Development of F-N-C-O Taguchi Method for Robust Measurement System Using a Case Study of T-Peel Test on Adhesion Strength
Abstract
1. Introduction
2. State-of-the-Art Methodology
2.1. The Need of Revised Standard
2.2. P-Diagram of T-Peel Test
3. Experimental Results
4. Discussions
4.1. Function System (F)
4.2. Noise System (N)
4.3. Control System (C)
4.4. Optimization (O) System
5. Conclusions
Author Contributions
Funding
Acknowledgments
Conflicts of Interest
References
- Taguchi, G.; Chowdhury, S.; Wu, Y. Taguchi’s Quality Engineering Handbook; John Wiley & Sons Inc.: Hoboken, NJ, USA, 2005. [Google Scholar]
- ASTM D1876-08(2015)e1 Standard Test Method for Peel Resistance of Adhesives (T-Peel Test). Available online: https://www.astm.org/Standards/D1876.htm (accessed on 13 May 2018).
- Finkelstein, L. Measurement and instrumentation science—An analytical review. Measurement 1994, 14, 3–14. [Google Scholar] [CrossRef]
- Finkelstein, L. Widely-defined measurement—An analysis of challenges. Measurement 2009, 42, 1270–1277. [Google Scholar] [CrossRef]
- Dasgupta, T.; Miller, A.; Wu, C.F.J. Robust Design of Measurement Systems. Technometrics 2010, 52, 80–93. [Google Scholar] [CrossRef]
- Yano, H. Metrological Control: Industrial Measurement Management; Asian Productivity Organization: Tokyo, Japan, 1991; pp. 417–421. [Google Scholar]
- Miller, A.; Wu, C.F.J. Parameter design for signal-response systems: a different look at Taguchi’s dynamic parameter design. Stat. Sci. 1996, 11, 122–136. [Google Scholar] [CrossRef]
- Dolah, R.; Miyagi, Z.; Bergman, B. Outliers Effect in Measurement Data for T-peel Adhesion Test using Robust Parameter Design. J. Teknol. 2014, 68. [Google Scholar] [CrossRef][Green Version]
- Dolah, R.; Miyagi, Z. Effect of Peel Side on Optimum Condition for Measuring Flexible Film Peel Strength in T-Peel Adhesion Test. J. Test. Eval. 2014, 42, 50–62. [Google Scholar] [CrossRef]
- Ferdous, W.; Manalo, A.; Aravinthan, T. Bond behaviour of composite sandwich panel and epoxy polymer matrix: Taguchi design of experiments and theoretical predictions. Constr. Build. Mater. 2017, 145, 76–87. [Google Scholar] [CrossRef]
- Ramalho, L.; Campilho, R.; Belinha, J.; Da Silva, L. Static strength prediction of adhesive joints: A review. Int. J. Adhes. Adhes. 2020, 96, 102451. [Google Scholar] [CrossRef]
- Jaiswal, P.; Hirulkar, N.; Papadakis, L.; Jaiswal, R.R.; Joshi, N.B.; Sundaram, K. Parametric study of non flat interface adhesively bonded joint. Mater. Today Proc. 2018, 5, 17654–17663. [Google Scholar] [CrossRef]
- Yang, X.; Yao, L.; Xia, Y.; Zhou, Q. Effect of base steels on mechanical behavior of adhesive joints with dissimilar steel substrates. Int. J. Adhes. Adhes. 2014, 51, 42–53. [Google Scholar] [CrossRef]
- Hsieh, T.; Hsu, C.; Wu, C.; Kao, J.-Y.; Hsu, C.-Y. Effects of deposition parameters on the structure and mechanical properties of high-entropy alloy nitride films. Curr. Appl. Phys. 2018, 18, 512–518. [Google Scholar] [CrossRef]
- O’Mahoney, D.; Katnam, K.; O’Dowd, N.P.; McCarthy, C.; Young, T.M. Taguchi analysis of bonded composite single-lap joints using a combined interface–adhesive damage model. Int. J. Adhes. Adhes. 2013, 40, 168–178. [Google Scholar] [CrossRef]
- Lélias, G.; Paroissien, E.; Lachaud, F.; Morlier, J. Experimental characterization of cohesive zone models for thin adhesive layers loaded in mode I, mode II, and mixed-mode I/II by the use of a direct method. Int. J. Solids Struct. 2019, 158, 90–115. [Google Scholar] [CrossRef]
- Chou, C.-S.; Liu, C.-L.; Chuang, W.-C. Optimum conditions for vulcanizing a fabric conveyor belt with better adhesive strength and less abrasion. Mater. Des. 2013, 44, 172–178. [Google Scholar] [CrossRef]
- Soykok, I.F. End geometry and pin-hole effects on axially loaded adhesively bonded composite joints. Compos. Part B Eng. 2015, 77, 129–138. [Google Scholar] [CrossRef]
- Ochieze, B.Q.; Nwobi-Okoye, C.C.; Atamuo, P.N. Experimental Study of the Effect of Wear Parameters on the Wear Behavior oh A356 Alloy/ Cow Horn Particulate Composites. Def. Technol. 2018, 14, 77–82. [Google Scholar] [CrossRef]
- Jefferson, A.J.; Arumugam, V.; Dhakal, H.N. Book Chapter 3: Key Stages of Adhesively Bonded Repairs. In Repair of Polymer Composites; Woodhead Publishing: Cambridge, UK, 2018; pp. 97–224. [Google Scholar]
- Pramanik, A.; Basak, A.K.; Dong, Y.; Sarker, P.K.; Chattopadhyaya, S. Joining of Carbon Fibre Reinforced Polymer (CRFP) Composites and Aluminium Alloys—A Review. Compos. Part A Appl. Sci. Manuf. 2017, 101, 1–29. [Google Scholar] [CrossRef]
- Imai, H. Expanding needs for metrological traceability and measurement uncertainty. Measurement 2013, 46, 2942–2945. [Google Scholar] [CrossRef]
- Javorsky, J.; Franchetti, M.; Zhang, H. Determining the optimal parameters of bonding polyvinylchloride to stainless steel in automotive applications with the use of full factorial design of experiment. CIRP J. Manuf. Sci. Technol. 2014, 7, 151–158. [Google Scholar] [CrossRef]
- Espie, A.W.; Rogerson, J.H.; Ebtehaj, K. Book Chapter 5: Some Examples of the Use of Quality Tools and Techniques, Applied to Adhesive Technology. In Quality Assurance in Adhesive Technology; Woodhead Publishing: Cambridge, UK, 1998; pp. 63–103. [Google Scholar]
- Katnam, K.; Da Silva, L.; Young, T.M. Bonded repair of composite aircraft structures: A review of scientific challenges and opportunities. Prog. Aerosp. Sci. 2013, 61, 26–42. [Google Scholar] [CrossRef]
- Taguchi, G.; Wu, Y. Introduction to Off-Line Quality Control; Central Japan Quality Control Association: Tokyo, Japan, 1985. [Google Scholar]
- Adhesives-Determination of Peel Strength of Bonded Assemblies—Part 3: Adhesive 180 Degree Peel Test for Flexible-to-Flexible Bonded Assemblies (T-Peel Test); Japanese Industrial Standard Handbook, JIS K 6854-3; Japanese Standards Association: Tokyo, Japan, 2008; pp. 147–149.
- ASTM. D1876-01: Standard Test Method for Peel Resistance of Adhesives (T-Peel Test); Section 15: General Products, Chemical Specialties, and End Use Products, Annual Book of ASTM Standards; ASTM International: West Consho-hocken, PA, USA, 2004. [Google Scholar]
- ASTM. D1781-98: Standard Test Method for Climbing Drum Peel for Adhesives; Section 15: General Products, Chemical Specialties, and End Use Products, Annual Book of ASTM Standards; ASTM International: West Consho-hocken, PA, USA, 2004. [Google Scholar]
- Wu, D.H.; Chien, W.T.; Tsai, Y.J. Applying Taguchi dynamic characteristics to the robust design of a piezoelectric sensor. IEEE Trans. Ultrason. Ferroelectr. Freq. Control 2005, 52, 480–486. [Google Scholar] [CrossRef] [PubMed]
- Tsai, H.-H.; Wu, D.H.; Chiang, T.-L.; Chen, H.H. Robust Design of SAW Gas Sensors by Taguchi Dynamic Method. Sensors (Basel) 2009, 9, 1394–1408. [Google Scholar] [CrossRef] [PubMed]
- Chen, L.-C.; Tsung, T.-T.; Chang, H.; Sun, J.-Y. Characterization and Optimization of Arc Spray Process Parameters for Synthesis of TiO2 Nanoparticles. Mater. Trans. 2004, 45, 3011–3017. [Google Scholar] [CrossRef]
- Dolah, R.; Miyagi, Z.; Tatebayashi, K. Quality Engineering Implementation in an Organization: A Brief Finding in QE Methodology. Int. J. Manag. Prod. Eng. Rev. 2012, 3, 26–34. [Google Scholar]
- Bergman, B.; Klefsjo, B. Customer-focused product development. In Quality from Customer Needs to Customer Satisfaction, 3rd ed.; Studentlitteratur AB: Lund, Sweden, 2010; pp. 107–123. [Google Scholar]
















| Control Factor | Unit | Level 1 | Level 2 | Level 3 | 
|---|---|---|---|---|
| A: Tensile weight | g | 4 | 8 | |
| B: Peel angle | ° | 60 | 90 | 120 | 
| C: Peel speed | mm/s | 6 | 9 | 12 | 
| D: Data region | % | 30 | 50 | 70 | 
| E: Spring thickness | mm | 0.3 | 0.4 | 0.5 | 
| F: Module of spur gear | d/z | 0.5 | 1 | 2 | 
| G: Drum diameter | mm | 20 | 30 | 40 | 
| Signal Factor | Levels | |||
| M: Specimen width | mm | 5 | 10 | 15 | 
| Noise Factor | Level N1 | Level N2 | ||
| Peel angle | θ | 2 | −2 | |
| Peel strength sampling | N | Maximum | Minimum | 
| 5 mm | 10 mm | 15 mm | SNR | Sensitivity | |||||||||||
|---|---|---|---|---|---|---|---|---|---|---|---|---|---|---|---|
| Run # | A | B | C | D | E | F | G | N1 | N2 | N1 | N2 | N1 | N2 | ||
| 1 | 1 | 1 | 1 | 1 | 1 | 1 | 1 | 4.45 | 4.53 | 8.51 | 8.97 | 13.51 | 12.94 | 11.20 | −1.10 | 
| 2 | 1 | 1 | 2 | 2 | 2 | 2 | 2 | 6.31 | 6.12 | 12.94 | 11.95 | 18.83 | 18.15 | 10.06 | 1.85 | 
| 3 | 1 | 1 | 3 | 3 | 3 | 3 | 3 | 8.79 | 8.46 | 16.96 | 16.43 | 24.57 | 23.88 | 10.27 | 4.29 | 
| 4 | 1 | 2 | 1 | 1 | 2 | 2 | 3 | 8.39 | 8.08 | 16.50 | 15.72 | 24.08 | 23.36 | 11.55 | 4.05 | 
| 5 | 1 | 2 | 2 | 2 | 3 | 3 | 1 | 3.94 | 3.57 | 7.98 | 7.50 | 11.53 | 10.82 | 7.12 | −2.46 | 
| 6 | 1 | 2 | 3 | 3 | 1 | 1 | 2 | 7.20 | 7.05 | 13.81 | 13.52 | 19.73 | 18.91 | 6.76 | 2.41 | 
| 7 | 1 | 3 | 1 | 2 | 1 | 3 | 2 | 6.38 | 6.38 | 13.28 | 12.74 | 18.97 | 17.83 | 6.91 | 1.95 | 
| 8 | 1 | 3 | 2 | 3 | 2 | 1 | 3 | 7.97 | 7.42 | 16.27 | 15.67 | 24.76 | 23.60 | 10.11 | 4.10 | 
| 9 | 1 | 3 | 3 | 1 | 3 | 2 | 1 | 3.93 | 3.75 | 7.51 | 7.28 | 11.33 | 11.10 | 14.44 | −2.53 | 
| 10 | 2 | 1 | 1 | 3 | 3 | 2 | 2 | 6.02 | 5.19 | 12.03 | 11.19 | 16.91 | 16.60 | 8.17 | 1.07 | 
| 11 | 2 | 1 | 2 | 1 | 1 | 3 | 3 | 9.79 | 8.95 | 17.92 | 17.28 | 26.98 | 25.29 | 7.46 | 4.89 | 
| 12 | 2 | 1 | 3 | 2 | 2 | 1 | 1 | 4.34 | 4.10 | 8.34 | 7.97 | 12.17 | 11.91 | 11.74 | −1.84 | 
| 13 | 2 | 2 | 1 | 2 | 3 | 1 | 3 | 7.75 | 7.23 | 15.14 | 14.34 | 22.10 | 21.12 | 9.52 | 3.25 | 
| 14 | 2 | 2 | 2 | 3 | 1 | 2 | 1 | 4.74 | 4.44 | 9.17 | 8.81 | 13.38 | 12.90 | 10.44 | −1.06 | 
| 15 | 2 | 2 | 3 | 1 | 2 | 3 | 2 | 6.77 | 6.23 | 12.82 | 12.51 | 19.25 | 18.54 | 11.87 | 2.04 | 
| 16 | 2 | 3 | 1 | 3 | 2 | 3 | 1 | 4.04 | 3.22 | 7.74 | 6.92 | 11.64 | 11.13 | 4.84 | −2.51 | 
| 17 | 2 | 3 | 2 | 1 | 3 | 1 | 2 | 5.95 | 5.52 | 12.22 | 11.56 | 17.84 | 17.09 | 9.90 | 1.36 | 
| 18 | 2 | 3 | 3 | 2 | 1 | 2 | 3 | 8.94 | 8.73 | 16.32 | 16.01 | 24.69 | 25.03 | 11.13 | 4.37 | 
| Type A | Condition | Estimated SNR (dB) | Confirmation SNR (dB) | 
|---|---|---|---|
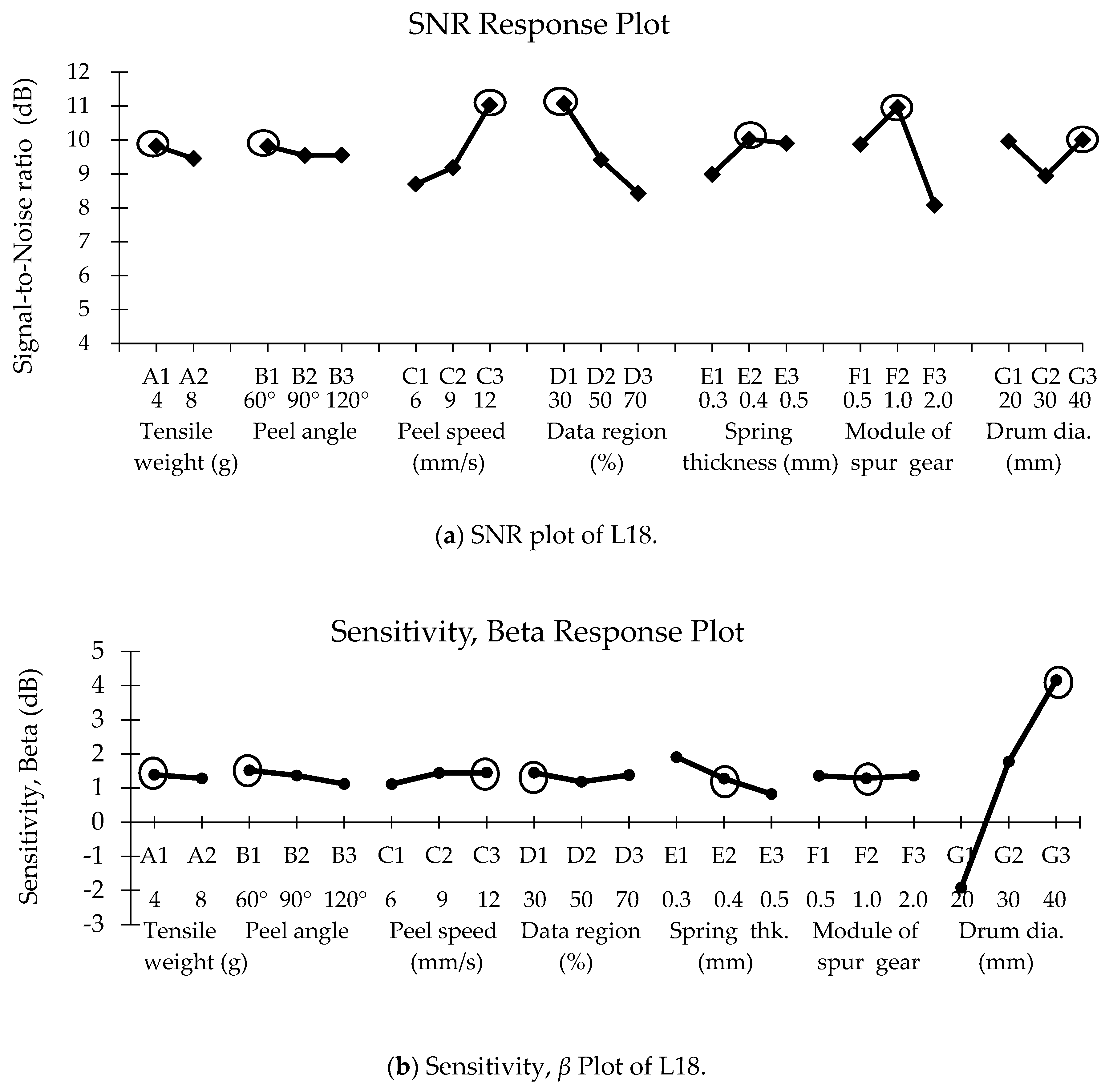
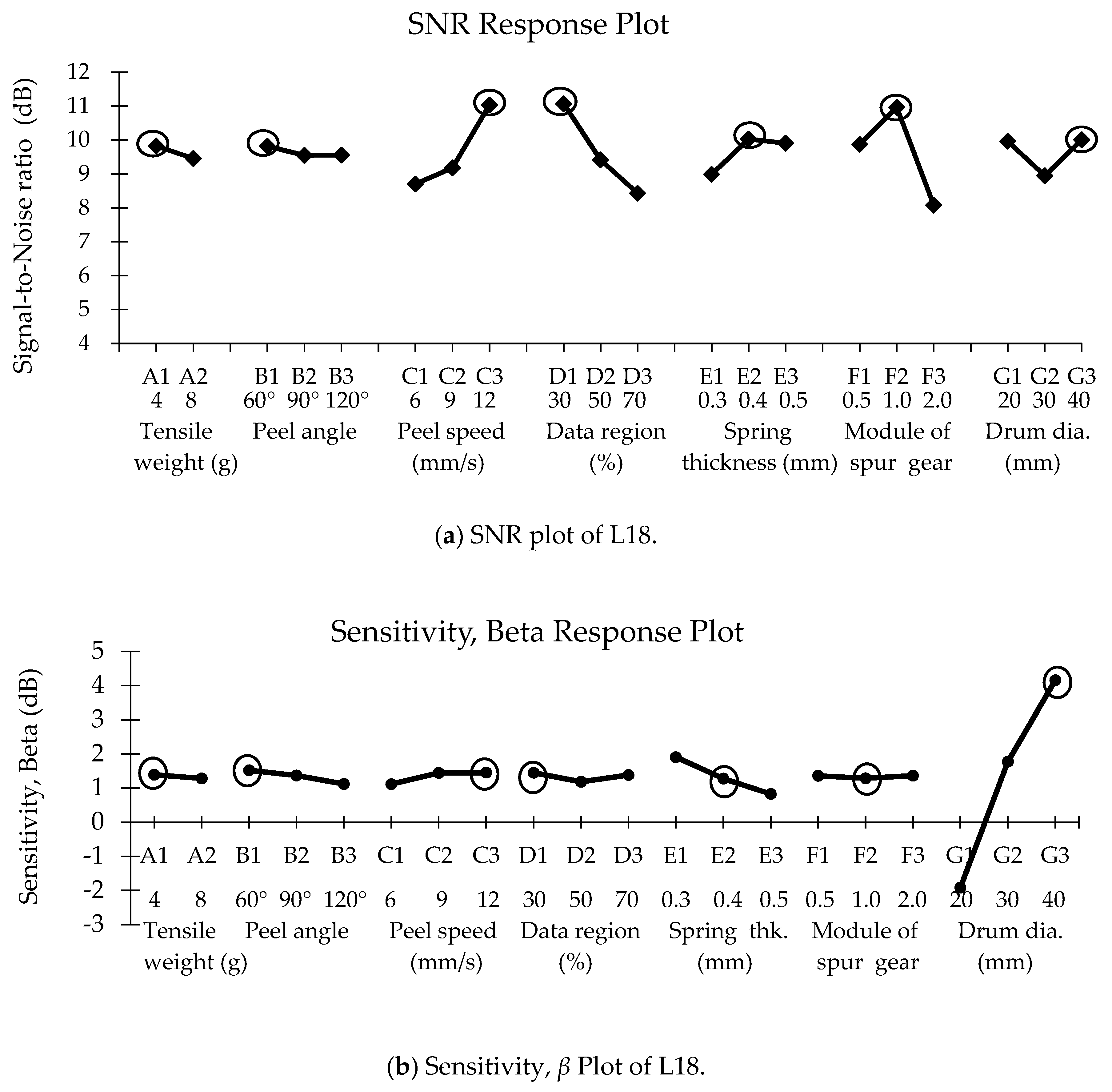
| Optimum | A1 B1 C3 D1 E2 F2 G3 | 14.91 | 14.82 | 
| Worst | A2 B2 C1 D3 E1 F3 G2 | 4.3 | 7.07 | 
| SNR dB Gain | 10.61 | 7.75 | |
© 2020 by the authors. Licensee MDPI, Basel, Switzerland. This article is an open access article distributed under the terms and conditions of the Creative Commons Attribution (CC BY) license (http://creativecommons.org/licenses/by/4.0/).
Share and Cite
Dolah, R.; Hassan, M.Z.; Krishnan, S.; Ramlie, F.; Din, M.F.M.; Jamaludin, K.R. Development of F-N-C-O Taguchi Method for Robust Measurement System Using a Case Study of T-Peel Test on Adhesion Strength. Appl. Sci. 2020, 10, 6203. https://doi.org/10.3390/app10186203
Dolah R, Hassan MZ, Krishnan S, Ramlie F, Din MFM, Jamaludin KR. Development of F-N-C-O Taguchi Method for Robust Measurement System Using a Case Study of T-Peel Test on Adhesion Strength. Applied Sciences. 2020; 10(18):6203. https://doi.org/10.3390/app10186203
Chicago/Turabian StyleDolah, Rozzeta, Mohamad Zaki Hassan, Santhana Krishnan, Faizir Ramlie, Mohd Fadhil Md Din, and Khairur Rijal Jamaludin. 2020. "Development of F-N-C-O Taguchi Method for Robust Measurement System Using a Case Study of T-Peel Test on Adhesion Strength" Applied Sciences 10, no. 18: 6203. https://doi.org/10.3390/app10186203
APA StyleDolah, R., Hassan, M. Z., Krishnan, S., Ramlie, F., Din, M. F. M., & Jamaludin, K. R. (2020). Development of F-N-C-O Taguchi Method for Robust Measurement System Using a Case Study of T-Peel Test on Adhesion Strength. Applied Sciences, 10(18), 6203. https://doi.org/10.3390/app10186203
 
        



 
       