Determination of Water Quality Degradation Due to Industrial and Household Wastewater in the Galing River in Kuantan, Malaysia Using Ion Chromatograph and Water Quality Data
Abstract
:1. Introduction
2. Materials and Methods
2.1. River Water Sampling
2.2. Reagents
2.3. IEC/CEC System for Anionic and Cationic Species
2.4. Sensors and Optical Instruments for other WQIs
3. Result and Discussion
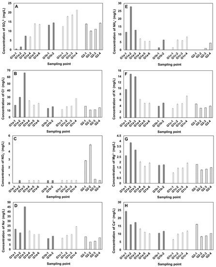
3.1. Distribution of Ionic Species in the Galing River
3.2. Distribution of Water Quality Parameters in the Galing River
3.3. Relationship between NH4+, NO3−, and DO due to Biological Reactions
3.4. Comparison of the Correlation between COD and TP or Total inorganic nitrogen in the Galing River
3.5. Water Quality Classification Using Natural Water Quality Standards for Malaysia
4. Conclusions
- (1)
- From the obtained concentration of Cl− and Na+, relatively low environmental burden and anthropogenic influence was detected in G2 compared to the rest of the Galing River basin area.
- (2)
- In terms of ammoniacal nitrogen, COD, and DO, the western side of the Galing River was affected by higher human activity such as an influx of industrial, household, and untreated raw sewage wastewater, and registered lower class levels compared to the eastern side.
- (3)
- Class V or near class V pH values were obtained upstream on the western side of the Galing River (G1a-1 and G1a-2) in the industrial area.
- (4)
- From the results of (2) and (3), two types of environmental burden were expected in the western side of the Galing River due to the effect of industrial wastewater upstream, and household wastewater or untreated raw sewage in the wastewater.
Supplementary Materials
Acknowledgments
Author Contributions
Conflicts of Interest
Abbreviations
| IEC/CEC | Ion-exclusion/ion-exchange chromatography |
| DO | Dissolved Oxygen |
| COD | Chemical Oxygen Demand |
| TP | Total Phosphorus |
| WQI | Water Quality Index |
| TIN | Total Inorganic Nitrogen |
| ORP | Oxidation-Reduction Potential |
References
- Baird, C.; Cann, M. Environmental Chemistry, 3rd ed.; W.H. Freeman Publishers: New York, NY, USA, 2012; pp. 407–454. [Google Scholar]
- Brebbia, C.A.; Anagnostopoulos, P. Water Pollution: Modelling, Measuring and Prediction; WIT Press: Southampton, UK, 1991; pp. 155–221. [Google Scholar]
- Aiken, S.R.; Leinbach, T.R.; Moss, M.R. Development and Environment in Peninsular Malaysia; McGraw-Hill International Book Company: New York, NY, USA, 1982. [Google Scholar]
- Hashim, N.M.; Rainis, R. Urban Ecosystem Studies in Malaysia; Universal-Publishers: Boca Raton, FL, USA, 2003; pp. 77–104. [Google Scholar]
- Rosnani, I. River water quality status in Malaysia. In Proceedings of the National Conference on Sustainable River Basin Management in Malaysia, Putrajaya, Malaysia, 13–14 November 2001. [Google Scholar]
- Institut Latihan Statistik Malaysia (ILSM). Ringkasan Perangkaan Penting Bagi Kawasan Pihak Berkuasa Tempatan, Malaysia. 2010; Institut Latihan Statistik Malaysia: Sungkai, Malaysia, 2010. [Google Scholar]
- JPBD (Jabatan Perancangan Bandar Dan Desa) Pahang Town and Country Planning Department. Kuantan 2015; Pahang Town and Country Planning Department: Kuantan, Malaysia, 2015.
- Nasir, M.F.M.; Zali, M.A.; Juahir, H. Application of receptor models on water quality data in source apportionment in Kuantan river basin. Iran. J. Environ. Health Sci. Eng. 2012, 9, 18–29. [Google Scholar] [CrossRef] [PubMed]
- Sobahan, M.A.; Mil, S.I.; Karim, M.A. Status and contamination level of the wastewater of Gebeng industrial estate, Pahang, Malaysia. Bangladesh J. Bot. 2015, 44, 103–110. [Google Scholar] [CrossRef]
- Hossain, M.A.; Ali, N.M.; Islam, M.S. Spatial distribution and source apportionment of heavy metals in soils of Gebeng industrial city, Malaysia. Environ. Earth Sci. 2015, 73, 115–126. [Google Scholar] [CrossRef]
- Kozaki, D.; Ab. Rahim, M.H.B.; Wan Ishak, W.M.F.B.; Yusoff, M.M.; Mori, M.; Nakatani, N.; Tanaka, K. Assessment of the River Water Pollution Levels in Kuantan, Malaysia, Using Ion-Exclusion Chromatographic Data, Water Quality Indices, and Land Usage Patterns. Air Soil Water Res. 2016, 9, 1–11. [Google Scholar] [CrossRef]
- Department of Environment, Ministry of Natural Resources and Environment Malaysia. Malaysian Environmental Quality Report 2006 Water Quality Index Classification; Department of Environment Malaysia: Putrajaya, Malaysia, 2006.
- Japan Meteorological Agency. Locational Data Graphs (The World Weather Data Tool). Available online: http://www.data.jma.go.jp/gmd/cpd/monitor/climatview/graph_mkhtml.php?&n=48657&p=999&s=1&r=1&y=2016&m=12&e=0&k=0 (accessed on 30 March 2017).
- Japanese Standards Association. JIS K0094 Sampling Methods for Industrial Water and Industrial Wastewater; Japanese Standards Association: Tokyo, Japan, 1994. [Google Scholar]
- United States Environmental Protection Agency. Federal Register: Ranges 3 to 150 mg/L COD and 20 to 1500 mg/L COD for Wastewater Analyses (Standard Method 5220 D); United States Environmental Protection Agency: Washington, DC, USA, 1980.
- Standard Methods for the Examination of Water and Wastewater (Standard Methods). 4500-P Phosphorus: C. Vanadomolybdophosphoric Acid Colorimetric Method. American Public Health Association; American Water Works Association and Water Environment Federation: Washington, DC, USA, 1999.
- Mason, B.; Moore, C.B. Principles of Geochemistry; John Wiley: New York, NY, USA, 1982. [Google Scholar]
- Ministry of Land, Infrastructure, Transport and Tourism. “Calcium: Ca” and “Magnecium: Mg. Available online: http://www1.river.go.jp/100308.html (accessed on 5 January 2017). (In Japanese)
- Nikanorov, A.M.; Brazhnikova, L.V. Chapter 3: Water chemical composition of rivers, lakes and wetlands. In Types and Properties of Waters—Encyclopedia of Life Support Systems; Khublaryan, M.G., Ed.; Eolss Publishers: Oxford, UK, 2009; Volume 2, pp. 42–79. [Google Scholar]
- Ibanes, J.G. Chapter 6: The chemistry of processes in the hydrosphere. In Environmental Chemistry: Fundamentals; Ibanes, J.G., Ed.; Springer: New York, NY, USA, 2007; Volume 2, pp. 96–117. [Google Scholar]
- Government of Western Australia. Water Quality and Ecological Health—Low Oxygen Conditions. Available online: https://www.dpaw.wa.gov.au/management/swan-canning-riverpark/ecosystem-health-and-management/372-water-quality-and-ecological-health?showall=&start=3 (accessed on 5 January 2017).
- Pena, M.A.; Katsev, S.; Oguz, T.; Gilbert, D. Modeling dissolved oxygen dynamics and hypoxia. Biogeosciences 2010, 7, 933–957. [Google Scholar] [CrossRef]
- Hall, E.R.; Murphy, K.L. Estimation of nitrifying biomass and kinetics in wastewater. Water Res. 1980, 14, 297–304. [Google Scholar] [CrossRef]
- Tanaka, K. Determination of bicarbonate ion in biological nitrification process water by ion-exclusion chromatography with coulometric detection. Bunseki Kagaku 1981, 30, 358–362. (In Japanese) [Google Scholar] [CrossRef]
- Martin, R.E.; Taphonomy, A. Process Approach; Cambridge University Press: Cambridge, MA, USA, 1999. [Google Scholar]
- Knowles, R. Denitrification. Microbiol. Rev. 1982, 46, 43–70. [Google Scholar] [PubMed]
- Hamlin, H.J.; Michaels, J.T.; Beaulaton, C.M.; Graham, W.F.; Dutt, W.; Steinbach, P.; Losordo, T.M.; Schrader, K.K.; Main, K.L. Comparing denitrification rates and carbon sources in commercial scale upflow denitrification biological filters in aquaculture. Aquac. Eng. 2008, 38, 79–92. [Google Scholar] [CrossRef]
- Asian Urban Information Center of Kobe. City Report and Action Plan of Kuantan. Asian Urban Information Center of Kobe. Available online: http://www.kicc.jp/auick/database/apc/apc049/apc04902_05.html (accessed on 5 January 2017).
- Reay, W.G. Septic tank impacts on ground water quality and nearshore sediment nutrient flux. Ground Water 2004, 42, 1079–1089. [Google Scholar] [CrossRef]
- Canter, L.W.; Knox, R.C. Septic Tank System Effects on Ground Water Quality; CRC Press: Boca Raton, FL, USA, 1985. [Google Scholar]







| Caption | Ionic Species (mg/L) | DO (mg/L) | COD (mg/L) | TP (mg/L) | pH | |||||||
|---|---|---|---|---|---|---|---|---|---|---|---|---|
| SO42− | Cl− | NO3− | Na− | NH4+ | K+ | Mg2+ | Ca2+ | |||||
| G1a-1–3 (Industrial area) | 3.18 | 38.2 | 0.12 | 28.2 | 17.4 | 12.8 | 3.22 | 19.2 | 2.23 | 278 | 11.1 | 5.07 |
| G1a-4–6 (Housing area) | 11.5 | 21.4 | 0.34 | 17.2 | 6.14 | 5.37 | 1.86 | 11.6 | 3.07 | 39.0 | 3.10 | 6.10 |
| G1b (Industrial area) | 13.9 | 14.8 | 0.35 | 12.9 | 4.00 | 4.48 | 1.75 | 11.2 | 5.01 | 46.7 | 3.40 | 6.07 |
| G1c (Housing area) | 17.7 | 18.2 | 0.35 | 16.9 | 5.64 | 4.98 | 1.45 | 9.80 | 2.74 | 51.9 | 4.02 | 6.15 |
| G2 (Housing area) | 12.3 | 13.3 | 2.14 | 10.6 | 1.37 | 3.81 | 1.48 | 10.9 | 5.18 | 9.81 | 1.64 | 6.04 |
| Parameter | Class * | ||||
|---|---|---|---|---|---|
| I | II | III | IV | V | |
| NH4+–N (mg/L) | <0.1 | 0.1–0.3 | 0.3–0.9 | 0.9–2.7 | >2.7 |
| COD (mg/L) | <10 | 10–25 | 25–50 | 50–100 | >100 |
| DO (mg/L) | >7 | 5–7 | 3–5 | <3 | <1 |
| pH | 6.5–8.5 | 6–9 | 5–9 | 5–9 | – |
| Sampling Point | Parameter | |||
|---|---|---|---|---|
| NH4+–N (mg/L) | COD (mg/L) | DO (mg/L) | pH | |
| G1a-1 | V | V | IV | V |
| G1a-2 | V | V | IV | III–IV |
| G1a-3 | V | V | IV | III–IV |
| G1a-4 | V | IV | IV | II |
| G1a-5 | V | III | IV | II |
| G1a-6 | V | II | III | II |
| G1b-1 | IV | III | III | III–IV |
| G1b-2 | V | IV | II | II |
| G1c-1 | IV | I | III | III–IV |
| G1c-2 | V | III | IV | II |
| G1c-3 | V | III | IV | II |
| G1c-4 | V | V | IV | II |
| G2-1 | I | I | III | II |
| G2-2 | I | I | II | III–IV |
| G2-3 | III | I | III | II |
| G2-4 | V | II | II | II |
© 2017 by the authors. Licensee MDPI, Basel, Switzerland. This article is an open access article distributed under the terms and conditions of the Creative Commons Attribution (CC BY) license (http://creativecommons.org/licenses/by/4.0/).
Share and Cite
Kozaki, D.; Harun, N.I.B.; Rahim, M.H.B.A.; Mori, M.; Nakatani, N.; Tanaka, K. Determination of Water Quality Degradation Due to Industrial and Household Wastewater in the Galing River in Kuantan, Malaysia Using Ion Chromatograph and Water Quality Data. Environments 2017, 4, 35. https://doi.org/10.3390/environments4020035
Kozaki D, Harun NIB, Rahim MHBA, Mori M, Nakatani N, Tanaka K. Determination of Water Quality Degradation Due to Industrial and Household Wastewater in the Galing River in Kuantan, Malaysia Using Ion Chromatograph and Water Quality Data. Environments. 2017; 4(2):35. https://doi.org/10.3390/environments4020035
Chicago/Turabian StyleKozaki, Daisuke, Norhasmira Idayu Binti Harun, Mohd Hasbi Bin Ab. Rahim, Masanobu Mori, Nobutake Nakatani, and Kazuhiko Tanaka. 2017. "Determination of Water Quality Degradation Due to Industrial and Household Wastewater in the Galing River in Kuantan, Malaysia Using Ion Chromatograph and Water Quality Data" Environments 4, no. 2: 35. https://doi.org/10.3390/environments4020035
APA StyleKozaki, D., Harun, N. I. B., Rahim, M. H. B. A., Mori, M., Nakatani, N., & Tanaka, K. (2017). Determination of Water Quality Degradation Due to Industrial and Household Wastewater in the Galing River in Kuantan, Malaysia Using Ion Chromatograph and Water Quality Data. Environments, 4(2), 35. https://doi.org/10.3390/environments4020035

