. Vib. 2007, 6, 21. [Google Scholar] [CrossRef]
- Lim, H.W.; Song, J. Efficient risk assessment of lifeline networks under spatially correlated ground motions using selective recursive decomposition algorithm. Earthq. Eng. Struct. Dyn. 2012, 41, 1861–1882. [Google Scholar] [CrossRef]
- Liu, W.; Li, J. An improved recursive decomposition algorithm for reliability evaluation of lifeline networks. Earthq. Eng. Eng. Vib. 2009, 8, 409–419. [Google Scholar] [CrossRef]
- Der Kiureghian, A.; Song, J. Multi-scale reliability analysis and updating of complex systems by use of linear programming. Reliab. Eng. Syst. Saf. 2008, 93, 288–297. [Google Scholar] [CrossRef]
- Song, J.; Ok, S.Y. Multi-scale system reliability analysis of lifeline networks under earthquake hazards. Earthq. Eng. Struct. Dyn. 2010, 39, 259–279. [Google Scholar] [CrossRef]
- Rizzo, P.; Lanza di Scalea, F. Wavelet-based feature extraction for automatic defect classification in strands by ultrasonic structural monitoring. Smart Struct. Syst. 2006, 2, 253–274. [Google Scholar] [CrossRef]
- Akin, O.; Sahin, M. Active neuro-adaptive vibration suppression of a smart beam. Smart Struct. Syst. 2017, 20, 657–668. [Google Scholar]
- Kim, J.-T.; Park, J.-H.; Koo, K.-Y.; Lee, J.-J. Acceleration-based neural networks algorithm for damage detection in structures. Smart Struct. Syst. 2008, 4, 583–603. [Google Scholar] [CrossRef]
- Peng-hui, L.; Hong-ping, Z.; Hui, L.; Shun, W. Structural damage identification based on genetically trained ANNs in beams. Smart Struct. Syst. 2015, 15, 227–244. [Google Scholar]
- Nguyen, D.H.; Bui, T.T.; De Roeck, G.; Wahab, M.A. Damage detection in Ca-Non Bridge using transmissibility and artificial neural networks. Struct. Eng. Mech. 2019, 71, 175–183. [Google Scholar]
- Hakim, S.; Razak, H.A. Modal parameters based structural damage detection using artificial neural networks-a review. Smart Struct. Syst. 2014, 14, 159–189. [Google Scholar] [CrossRef]
- Onat, O.; Gul, M. Application of artificial neural networks to the prediction of out-of-plane response of infill walls subjected to shake table. Smart Struct. Syst. 2018, 21, 521–535. [Google Scholar]
- Shahbazi, Y.; Delavari, E.; Chenaghlou, M.R. Predicting the buckling load of smart multilayer columns using soft computing tools. Smart Struct. Syst. 2014, 13, 81–98. [Google Scholar] [CrossRef]
- FEMA. Multi-Hazard Loss Estimation Methodology Earthquake Model, HAZUS-MH MR3 Technical Manual; Department of Homeland Security, Federal Emergency Management Agency: Washington, DC, USA, 2003.
- Moon, D.-S.; Lee, Y.-J.; Lee, S. Fragility analysis of space reinforced concrete frame structures with structural irregularity in plan. J. Struct. Eng. 2018, 144, 04018096. [Google Scholar] [CrossRef]
- Emolo, A.; Sharma, N.; Festa, G.; Zollo, A.; Convertito, V.; Park, J.H.; Chi, H.C.; Lim, I.S. Ground-motion prediction equations for South Korea Peninsula. Bull. Seismol. Soc. Am. 2015, 105, 2625–2640. [Google Scholar] [CrossRef]
- Boore, D.M.; Gibbs, J.F.; Joyner, W.B.; Tinsley, J.C.; Ponti, D.J. Estimated ground motion from the 1994 Northridge, California, earthquake at the site of the Interstate 10 and La Cienega Boulevard bridge collapse, West Los Angeles, California. Bull. Seismol. Soc. Am. 2003, 93, 2737–2751. [Google Scholar] [CrossRef]
- Wagener, T.; Goda, K.; Erdik, M.; Daniell, J.; Wenzel, F. A spatial correlation model of peak ground acceleration and response spectra based on data of the Istanbul earthquake rapid response and early warning system. Soil Dyn. Earthq. Eng. 2016, 85, 166–178. [Google Scholar] [CrossRef]
- Sokolov, V.; Wenzel, F.; Kuo-Liang, W. Uncertainty and spatial correlation of earthquake ground motion in Taiwan. TAO Terr. Atmos. Ocean. Sci. 2010, 21, 9. [Google Scholar] [CrossRef]
- Cimellaro, G.P.; De Stefano, A.; Reinhorn, A.M. Intra-event spatial correlation of ground motion using L’Aquila earthquake ground motion data. In Proceedings of the 3rd ECCOMAS Thematic Conference on Computational Methods in Structural Dynamics and Earthquake Engineering, Corfu, Greece, 25–28 May 2011; pp. 3091–3108. [Google Scholar]
- Goda, K.; Hong, H.-P. Spatial correlation of peak ground motions and response spectra. Bull. Seismol. Soc. Am. 2008, 98, 354–365. [Google Scholar] [CrossRef]
- Kang, S.; Kim, B.; Bae, S.; Lee, H.; Kim, M. Earthquake-induced ground deformations in the low-seismicity region: A case of the 2017 M5. 4 Pohang, South Korea, earthquake. Earthq. Spectra 2019, 35, 1235–1260. [Google Scholar] [CrossRef]
- Lee, S.; Kim, B.; Lee, Y.-J. Seismic fragility analysis of steel liquid storage tanks using earthquake ground motions recorded in Korea. Math. Probl. Eng. 2019, 2019, 6190159. [Google Scholar] [CrossRef]
- Statistic Korea. Results of the 2015 Population and Housing Census (Internal Migration, Commuting and Activity Constraint); Statics Korea: Daejeon, Korea, 2017.
- Gutenberg, B.; Richter, C.F. Frequency of earthquakes in California. Bull. Seismol. Soc. Am. 1944, 34, 185–188. [Google Scholar]
- Baker, J.W. An introduction to probabilistic seismic hazard analysis (PSHA). White Pap. Version 2008, 1, 72. [Google Scholar]













| Damage State | Reduced Capacity |
|---|---|
| Complete damage | 0% |
| Extensive damage | 25% |
| Moderate damage | 50% |
| Slight damage | 75% |
| No damage | 100% |
| Network Properties | Utilized Function or Value |
|---|---|
| Network input dimensions (output dimensions) | 48(1) |
| Network type | Feed-forward backpropagation |
| Training function | Scaled conjugate gradient backpropagation |
| Adaption learning function | Gradient descent with momentum weight and bias learning function |
| Performance function | Mean squared error |
| Number of layers | 20 |
| Number of neurons | 20 |
| Transfer function | Hyperbolic tangent sigmoid transfer function |
© 2020 by the authors. Licensee MDPI, Basel, Switzerland. This article is an open access article distributed under the terms and conditions of the Creative Commons Attribution (CC BY) license (http://creativecommons.org/licenses/by/4.0/).
Share and Cite
Yoon, S.; Kim, J.; Kim, M.; Tak, H.-Y.; Lee, Y.-J. Accelerated System-Level Seismic Risk Assessment of Bridge Transportation Networks through Artificial Neural Network-Based Surrogate Model. Appl. Sci. 2020, 10, 6476. https://doi.org/10.3390/app10186476
Yoon S, Kim J, Kim M, Tak H-Y, Lee Y-J. Accelerated System-Level Seismic Risk Assessment of Bridge Transportation Networks through Artificial Neural Network-Based Surrogate Model. Applied Sciences. 2020; 10(18):6476. https://doi.org/10.3390/app10186476
Chicago/Turabian StyleYoon, Sungsik, Jeongseob Kim, Minsun Kim, Hye-Young Tak, and Young-Joo Lee. 2020. "Accelerated System-Level Seismic Risk Assessment of Bridge Transportation Networks through Artificial Neural Network-Based Surrogate Model" Applied Sciences 10, no. 18: 6476. https://doi.org/10.3390/app10186476
APA StyleYoon, S., Kim, J., Kim, M., Tak, H.-Y., & Lee, Y.-J. (2020). Accelerated System-Level Seismic Risk Assessment of Bridge Transportation Networks through Artificial Neural Network-Based Surrogate Model. Applied Sciences, 10(18), 6476. https://doi.org/10.3390/app10186476

