Next Article in Journal
A Hybrid Diffractive Optical Element Design Algorithm Combining Particle Swarm Optimization and a Simulated Annealing Algorithm
Next Article in Special Issue
Ray Tracing Method of Gradient Refractive Index Medium Based on Refractive Index Step
Previous Article in Journal
Quick Response Circulating Water Cooling of ±3 mK Using Dynamic Thermal Filtering
Previous Article in Special Issue
Performance Modeling of Ultraviolet Atmospheric Scattering of Different Light Sources Based on Monte Carlo Method
 
 
Font Type:
Arial Georgia Verdana
Font Size:
Aa Aa Aa
Line Spacing:
Column Width:
Background:
Article

Wave Structure Function and Long-Exposure MTF for Gaussian-Beam Waves Propagating in Anisotropic Maritime Atmospheric Turbulence

1
School of Computer Science and Engineering, Huizhou University, Huizhou 516007, China
2
Department of Electronic Information and Communication Engineering, Applied Technology College of Soochow University, Suzhou 215325, China
3
Department of Electronic Engineering, CAIIT, Jeonbuk National University, Jeonju 54896, Korea
*
Author to whom correspondence should be addressed.
Equally contributed first author.
Appl. Sci. 2020, 10(16), 5484; https://doi.org/10.3390/app10165484
Submission received: 30 June 2020 / Revised: 1 August 2020 / Accepted: 4 August 2020 / Published: 7 August 2020
(This article belongs to the Special Issue Atmospheric Optics)

Abstract

The expressions of wave structure function (WSF) and long-exposure modulation transfer function (MTF) for laser beam propagation through non-Kolmogorov turbulence were derived in our previous work. In this paper, based on anisotropic maritime atmospheric non-Kolmogorov spectrum, the new analytic expression of WSF for Gaussian-beam waves propagation through turbulent atmosphere in a horizontal path is derived. Moreover, using this newly derived expression, long-exposure MTF for Gaussian-beam waves is obtained for analyzing the degrading effects in an imaging system. Using the new expressions, WSF and MTF for Gaussian-beam waves propagating in terrestrial and maritime atmospheric turbulence are evaluated. The simulation results show that Gaussian-beam waves propagation through maritime turbulence obtain more degrading effects than terrestrial turbulence due to the humidity and temperature fluctuations. Additionally, the degrading effects under anisotropic turbulence get less loss than that of isotropic turbulence.

1. Introduction

Beam spreading that is caused by atmospheric turbulence occupies a very important position in free space optics communication systems, because it determines the loss of the power at the receiver plane [1]. For the optical waves propagating in terrestrial or high altitude atmospheric turbulence, the classic Kolmogorov model has been widely used in theoretical research due to its simple mathematical form [2,3,4]. Over the years, the Kolmogorov model is extended and several non-Kolmogorov turbulence models have been also proposed [5,6,7,8,9]. Toselli is one of them and he analyzes the angle of arrival fluctuations by using the generalized exponent factor α instead of the standard exponent value 11/3 [5] and the anisotropic factor is also used to describe the anisotropy of the atmosphere turbulence [6]. In addition, there are also numerous studies on beam wanders, loss of spatial coherence, and the angle of arrival fluctuation [10,11,12,13,14], which are all related to the random fluctuation of optical waves propagating through terrestrial turbulence.
The atmosphere above the lake or ocean which is called maritime atmosphere gets different effects on the laser beam propagation in the turbulence due to its humidity and temperature fluctuations. In recent years, because Grayshana et al. proposed a new marine atmospheric spectrum that can fit the marine environment [15], more research attention is drawn to the theoretical survey of optical wave propagation in maritime atmospheric turbulence [16,17,18,19,20,21]. Korotkova et al. evaluated the probability density function of the intensity for the optical wave propagating through the maritime environment [16]; Khannous et al. did the research on the effect of turbulent atmosphere on Li’s Flattened Gaussian beams [17]. Cheng et al. evolved receiver-aperture-averaged scintillation index for Gaussian waves by extending the power spectrum on non-Kolmogorov maritime atmospheric turbulence [18]. Using this non-Kolmogorov power spectrum, Golmohammady et al. derived on-axis scintillation index and analyzed the bit error rate of a partially coherent flat-topped optical wave [19]; Ma el al. obtained the spreading properties of multi-Gaussian Schell-model beam array [20]; Guan and Choi developed the temporal phase covariance of the plane and spherical waves for evaluating the temporal frequency spread when the optical wave propagating through the terrestrial and maritime atmospheric turbulence [21].
Recently, the degrading effects of laser beam propagation through turbulent atmosphere have attracted researchers’ attention. These effects can be determined by the wave structure function (WSF) and the long-exposure modulation transfer function (MTF). Lu has derived new expressions of plane and spherical waves for the WSF to analyze the spatial coherence radius when the optical waves propagate through a homogeneous and isotropic oceanic turbulence [22]. Cui et al. have derived the long-exposure MTFs, angle-of-arrival fluctuations, and irradiance fluctuations for plane waves and spherical waves propagating through anisotropic non-Kolmogorov atmospheric turbulence [23] and maritime atmospheric turbulence [24,25]; Kotiang and Choi also have derived a new long-exposure MTF for Gaussian-beam waves propagating through isotropic non-Kolmogorov atmospheric turbulence [26]. However, study of the WSF and long-exposure MTF of Gaussian-beam waves propagating in anisotropic maritime atmospheric turbulence has not been reported, so far. Hence, in this study using the power spectrum proposed by Cheng et al. in [18], we will derive new WSF and long-exposure MTF expressions for the Gaussian-beam waves that propagate in the anisotropic non-Kolmogorov maritime atmospheric turbulence. The WSF and degrading effects of Gaussian-beam waves under terrestrial and maritime atmospheric turbulence are also evaluated. The evaluations are performed by using sets of numerical simulations and the degrading effects are analyzed in terms of the transmitter beam parameters, Fresnel ratio Λ 0 , and the curvature parameter Θ 0 . In addition, the influences of the power law exponent α , the turbulence strength σ R 2 , the turbulence scale L 0 , and the anisotropic factor, ζ , are also carefully analyzed.

2. Anisotropic Maritime Atmospheric Spectrum

Based on the Hill spectrum, Andrews [27] has developed a modified atmospheric spectrum, which follows the form of von Karman spectrum and includes an outer scale factor. The Andrews’ power spectrum is given, as follows:
Φ n ( κ ) = 0.033 C n 2 exp ( κ 2 / κ l 2 ) ( κ 2 + κ 0 2 ) 11 / 6 1 + a 1 ( κ / κ l ) + a 2 ( κ / κ l ) 7 / 6 ,
where κ is the scalar spatial wave number; C n 2 is refractive-index structure parameter in m 2 / 3 ; κ l = 3.3 / l 0 ; κ 0 = 2 π / L 0 ; l 0 and L 0 are inner scale and outer scale parameters; a 1 = 1.802 and a 2 = 0.254 . To study the effects of optical wave propagation through the marine environment, a new maritime atmospheric power spectrum is proposed for the weak optical turbulence for small inner scale values by changing the coefficient’s value as a 1 = 0.061 and a 2 = 2.836 [15].
Cheng et al. [18] have extended this spectrum considering a non-Kolmogorov turbulence and the power spectrum is defined, as follows:
Φ n ( κ , α ) = A ( α ) C n 2 ˜ [ 1 + a 1 κ κ H + a 2 ( κ κ H ) 3 α 2 ] [ κ 2 + κ 0 2 ] α 2 exp ( κ 2 κ H 2 ) ,
where α is the power law exponent; C ˜ n 2 is the generalized structure parameter with m 3 α as its unit; κ H = c ( α ) / l 0 . The function A ( α ) maintains the consistency between the index structure function and its power spectrum.
A ( α ) = 1 4 π 2 Γ ( α 1 ) cos α π 2 ,
C ( α ) = π A ( α ) Γ ( 3 α 2 ) ( 3 α 3 ) + a 1 Γ ( 4 α 2 ) ( 4 α 3 ) + a 2 Γ ( 3 3 α 4 ) ( 4 α 2 ) 1 α 5 .
In this paper, we add the anisotropic parameter ζ in the power spectrum that s proposed in [18]. Subsequently, the anisotropic maritime refractive-index power spectrum can be written, as follows:
Φ n ( κ , α , ζ ) = A ( α ) C n 2 ˜ ζ 2 α [ 1 + a 1 κ κ H + a 2 ( κ κ H ) 3 α 2 ] [ κ 2 + κ ˜ 0 2 ] α 2 exp ( κ 2 κ ˜ H 2 ) , ( κ > 0 , 3 < α < 4 ) ,
where κ ˜ 0 2 = κ 0 2 / ζ 2 and κ ˜ H 2 = κ H 2 / ζ 2 .

3. Gaussian-Beam Wave Structure Function

The WSF that is associated with a Gaussian-beam waves is defined as the sum of the log-amplitude function and the phase structure function, which depends on the position of two observation points r 1 and r 2 . Regarding the special case r 1 = r 2 , the WSF of the Gaussian-beam wave can be written, as follows [1]:
D ( ρ , L ) = 8 π 2 k 2 L 0 1 0 κ Φ n ( κ , α , ζ ) exp ( Λ L κ 2 ξ 2 k ) I 0 ( Λ ρ ξ κ ) J 0 [ ( 1 Θ ¯ ξ ) κ ρ ] d κ d ξ .
where k = 2 π / λ is wave number of laser beam; ρ is scalar separation between two observation points; L is the propagation path length; Λ = 2 L / k W 2 is the Fresnel ratio of beam at receiver; Θ = 1 + L / R is the beam curvature parameter at receiver; R is the phase front radius of curvature; Θ ¯ = 1 Θ , Θ = Θ 0 Θ 0 2 + Λ 0 2 , Λ = Λ 0 Θ 0 2 + Λ 0 2 . Moreover, Θ 0 = 1 L / R 0 and Λ 0 = 2 L / k W 0 2 are beam curvature parameter and Fresnel ratio at transmitter, respectively. J 0 ( · ) is z e r o t h order of the Bessel function of the first kind and I 0 ( · ) is z e r o t h order of the modified Bessel function of the first kind [28]. Those are defined, as follows:
J 0 ( z ) = k = 0 ( 1 ) k ( z / 2 ) 2 k k ! Γ ( k + 1 ) , | z | <
I 0 ( z ) = J 0 ( i z ) = k = 0 ( z / 2 ) 2 k k ! Γ ( k + 1 ) , | z | <
For interpretation purpose, the WSF of the Gaussian-beam waves can be expressed as the sum of the longitudinal component d ( ρ , L ) and the radial component σ r 2 ( ρ , L ) . So that D ( ρ , L ) = d ( ρ , L ) + σ r 2 ( ρ , L ) . Those two components are defined, as follows:
d ( ρ , L ) = 8 π 2 k 2 L 0 1 0 κ Φ n ( κ , α , ζ ) exp ( Λ L κ 2 ξ 2 k ) [ 1 J 0 [ ( 1 Θ ¯ ξ ) κ ρ ] d κ d ξ ,
σ r 2 ( ρ , L ) = 8 π 2 k 2 L 0 1 0 κ Φ n ( κ , α , ζ ) exp ( Λ L κ 2 ξ 2 k ) [ I 0 ( Λ ρ ξ κ ) 1 ] d κ d ξ ,

3.1. Longitudinal Component of the WSF

First, consider the longitudinal component of the WSF. By substituting Equation (5) into Equation (9), under geometrical optics approximation exp ( Λ L κ 2 ξ 2 k ) 1 , and expanding J 0 ( · ) as Maclaurin series representation, the longitudinal component of the WSF can be expressed, as follows:
d ( ρ , L ) = 8 π 2 k 2 L A ( α ) C n 2 ˜ ζ 2 α n = 1 ( 1 ) n 1 n ! ( 1 ) n ( ρ 2 ) 2 n 0 1 ( 1 Θ ¯ ξ ) 2 n d ξ      × 0 κ 2 n + 1 ( κ 2 + κ ˜ 2 ) α 2 [ 1 + a 1 κ κ H ˜ + a 2 ( κ κ H ˜ ) 3 α 2 ] exp ( κ 2 κ ˜ H 2 ) d κ ,
One can use the confluent hypergeometric function of the second kind [28], which is defined, as follows:
U ( a ; c ; z ) = 1 Γ ( a ) 0 e z t t a 1 ( 1 + t ) c a 1 d t , a > 0 , Re ( z ) > 0
U ( a ; c ; z ) Γ ( 1 c ) Γ ( 1 + a c ) + Γ ( c 1 ) Γ ( a ) z 1 c , | z | 1 z a , Re ( z ) 1
The longitudinal component of the WSF for Gaussian beam wave can be expressed, as follows:
d ( ρ , L ) = 4 π 2 k 2 L A ( α ) C n 2 ˜ ζ 2 α { ρ 2 κ ˜ 0 4 α 12 Γ ( α 2 ) ( 1 + Θ + Θ 2 ) × [ Γ ( α 2 2 ) + b 1 Γ ( 5 2 ) Γ ( α 5 2 ) + b 2 Γ ( 14 α 4 ) Γ ( 3 α 14 4 ) ] + κ ˜ H 2 α Γ ( 1 α 2 ) [ 1 J 1 ( α ) 1 Θ + Θ J 2 ( α ) 1 Θ ] + a 1 κ ˜ H 2 α Γ ( 3 2 α 2 ) [ 1 J 3 ( α ) 1 Θ + Θ J 4 ( α ) 1 Θ ] + a 2 κ ˜ H 2 α Γ ( 5 2 3 α 4 ) [ 1 J 5 ( α ) 1 Θ + Θ J 6 ( α ) 1 Θ ] } ,
where Q H = ρ 2 κ ˜ H 2 / 4 , b 1 = a 1 κ ˜ 0 / κ ˜ H , b 2 = a 2 κ ˜ 0 3 α / 2 / κ ˜ H 3 α / 2 . J 1 ( α ) , J 2 ( α ) , J 3 ( α ) , J 4 ( α ) , J 5 ( α ) , J 6 ( α ) [28].
J 1 ( α ) = 2 F 2 ( 1 2 , 1 α 2 ; 3 2 , 1 ; Q H ) , J 2 ( α ) = 2 F 2 ( 1 2 , 1 α 2 ; 3 2 , 1 ; Q H Θ 2 ) , J 3 ( α ) = 2 F 2 ( 1 2 , 3 2 α 2 ; 3 2 , 1 ; Q H ) , J 4 ( α ) = 2 F 2 ( 1 2 , 3 2 α 2 ; 3 2 , 1 ; Q H Θ 2 ) , J 5 ( α ) = 2 F 2 ( 1 2 , 5 2 3 α 4 ; 3 2 , 1 ; Q H ) , J 6 ( α ) = 2 F 2 ( 1 2 , 5 2 3 α 4 ; 3 2 , 1 ; Q H Θ 2 ) ,

3.2. Radial Component of the WSF

Now, consider the radial component of the WSF of the Gaussian-beam waves. Here, one cannot use the same method used for the longitudinal component, because it can cause big errors. Therefore, we just substitute Equation (5) into Equation (10) and expand I 0 ( · ) as Maclaurin series representation and the radial component of the WSF can be expressed, as follows:
σ r 2 ( ρ , L ) = 8 π 2 k 2 L A ( α ) C n 2 ˜ ζ 2 α n = 1 ( Λ ρ 2 ) 2 n n ! ( 1 ) n 0 1 ξ 2 n d ξ 0 κ 2 n + 1 exp ( Λ L κ 2 ξ 2 k )      × ( κ 2 + κ ˜ 2 ) α 2 [ 1 + a 1 κ κ H ˜ + a 2 ( κ κ H ˜ ) 3 α 2 ] exp ( κ 2 κ ˜ H 2 ) d κ ,
By using Equation (12), we can obtain the radial component of the WSF for Gaussian-beam wave, and it is written, as follows:
σ r 2 ( ρ , L ) = 4 π 2 k 2 L A ( α ) C n 2 ˜ ζ 2 α n = 1 ( Λ ρ 2 ) 2 n n ! ( 1 ) n κ 0 2 n + ˜ 2 α 0 1 ξ 2 n d ξ × [ Γ ( n + 1 ) U ( n + 1 , n + 2 α 2 , κ ˜ 0 2 κ H 2 ˜ ( 1 + Λ T H ξ 2 ) ) + b 1 [ Γ ( n + 3 2 ) U ( n + 3 2 , n + 5 2 α 2 , κ ˜ 0 2 κ H 2 ˜ ( 1 + Λ T H ξ 2 ) ) + b 2 [ Γ ( n + 5 2 α 4 ) U ( n + 5 2 α 4 , n + 7 2 3 α 4 , κ ˜ 0 2 κ H 2 ˜ ( 1 + Λ T H ξ 2 ) ) ] ,
where T H = L κ H 2 ˜ / k . By using Equation (13), the final and new expression of the radial component of the WSF can be divided into two parts and the first part σ r 1 2 is rewritten, as follows:
σ r 1 2 ( ρ , L ) = 4 π 2 k 2 L A ( α ) C n 2 ˜ ζ 2 α n = 1 ( Λ ρ 2 ) 2 n n ! ( 2 n + 1 ) κ 0 2 n + ˜ 2 α × [ Γ ( α 2 n 1 ) Γ ( α 2 ) + b 1 Γ ( n + 3 2 ) Γ ( n + 1 ) Γ ( α 2 n 3 2 ) Γ ( α 2 ) + b 2 Γ ( n + 5 2 α 4 ) Γ ( n + 1 ) Γ ( 3 α 4 n 5 2 ) Γ ( α 2 ) ] ,
Equation (18) is further computed and simplified and it can be expressed, as follows:
σ r 1 2 ( ρ , L ) = 4 π 2 k 2 L A ( α ) C n 2 ˜ ζ 2 α Λ 2 ρ 2 κ 0 4 ˜ α 12 Γ ( α 2 ) × [ Γ ( α 2 2 ) + b 1 Γ ( 5 2 ) Γ ( α 5 2 ) + b 2 Γ ( 14 α 4 ) Γ ( 3 α 14 4 ) ] ,
Subsequently, the second part of the radial component σ r 2 2 can be expressed, as follows:
σ r 2 2 ( ρ , L ) = 4 π 2 k 2 L A ( α ) C n 2 ˜ ζ 2 α n = 1 ( Λ ρ 2 ) 2 n n ! ( 1 ) n κ 0 2 n + ˜ 2 α 0 1 ξ 2 n d ξ × { Γ ( n + 1 α 2 ) [ κ ˜ 0 2 κ H 2 ˜ ( 1 + Λ T H ξ 2 ) ] α 2 n 1 + b 1 Γ ( n + 3 2 α 2 ) [ κ ˜ 0 2 κ H 2 ˜ ( 1 + Λ T H ξ 2 ) ] α 2 n 3 2 + b 2 Γ ( n + 5 2 3 α 4 ) [ κ ˜ 0 2 κ H 2 ˜ ( 1 + Λ T H ξ 2 ) ] 3 α 4 n 5 2 } ,
One can use the hypergeometric function for rewriting the radial component and it is defined, as follows:
2 F 1 ( a , b ; c ; z ) = Γ ( c ) Γ ( b ) Γ ( c b ) 0 1 t b 1 ( 1 t ) c b 1 ( 1 z t ) a d t , c > b > 0 ,
Additionally, the second part of the radial component can be rewritten, as follows:
σ r 2 2 ( ρ , L ) = 4 π 2 k 2 L A ( α ) C n 2 ˜ ζ 2 α Λ 2 ρ 2 κ H 4 α ˜ 12 × [ Γ ( 2 α 2 ) M 1 ( α ) + a 1 Γ ( 5 α 2 ) M 2 ( α ) + a 2 Γ ( 14 3 α 4 ) M 3 ( α ) ] ,
M 1 ( α ) = 2 F 1 ( 2 α 2 , 3 2 ; 5 2 ; Λ T H ) , M 2 ( α ) = 2 F 1 ( 5 2 α 2 , 3 2 ; 5 2 ; Λ T H ) , M 3 ( α ) = 2 F 1 ( 7 2 3 α 4 , 3 2 ; 5 2 ; Λ T H ) .
The final expression of the WSF of Gaussian-beam waves is the sum of d ( ρ , L ) , σ r 1 2 and σ r 2 2 , and it is expressed as follows:
D ( ρ , L ) = 4 π 2 k 2 L A ( α ) C n 2 ˜ ζ 2 α { ρ 2 κ ˜ 0 4 α 12 Γ ( α 2 ) ( 1 + Θ + Θ 2 + Λ 2 ) × [ Γ ( α 2 2 ) + b 1 Γ ( 5 2 ) Γ ( α 5 2 ) + b 2 Γ ( 14 α 4 ) Γ ( 3 α 14 4 ) ] + κ ˜ H 2 α Γ ( 1 α 2 ) [ 1 J 1 ( α ) 1 Θ + Θ J 2 ( α ) 1 Θ ] + a 1 κ ˜ H 2 α Γ ( 3 2 α 2 ) [ 1 J 3 ( α ) 1 Θ + Θ J 4 ( α ) 1 Θ ] + a 2 κ ˜ H 2 α Γ ( 5 2 3 α 4 ) [ 1 J 5 ( α ) 1 Θ + Θ J 6 ( α ) 1 Θ ] + Λ 2 ρ 2 κ H 4 α ˜ 12 [ Γ ( 2 α 2 ) M 1 ( α ) + a 1 Γ ( 5 α 2 ) M 2 ( α ) + a 2 Γ ( 14 3 α 4 ) M 3 ( α ) ] } .
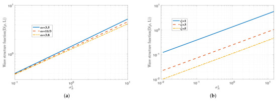
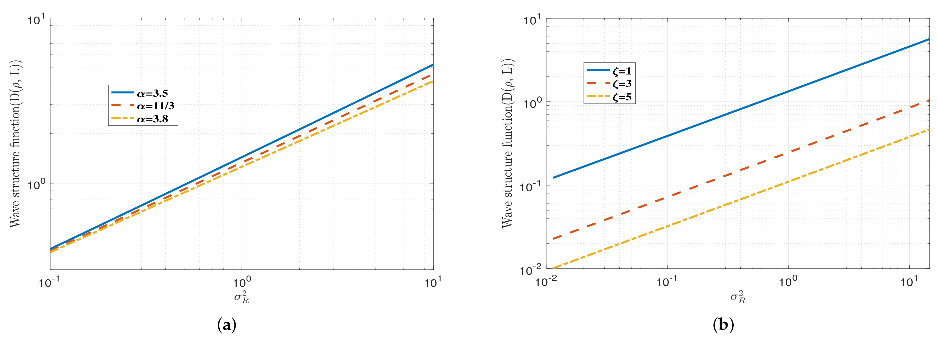
The influence of different parameters on the WSF of Gaussian-beam waves was compared in terrestrial and maritime atmospheric turbulence. We set the curvature parameter at transmitter Θ 0 = 1 and it makes the optical wave a collimated beam; the generalized structure parameter C n 2 ˜ = 1.4 × 10 14 ; the optical wave length λ = 0.65 × 10 6 m; the propagation path length varies from 100 m to 5 km. Figure 1a,b indicate the effects of the Fresnel ratio Λ 0 for varying power law exponent α and anisotropic parameter ζ on the WSF. We compare the different influence of Λ 0 with three typical power law exponent value α = 3.5 , α = 11 / 3 , α = 3.8 in Figure 1a. The Fresnel ratio Λ 0 0 and Λ 0 are related to the plane and spherical wave, respectively. We can observe that the value of WSF at Λ 0 0 (plane wave) is its peak value; with the increasing Fresnel Λ 0 (Gaussian beam wave), it decreases gradually; and, it becomes minimum value when Λ 0 (spherical wave). Additionally, we can see that the value of WSF decreases as the power law exponent α increases. Figure 1b shows the influence of anisotropic parameter ζ on WSF. One can easily see that ζ obviously influences the value, and the curve of WSF becomes smaller and flat when ζ = 5 . Furthermore, it is important to note that the values of WSF in maritime atmospheric turbulence are always higher than it in terrestrial turbulence. Figure 2 shows the behavior of WSF for Gaussian-beam wave in maritime turbulence with increasing turbulence strength σ R 2 = 8 π 2 A ( α ) 1 α Γ ( 1 α 2 ) C n 2 ˜ κ 3 α 2 L α 2 sin π α 4 [29]. As shown in Figure 2, the values of WSF increase significantly as the turbulence strength increases. Additionally, we have similar results with Figure 1 that the increasing power law exponent α and anisotropic parameter ζ can decrease the value of the WSF.

4. MTF Model and Numerical Analysis

Turbulent atmosphere has serious degrading effects on the quality of imaging system, and this impact can be described by the long-exposure MTF. The MTF under atmospheric turbulence can be derived from the mutual coherence function [30]. It is evaluated as the product of the MCF at ρ = λ F v , where v is the spatial frequency and F is the focal length of the receiver aperture[1]. The function D ( λ F v , L ) represents the wave structure function that is given by Equation (24). It is given, as follows:
M T F t u r b ( μ , α , ζ ) = exp [ 1 2 D ω ( μ F v , L ) ] ,
With analysis purpose, we normalized the spatial frequency by the aperture diameter D in the form of μ = λ F v / D . The MTF model has been studied in previous works by Fried [30] and Kotiang [26]. The model uses the normalized spatial frequency μ to analyze the degrading effects of the turbulent atmosphere on the imaging system. The MTF model for the turbulent atmosphere is defined, as follows:
M T F t u r b ( μ , α , ζ ) = exp [ 1 2 D ω ( μ D , L ) ] ,
where D ω ( μ D , α , ζ ) is the WSF of Gaussian-beam waves in Equation (24); D is the aperture diameter at the receiver plane.
Using Equation (25), we perform the numerical analysis to obtain the MTF of Gaussian-beam waves propagation through the turbulent terrestrial and maritime atmosphere. The Figure 3 shows the long-exposure MTFs as a function of normalized spatial frequency for the collimated Gaussian-beam waves ( Θ 0 = 1 ) with the propagation path length L = 1 km and the aperture diameter D = 30 cm are used. This set of simulations is conditioned on the WSF that is illustrated in Figure 1 and Figure 2.
Figure 3 shows the behavior of the long-exposure MTF on the normalized spatial frequency μ with various power law exponent α and anisotropic parameter ζ under the terrestrial and maritime atmospheric turbulence. From the study of propagation of electromagnetic waves in Kolmogorov and non-Kolmogorov atmospheric turbulence, the power law exponent α = 3.4 corresponds to the free troposphere layer, α = 11 / 3 corresponds to the boundary layer, and α = 3.8 denotes the lower stratosphere layer under the stable environment [31]. The power law exponent is one of major influencing factor that can affect the imaging system, as shown in Figure 3a. We infer that the turbulence effects get stronger when the Gaussian-beam waves propagate through the free troposphere layer, thus we observe a stronger degradation in Figure 3a. The MTF curves as a whole can be viewed as that of a low-pass filter and they show a better transfer characteristic as the power law exponent α increases.
Figure 3b indicates the influence of the anisotropic parameter. As it shows the anisotropic parameter is also another factor affecting the MTF of the optical waves used in the imaging system. As the anisotropic parameter increases, the imaging system can maintain a smaller degradation than the one in isotropic turbulence. The result comes from the mechanism of eddies that work as lenses with a larger radius of curvature in the anisotropic turbulence. The large curvature lenses with the bigger anisotropic factors can focus the optical wave better than the one in isotropic turbulence [32]. Figure 3 also shows the MTFs under the maritime atmospheric turbulence. The maritime MTF has slightly more degrading effects in the maritime atmospheric turbulence affecting MTFs more adversely than those of the terrestrial atmospheric turbulence.
Figure 4 shows the long-exposure MTF curves as a function of the normalized spatial frequency μ for Gaussian-beam waves as the beam curvature parameter at transmitter Θ 0 varying under the terrestrial and maritime atmospheric turbulence. Here, the power law exponent α = 11 / 3 ; the Fresnel ratio Λ 0 = 1 . The beam curvature parameter Θ 0 = 0.5 and Θ 0 = 0.7 correspond to the convergent Gaussian-beam wave; Θ 0 = 1 corresponds to the collimated Gaussian-beam wave; and, Θ 0 = 2 corresponds to the divergent Gaussian-beam wave. One can observe that the higher value of Θ 0 shows a lower degradation effect on the MTF of the imaging system. Additionally, similar to the results that are illustrated in Figure 3, the optical waves can undergo slightly more degradation under the maritime turbulence than that of terrestrial one.
In addition, more simulation results are shown in Figure 5 in order to compare the MTF properties among different form of optical waves. First, the three long-exposure MTF curves for the plane, spherical, and Gaussian-beam waves are shown in Figure 5a, when α = 3.4 , Λ 0 = 1 and Θ 0 = 1 . Particularly, Figure 5b,c contain the curves of MTFs for the plane waves and the spherical waves with respect to power law exponent α and anisotropic parameter ζ , respectively. One clearly can distinguish that the degrading effect for the spherical waves is smaller than that for Gaussian-beam waves; the degradation effect for the Gaussian-beam waves is less than that for the plane waves. Furthermore, the behaviors of the long-exposure MTFs for the plane and spherical waves are similar to the one for the Gaussian-beam waves with increasing α and ζ . The curves of the plane waves and spherical waves are consistent with the study result of the optical wave modulation transfer function models in anisotropic marine turbulence in [33].
Finally, Figure 6 shows the behavior of the long-exposure MTF with respect to the outer scale of the turbulence L 0 . For these curves, the simulations are performed with the anisotropic factor ζ = 3 , the power law exponent α = 11 / 3 , and the outer scale of the turbulence cell equals to 1 m, 10 m, and 1000 m. The numerical results show that the long-exposure MTFs for all of the optical waves are significantly influenced by the outer scale of the turbulence cell, and the degradation effect increases as L 0 increases. Moreover, the spherical waves have least effect in conjunction to the imaging system in comparison to other optical waves; these results are consistent with Figure 5.

5. Conclusions

In this work, the WSF of Gaussian beam-waves propagation through maritime atmospheric turbulence has been derived. Using this new expression, the long-exposure MTF for Gaussian-beam waves can be obtained. These new expressions can be used under the terrestrial atmospheric turbulence as well as the maritime atmospheric turbulence. The beam curvature parameter Θ 0 and Fresnel ratio Λ 0 at the receiver, the power law exponent α , the anisotropic parameter ζ , the turbulence strength σ R 2 , and the outer scale of the turbulence cells L 0 for the WSF and long-exposure MTF were analyzed. The degrading effects for the plane and spherical waves are also evaluated as the special case of Gaussian-beam waves. These parameters have significant influence on the curves of the WSFs and long-exposure MTFs. The curves of the WSFs decrease with respect to increasing values of Λ 0 , α , and ζ ; thus, these values obviously increase as σ R 2 increases. Furthermore, we have also studied the properties of optical waves with respect to those parameters in order to evaluate their effects on MTFs of three optical waves working in the imaging systems. The MTF curves observed from numerical simulations show that smaller degradation is obtained with the increasing beam curvature parameter Θ 0 . Additionally, as the power law exponent α and the anisotropic parameter ζ increase, the imaging systems degradation gets smaller. Moreover, the increasing outer scale of the turbulence L 0 has the bigger effect on the imaging system than those of small values. In addition, the degrading effects under maritime atmospheric turbulence are bigger than that of terrestrial one, which is related to higher humidity and temperature fluctuations in the maritime atmospheric turbulence.
The simulation results that are shown in this work can be useful for analyzing the degrading effects on the imaging systems for all of the optical waves. In addition, the expressions of WSF are also can be used to derive spatial coherence radius, root-mean-square angle of arrival, and image jitter. Our results are useful for theoretical and practical study on FSO communication and remote sensing systems involving turbulent maritime atmospheric channels. We are also interested in the study of degradation behavior of optical waves propagation through oceanic turbulence. Furthermore, the effects of the short-exposure MTFs for those optical waves working in the imaging systems will be also considered in the future work.

Author Contributions

B.G. (Writing—Original Draft Preparation); H.Y. (Software and Validation); J.C. (Supervision and Writing—Review); W.S. and B.G. (Writing—Review & Editing). All authors have read and agreed to the published version of the manuscript.

Funding

This research received no external funding.

Acknowledgments

This work was supported by The Natural Science Foundation of the Jiangsu Higher Education Institutions of China under Grant 19KJB510058, Brain Korea 21 Program for Leading Universities & Students, and The Professorial and Doctoral Scientific Research Foundation of Huizhou University(2020JB014 and 2019JB019).

Conflicts of Interest

The authors declare no conflict of interest.

References

  1. Andrews, L.C.; Phillips, R.L. Laser Beam Propagation through Random Media; SPIE Press: Bellingham, WA, USA, 2005; Volume 152. [Google Scholar]
  2. Tatarskii, V.I. The Effects of the Turbulent Atmosphere on Wave Propagation; Trans. for NOAA Israel Program for Scientific Translations; NOAA Israel Program: Jerusalem, Israel, 1971. [Google Scholar]
  3. Ishimaru, A. Wave Propagation and Scattering in Random Media; John Wiley & Sons: Hoboken, NJ, USA, 1999; Volume 12. [Google Scholar]
  4. Uysal, M.; Capsoni, C.; Ghassemlooy, Z.; Boucouvalas, A.; Udvary, E. Optical Wireless Communications: An Emerging Technology; Springer: Berlin/Heidelberg, Germany, 2016. [Google Scholar]
  5. Toselli, I.; Andrews, L.C.; Phillips, R.L.; Ferrero, V. Angle of arrival fluctuations for free space laser beam propagation through non Kolmogorov turbulence. In Proceedings of the Atmospheric Propagation IV, Orlando, FL, USA, 11–12 April 2007; International Society for Optics and Photonics: Bellingham, WA, USA, 2007; Volume 6551, p. 65510. [Google Scholar]
  6. Toselli, I. Introducing the concept of anisotropy at different scales for modeling optical turbulence. JOSA A 2014, 31, 1868–1875. [Google Scholar] [CrossRef] [PubMed]
  7. Cui, L.; Xue, B.; Zhou, F. Generalized anisotropic turbulence spectra and applications in the optical waves propagation through anisotropic turbulence. Opt. Express 2015, 23, 30088–30103. [Google Scholar] [CrossRef] [PubMed]
  8. Baykal, Y. Intensity fluctuations of asymmetrical optical beams in anisotropic turbulence. Appl. Opt. 2016, 55, 7462–7467. [Google Scholar] [CrossRef] [PubMed]
  9. Baykal, Y.; Luo, Y.; Ji, X. Scintillations of higher order laser beams in anisotropic atmospheric turbulence. Appl. Opt. 2016, 55, 9422–9426. [Google Scholar] [CrossRef] [PubMed]
  10. Andrews, L.; Miller, W.; Ricklin, J. Spatial coherence of a Gaussian-beam wave in weak and strong optical turbulence. JOSA A 1994, 11, 1653–1660. [Google Scholar] [CrossRef]
  11. Wen, W.; Jin, Y.; Hu, M.; Liu, X.; Cai, Y.; Zou, C.; Luo, M.; Zhou, L.; Chu, X. Beam wander of coherent and partially coherent Airy beam arrays in a turbulent atmosphere. Opt. Commun. 2018, 415, 48–55. [Google Scholar] [CrossRef]
  12. Ke, X.; Tan, Z. Effect of angle-of-arrival fluctuation on heterodyne detection in slant atmospheric turbulence. Appl. Opt. 2018, 57, 1083–1090. [Google Scholar] [CrossRef]
  13. Borgnino, J.; Martin, F.; Ziad, A. Effect of a finite spatial-coherence outer scale on the covariances of angle-of-arrival fluctuations. Opt. Commun. 1992, 91, 267–279. [Google Scholar] [CrossRef]
  14. Dao, W.; Liang, C.; Wang, F.; Cai, Y.; Hoenders, B. Effects of anisotropic turbulence on propagation characteristics of partially coherent beams with spatially varying coherence. Appl. Sci. 2018, 8, 2025. [Google Scholar] [CrossRef]
  15. Grayshan, K.; Vetelino, F.S.; Young, C. A marine atmospheric spectrum for laser propagation. Waves Random Complex Media 2008, 18, 173–184. [Google Scholar] [CrossRef]
  16. Korotkova, O.; Avramov-Zamurovic, S.; Malek-Madani, R.; Nelson, C. Probability density function of the intensity of a laser beam propagating in the maritime environment. Opt. Express 2011, 19, 20322–20331. [Google Scholar] [CrossRef] [PubMed]
  17. Khannous, F.; Boustimi, M.; Nebdi, H.; Belafhal, A. Li’s flattened Gaussian beams propagation in maritime atmospheric turbulence. Phys. Chem. News 2014, 73, 73–82. [Google Scholar]
  18. Guo, L.; Cheng, M.; Zhang, Y. Scintillation and aperture averaging for Gaussian beams through non-Kolmogorov maritime atmospheric turbulence channels. Opt. Express 2015, 23, 32606. [Google Scholar]
  19. Golmohammady, S.; Yousefi, M.; Mashal, A.; Ghafary, B. Scintillation and bit error rate analysis of a partially coherent flat-topped array laser beam in maritime and terrestrial non-Kolmogorov atmospheric environments on a slant path. JOSA A 2018, 35, 1427–1437. [Google Scholar] [CrossRef] [PubMed]
  20. Ma, X.; Liu, D.; Wang, G.; Wang, Y. Spreading properties of multi-Gaussian Schell-model beam array in maritime atmospheric turbulence. In Proceedings of the Sixth Symposium on Novel Photoelectronic Detection Technology and Application, Beijing, China, 3–5 December 2019; SPIE: Bellingham, WA, USA, 2020; pp. 164–169. [Google Scholar]
  21. Guan, B.; Choi, J. Temporal frequency spread of optical waves propagating in anisotropic maritime atmospheric turbulence. Appl. Opt. 2019, 58, 2913–2919. [Google Scholar] [CrossRef] [PubMed]
  22. Lu, L.; Ji, X.; Baykal, Y. Wave structure function and spatial coherence radius of plane and spherical waves propagating through oceanic turbulence. Opt. Express 2014, 22, 27112–27122. [Google Scholar] [CrossRef]
  23. Cui, L.; Xue, B. Influence of anisotropic turbulence on the long-range imaging system by the MTF model. Infrared Phys. Technol. 2015, 72, 229–238. [Google Scholar] [CrossRef]
  24. Cui, L.; Zhang, Y. Influence of anisotropy of marine turbulence on the variance of optical wave AOA fluctuations. JOSA A 2019, 36, 1602–1608. [Google Scholar] [CrossRef]
  25. Cui, L. Investigation of temporal properties of optical wave irradiance fluctuations in anisotropic marine turbulence. Optik 2019, 189, 81–89. [Google Scholar] [CrossRef]
  26. Kotiang, S.; Choi, J. Wave structure function and long-exposure MTF for laser beam propagation through non-Kolmogorov turbulence. Opt. Laser Technol. 2015, 74, 87–92. [Google Scholar] [CrossRef]
  27. Andrews, L.C. An analytical model for the refractive index power spectrum and its application to optical scintillations in the atmosphere. J. Mod. Opt. 1992, 39, 1849–1853. [Google Scholar] [CrossRef]
  28. Andrews, L.C. Special Functions of Mathematics for Engineers, 2nd ed.; McGraw-Hill: New York, NY, USA, 1998. [Google Scholar]
  29. Toselli, I.; Andrews, L.C.; Phillips, R.L.; Ferrero, V. Free space optical system performance for a Gaussian beam propagating through non-Kolmogorov weak turbulence. IEEE Trans. Antennas Propag. 2009, 57, 1783–1788. [Google Scholar] [CrossRef]
  30. Fried, D.L. Optical resolution through a randomly inhomogeneous medium for very long and very short exposures. JOSA 1966, 56, 1372–1379. [Google Scholar] [CrossRef]
  31. Zilberman, A.; Golbraikh, E.; Kopeika, N.S. Propagation of electromagnetic waves in Kolmogorov and non-Kolmogorov atmospheric turbulence: Three-layer altitude model. Appl. Opt. 2008, 47, 6385–6391. [Google Scholar] [CrossRef] [PubMed]
  32. Toselli, I.; Agrawal, B.; Restaino, S. Light propagation through anisotropic turbulence. JOSA A 2011, 28, 483–488. [Google Scholar] [CrossRef] [PubMed]
  33. Cui, L.; Fei, W.; Xue, B. Theoretical investigations of infrared optical wave modulation transfer function models in anisotropic marine turbulence. JOSA A 2018, 35, 1496–1503. [Google Scholar] [CrossRef]
Figure 1. Wave structure function (WSF) of a collimated beam at transmitter as a function of Λ 0 for varying: (a) power exponent α and (b) anisotropic parameter ζ .
Figure 1. Wave structure function (WSF) of a collimated beam at transmitter as a function of Λ 0 for varying: (a) power exponent α and (b) anisotropic parameter ζ .
Applsci 10 05484 g001
Figure 2. WSF of a collimated beam as a function of increasing turbulence σ R 2 for varying: (a) power exponent α and (b) anisotropic parameter ζ .
Figure 2. WSF of a collimated beam as a function of increasing turbulence σ R 2 for varying: (a) power exponent α and (b) anisotropic parameter ζ .
Applsci 10 05484 g002
Figure 3. Long-exposure modulation transfer function (MTF) as a function of normalized spatial frequency for collimated Gaussian beam waves with various (a) power law exponent α and (b) anisotropic parameter ζ
Figure 3. Long-exposure modulation transfer function (MTF) as a function of normalized spatial frequency for collimated Gaussian beam waves with various (a) power law exponent α and (b) anisotropic parameter ζ
Applsci 10 05484 g003
Figure 4. Long-exposure MTF as a function of normalized spatial frequency for collimated ( Θ 0 = 1 ), divergent ( Θ 0 > 1 ), and convergent ( 0.5 < Θ 0 < 1 ) Gaussian beam waves in (a) terrestrial atmospheric turbulence and (b) maritime atmospheric turbulence
Figure 4. Long-exposure MTF as a function of normalized spatial frequency for collimated ( Θ 0 = 1 ), divergent ( Θ 0 > 1 ), and convergent ( 0.5 < Θ 0 < 1 ) Gaussian beam waves in (a) terrestrial atmospheric turbulence and (b) maritime atmospheric turbulence
Applsci 10 05484 g004
Figure 5. Long-exposure MTF as a function of normalized spatial frequency for (a) plane, spherical, and Gaussian beam wave; (b) plane and spherical wave with various α ; and, (c) plane and spherical wave with various ζ
Figure 5. Long-exposure MTF as a function of normalized spatial frequency for (a) plane, spherical, and Gaussian beam wave; (b) plane and spherical wave with various α ; and, (c) plane and spherical wave with various ζ
Applsci 10 05484 g005
Figure 6. Long-exposure MTF as a function of normalized spatial frequency of outer scale of the turbulence for (a) Gaussian beam wave (b) plane and spherical wave
Figure 6. Long-exposure MTF as a function of normalized spatial frequency of outer scale of the turbulence for (a) Gaussian beam wave (b) plane and spherical wave
Applsci 10 05484 g006

Share and Cite

MDPI and ACS Style

Guan, B.; Yu, H.; Song, W.; Choi, J. Wave Structure Function and Long-Exposure MTF for Gaussian-Beam Waves Propagating in Anisotropic Maritime Atmospheric Turbulence. Appl. Sci. 2020, 10, 5484. https://doi.org/10.3390/app10165484

AMA Style

Guan B, Yu H, Song W, Choi J. Wave Structure Function and Long-Exposure MTF for Gaussian-Beam Waves Propagating in Anisotropic Maritime Atmospheric Turbulence. Applied Sciences. 2020; 10(16):5484. https://doi.org/10.3390/app10165484

Chicago/Turabian Style

Guan, Bing, Haiyang Yu, Wei Song, and Jaeho Choi. 2020. "Wave Structure Function and Long-Exposure MTF for Gaussian-Beam Waves Propagating in Anisotropic Maritime Atmospheric Turbulence" Applied Sciences 10, no. 16: 5484. https://doi.org/10.3390/app10165484

APA Style

Guan, B., Yu, H., Song, W., & Choi, J. (2020). Wave Structure Function and Long-Exposure MTF for Gaussian-Beam Waves Propagating in Anisotropic Maritime Atmospheric Turbulence. Applied Sciences, 10(16), 5484. https://doi.org/10.3390/app10165484

Note that from the first issue of 2016, this journal uses article numbers instead of page numbers. See further details here.

Article Metrics

Back to TopTop