Noise Pollution from Diesel Generator Use During the 2024–2025 Electricity Crisis in Ecuador
Abstract
1. Introduction
2. Materials and Methods
2.1. Study Area
2.2. Data Collection
2.3. Data Analysis
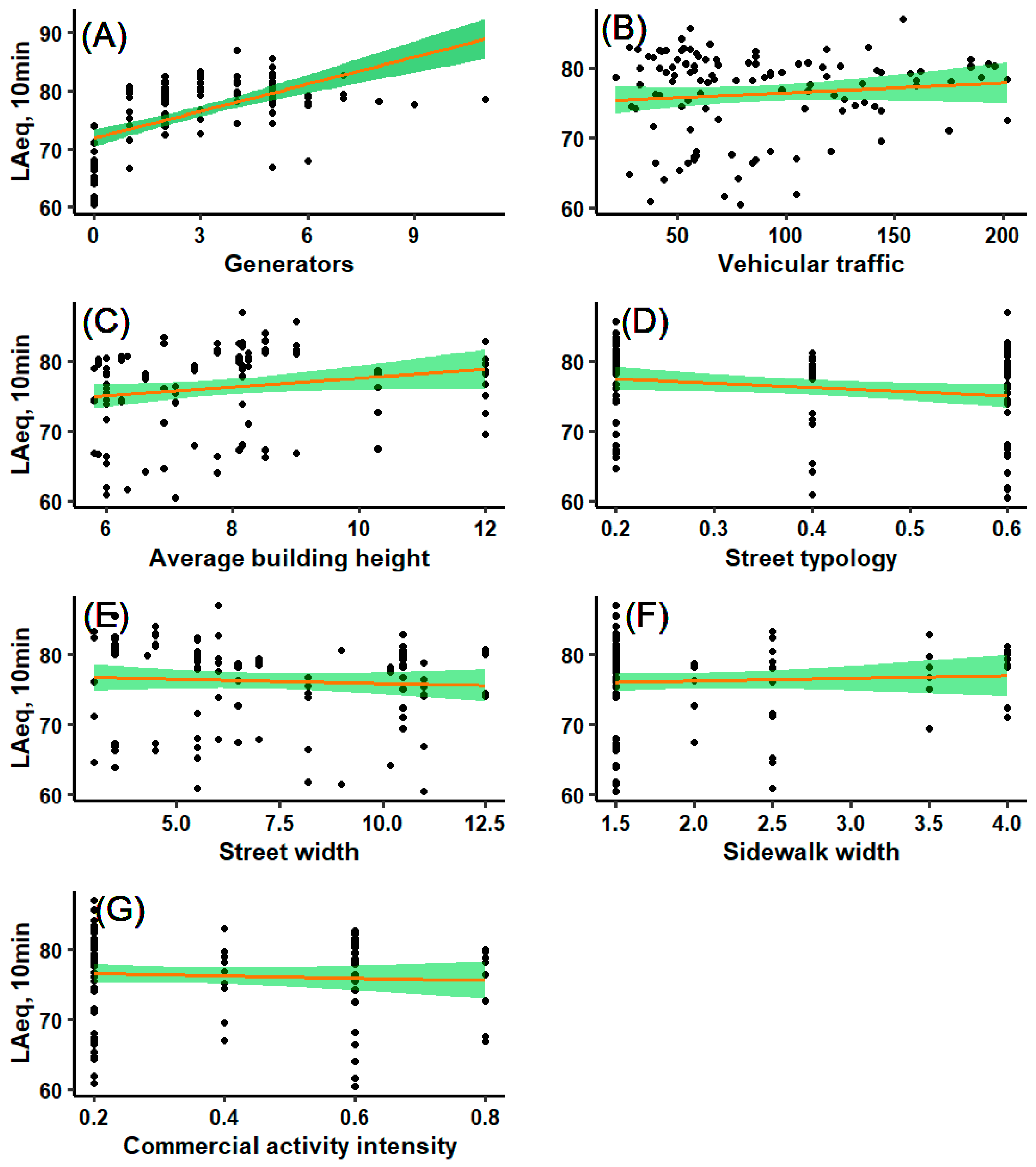
3. Results and Discussion
4. Conclusions
Author Contributions
Funding
Data Availability Statement
Acknowledgments
Conflicts of Interest
Abbreviations
| SPLs | Sound Pressure Levels |
| WHO | World Health Organization |
| GLMs | Generalized Linear Models |
| AIC | Akaike’s Information Criterion |
| NIHL | Noise-induced Hearing Loss |
| VAD | Vibroacoustic Disease |
References
- Mehrotra, A.; Shukla, S.P.; Shukla, A.K.; Manar, M.K.; Singh, S.K.; Mehrotra, M. A Comprehensive Review of Auditory and Non-Auditory Effects of Noise on Human Health. Noise Health 2024, 26, 59–69. [Google Scholar] [CrossRef] [PubMed]
- Hahad, O.; Kuntic, M.; Al-Kindi, S.; Kuntic, I.; Gilan, D.; Petrowski, K.; Daiber, A.; Münzel, T. Noise and Mental Health: Evidence, Mechanisms, and Consequences. J. Expo. Sci. Environ. Epidemiol. 2025, 35, 16–23. [Google Scholar] [CrossRef] [PubMed]
- Mucci, N.; Traversini, V.; Lorini, C.; De Sio, S.; Galea, R.P.; Bonaccorsi, G.; Arcangeli, G. Urban Noise and Psychological Distress: A Systematic Review. Int. J. Environ. Res. Public Health 2020, 17, 6621. [Google Scholar] [CrossRef] [PubMed]
- Patel, R.; Singh, P.K.; Saw, S.; Tiwari, S. Assessment and Prediction of Noise Pollution–Induced Health Impacts in Urban Environment: A Structural Equation Modeling (SEM)–Based Approach. Arab. J. Geosci. 2024, 17, 305. [Google Scholar] [CrossRef]
- Peer, M.Y.; Mir, M.S.; Vanapalli, K.R.; Mohanty, B. Road Traffic Noise Pollution and Prevalence of Ischemic Heart Disease: Modelling Potential Association and Abatement Strategies in Noise-Exposed Areas. Environ. Monit. Assess. 2024, 196, 749. [Google Scholar] [CrossRef]
- Themann, C.L.; Masterson, E.A. Occupational Noise Exposure: A Review of Its Effects, Epidemiology, and Impact with Recommendations for Reducing Its Burden. J. Acoust. Soc. Am. 2019, 146, 3879–3905. [Google Scholar] [CrossRef]
- Münzel, T.; Kröller-Schön, S.; Oelze, M.; Gori, T.; Schmidt, F.P.; Steven, S.; Hahad, O.; Röösli, M.; Wunderli, J.-M.; Daiber, A.; et al. Adverse Cardiovascular Effects of Traffic Noise with a Focus on Nighttime Noise and the New WHO Noise Guidelines. Annu. Rev. Public Health 2020, 41, 309–328. [Google Scholar] [CrossRef]
- Basner, M.; McGuire, S. WHO Environmental Noise Guidelines for the European Region: A Systematic Review on Environmental Noise and Effects on Sleep. Int. J. Environ. Res. Public Health 2018, 15, 519. [Google Scholar] [CrossRef]
- Gouveia, N.; Slovic, A.D.; Kanai, C.M.; Soriano, L. Air Pollution and Environmental Justice in Latin America: Where Are We and How Can We Move Forward? Curr. Environ. Health Rep. 2022, 9, 152–164. [Google Scholar] [CrossRef]
- Carvajal, P.E.; Anandarajah, G.; Mulugetta, Y.; Dessens, O. Assessing Uncertainty of Climate Change Impacts on Long-Term Hydropower Generation Using the CMIP5 Ensemble—The Case of Ecuador. Clim. Change 2017, 144, 611–624. [Google Scholar] [CrossRef]
- Barzola-Monteses, J.; Mite-León, M.; Espinoza-Andaluz, M.; Gómez-Romero, J.; Fajardo, W. Time Series Analysis for Predicting Hydroelectric Power Production: The Ecuador Case. Sustainability 2019, 11, 6539. [Google Scholar] [CrossRef]
- Carvajal, P.E.; Li, F.G.N. Challenges for Hydropower-Based Nationally Determined Contributions: A Case Study for Ecuador. Clim. Policy 2019, 19, 974–987. [Google Scholar] [CrossRef]
- Naranjo-Silva, S.; Punina-Guerrero, D.; Rivera-Gonzalez, L.; Escobar-Segovia, K.; Barros-Enriquez, J.D.; Almeida-Dominguez, J.A.; Alvarez del Castillo, J. Hydropower Scenarios in the Face of Climate Change in Ecuador. Sustainability 2023, 15, 10160. [Google Scholar] [CrossRef]
- Arteaga, K.; Tutasi, P.; Jimenez, R. Climatic Variability Related to El Nino in Ecuador—A Historical Background. Adv. Geosci. 2006, 6, 237–241. [Google Scholar] [CrossRef]
- Thielen, D.R.; Ramoni-Perazzi, P.; Zamora-Ledezma, E.; Puche, M.L.; Marquez, M.; Quintero, J.I.; Rojas, W.; Quintero, A.; Bianchi, G.; Soto-Werschitz, I.A.; et al. Effect of Extreme El Niño Events on the Precipitation of Ecuador. Nat. Hazards Earth Syst. Sci. 2023, 23, 1507–1527. [Google Scholar] [CrossRef]
- Vicente-Serrano, S.M.; Aguilar, E.; Martínez, R.; Martín-Hernández, N.; Azorin-Molina, C.; Sanchez-Lorenzo, A.; El Kenawy, A.; Tomás-Burguera, M.; Moran-Tejeda, E.; López-Moreno, J.I.; et al. The Complex Influence of ENSO on Droughts in Ecuador. Clim. Dyn. 2017, 48, 405–427. [Google Scholar] [CrossRef]
- Oscullo Lala, J.; Carvajal Mora, H.; Orozco Garzón, N.; Vega, J.; Ohishi, T. Examining the Evolution of Energy Storing in the Ecuadorian Electricity System: A Case Study (2006–2023). Energies 2024, 17, 3500. [Google Scholar] [CrossRef]
- Zalakeviciute, R.; Diaz, V.; Rybarczyk, Y. Impact of City-Wide Diesel Generator Use on Air Quality in Quito, Ecuador, during a Nationwide Electricity Crisis. Atmosphere 2024, 15, 1192. [Google Scholar] [CrossRef]
- Vallejo, F.; Villacrés, P.; Yánez, D.; Espinoza, L.; Bodero-Poveda, E.; Díaz-Robles, L.A.; Oyaneder, M.; Campos, V.; Palmay, P.; Cordovilla-Pérez, A.; et al. Prolonged Power Outages and Air Quality: Insights from Quito’s 2023–2024 Energy Crisis. Atmosphere 2025, 16, 274. [Google Scholar] [CrossRef]
- Zalakeviciute, R.; Lopez-Villada, J.; Ochoa, A.; Moreno, V.; Byun, A.; Proaño, E.; Mejía, D.; Bonilla-Bedoya, S.; Rybarczyk, Y.; Vallejo, F. Urban Air Pollution in the Global South: A Never-Ending Crisis? Atmosphere 2025, 16, 487. [Google Scholar] [CrossRef]
- Jurado, J.; Southgate, D. Dealing with Air Pollution in Latin America: The Case of Quito, Ecuador. Environ. Dev. Econ. 1999, 4, 375–388. [Google Scholar] [CrossRef]
- Terrapon-Pfaff, J.; Ortiz, W.; Viebahn, P.; Kynast, E.; Flörke, M. Water Demand Scenarios for Electricity Generation at the Global and Regional Levels. Water 2020, 12, 2482. [Google Scholar] [CrossRef]
- Ahmed, W.K.; Abed, T.A.; Salam, A.Q.; Reza, K.S.; Mahdiy, M.T.; Chaichan, M.T. Environmental Impact of Using Generators in the University of Technology in Bagdad, Iraq. J. Therm. Eng. 2020, 6, 272–281. [Google Scholar] [CrossRef]
- Giwa, S.O.; Nwaokocha, C.N.; Adeyemi, H.O. Noise and Emission Characterization of Off-Grid Diesel-Powered Generators in Nigeria. Manag. Environ. Qual. Int. J. 2019, 30, 783–802. [Google Scholar] [CrossRef]
- Alhajeri, N.S.; Dannoun, M.; Alrashed, A.; Aly, A.Z. Environmental and Economic Impacts of Increased Utilization of Natural Gas in the Electric Power Generation Sector: Evaluating the Benefits and Trade-Offs of Fuel Switching. J. Nat. Gas. Sci. Eng. 2019, 71, 102969. [Google Scholar] [CrossRef]
- Ademola Sonibare, J.; Adetayo Adeniran, J.; Sunday Fakinle, B.; Latinwo, I.O.; Adekilekun Jimoda, L.; Abel Olu-Arotiowa, O. Ambient Noise from Off-Grid Diesel Engines Electric Power Generators in an Urban Environment. Manag. Environ. Qual. Int. J. 2014, 25, 186–199. [Google Scholar] [CrossRef]
- Uddin, N.; Rahman, A.; Rashid, M.M.; Nithe, N.A.; Rony, J.I. Reduce Generators Noise with Better Performance of a Diesel Generator Set Using Modified Absorption Silencer. Glob. J. Res. Eng. 2016, 16, 41–54. [Google Scholar]
- Ibhadode, O.; Tenebe, I.T.; Emenike, P.C.; Adesina, O.S.; Okougha, A.F.; Aitanke, F.O. Assessment of Noise-Levels of Generator-Sets in Seven Cities of South-Southern Nigeria. Afr. J. Sci. Technol. Innov. Dev. 2018, 10, 125–135. [Google Scholar] [CrossRef]
- Ministerio del Ambiente, Agua y Transición Ecologica. Environmental Quality Standards for Noise in Urban Land Uses; Ministerio del Ambiente, Agua y Transición Ecologica: Quito, Ecuador, 2015. Available online: https://maeorellana.wordpress.com/wp-content/uploads/2015/11/anexo-5rueo-fuentes-fias-y-moviles.pdf (accessed on 10 October 2025).
- Gobierno Autónomo Municipal de Sucre. Reglamento a la Ley Municipal Autonómica No 089/16 Modificada Por Ley Municipal Autonómica No 291/2022 Ley Municipal de Funcionamiento el Centro de Control de Emisión de Gases y Contaminación Acústica de Motorizados. Available online: https://gacetamunicipalsucre.gob.bo/docs/normas/reglamento/33535/rg.m-079-2023-reglamento-de-ley-291-2022-crtv-modificatorio.pdf (accessed on 21 July 2025).
- Toledo, A.; Merino, B.; Vidal, A.; Rospigliosi, F.; Reátegui, J.; González, F.; Iriarte, E.; Bruce, C.; Flury, H. Reglamento de Estándares Nacionales de Calidad Ambiental Para Ruido. Available online: https://sinia.minam.gob.pe/sites/default/files/sinia/archivos/public/docs/ds.085.2003.pcm_.pdf (accessed on 21 July 2025).
- Ministra de Ambiente y Vivienda y Desarrollo Territorial. Norma Nacional de Emisión de Ruido y Ruido Ambiental; Ministra de Ambiente y Vivienda y Desarrollo Territorial: Bogotá, Colombia, 2006. Available online: https://www.minambiente.gov.co/wp-content/uploads/2021/10/Resolucion-0627-de-2006.pdf (accessed on 21 July 2025).
- Bulgarelli, G.A.; Garzón, B.S.; Soldati, M.E. Normativas Acústicas En Argentina: Estudio Comparativo de Casos; Asociación de Acústicos Argentinos: Bahía Blanca, Argentina, 2017; Available online: https://adaa.org.ar/wp-content/uploads/2021/04/adaa2017-13.pdf (accessed on 21 July 2025).
- European Parliament and of the Council. Methods to Measure Airborne Noise Emitted by Equipment for Use Outdoors; Publications Office of the European Union: Brussels, Belgium, 2023; Available online: https://eur-lex.europa.eu/eli/reg_del/2024/1208/oj/eng (accessed on 10 October 2025).
- Sakieh, Y.; Jaafari, S.; Ahmadi, M.; Danekar, A. Green and Calm: Modeling the Relationships between Noise Pollution Propagation and Spatial Patterns of Urban Structures and Green Covers. Urban Urban Green. 2017, 24, 195–211. [Google Scholar] [CrossRef]
- Tong, H.; Kang, J. Characteristics of Noise Complaints and the Associations with Urban Morphology: A Comparison across Densities. Environ. Res. 2021, 197, 111045. [Google Scholar] [CrossRef]
- Forssén, J.; Gustafson, A.; Pont, M.B.; Haeger-Eugensson, M.; Achberger, C.; Rosholm, N. Effects of Urban Morphology on Traffic Noise: A Parameter Study Including Indirect Noise Exposure and Estimated Health Impact. Appl. Acoust. 2022, 186, 108436. [Google Scholar] [CrossRef]
- Han, X.; Huang, X.; Liang, H.; Ma, S.; Gong, J. Analysis of the Relationships between Environmental Noise and Urban Morphology. Environ. Pollut. 2018, 233, 755–763. [Google Scholar] [CrossRef] [PubMed]
- Gomez, L.F.; Soto-Salazar, C.; Guerrero, J.; Garcia, M.; Parra, D.C. Neighborhood Environment, Self-Rated Health and Quality of Life in Latin America. Health Promot. Int. 2020, 35, 196–204. [Google Scholar] [CrossRef] [PubMed]
- Puyana-Romero, V.; Cueto, J.L.; Ciaburro, G.; Bravo-Moncayo, L.; Hernandez-Molina, R. Community Response to Noise from Hot-Spots at a Major Road in Quito (Ecuador) and Its Application for Identification and Ranking These Areas. Int. J. Environ. Res. Public Health 2022, 19, 1115. [Google Scholar] [CrossRef]
- Agreda Oña, J.L.; Moreno Ávila, A.S.; Mendoza Poma, M.R. Study of Sound Pressure Levels through the Creation of Noise Maps in the Urban Area of Latacunga City Using Plithogenic N-Superhypergraphs. Neutrosophic Sets Syst. 2024, 74, 14. [Google Scholar]
- Delgado Omar, M.J. Elaboración Del Mapa de Ruido Del Área Urbana de La Ciudad de Cuenca—Ecuador, Empleando La Técnica de Interpolación Geoestadística Kriging Ordinario. Cienc. Espac. 2015, 8, 411–440. [Google Scholar] [CrossRef]
- Zambrano-Monserrate, M.A.; Ruano, M.A. Does Environmental Noise Affect Housing Rental Prices in Developing Countries? Evidence from Ecuador. Land Use Policy 2019, 87, 104059. [Google Scholar] [CrossRef]
- Bravo-Moncayo, L.; Chávez, M.; Puyana, V.; Lucio-Naranjo, J.; Garzón, C.; Pavón-García, I. A Cost-Effective Approach to the Evaluation of Traffic Noise Exposure in the City of Quito, Ecuador. Case Stud. Transp. Policy 2019, 7, 128–137. [Google Scholar] [CrossRef]
- Bravo-Moncayo, L.; Lucio-Naranjo, J.; Chávez, M.; Pavón-García, I.; Garzón, C. A Machine Learning Approach for Traffic-Noise Annoyance Assessment. Appl. Acoust. 2019, 156, 262–270. [Google Scholar] [CrossRef]
- de Pozo, D.; Donoso, N.; Valle, B. Mapping and Mitigating Urban Noise: A Case Study of Loja, Ecuador’s Soundscape. Can. Acoust. 2024, 52, 1–9. Available online: https://jcaa.caa-aca.ca/index.php/jcaa/article/view/4155 (accessed on 17 July 2025).
- Instituto Nacional de Estadística y Censos (INEC). Resultados del VIII Censo de Población y VII de Vivienda 2022. Available online: https://anda.inec.gob.ec/anda/index.php/catalog/1085/study-description (accessed on 17 July 2025).
- Torija, A.J.; Genaro, N.; Ruiz, D.P.; Ramos-Ridao, A.; Zamorano, M.; Requena, I. Priorization of Acoustic Variables: Environmental Decision Support for the Physical Characterization of Urban Sound Environments. Build. Environ. 2010, 45, 1477–1489. [Google Scholar] [CrossRef]
- Acosta, Ó.; Montenegro, C.; Crespo, R.G. Road Traffic Noise Prediction Model Based on Artificial Neural Networks. Heliyon 2024, 10, e36484. [Google Scholar] [CrossRef]
- R Development Core Team. A language and Environment for Statistical Computing. In R Foundation for Statistical Computing; R Development Core Team: Vienna, Austria, 2024; Available online: http://www.R-project.org (accessed on 20 May 2024).
- Natarajan, N.; Batts, S.; Stankovic, K.M. Correction: Natarajan et al. Noise-Induced Hearing Loss. J. Clin. Med. 2023, 12, 2347. J. Clin. Med. 2024, 13, 944. [Google Scholar] [CrossRef] [PubMed]
- Kirchner, D.B.; Evenson, E.; Dobie, R.A.; Rabinowitz, P.; Crawford, J.; Kopke, R.; Hudson, T.W. Occupational Noise-Induced Hearing Loss. J. Occup. Environ. Med. 2012, 54, 106–108. [Google Scholar] [CrossRef] [PubMed]
- Tzivian, L.; Dlugaj, M.; Winkler, A.; Weinmayr, G.; Hennig, F.; Fuks, K.B.; Vossoughi, M.; Schikowski, T.; Weimar, C.; Erbel, R.; et al. Long-Term Air Pollution and Traffic Noise Exposures and Mild Cognitive Impairment in Older Adults: A Cross-Sectional Analysis of the Heinz Nixdorf Recall Study. Environ. Health Perspect. 2016, 124, 1361–1368. [Google Scholar] [CrossRef] [PubMed]
- Pienkowski, M. Loud Music and Leisure Noise Is a Common Cause of Chronic Hearing Loss, Tinnitus and Hyperacusis. Int. J. Environ. Res. Public Health 2021, 18, 4236. [Google Scholar] [CrossRef]
- Gallagher, M. Sound as Affect: Difference, Power and Spatiality. Emot. Space Soc. 2016, 20, 42–48. [Google Scholar] [CrossRef]
- Silva, L.T.; Magalhães, A.; Silva, J.F.; Fonseca, F. Impacts of Low-Frequency Noise from Industrial Sources in Residential Areas. Appl. Acoust. 2021, 182, 108203. [Google Scholar] [CrossRef]
- Bartel, L.; Mosabbir, A. Possible Mechanisms for the Effects of Sound Vibration on Human Health. Healthcare 2021, 9, 597. [Google Scholar] [CrossRef]
- Alves-Pereira, M.; Castelo Branco, N.A.A. Vibroacoustic Disease: Biological Effects of Infrasound and Low-Frequency Noise Explained by Mechanotransduction Cellular Signalling. Prog. Biophys. Mol. Biol. 2007, 93, 256–279. [Google Scholar] [CrossRef]
- Cook, J.; Umar, M.; Khalili, F.; Taebi, A. Body Acoustics for the Non-Invasive Diagnosis of Medical Conditions. Bioengineering 2022, 9, 149. [Google Scholar] [CrossRef]






| Instrument Model | Measurement Range | Accuracy | Weighting Filters | Sampling Intervals |
|---|---|---|---|---|
| Delta OHM HD2010UC/A | 20–140 dBA | ±1.0 dB | A, C, Z | 10 s |
| Delta OHM HD9102 | 94 dB (1 kHz) | ±0.3 dB | - | - |
| Parameters | Measurement Method | Classification | Configurations |
|---|---|---|---|
| Average building height | shapefile analysis | ||
| Street width and Sidewalk width | BOSCH Blaze GLM165-25G laser distance meter | ||
| Street typology | 0.2 for U-shaped | buildings on both sides | |
| 0.4 for L-shaped | buildings on one side | ||
| 0.6 for J-shaped | tall buildings on both sides | ||
| 0.8 | Streets with no adjacent buildings | ||
| Commercial activity intensity | systematic street surveys to define commercial density areas | 0.2 for high | >31 establishments |
| 0.4 for medium-high | 19–30 establishments | ||
| 0.6 for medium-low | 10–18 establishments | ||
| 0.8 for low-density areas | <9 establishments | ||
| Number of generators | 1–11 | ||
| Vehicular traffic | Manual counting | Heavy vehicles | Urban buses, trucks, and trailers |
| Light vehicles | Cars | ||
| Motorcycles | Motorcycles |
| Factor | Coefficient | SE | t-Value | p-Value |
|---|---|---|---|---|
| (Intercept) | 4.3016304 | 0.0432308 | 99.504 | <0.0001 |
| Generators | 0.0240462 | 0.0030656 | 7.844 | <0.0001 |
| Vehicular traffic | 0.0004021 | 0.0002229 | 1.804 | 0.07404 |
| Average building height | −0.0078215 | 0.0057081 | −1.37 | 0.17342 |
| Street typology | −0.0612243 | 0.0533588 | −1.147 | 0.25373 |
| Street width | −0.0075989 | 0.0027241 | −2.79 | 0.00623 |
| Sidewalk width | 0.0154361 | 0.0107814 | 1.432 | 0.15508 |
| Commercial activity intensity | 0.1073906 | 0.0500134 | 2.147 | 0.03399 |
Disclaimer/Publisher’s Note: The statements, opinions and data contained in all publications are solely those of the individual author(s) and contributor(s) and not of MDPI and/or the editor(s). MDPI and/or the editor(s) disclaim responsibility for any injury to people or property resulting from any ideas, methods, instructions or products referred to in the content. |
© 2025 by the authors. Licensee MDPI, Basel, Switzerland. This article is an open access article distributed under the terms and conditions of the Creative Commons Attribution (CC BY) license (https://creativecommons.org/licenses/by/4.0/).
Share and Cite
del Pozo, D.; Valle, B.; Aguilar, S.; Donoso, N.; Benítez, Á. Noise Pollution from Diesel Generator Use During the 2024–2025 Electricity Crisis in Ecuador. Environments 2025, 12, 435. https://doi.org/10.3390/environments12110435
del Pozo D, Valle B, Aguilar S, Donoso N, Benítez Á. Noise Pollution from Diesel Generator Use During the 2024–2025 Electricity Crisis in Ecuador. Environments. 2025; 12(11):435. https://doi.org/10.3390/environments12110435
Chicago/Turabian Styledel Pozo, David, Bryan Valle, Silvio Aguilar, Natalia Donoso, and Ángel Benítez. 2025. "Noise Pollution from Diesel Generator Use During the 2024–2025 Electricity Crisis in Ecuador" Environments 12, no. 11: 435. https://doi.org/10.3390/environments12110435
APA Styledel Pozo, D., Valle, B., Aguilar, S., Donoso, N., & Benítez, Á. (2025). Noise Pollution from Diesel Generator Use During the 2024–2025 Electricity Crisis in Ecuador. Environments, 12(11), 435. https://doi.org/10.3390/environments12110435

