Microwave-Assisted Synthesis, Proton Dissociation Processes, and Anticancer Evaluation of Novel D-Ring-Fused Steroidal 5-Amino-1-Arylpyrazoles
Abstract
1. Introduction
2. Materials and Methods
2.1. General
2.2. Synthetic Procedures
2.2.1. Characterization of 2′-Isoxazolino [4′.5′: 16.17] Androst-5-en-3β,17-diol (2)
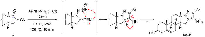
2.2.2. Synthesis of 16-Cyano-3β-Hydroxy-Androst-5-en-17-One (3)
2.2.3. General Procedure for The Synthesis of D-Ring-Condensed 5-Amino-1-Arylpyrazoles (6a–h) Under MW Irradiation
- 5′-Amino-1′-Phenylpyrazolo[3′,4′:17,16]Androst-5-en-3β-ol (6a)
- 5′-Amino-1′-4″-Tolylpyrazolo[3′,4′:17,16]Androst-5-en-3β-ol (6b)
- 5′-Amino-1′-(4″-Methoxy)phenylpyrazolo[3′,4′:17,16]Androst-5-en-3β-ol (6c)
- 5′-Amino-1′-(4″-Fluoro)phenylpyrazolo[3′,4′:17,16]Androst-5-en-3β-ol (6d)
- 5′-Amino-1′-(4″-Chloro)phenylpyrazolo[3′,4′:17,16]Androst-5-en-3β-ol (6e)
- 5′-Amino-1′-(4″-Bromo)phenylpyrazolo[3′,4′:17,16]Androst-5-en-3β-ol (6f)
- 5′-Amino-1′-(4″-Cyano)phenylpyrazolo[3′,4′:17,16]Androst-5-en-3β-ol (6g)
- 5′-Amino-1′-(4″-Nitro)phenylpyrazolo[3′,4′:17,16]Androst-5-en-3β-ol (6h)
2.3. UV Spectrophotometric Titrations
2.4. MTT Cell Viability Assay
3. Results and Discussion
3.1. Synthetic Studies
3.2. Proton Dissociation Processes
3.3. Pharmacological Studies
4. Conclusions
Supplementary Materials
Author Contributions
Funding
Acknowledgments
Conflicts of Interest
References
- Tantawy, M.A.; Nafie, M.S.; Elmegeed, G.A.; Ali, I.A.I. Auspicious role of the steroidal heterocyclic derivatives as a platform for anti-cancer drugs. Bioorg. Chem. 2017, 73, 128–146. [Google Scholar] [CrossRef] [PubMed]
- Stulov, S.V.; Misharin, A.Y. Synthesis of steroids with nitrogen-containing substituents in ring D (Review). Chem. Heterocycl. Compd. 2013, 48, 1431–1472. [Google Scholar] [CrossRef]
- Frank, É.; Schneider, G. Synthesis of sex hormone-derived modified steroids possessing antiproliferative activity. J. Steroid Biochem. Mol. Biol. 2013, 137, 301–315. [Google Scholar] [CrossRef] [PubMed]
- Ansari, A.; Ali, A.; Asif, M. Shamsuzzaman. Review: Biologically active pyrazole derivatives. New J. Chem. 2017, 41, 16–41. [Google Scholar] [CrossRef]
- Karrouchi, K.; Radi, S.; Ramli, Y.; Taoufik, J.; Mabkhot, Y.; Al-aizari, F.A.; Ansar, M. Synthesis and pharmacological activities of pyrazole derivatives: A review. Molecules 2018, 23, 134. [Google Scholar] [CrossRef]
- Baji, Á.; Kovács, F.; Mótyán, G.; Schneider, G.; Wölfling, J.; Sinka, I.; Zupkó, I.; Ocsovszki, I.; Frank, É. Investigation of pH and substituent effects on the distribution ratio of novel steroidal ring D- and A-fused arylpyrazole regioisomers and evaluation of their cell-growth inhibitory effects in vitro. Steroids 2017, 126, 35–49. [Google Scholar] [CrossRef]
- Kovács, D.; Wölfling, J.; Szabó, N.; Szécsi, M.; Schelz, Z.; Zupkó, I.; Frank, É. Synthesis of novel 17- (4’-formyl) pyrazolylandrosta-5,16-dienes and their derivatives as potent 17α-hydroxylase/C17,20-lyase inhibitors or antiproliferative agents depending on the substitution pattern of the heteroring. Eur. J. Med. Chem. 2016, 120, 284–295. [Google Scholar] [CrossRef]
- Li, J.; Zhao, X.; Li, L.; Yuan, Z.; Tan, F.; Shi, B.; Zhang, J. Design, synthesis and cytotoxic activity of a novel series of steroidal phenylpyrazoles. Steroids 2016, 107, 45–54. [Google Scholar] [CrossRef]
- Mótyán, G.; Mérai, L.; Kiss, M.A.; Schelz, Z.; Sinka, I.; Zupkó, I.; Frank, É. Microwave-assisted synthesis of biologically relevant steroidal 17-exo-pyrazol-5’-ones from a norpregnene precursor by a side-chain elongation/heterocyclization sequence. Beilstein J. Org. Chem. 2018, 14, 2589–2596. [Google Scholar] [CrossRef]
- Mótyán, G.; Gopisetty, M.K.; Kiss-Faludy, R.E.; Kulmány, Á.; Zupkó, I.; Frank, É.; Kiricsi, M. Anti-cancer activity of novel dihydrotestosterone-derived ring A-condensed pyrazoles on androgen non-responsive prostate cancer cell lines. Int. J. Mol. Sci. 2019, 20, 2170. [Google Scholar] [CrossRef]
- Frank, É.; Mucsi, Z.; Zupkó, I.; Réthy, B.; Falkay, G.; Schneider, G.Y.; Wolfling, J. Efficient approach to androstene-fused arylpyrazolines as potent antiproliferative agents. Experimental and theoretical atudies of aubstituent effects on BF3-catalyzed intramolecular [3 + 2] cycloadditions of olefinic phenylhydrazones. J. Am. Chem. Soc. 2009, 131, 3894–3904. [Google Scholar] [CrossRef]
- Mótyán, G.; Zupkó, I.; Minorics, R.; Schneider, G.; Wölfling, J.; Frank, É. Lewis acid-induced intramolecular access to novel steroidal ring D-condensed arylpyrazolines exerting in vitro cell-growth-inhibitory effects. Mol. Divers. 2015, 19, 511–527. [Google Scholar] [CrossRef]
- Mótyán, G.; Kovács, F.; Wölfling, J.; Gyovai, A.; Zupkó, I.; Frank, É. Microwave-assisted stereoselective approach to novel steroidal ring D-fused 2-pyrazolines and an evaluation of their cell-growth inhibitory effects in vitro. Steroids 2016, 112, 36–46. [Google Scholar] [CrossRef]
- Aggarwal, R.; Kumar, V.; Kumar, R.; Singh, S.P. Approaches towards the synthesis of 5-aminopyrazoles. Beilstein J. Org. Chem. 2011, 7, 179–197. [Google Scholar] [CrossRef]
- Aggarwal, R.; Kumar, S. 5-Aminopyrazole as precursor in design and synthesis of fused pyrazoloazines. Beilstein J. Org. Chem. 2018, 14, 203–242. [Google Scholar] [CrossRef]
- Marizzoni, M.; Marcelli, G.; Carotti, A. N-Aryl-5-aminopyrazole: A versatile architecture in medicinal chemistry. Mini-Rev. Med. Chem. 2015, 15, 272–299. [Google Scholar] [CrossRef]
- Hu, F.; Szostak, M. Recent developments in the synthesis and reactivity of isoxazoles: Metal catalysis and beyond. Adv. Synth. Catal. 2015, 357, 2583–2614. [Google Scholar] [CrossRef]
- De Oliveira Silva, A.; McQuade, J.; Szostak, M. Recent advances in the synthesis and reactivity of isothiazoles. Adv. Synth. Catal. 2019, 361, 3050–3067. [Google Scholar] [CrossRef]
- Borthakur, M.; Barthakur, M.G.; Boruah, R.C. Microwave promoted one-pot synthesis of novel A-ring fused steroidal dehydropiperazines. Steroids 2008, 73, 539–542. [Google Scholar] [CrossRef]
- Shekarrao, K.; Kaishap, P.P.; Gogoi, S.; Gogoi, S.; Boruah, R.C. A facile synthesis of steroidal D-ring fused pyrazolo[1,5-a]pyrimidines. Tetrahedron Lett. 2014, 55, 5251–5255. [Google Scholar] [CrossRef]
- Mosmann, T. Rapid colorimetric assay for cellular growth and survival: Application to proliferation and cytotoxicity assays. J. Immunol. Methods 1983, 65, 55–63. [Google Scholar] [CrossRef]
- Mótyán, G.; Molnár, B.; Wölfling, J.; Frank, É. Microwave-assisted stereoselective heterocyclization to novel ring D-fused arylpyrazolines in the estrone series. Molecules 2019, 24, 569. [Google Scholar] [CrossRef]
- Brückner, K.; Irmscher, K.; von Werder, F.; Bork, K.H.; Metz, H. Reactions with 16-methylene- and 16-hydroxymethylene-17-oxo steroids. Chem. Ber. 1961, 94, 2897–2909. [Google Scholar] [CrossRef]
- Zékány, L.; Nagypál, I. Computational Methods for the Determination of Stability Constants; Plenum Press: New York, NY, USA, 1985. [Google Scholar]
- Enyedy, É.A.; Hollender, D.; Kiss, T.J. Lipophilicity of kinetically labile metal complexes through the example of antidiabetic Zn(II) and VO(IV) compounds. J. Pharm. Biomed. Anal. 2011, 54, 1073–1081. [Google Scholar] [CrossRef]
- Chen, X.; Murawski, A.; Patel, K.; Crespi, C.L.; Balimane, P.V. A novel design of artificial membrane for improving the PAMPA model. Pharm. Res. 2008, 25, 1511–1520. [Google Scholar] [CrossRef]
- Huang, Y.; Liu, M.; Meng, L.; Feng, P.; Guo, Y.; Ying, M.; Zhu, X.; Chen, Y. Synthesis and antitumor evaluation of novel hybrids of phenylsulfonylfuroxan and epiandrosterone/dehydroepiandrosterone derivatives. Steroids 2015, 101, 7–14. [Google Scholar] [CrossRef]
- Oda, T.; Sato, R.; Sato, Y. The hydrogenation of α-hydroxymethylene-ketone derivatives to α-hydroxymethyl-ketone derivatives with a cell-free system of Streptomyces cinereocrocatus. Chem. Pharm. Bull. 1989, 37, 502–505. [Google Scholar] [CrossRef]
- Jones, P.R. Ring-Chain Tautomerism. Chem. Rev. 1963, 63, 461–487. [Google Scholar] [CrossRef]
- Mótyán, G.; Kádár, Z.; Kovács, D.; Wölfling, J.; Frank, É. Regio- and stereoselective access to novel ring-condensed steroidal isoxazolines. Steroids 2014, 87, 76–85. [Google Scholar] [CrossRef]
- MarvinSketch (Version 16.12.12.0, Calculation Module Developed by ChemAxon). 2016. Available online: http://www.chemaxon.com/products/marvin/marvinsketch/ (accessed on 9 July 2019).
- Gumulecz, J.; Balvan, J.; Sztalmachova, M.; Raudenska, M.; Dvorakova, V.; Knopfova, L.; Polanska, H.; Hudcova, K.; Ruttkay-Nedeczky, B.; Babula, P.; et al. Cisplatin-resistant prostate cancer model: Differences in antioxidant system, apoptosis and cell cycle. Int. J. Oncol. 2014, 44, 923–933. [Google Scholar] [CrossRef]





| Entry | Ar-NH-NH2 | Ar | Product | Yield 1 (%) | 
|---|---|---|---|---|
| 1 | 5a | Ph | 6a | 90 | 
| 2 | 5b | 4-CH3-C6H4 | 6b | 89 | 
| 3 | 5c | 4-OMe-C6H4 | 6c | 92 | 
| 4 | 5d | 4-F-C6H4 | 6d | 94 | 
| 5 | 5e | 4-Cl-C6H4 | 6e | 80 | 
| 6 | 5f | 4-Br-C6H4 | 6f | 84 | 
| 7 | 5g | 4-CN-C6H4 | 6g | 85 | 
| 8 | 5h | 4-NO2-C6H4 | 6h | 52 2,a, 88 2,b | 
| Entry | Compd. | R | pKa | λmax (nm) of HL+ | λmax (nm) of L | logD7.4 (Predicted) | 
|---|---|---|---|---|---|---|
| 1 | 6a | H | 3.97 ± 0.03 | 243 | 249 | +4.31 | 
| 2 | 6b | CH3 | 3.37 ± 0.03 | 243 | 252 | +4.77 | 
| 3 | 6c | OMe | 3.78 ± 0.06 | 240 | 244 | +4.05 | 
| 4 | 6d | F | 3.56 ± 0.04 | 242 | 2212 1 | +4.45 | 
| 5 | 6e | Cl | 2.00 ± 0.03 | 245 | - 1 | +4.83 | 
| 6 | 6f | Br | 2.07 ± 0.06 | 247 | - 1 | +5.10 | 
| 7 | 6g | CN | <1.8 | ~260 | ~276 | +4.12 | 
| 8 | 6h | NO2 | 2.13 ± 0.09 | 248, 289 | 236, 334 | +4.26 | 
| Compd. | IC50 | |||||
|---|---|---|---|---|---|---|
| MRC-5 | MCF-7 | PC-3 | A549 | HeLa | U2Os | |
| 6g (µM) | 8.9 ± 1.1 | 6.2 ± 1.0 | 4.9 ± 1.1 | 7.9 ± 1.0 | 4.0 ± 1.0 | 3.5 ± 1.0 | 
| Cisplatin (nM) | 37.72 ± 1.2 | 338.5 ± 1.1 | 902 ± 1.6 | 369.8 ± 1.2 | 254.5 ± 1.2 | 342.8 ± 1.2 | 
© 2019 by the authors. Licensee MDPI, Basel, Switzerland. This article is an open access article distributed under the terms and conditions of the Creative Commons Attribution (CC BY) license (http://creativecommons.org/licenses/by/4.0/).
Share and Cite
Mótyán, G.; Baji, Á.; Marć, M.A.; Gopisetty, M.K.; Adamecz, D.I.; Kiricsi, M.; Enyedy, É.A.; Frank, É. Microwave-Assisted Synthesis, Proton Dissociation Processes, and Anticancer Evaluation of Novel D-Ring-Fused Steroidal 5-Amino-1-Arylpyrazoles. Appl. Sci. 2020, 10, 229. https://doi.org/10.3390/app10010229
Mótyán G, Baji Á, Marć MA, Gopisetty MK, Adamecz DI, Kiricsi M, Enyedy ÉA, Frank É. Microwave-Assisted Synthesis, Proton Dissociation Processes, and Anticancer Evaluation of Novel D-Ring-Fused Steroidal 5-Amino-1-Arylpyrazoles. Applied Sciences. 2020; 10(1):229. https://doi.org/10.3390/app10010229
Chicago/Turabian StyleMótyán, Gergő, Ádám Baji, Małgorzata Anna Marć, Mohana Krishna Gopisetty, Dóra I. Adamecz, Mónika Kiricsi, Éva A. Enyedy, and Éva Frank. 2020. "Microwave-Assisted Synthesis, Proton Dissociation Processes, and Anticancer Evaluation of Novel D-Ring-Fused Steroidal 5-Amino-1-Arylpyrazoles" Applied Sciences 10, no. 1: 229. https://doi.org/10.3390/app10010229
APA StyleMótyán, G., Baji, Á., Marć, M. A., Gopisetty, M. K., Adamecz, D. I., Kiricsi, M., Enyedy, É. A., & Frank, É. (2020). Microwave-Assisted Synthesis, Proton Dissociation Processes, and Anticancer Evaluation of Novel D-Ring-Fused Steroidal 5-Amino-1-Arylpyrazoles. Applied Sciences, 10(1), 229. https://doi.org/10.3390/app10010229
 
        




 
                         
       