Towards a Single Eutrophication Assessment: Identifying Drivers for an Integrated WFD-MSFD Eutrophication Framework in Portuguese Coastal Waters
Abstract
1. Introduction
- How coherent are WFD and MSFD eutrophication classifications in overlapping coastal waters?
- Which structural, methodological, and statistical factors drive divergence between the two frameworks?
- To what extent do WFD and MSFD classifications agree beyond chance?
2. Materials and Methods
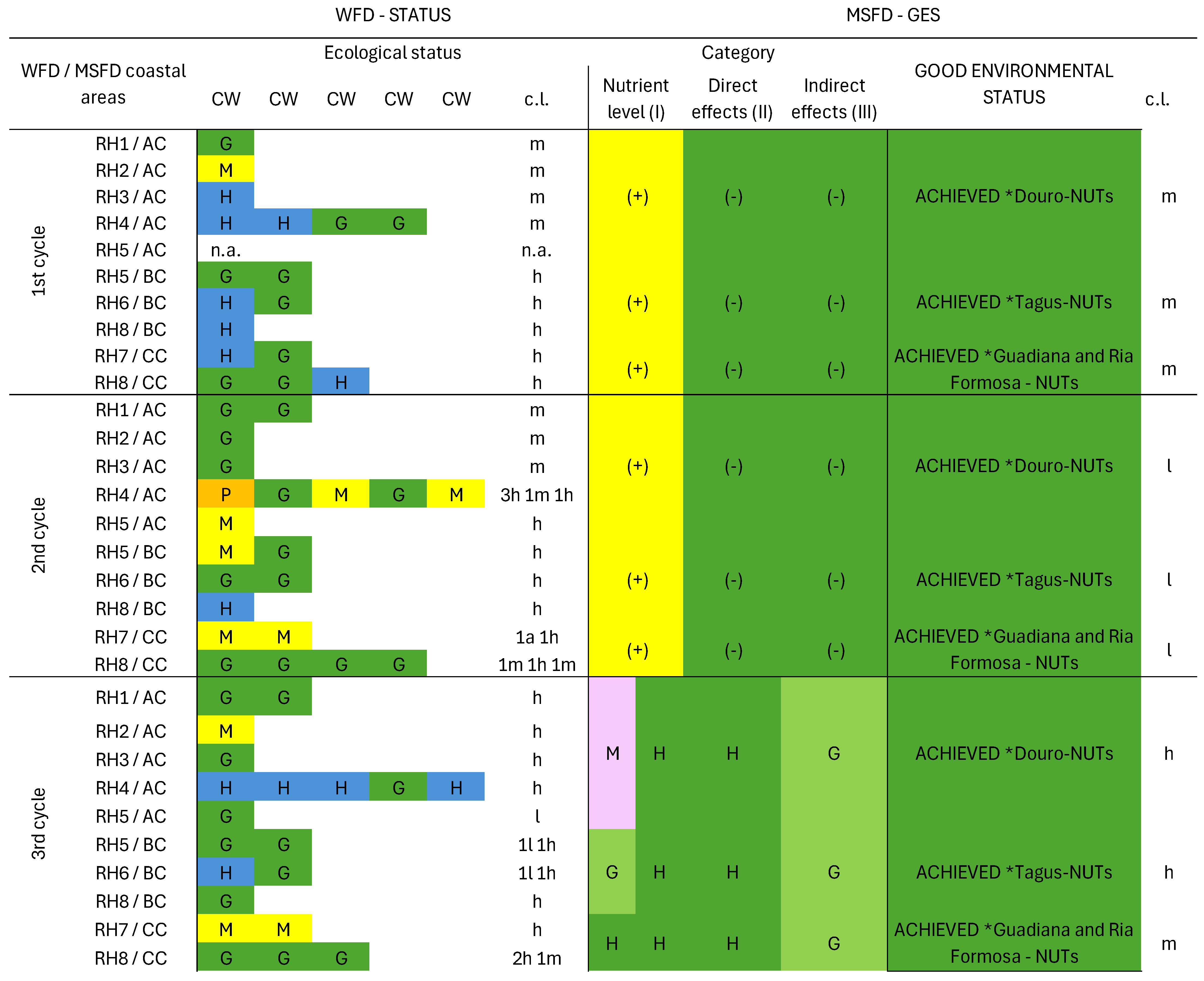
2.1. Study Scope
2.2. Data Sources and Harmonization Procedure
2.3. Spatial and Temporal Correspondence
2.4. Coherence Metrics: Index of Discordance and Cohen Kappa Coefficient
3. Results
3.1. Structural Drivers: Spatial and Temporal Misalignment
3.2. Methodological Evolution: Indicators and Statistical Metrics
3.3. Classification Outcomes and Coherence
4. Discussion
5. Conclusions
- (1)
- Improved temporal and spatial alignment of datasets, metrics and assessment windows with transparent cross-reporting of WFD Ecological Status and MSFD GES as complementary lines of evidence;
- (2)
- Routine application of a quantitative Index of Discordance, enabling objective tracking of mismatches and supporting evidence-based reconciliation between frameworks;
- (3)
- Adoption of a minimum common indicator set and units for coastal eutrophication assessment, including winter nutrients (DIN, DIP, silicates; µmol L−1), seasonal chlorophyll-a (µg L−1, including satellite products), photic limit (PAR sensor µmol photons m−2 s−1 or W/m2, and satellite products), phytoplankton community composition (including HAB taxa), and integrated surface and bottom oxygen metrics (ml L−1); complemented with temperature and salinity
- (4)
- Development of an annual technical synthesis of Chl-a and nutrient trends, focusing on hotspot areas and chronically degraded waters, using simplified traffic-light visualization to support adaptive management and early-warning responses between six-year reporting cycles.
Supplementary Materials
Author Contributions
Funding
Data Availability Statement
Acknowledgments
Conflicts of Interest
References
- Conley, D.J.; Paerl, H.W.; Howarth, R.W.; Boesch, D.F.; Seitzinger, S.P.; Havens, K.E.; Lancelot, C.; Likens, G.E. Ecology. Controlling eutrophication: Nitrogen and phosphorus. Science 2009, 323, 1014–1015. [Google Scholar] [CrossRef] [PubMed]
- Carvalho, L.; Mackay, E.B.; Cardoso, A.C.; Baattrup-Pedersen, A.; Birk, S.; Blackstock, K.L.; Borics, G.; Borja, A.; Feld, C.K.; Ferreira, M.T.; et al. Protecting and restoring Europe’s waters: An analysis of the future development needs of the Water Framework Directive. Sci. Total Environ. 2019, 658, 1228–1238. [Google Scholar] [CrossRef] [PubMed]
- Macias Moy, D.; Bisselink, B.; Duteil, O.; Ferreira Cordeiro, N.; Garcia Gorriz, E.; Grizzetti, B.; Hanke, G.; Miladinova Marinova, S.; Parn, O.; Piroddi, C.; et al. Outline of the Dynamic Baseline for the MSFD Impact Assessment Analysis in the Context of the Blue2 Modelling Framework Initiative; JRC134027; Publications Office of the European Union: Luxembourg, 2023; p. 47. [Google Scholar] [CrossRef]
- E.C. Directive 2000/60/EC of the European Parliament and of the Council of 23 October 2000 establishing a framework for Community action in the field of water policy. Off. Publ. Eur. Union 2000, L327, 1–73. Available online: https://eur-lex.europa.eu/legal-content/EN/TXT/?uri=CELEX%3A32000L0060&qid=1764623191212 (accessed on 14 November 2025).
- E.C. Directive 2008/56/EC of the European Parliament and of the Council of 17 June 2008 establishing a framework for community action in the field of marine environmental policy (Marine Strategy Framework Directive). Off. Publ. Eur. Union 2008, L164, 19–40. Available online: https://eur-lex.europa.eu/eli/dir/2008/56/oj/eng (accessed on 14 November 2025).
- APA. Critérios para a Classificação das Massas de ÁguaFicha Técnica DTH/DEQA. 2023. 163p. Available online: https://apambiente.pt/sites/default/files/_SNIAMB_Agua/DRH/PlaneamentoOrdenamento/PGRH/2022-2027/PGRH_3_PTCONT_SistemasClassificacao.pdf (accessed on 10 November 2025).
- UK TAG. UK Technical Advisory Group on the Water Framework Directive. Recommendations on Surface Water Classification Schemes for the Purposes of the Water Framework Directive. 2007. 60p. Available online: https://www.daera-ni.gov.uk/sites/default/files/publications/doe/UKTAG-recommendations-on-surface-water-classification-schemes-for-the-purpose-of-the-WFD.PDF (accessed on 10 November 2025).
- E.C. 2010/477/EU: Commission Decision of 1 September 2010 on criteria and methodological standards on good environmental status of marine waters (notified under document C(2010) 5956). Off. Publ. Eur. Union 2010, L232, 14–24. Available online: https://eur-lex.europa.eu/eli/dec/2010/477(2)/oj/eng (accessed on 10 November 2025).
- E.C. Commission Decision (EU) 2017/848 of 17 May 2017 laying down criteria and methodological standards on good environmental status of marine waters and specifications and standardised methods for monitoring and assessment, and repealing Decision 2010/477/EU C/2017/2901. Off. Publ. Eur. Union 2017, L125, 43–74. Available online: https://eur-lex.europa.eu/eli/dec/2017/848/oj/eng#:~:text=Commission%20Decision%20%28EU%29%202017%2F848%20of%2017%20May%202017,repealing%20Decision%202010%2F477%2FEU%20%28Text%20with%20EEA%20relevance.%20C%2F2017%2F2901 (accessed on 10 November 2025).
- ME; SRMP; SRAPA. Estratégia Marinha 3º ciclo: Relatório de Avaliação das Águas Marinhas e Metas Ambientais. Ministério da Economia, Secretaria Regional do Mar e das Pescas, Açores, e Secretaria Regional de Agricultura, Pescas e Ambiente, Madeira. Abril de 2025. Parte III, Avaliação do Estado Ambiental das águas marinhas—subdivisão do Continente. 2025. 517p. Available online: https://www.dgrm.pt/documents/20143/824421/PARTE+III+-+Estado+Ambiental_Continente.pdf/c11c2428-346e-fff6-3e30-e1634c6681bf (accessed on 12 November 2025).
- Cabrita, M.T.; Silva, A.; Oliveira, P.B.; Angélico, M.M.; Nogueira, M. Assessing eutrophication in the Portuguese continental Exclusive Economic Zone within the European Marine Strategy Framework Directive. Ecol. Indic. 2015, 58, 286–299. [Google Scholar] [CrossRef]
- Mendes, R.; Vaz, N.; Fernández-Nóvoa, D.; da Silva, J.C.B.; deCastro, M.; Gómez-Gesteira, M.; Dias, J.M. Observation of a turbid plume using MODIS imagery: The case of Douro estuary (Portugal). Remote Sens. Environ. 2014, 154, 127–138. [Google Scholar] [CrossRef]
- Fernández-Nóvoa, D.; Gómez-Gesteira, M.; Mendes, R.; deCastro, M.; Vaz, N.; Dias, J.M. Influence of main forcing affecting the Tagus turbid plume under high river discharges using MODIS imagery. PLoS ONE 2017, 12, e0187036. [Google Scholar] [CrossRef] [PubMed]
- Pitcher, G.C.; Figueiras, F.G.; Hickey, B.M.; Moita, M.T. The physical oceanography of upwelling systems and the development of harmful algal blooms. Prog. Oceanogr. 2010, 85, 5–32. [Google Scholar] [CrossRef] [PubMed]
- Otero, P.; Ruiz-Villarreal, M.; Peliz, Á. River plume fronts off NW Iberia from satellite observations and model data. ICES J. Mar. Sci. 2009, 66, 1853–1864. [Google Scholar] [CrossRef]
- Thomas, B.; Costoya, X.; deCastro, M.; Gómez-Gesteira, M. Revisiting the Upwelling Evolution along the Western Iberian Peninsula over the 21st Century Using Dynamically Downscaled CMIP6 Data. J. Mar. Sci. Eng. 2024, 12, 1494. [Google Scholar] [CrossRef]
- del Rosario, J.J.A.; Gómez, E.B.; Pérez, J.M.V.; Rey, F.M.; Silva-Ramírez, E.L. A New Insight on the Upwelling along the Atlantic Iberian Coasts and Warm Water Outflow in the Gulf of Cadiz from Multiscale Ultrahigh Resolution Sea Surface Temperature Imagery. J. Mar. Sci. Eng. 2024, 12, 1580. [Google Scholar] [CrossRef]
- E.C. Water Framework Directive. Available online: https://environment.ec.europa.eu/topics/water/water-framework-directive_en#overview (accessed on 6 November 2025).
- E.C. Implementation Reports. Available online: https://environment.ec.europa.eu/topics/water/water-framework-directive/implementation-reports_en#previous-implementation-reports (accessed on 6 November 2025).
- E.C. Implementation of Marine Strategy Framework Directive. Available online: https://environment.ec.europa.eu/topics/marine-environment/implementation-marine-strategy-framework-directive_en#common-implementation-strategy (accessed on 6 November 2025).
- APA; ARH Norte. Plano de Gestão de Região Hidrográfica do Minho e Lima (RH1). Relatório de base. Parte 2—Caracterização e diagnóstico da Região Hidrográfica. Agosto 2012. 2012. 1702p. Available online: https://apambiente.pt/sites/default/files/_SNIAMB_Agua/DRH/PlaneamentoOrdenamento/PGRH/2010-2015/PTRH1/PGRH_1_RH1_Parte2.pdf (accessed on 13 November 2025).
- APA; ARH Norte. Plano de Gestão de Região Hidrográfica do Cávado, Ave e Leça (RH2). Relatório de base. Parte 2 Caracterização e diagnóstico da Região Hidrográfica. Agosto 2012. 2012. 1890p. Available online: https://apambiente.pt/sites/default/files/_SNIAMB_Agua/DRH/PlaneamentoOrdenamento/PGRH/2010-2015/PTRH2/PGRH_1_RH2_Parte2.pdf (accessed on 13 November 2025).
- APA; ARH Norte. Plano de Gestão de Região Hidrográfica do Douro (RH3). Relatório de base. Parte 2 Caracterização e diagnóstico da Região Hidrográfica. Agosto 2012. 2012. 2430p. Available online: https://apambiente.pt/sites/default/files/_SNIAMB_Agua/DRH/PlaneamentoOrdenamento/PGRH/2010-2015/PTRH3/PGRH_1_RH3_Parte2.pdf (accessed on 13 November 2025).
- APA; ARH Tejo. Plano da Bacias Hidrográficas das Ribeiras do Oeste. Relatório Técnicos. Versão Extensa. Parte 2—Caracterização e Diagnóstico da Região Hidrográfica. Agosto 2012. 2012. 278p. Available online: https://apambiente.pt/sites/default/files/_SNIAMB_Agua/DRH/PlaneamentoOrdenamento/PGRH/2010-2015/PTRH4/PGRH_1_RH4_RO_Parte2.pdf (accessed on 13 November 2025).
- APA; ARH Tejo. Plano de Gestão da Região Hidrográfica do Tejo (RH5). Relatório Técnico. Versão Extensa. Parte 2—Caracterização e Diagnóstico da Região Hidrográfica. Agosto 2012. 2012. 376p. Available online: https://apambiente.pt/sites/default/files/_SNIAMB_Agua/DRH/PlaneamentoOrdenamento/PGRH/2010-2015/PTRH5/PGRH_1_RH5_Parte2.pdf (accessed on 13 November 2025).
- APA; ARH Alentejo. Plano de Gestão das Bacias Hidrográficas Integradas na Região Hidrográfica 6 e 7. Região Hidrográfica 6. Volume I. Relatório Parte 2—Caracterização e Diagnóstico. Tomo 2. Fevereiro 2012. 2012. 454p. Available online: https://apambiente.pt/sites/default/files/_SNIAMB_Agua/DRH/PlaneamentoOrdenamento/PGRH/2010-2015/PTRH6/PGRH_1_RH6_Parte2_T2A.pdf (accessed on 13 November 2025).
- APA; ARH Alentejo. Plano de Gestão das Bacias Hidrográficas Integradas na Região Hidrográfica 6 e 7. Região Hidrográfica 7. Volume I. Relatório Parte 2—Caracterização e Diagnóstico. Tomo 2. Fevereiro 2012. 2012. 262p. Available online: https://apambiente.pt/sites/default/files/_SNIAMB_Agua/DRH/PlaneamentoOrdenamento/PGRH/2010-2015/PTRH7/PGRH_1_RH7_Parte2_T1A.pdf (accessed on 13 November 2025).
- APA; ARH Algarve. Plano de Gestão das Bacias Hidrográficas que integram a Região Hidrográfica das Ribeiras do Algarve (RH8). Volume 1. Parte 2 Caracterização e diagnóstico. Tomo 2. Maio 2012. 2012. Volume I. 202p. Available online: https://apambiente.pt/sites/default/files/_SNIAMB_Agua/DRH/PlaneamentoOrdenamento/PGRH/2010-2015/PTRH8/PGRH_1_RH8_Parte2_T2A_VolumeI.pdf (accessed on 13 November 2025).
- APA. Plano de Gestão de Região Hidrográfica—Parte 2 Caracterização e diagnóstico. Região Hidrográfica do Minho e Lima (RH1). Maio 2016. 2016. 172p. Available online: https://apambiente.pt/sites/default/files/_SNIAMB_Agua/DRH/PlaneamentoOrdenamento/PGRH/2016-2021/PTRH1/PGRH_2_RH1_Parte2.pdf (accessed on 12 November 2025).
- APA. Plano de Gestão de Região Hidrográfica—Parte 2 Caracterização e diagnóstico. Região Hidrográfica Cávado, Ave e Leça (RH2). Maio 2016. 2016. 191p. Available online: https://apambiente.pt/sites/default/files/_SNIAMB_Agua/DRH/PlaneamentoOrdenamento/PGRH/2016-2021/PTRH2/PGRH_2_RH2_Parte2.pdf (accessed on 12 November 2025).
- APA. Plano de Gestão de Região Hidrográfica—Parte 2 Caracterização e diagnóstico. Região Hidrográfica do Douro (RH3). Maio 2016. 2016. 200p. Available online: https://apambiente.pt/sites/default/files/_SNIAMB_Agua/DRH/PlaneamentoOrdenamento/PGRH/2016-2021/PTRH3/PGRH_2_RH3_Parte2.pdf (accessed on 12 November 2025).
- APA. Plano de Gestão de Região Hidrográfica—Parte 2 Caracterização e diagnóstico. Região Hidrográfica do Vouga, Mondego e Lis (RH4). Maio 2016. 2016. 193p. Available online: https://apambiente.pt/sites/default/files/_SNIAMB_Agua/DRH/PlaneamentoOrdenamento/PGRH/2016-2021/PTRH4A/PGRH_2_RH4A_Parte2.pdf (accessed on 12 November 2025).
- APA. Plano de Gestão de Região Hidrográfica—Parte 2 Caracterização e diagnóstico. Região Hidrográfica do Tejo e Ribeiras do Oeste (RH5). Maio 2016. 2016. 214p. Available online: https://apambiente.pt/sites/default/files/_SNIAMB_Agua/DRH/PlaneamentoOrdenamento/PGRH/2016-2021/PTRH5A/PGRH_2_RH5A_Parte2.pdf (accessed on 12 November 2025).
- APA. Plano de Gestão de Região Hidrográfica—Parte 2 Caracterização e diagnóstico. Região Hidrográfica do Sado e Mira (RH6). Maio 2016. 2016. 182p. Available online: https://apambiente.pt/sites/default/files/_SNIAMB_Agua/DRH/PlaneamentoOrdenamento/PGRH/2016-2021/PTRH6/PGRH_2_RH6_Parte2.pdf (accessed on 12 November 2025).
- APA. Plano de Gestão de Região Hidrográfica—Parte 2 Caracterização e diagnóstico. Região Hidrográfica do Guadiana (RH7). Maio 2016. 2016. 194p. Available online: https://apambiente.pt/sites/default/files/_SNIAMB_Agua/DRH/PlaneamentoOrdenamento/PGRH/2016-2021/PTRH7/PGRH_2_RH7_Parte2.pdf (accessed on 12 November 2025).
- APA. Plano de Gestão de Região Hidrográfica—Parte 2 Caracterização e diagnóstico. Região Hidrográfica das Ribeiras do Algarve (RH8). Maio 2016. 2016. 191p. Available online: https://apambiente.pt/sites/default/files/_SNIAMB_Agua/DRH/PlaneamentoOrdenamento/PGRH/2016-2021/PTRH8/PGRH_2_RH8_Parte2.pdf (accessed on 12 November 2025).
- APA. Plano de Gestão de Região Hidrográfica, 3.º Ciclo 2022–2027, Minho e Lima (RH1)—Parte 2 Caracterização e Diagnóstico, Volume A. Maio 2023. 2023. 147p. Available online: https://apambiente.pt/sites/default/files/_SNIAMB_Agua/DRH/PlaneamentoOrdenamento/PGRH/2022-2027/PTRH1/PGRH_3_RH1_Parte2_VolumeA.pdf (accessed on 11 November 2025).
- APA. Plano de Gestão de Região Hidrográfica, 3.º Ciclo 2022–2027, Cávado, Ave e Leça (RH2)—Parte 2 Caracterização e Diagnóstico, Volume A. Maio 2023. 2023. 159p. Available online: https://apambiente.pt/sites/default/files/_SNIAMB_Agua/DRH/PlaneamentoOrdenamento/PGRH/2022-2027/PTRH2/PGRH_3_RH2_Parte2_VolumeA.pdf (accessed on 11 November 2025).
- APA. Plano de Gestão de Região Hidrográfica, 3.º Ciclo 2022–2027, Douro (RH3)—Parte 2 Caracterização e Diagnóstico, Volume A. Maio 2023. 2023. 172p. Available online: https://apambiente.pt/sites/default/files/_SNIAMB_Agua/DRH/PlaneamentoOrdenamento/PGRH/2022-2027/PTRH3/PGRH_3_RH3_Parte2_VolumeA.pdf (accessed on 11 November 2025).
- APA. Plano de Gestão de Região Hidrográfica, 3.º Ciclo 2022–2027, Vouga, Mondego e Lis (RH4A)—Parte 2 Caracterização e Diagnóstico, Volume A. Maio 2023. 2023. 174p. Available online: https://apambiente.pt/sites/default/files/_SNIAMB_Agua/DRH/PlaneamentoOrdenamento/PGRH/2022-2027/PTRH4A/PGRH_3_RH4A_Parte2_VolumeA.pdf (accessed on 11 November 2025).
- APA. Plano de Gestão de Região Hidrográfica, 3.º Ciclo 2022–2027, Tejo e Ribeiras do Oeste (RH5A)—Parte 2 Caracterização e Diagnóstico, Volume A. Maio 2023. 2023. 191p. Available online: https://apambiente.pt/sites/default/files/_SNIAMB_Agua/DRH/PlaneamentoOrdenamento/PGRH/2022-2027/PTRH5A/PGRH_3_RH5A_Parte2_VolumeA.pdf (accessed on 11 November 2025).
- APA. Plano de Gestão de Região Hidrográfica, 3.º Ciclo 2022–2027, Sado e Mira (RH6)—Parte 2 Caracterização e Diagnóstico, Volume A. Maio 2023. 2023. 162p. Available online: https://apambiente.pt/sites/default/files/_SNIAMB_Agua/DRH/PlaneamentoOrdenamento/PGRH/2022-2027/PTRH6/PGRH_3_RH6_Parte2_VolumeA.pdf (accessed on 11 November 2025).
- APA. Plano de Gestão de Região Hidrográfica, 3.º Ciclo 2022–2027, Guadiana (RH7)—Parte 2 Caracterização e Diagnóstico, Volume A. Maio 2023. 2023. 191p. Available online: https://apambiente.pt/sites/default/files/_SNIAMB_Agua/DRH/PlaneamentoOrdenamento/PGRH/2022-2027/PTRH7/PGRH_3_RH7_Parte2_VolumeA.pdf (accessed on 11 November 2025).
- APA. Plano de Gestão de Região Hidrográfica, 3.º Ciclo 2022–2027, Ribeiras do Algarve (RH8)—Parte 2 Caracterização e Diagnóstico, Volume A. Maio 2023. 2023. 191p. Available online: https://apambiente.pt/sites/default/files/_SNIAMB_Agua/DRH/PlaneamentoOrdenamento/PGRH/2022-2027/PTRH8/PGRH_3_RH8_Parte2_VolumeA.pdf (accessed on 11 November 2025).
- MAMAOT. Estratégia Marinha para a subdivisão do Continente. Diretiva-Quadro “Estratégia Marinha”. Ministério da Agricultura do Mar do Ambiente e do Ordenamento do Território, Portugal. 2012, 906p. Available online: https://www.dgrm.pt/documents/20143/43971/EstrategiaMarinha_subdv_Continente.pdf/3f9a7135-5084-d556-51e8-837c1a72c450 (accessed on 10 November 2025).
- MAR. Estratégia Marinha Relatório do 2º Ciclo, parte D—Reavaliação do Estado Ambiental e Definição de Metas—Subdivisão do Continente. Ministério da Agricultura, do Mar, do Ambiente e do Ordenamento do Território. Março de 2020. 2020. 359. Available online: https://www.dgrm.pt/documents/20143/43971/Doc8.+Parte+D_Continente.pdf/947797e7-1e4e-cc5f-a0f4-8d2b1eaf4f08c (accessed on 11 November 2025).
- Bettencourt, A.; Bricker, S.B.; Ferreira, J.G.; Franco, A.; Marques, J.C.; Melo, J.J.; Nobre, A.; Ramos, L.; Reis, C.S.; Salas, F.; et al. Typology and Reference Conditions for Portuguese Transitional and Coastal Waters. INAG, IMAR. 2004. 99p. Available online: https://www.ecowin.org/ticor/documents/ticor%20book.pdf (accessed on 10 November 2025).
- De Raadt, A.; Warrens, M.J.; Bosker, R.J.; Kiers, H.A.L. Kappa Coefficients for Missing Data. Educ. Psychol. Meas. 2019, 79, 558–576. [Google Scholar] [CrossRef] [PubMed]
- Landis, J.R.; Koch, G.G. The measurement of observer agreement for categorical data. Biometrics 1977, 33, 159–174. [Google Scholar] [CrossRef] [PubMed]
- OSPAR. Revision of the Common Procedure for the Identification of the Eutrophication Status of the OSPAR Maritime Area. OSPAR Agreement 2022-07. London: OSPAR Commission. 2022; Available online: https://www.ospar.org/documents?v=49366 (accessed on 10 November 2025).
- E.C. 2008/915/EC: Commission Decision of 30 October 2008 establishing, pursuant to Directive 2000/60/EC of the European Parliament and of the Council, the values of the Member State monitoring system classifications as a result of the intercalibration exercise. Off. Publ. Eur. Union 2008, L332, 20–44. Available online: https://eur-lex.europa.eu/legal-content/EN/TXT/?uri=CELEX%3A32008D0915&qid=1764716983264 (accessed on 9 November 2025).
- E.C. 2013/480/EU: Commission Decision of 20 September 2013 establishing, pursuant to Directive 2000/60/EC of the European Parliament and of the Council, the values of the Member State monitoring system classifications as a result of the intercalibration exercise and repealing Decision 2008/915/EC. Off. Publ. Eur. Union 2013, L266, 1–47. Available online: https://eur-lex.europa.eu/legal-content/EN/TXT/?uri=celex%3A32013D04807 (accessed on 9 November 2025).
- E.C. Commission Decision (EU) 2018/229 of 12 February 2018 establishing, pursuant to Directive 2000/60/EC of the European Parliament and of the Council, the values of the Member State monitoring system classifications as a result of the intercalibration exercise and repealing Commission Decision 2013/480/EU, C/2018/0696. Office for Official Publications of the European Union. 2018. Off. Publ. Eur. Union 2018, L47, 1–91. Available online: https://eur-lex.europa.eu/legal-content/EN/TXT/?uri=celex%3A32018D022 (accessed on 9 November 2025).
- Moe, S.J.; Mentzel, S.; Welch, S.A.; Lyche Solheim, A. From national monitoring to transnational indicators: Reporting and processing of aquatic biology data under the European Environment Agency’s State of the Environment data flow. Front. Environ. Sci. 2023, 11, 1057742. [Google Scholar] [CrossRef]


| WFD | MSFD | ||||
|---|---|---|---|---|---|
| Ecological Status | 1st and 2nd cycle Category I, II and III | 3rd cycle Category I, II, III | GES | Categorical comparison approach | Management Implications |
| High, Good | (−)(−)(−) or (+)(−)(−) | High. Good | Achieved | Good | Objectives met |
| Moderate | (−)(+)(−) or (−)(−)(+) | Moderate | Not Achieved | Moderate | Warning/Potential failure |
| Poor, Bad | (−)(+)(+) or (+)(−)(+) or (+)(+)(−) or (+)(+)(+) | Poor, Bad | Not Achieved | Poor | Failure/action required |
| 1st | 2nd | 3rd | All Cycles | |||||||||
|---|---|---|---|---|---|---|---|---|---|---|---|---|
| MSFD-GES | ||||||||||||
| WFD ES | Good –High | Moderate | Poor–Bad | Good–High | Moderate | Poor–Bad | Good–High | Moderate | Poor–Bad | Good–High | Moderate | Poor–Bad |
| Good–High | 16 | 13 | 17 | 46 | ||||||||
| Moderate | 1 | 6 | 3 | 10 | ||||||||
| Poor–Bad | 1 | 1 | ||||||||||
| K | 0.0 | 0.0 | 0.0 | 0.0 | ||||||||
| WFD ES | MSFD-NUT level | |||||||||||
| Good–High | 16 | 13 | 8 | 8 | 29 | |||||||
| Moderate | 1 | 6 | 2 | 10 | 2 | 17 | ||||||
| Poor–Bad | 1 | 1 | ||||||||||
| K | 0.0 | 0.0 | 0.8 | 0.1 | ||||||||
Disclaimer/Publisher’s Note: The statements, opinions and data contained in all publications are solely those of the individual author(s) and contributor(s) and not of MDPI and/or the editor(s). MDPI and/or the editor(s) disclaim responsibility for any injury to people or property resulting from any ideas, methods, instructions or products referred to in the content. |
© 2026 by the authors. Licensee MDPI, Basel, Switzerland. This article is an open access article distributed under the terms and conditions of the Creative Commons Attribution (CC BY) license.
Share and Cite
Nogueira, M.; Santos, M.; Silva, A.D. Towards a Single Eutrophication Assessment: Identifying Drivers for an Integrated WFD-MSFD Eutrophication Framework in Portuguese Coastal Waters. Environments 2026, 13, 100. https://doi.org/10.3390/environments13020100
Nogueira M, Santos M, Silva AD. Towards a Single Eutrophication Assessment: Identifying Drivers for an Integrated WFD-MSFD Eutrophication Framework in Portuguese Coastal Waters. Environments. 2026; 13(2):100. https://doi.org/10.3390/environments13020100
Chicago/Turabian StyleNogueira, Marta, Maria Santos, and Alexandra D. Silva. 2026. "Towards a Single Eutrophication Assessment: Identifying Drivers for an Integrated WFD-MSFD Eutrophication Framework in Portuguese Coastal Waters" Environments 13, no. 2: 100. https://doi.org/10.3390/environments13020100
APA StyleNogueira, M., Santos, M., & Silva, A. D. (2026). Towards a Single Eutrophication Assessment: Identifying Drivers for an Integrated WFD-MSFD Eutrophication Framework in Portuguese Coastal Waters. Environments, 13(2), 100. https://doi.org/10.3390/environments13020100

