Abstract
Crude oil exploration and transportation have led to significant soil contamination in nearby communities, yet seasonal and depth-related variations remain poorly understood. This study assessed physicochemical properties, potentially toxic elements, and polycyclic aromatic hydrocarbons in surface (0–15 cm) and subsurface (15–30 cm) soils from the Ibaa community and its pipeline Right of Way (ROW) in Rivers State, Nigeria. Samples were collected during wet and dry seasons from five locations, and analyses were conducted using standard methods. Results showed that soil temperature ranged from 27.5 to 31.2 °C, reflecting natural environmental conditions, while nitrate concentrations (1.23–3.45 mg/kg) and moisture content (14.3–23.9%) were within acceptable WHO limits. The pH values (4.61–5.72) suggested acidic conditions, particularly in the unremediated areas. Total Organic Carbon exceeded 3%, with a maximum of 6.23% recorded in the wet season, suggesting persistent hydrocarbon contamination. Phosphorus levels (2.65–6.02 mg/kg) were below the 15 mg/kg threshold. Notably, As (4.93 mg/kg) and Cd (1.67 mg/kg) concentrations exceeded the permissible WHO limits. Positive correlations were observed between As–Cd (r = 0.79), Cd–Cu (r = 0.85), and Pb–Cu (r = 0.64). Principal Component Analysis identified four components for physicochemical parameters (81.9% variance) and two for metals (82.6% variance), suggesting crude oil combustion and vehicular emissions as dominant pollution sources. Pb also correlated significantly with total PAHs in the dry season (r = 0.54, p < 0.05). The study highlights the influence of season and depth on contaminant behavior and emphasizes the urgent need for remediation and monitoring to mitigate ecological and public health risks.
    1. Introduction
Crude oil exploration and production have significantly propelled global economic development, yet these activities are often accompanied by detrimental environmental consequences, most notably, soil contamination []. The release of potentially toxic elements (PTEs) and polycyclic aromatic hydrocarbons (PAHs) into terrestrial ecosystems occurs through oil spills, gas flaring, pipeline vandalism, and artisanal refining. These pollutants, known for their toxicity, environmental persistence, and bioaccumulative potential, pose significant risks to ecological systems and public health [,,,].
Potentially toxic elements (PTEs) such as lead (Pb), cadmium (Cd), arsenic (As), and mercury (Hg), along with PAHs (benzo[a]pyrene, naphthalene, and chrysene), are common constituents of crude oil and its derivatives. Once released into the environment, these contaminants can accumulate in soils to engender microbial degradation and impair soil []. These contaminants can also enter the food chain through crop uptake or gain entry into humans via dermal, inhalation, and ingestion pathways []. Soil serves as a long-term sink due to the persistence and binding affinity of these contaminants. Their mobility and bioavailability, however, are influenced by soil physicochemical parameters such as pH, organic matter content, moisture, and redox potential.
Despite growing awareness, many existing studies on oil-related soil contamination have treated these systems as temporally static, with limited exploration of how seasonal dynamics affect contaminant distribution, behavior, and risk [,]. In tropical environments, seasonal transitions, especially between wet and dry seasons, can substantially influence microbial activity, soil aeration, and moisture content, which in turn affect contaminant mobility, speciation, and human exposure risks. Yet this temporal variability is frequently overlooked in environmental monitoring programs, leading to an underestimation of both ecological and human health risks [].
The Niger Delta region of Nigeria provides a representative case of chronic petroleum pollution in a socioecological context marked by weak regulatory enforcement, widespread artisanal refining, and a high dependence on land and water resources. As one of the world’s most oil-rich but ecologically vulnerable regions, it has suffered widespread environmental degradation over decades [,]. Agricultural lands and freshwater ecosystems are often located near oil infrastructure, exacerbating exposure risks for local populations [,].
Previous studies in the Niger Delta have largely focused on the presence of contaminants in soils without adequately considering temporal variability or source apportionment using robust chemometric tools [,]. Furthermore, comprehensive human health risk assessments, especially those incorporating seasonal trends, remain scarce.
The objective of this study is to assess seasonal variations in physicochemical properties, concentrations of potentially toxic elements (PTEs), and polycyclic aromatic hydrocarbons (PAHs) in soils from the oil-impacted community of Ibaa in the Niger Delta; to identify the principal sources of contamination using multivariate statistical approaches; and to provide evidence-based recommendations for improving soil monitoring, as well as human health risk assessment, using both deterministic and probabilistic approaches.
To achieve these objectives, the study is guided by the following hypotheses:
- i.
- Seasonal variation significantly influences the concentrations and distribution patterns of PTEs and PAHs in oil-contaminated soils.
- ii.
- Chemometric techniques such as PCA can effectively differentiate between natural and anthropogenic sources of contamination.
- iii.
- Human health risks, particularly for dermal and ingestion exposure pathways, differ significantly between wet and dry seasons, with higher risks expected during the dry season due to increased contaminant concentration and exposure potential.
By integrating seasonal dynamics into contamination assessment and risk modeling, the findings of this research are expected to contribute to the development of more effective soil monitoring frameworks, risk communication strategies, and sustainable remediation interventions in oil-impacted communities.
2. Materials and Methods
2.1. Study Area
The study was conducted in Ibaa, located in Emohua Local Government Area of Rivers State, in Nigeria (Figure 1). Ibaa is a semi-urban community characterized by both traditional and modern socio-economic activities. Geographically, the area lies within the Niger Delta region (Latitude 4°56′45″ N and Longitude 6°52′41″ E), known for its rich natural resources, particularly oil and gas deposits, and is accessible via road networks linking Port Harcourt, the state capital.
 
      
    
    Figure 1.
      Maps showing the location of the study area. (A) Map of Africa showing Nigeria; (B) Map of Nigeria showing the Niger Delta region; (C) Map of the Niger Delta showing Rivers State; (D) Map of Rivers State showing Ibaa Community. Source: Compiled and modified from administrative boundary data (2025).
  
Ibaa experiences a tropical monsoon climate, with distinct wet and dry seasons. The rainy season spans from March to October, with peak rainfall typically between July and September. The dry season lasts from November to February. Average annual rainfall ranges between 2000 mm and 2500 mm, and the average temperature ranges from 25 °C to 32 °C [].
Ibaa has an approximately 5000 population who are predominantly engaged in farming, petty trading, fishing, and, in recent times, artisanal oil refining and other informal sector activities []. The presence of oil exploration and associated activities has raised concerns regarding environmental degradation, including soil, water, and air pollution, which have potential implications for human health and livelihoods.
2.2. Sampling and Preparation of Soil Sample
Soil sampling was conducted in the Ibaa community, located in the Niger Delta region of Nigeria, during the wet (August 2023) and dry (February 2024) seasons. A total of five sampling sites were selected based on proximity to the Shell Petroleum Development Company (SPDC) pipeline Right of Way (ROW), recognized as the primary pollution corridor due to chronic oil-related activities. At each site, composite samples were collected from both surface (0–15 cm) and subsurface (15–30 cm) horizons using a clean stainless-steel soil auger. Three to five sub-samples were randomly collected within a 10 m radius (≈314 m2) and homogenized to form a representative composite for each depth and season. Each composite sample weighed approximately 1 kg.
A control site was selected approximately 1 km from the SPDC ROW, in an area devoid of known industrial or petroleum-related disturbances, to establish background concentrations for comparative analysis. Soil temperature was measured in situ using a Hanna Instruments® Digital Soil Thermometer (Hanna Instruments Inc., Woonsocket, RI, USA) inserted to a depth of 10 cm. All samples were sealed in clean, labelled polyethylene bags and transported to the laboratory in an insulated cooler at about 4 degrees Celsius to minimize microbial alteration and moisture loss.
In the laboratory, samples were air-dried at room temperature, manually disaggregated using a porcelain mortar and pestle, and sieved through a 1 mm mesh in accordance with ISO 11464:2006 []. The processed samples were divided into two portions: one for physicochemical characterization (pH, moisture content, nitrate, phosphate, and total organic carbon), and the other for quantification of PTEs and PAHs.
Physicochemical parameters were determined following standard protocols: pH in a 1:2.5 soil-to-water suspension using Hanna Instruments® pH 211 pH Meter (Hanna Instruments Inc., Woonsocket, RI, USA) in accordance with ISO 10390:2005; moisture content by oven-drying at 105 °C to constant weight (ASTM D2216-19) []; nitrate and phosphate by extraction with 2 M KCl followed by colorimetric determination (APHA 4500-NO3−, 4500-PO43−) []; and total organic carbon (TOC) using the Walkley–Black wet oxidation method (ISO 10694:1995) []. PTEs were extracted following USEPA Method 3050B [], while PAHs were analyzed using USEPA Method 8270E []. All measurements were conducted in triplicate to ensure analytical precision and reproducibility [,,].
2.3. Determination of PTEs
Two grams of soil sample were digested using a mixture of 65% nitric acid (HNO3) and perchloric acid (both from Merck, Darmstadt, Germany) in a 3:1 ratio, following the method described by Okoye et al. [,]. The resulting mixture was heated on a hot plate at 110 °C for 5 h and then transferred to an oven, where the temperature was increased stepwise by 50 °C every 60 min (150 °C, 200 °C, 250 °C, 300 °C, 350 °C, 400 °C) until a final temperature of 450 °C was reached. The samples were ashed in a muffle furnace at 450 °C for 18 h until reduced to white ash. The residue was dissolved in 5 mL of 1.5% HNO3 and diluted to 25 mL with deionized water. The solution was then filtered through a Whatman No. 42 filter paper using a Büchner funnel into a clean beaker and stored in a tightly sealed plastic container until analysis.
The concentrations of As and other heavy metals were determined using a GBC Sense AA 800G high-resolution continuum source Atomic Absorption Spectrometer (SE-710690) equipped with a graphite furnace (Cambridge CB5 8BZ, UK), as previously described by Okoye et al. []. Pb, Cd, Cu and Zn were quantified using Graphite Furnace, atomic absorption spectrometry (GF-AAS) mode at wavelengths of 228.8, 283.3, 324.7 and 213.9 nm, respectively, with 0.5% ammonium dihydrogen phosphate as a matrix modifier. The limits of detection (LOD) value for Pb were 1.73 μg/L, and 0.02 μg/L for Cd, Cu and Zn determination. As was analyzed using hydride generation AAS (HG-AAS) mode at a wavelength of 193.7 nm to enhance sensitivity, achieving an LOD value of 2 µg/L []. GF-AAS was chosen for Pb, Cd, Cu, and Zn due to their low detection limits, while HG-AAS was used for As because of its higher volatility and hydride-forming nature [,]. Standard calibration curves were prepared from multi-element standard solutions at concentrations of 40 μg/L for Pb and As, and 4 μg/L for Cd, Cu, and Zn.
To ensure the validity and accuracy of the analytical results, the instrument was recalibrated after every 10 sample runs. The spike recovery method (SRM), involving the addition of known concentrations of PTEs to the samples, was employed for quality control. These calibration curves were further validated using a certified multi-element standard reference material (1000 mg/kg) [,]. To ensure the validity and accuracy of the analytical results, the instrument was recalibrated after every 10 sample runs. The spike recovery method (SRM), involving the addition of known concentrations of PTEs to the samples, was employed for quality control. The percentage recoveries ranged from 96.5% to 100%, indicating high accuracy, while the precision, expressed as relative standard deviation (RSD%), was below 3% for all replicated analyses. The limits of detection (LoDs) were 0.001 mg/kg for As, Cd, and Zn, and 0.01 mg/kg for Pb. The limits of quantification (LoQs) were 0.0033 mg/kg for As, Cd, and Zn, and 0.033 mg/kg for Pb.
2.4. Polycyclic Aromatic Hydrocarbons Determinations
The analysis of PAHs was conducted using Gas Chromatography (GC) systems, Agilent 6890 Series and 6890 Plus, equipped with a dual detector configuration (Flame Ionization Detector [FID] and Electron Capture Detector [ECD]), dual columns, and a TriPlus AS auto-sampler. The carrier gas used was helium, and detection was further supported by a quadrupole Mass Spectrometer (Agilent 5975 MSD), following the U.S. EPA Method 8100. The analytical procedure employed has been previously described [,].
Briefly, PAHs were extracted from samples using an ultrasonic bath sonicator (Elmasonic S40H) (Elma Schmidbauer GmbH, Singen, Germany), in accordance with U.S. EPA SW-846 Method 3550. A 2 g portion of each sample was extracted using a 1:1 (v/v) mixture of acetone and methylene chloride (analytical grade), spiked with 1 mL of an internal PAH standard. The mixture was thoroughly shaken to ensure homogeneity before sonication.
Following extraction, 2.00 μL of each sample extract was injected into the GC under the following column conditions: HP-5 cross-linked phenyl-methyl siloxane column (30 m length, 0.25 mm internal diameter, 1.0 μm film thickness; Agilent Technologies, Santa Clara, CA, USA; Agilent J&W Scientific, Folsom, CA, USA), operated in splitless and constant flow mode with a helium flow rate of 1.2 mL/min. Additional GC-MS settings were configured according to the instrument’s method development protocols and operational manual.
Identification and quantification of individual PAHs were achieved using an internal calibration method, with known concentrations of the 16 priority PAHs as previously standardized in our laboratory [,]. Specificity for each PAH was confirmed through matching retention times and the presence of characteristic transition ions (quantifier and qualifier), with the measured peak area ratios closely aligning with those of the standards.
The sixteen priority PAHs analyzed in this study included: naphthalene (Nap; CAS No. 91-20-3), acenaphthylene (Acy; CAS No. 208-96-8), acenaphthene (Ace; CAS No. 83-32-9), fluorene (Flu; CAS No. 86-73-7), phenanthrene (Phe; CAS No. 85-01-8), anthracene (Ant; CAS No. 120-12-7), fluoranthene (Flt; CAS No. 206-44-0), pyrene (Pyr; CAS No. 129-00-0), benzo[a]anthracene (BaA; CAS No. 56-55-3), chrysene (Cry; CAS No. 218-01-9), benzo[b]fluoranthene (BbF; CAS No. 205-99-2), benzo[k]fluoranthene (BkF; CAS No. 207-08-9), benzo[a]pyrene (BaP; CAS No. 50-32-8), dibenzo[ah]anthracene (DahA; CAS No. 53-70-3), benzo[ghi]perylene (BghiP; CAS No. 191-24-2), and indeno [1,2,3-cd]pyrene (Ind; CAS No. 193-39-5).
The detection limit (LOD)—estimated as three times the background noise (IUPAC criterion)—was similar for all analyzed compounds, and results were less than 0.015 µg/kg dry weight (d.w.) for all analytes. The blank samples remained always below the quantification limit (LOQ): 0.05 µg/kg d.w (Tables S1 and S2).
2.5. Human Health Risk Assessment
Human health risk assessment (HHRA) for PTEs and PAHs via accidental soil ingestion was performed using models originally developed by the United States Environmental Protection Agency [,]. The estimated daily intake (EDI) for each contaminant was calculated using Equation (1):
      
      
      
    
        where Ci represents the measured concentration of a given PTE or PAH in soil (mg/kg), IR is the ingestion rate (114 mg/day for adults and 160 mg/day for children aged 1–3 years), and BW is the body weight (80 kg for adults, 12.5 kg for children) [].
        EDIi = Ci × IR/BW
      
      Non-carcinogenic risk was assessed using the Hazard Quotient (HQ), calculated as follows:
      
      
      
    
        where ADI is the acceptable daily intake derived from the Joint FAO/WHO Expert Committee on Food Additives [] (Table 1). An HQ below 1 indicates negligible risk. For contaminants such as Pb, As, and PAHs, where ADIs have been withdrawn due to insufficient protection, the Margin of Exposure (MoE) was calculated using Equation (3):
      
      
      
    
        where PoD represents the point of departure (e.g., benchmark dose or NOAEL) for a specific pollutant and health outcome. MoE values above 100 (non-carcinogens) or 10,000 (carcinogens) are generally considered indicative of low health concern [,]. ADI and PoD were summarized in Table 1.
        HQi = EDIi/ADI
      
      
        MoE = PoD/EDi
      
       
       
    
    Table 1.
    ADI and PoD of the selected pollutants used in risk assessment [].
  
PAHs were further assessed using the toxic equivalency approach based on the Toxic Equivalency Factor (TEF) methodology [,].
      
      
      
    
        where CPAHi is the concentration of each individual PAH, and TEFᵢ is its toxic equivalency factor relative to benzo[a]pyrene.
        TEQ = Σ(CPAHi × TEFi)
      
      2.6. Statistical Analysis Methods and Software
The statistical analyses were conducted using two software packages. XLSTAT 2014 was utilized for Principal Component Analysis, correlation analyses, normality tests, ANOVA, t-tests, Mann–Whitney U tests, and generation of PCA biplots. Python version 3.9 with seaborn library version 0.12.2 was employed for all other data visualizations including box plots, scatter plots, and bar plots. Concentrations of As, Pb, Cd, Cu and Zn in soil samples were reported as mean values and standard deviation (SD) and were subjected to Kruskal–Wallis’ test (since data does not show a normal distribution) to evaluate the significant differences. The Kaiser–Meyer–Olkin (KMO) analysis was conducted on the concentration of metals in samples, and a value of 0.68 indicated the sampling adequacy and suitability of the data for performing the PCA analysis. Furthermore, the sphericity of the data was analyzed using Bartlett’s test, and a p value < 0.001 was obtained, suggesting that there was a sufficiently significant correlation in the data for conducting the PCA analysis. Then, PCA was carried out to determine the information about relationships between PTEs and samples. Descriptive statistics (mean, standard deviation, minimum, maximum, and skewness) were used to summarize data distributions. One-way Analysis of Variance (ANOVA) was performed to evaluate if there were significant differences in the various parameters measured between sampling locations. Tukey’s multiple comparison test, which is a post hoc analysis, was used to identify where the difference lay. Relationships between parameters were examined using Pearson’s correlation coefficient (r), with significance set at p < 0.05.
3. Results and Discussion
3.1. Physicochemical Parameters of Soil
3.1.1. Levels of Physicochemical Parameters of Soil
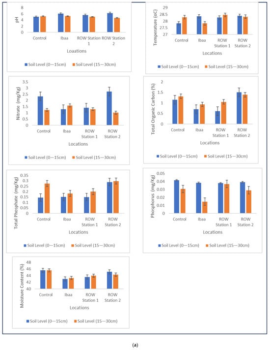
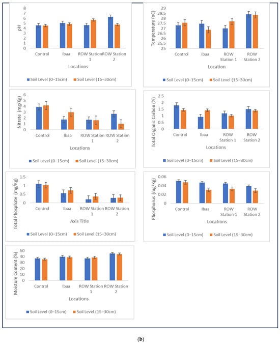
This study assessed the physicochemical properties of soils at four locations—Control, Ibaa, Right-of-Way (ROW) Station 1, and ROW Station 2—at two depths (0–15 cm and 15–30 cm) during the dry and wet seasons (Figure 2a,b). Parameters including pH, temperature, total organic carbon (TOC), moisture, nitrate, total phosphate, and available phosphorus were evaluated against international standards and contextualized through comparative studies in both African and European contexts.

 
      
    
    Figure 2.
      (a) Physicochemical parameters in soil in wet season. (b) Physicochemical parameters in soil in dry season.
  
Soil pH ranged from 4.3 to 6.2 across all samples, with lower values observed in Ibaa during the dry season (Figure 2a). These values fall below the FAO/USEPA permissible range of 6.0–8.5, indicating acidic conditions. Similar acidity has been reported in petroleum-contaminated soils in the Niger Delta [], Cape Coast in Ghana [], and Kenya []. By contrast, a remediated European area such as Romania shows a return to near-neutral pH [], indicating the slower remediation response in sub-Saharan Africa.
Soil temperatures ranged from 27.5 °C to 32.1 °C (Figure 1B and Figure 2b), aligning with microbial optimal ranges (25–35 °C) [], thus favoring biodegradation processes. Deeper soils consistently recorded slightly higher temperatures. These values are consistent with findings of [,], where tropical climates promote steady microbial activities.
Moisture content increased substantially during the wet season, peaking at 45.9% compared to 36.5% in the dry season (Figure 2a). These patterns mirror seasonal moisture dynamics in Nigerian wetland soils [] and European peatlands []. While elevated moisture enhances microbial respiration, it can also lead to leaching of mobile nutrients such as nitrates and phosphates [].
TOC levels ranged between 2.5% and 5.4%, consistently exceeding the commonly referenced threshold of 3% used in environmental assessments to indicate elevated organic content in soils [] (Figure 2a). This organic overload likely results from residual hydrocarbons. Similar TOC enrichment has been observed in oil-polluted soils in China [] and industrial zones of Poland []. Although elevated TOC supports microbial populations, excessive buildup may inhibit nutrient mineralization, impeding plant nutrient availability [].
Dry season nitrate concentrations reached a maximum of 10.3 mg/kg at the Control site and declined to ~4.5 mg/kg in impacted ROW areas (Figure 2a). These levels remain well below the WHO/FAO safety limit of 50 mg/kg []. Wet season values were generally lower (Figure 2b), likely due to leaching. This is consistent with nitrate fluctuations reported in sandy Italian soils [] and rainfall-driven dilution in a typical mixed land-use karst catchment in Southwest China [].
Total phosphate ranged between 0.5 and 2.8 mg/kg, while available phosphorus was between 0.05 and 0.35 mg/kg across all sites and seasons (Figure 2a,b). These values fall significantly below agronomic thresholds, 15–30 mg/kg, for available phosphorus and 1000 mg/kg for total phosphorus []. The observed depletion aligns with findings in highly acidic soils in Germany [], as well as in oil-impacted zones in Port Harcourt in Nigeria []. Limited phosphorus bioavailability under acidic and organic-rich conditions suggests strong binding with Fe/Al oxides or microbial immobilization [].
Across parameters, most values were higher at the 15–30 cm depth, indicating vertical migration of contaminants such as TOC and nitrate. Seasonally, wet conditions enhanced mobility and microbial activity, contributing to nutrient turnover and redistribution. Similar vertical stratification and seasonal modulation have been reported in a Tropical Highland Lake Ardibo, Ethiopia [] and tropical terra-firme forest soil in Central Amazonia [], emphasizing the interaction between soil hydrology and contaminant dynamics.
In the dry season, significant positive correlations were observed between pH and temperature (r = 0.453), pH and moisture (r = 0.542), nitrate and phosphate (r = 0.480), TOC and phosphate (r = 0.437), while a strong negative correlation was noted between moisture and phosphate (r = −0.590). These patterns, absent during the wet season, suggest that nutrient interactions are more tightly coupled in drier, unsaturated conditions. Similar seasonal shifts in correlation structure have been reported in Ghanaian agricultural lands [] and Mediterranean soils [], where water saturation buffers or disrupts key soil processes.
3.1.2. Principal Component Analysis: Physico-Chemical Parameters
Principal Component Analysis (PCA) was conducted to uncover underlying patterns in soil quality across crude oil-impacted and control sites (Figure 3). The PCA identified four principal components (PCs) with eigenvalues > 0.8, cumulatively explaining 79.43% of the total variance following Varimax rotation, an acceptable explanatory power for environmental datasets.
 
      
    
    Figure 3.
      Biplot showing the relationship between the physico-chemical parameters. (The green circles highlight variable groupings: Pb, Cu, As, and surface soil (0–15 cm) in the upper right quadrant, and Season-Dry, and Ibaa in the lower right quadrant).
  
PC1 (eigenvalue = 2.817; 31.63% variance) was characterized by strong positive loadings for nitrate (0.709) and total phosphate (0.849), and negative associations with moisture content (−0.766) and temperature (−0.610). This component reflects an inverse relationship between nutrient concentration and hydrometeorological conditions, likely driven by evapoconcentration in dry periods and dilution during wet seasons.
PC2 (15.53%) exhibited a singularly strong loading for phosphorus (0.944), highlighting its distinct behavior due to limited mobility and strong sorption in acidic soils. PC3 (15.89%) was dominated by TOC (0.956), indicative of localized hydrocarbon contamination and organic matter accumulation. PC4 (16.38%) showed a strong positive loading for pH (0.923), suggesting independent regulation by subsurface buffering and chemical weathering rather than nutrient or organic interactions.
The PCA biplot (Figure 3) visually illustrates the relationships among these variables and their spatio-temporal distribution across samples. Vectors indicate the direction and magnitude of each variable’s contribution to the principal components, while sample points demonstrate clustering patterns along environmental gradients. Notably, dry season samples clustered along the nitrate and phosphate vectors, indicating elevated nutrient concentrations likely caused by reduced leaching and enhanced evapotranspiration. In contrast, wet season samples aligned more closely with moisture content and temperature, underscoring the influence of rainfall and thermal fluctuations.
Stratification by soil depth further revealed that surface samples (0–15 cm) were more strongly associated with phosphorus, possibly due to recent surface inputs such as fertilizer residues or organic waste, while subsurface soils (15–30 cm) showed stronger correlations with pH, indicating the influence of vertical transport and natural buffering processes. The separation of TOC, pH, and nutrient-related parameters across different PCs emphasizes the multifactorial nature of soil heterogeneity in oil-polluted environments. This graphical representation enhances the interpretability of the multivariate statistical output by clearly depicting how physicochemical parameters vary with season and depth, and by identifying the dominant environmental processes governing these variations.
These findings concur with global observations. In East Africa, nitrate and phosphate have similarly clustered with dry season samples [,], while in Nigeria, moisture was negatively correlated with phosphorus in oil-impacted wetlands []. Comparable patterns have been noted in temperate soils of Brazil [], and soils under semiarid Mediterranean climate have shown distinct TOC components []. Studies in European agricultural soil also reported separate loadings for TOC and pH [] and variable phosphorus behavior across land-use types [], reinforcing the global relevance of the PCA structure observed.
In conclusion, soil heterogeneity in tropical, petroleum-impacted systems is governed by four key processes: nutrient dynamics (PC1), phosphorus retention (PC2), organic matter accumulation (PC3), and pH buffering (PC4). The distinct separation of phosphorus and TOC highlights the need for remediation strategies that go beyond hydrocarbon removal to include nutrient replenishment and pH stabilization. These multivariate insights are critical for guiding effective soil management and ecological restoration in similarly impacted environments globally.
3.2. Potentially Toxic Elements in Soil
3.2.1. Concentration of PTEs in Soil
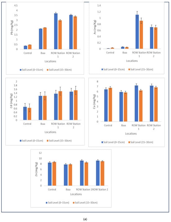
In the dry season, there were higher As and Cd in the top and subsoil at all the areas (Figure 4b). This could be attributed to an increase in the oil spillage from the local artisanal refining activities within this period. Whereas in the rainy season, there was high Cd in the top and subsoil at all the sampled areas, but high As was only observed in the topsoil at the ROW (Figure 4a). Overall, there were higher As and heavy metal levels in the dry season compared to the rainy season. The lower levels of As and heavy metals observed in the rainy season can be linked to gradual leaching and washing from the soil into the nearby water bodies (streams and rivers) during rainfall.

 
      
    
    Figure 4.
      (a) PTEs in wet season. (b) PTEs in dry season.
  
Industrialization and diverse anthropogenic activities including crude oil exploration have left an indelible imprint on global soil pollution [,,]. It has been erroneously believed that the primary soil contamination sources are anthropogenic and may be accompanied by contaminant accumulation in the soil, which may attain levels of public concern []. Soil pollution has been identified as the ninth most important threat to soil functions in sub-Saharan Africa []. Consequently, heavy metal soil pollution has become an important issue of public concern with respect to farm produce [,]. Diverse studies have enumerated sundry causes of pollution as follows: PTEs are soil pollutants since human cycle rates are faster than natural and are mobile in soil [,].
There were strong positive correlations between Pb and several PTEs (soil depth 0–15 cm): As (r = 0.598, p < 0.05), Cu (r = 0.621, p < 0.05), and Zn (r = 0.525, p < 0.05). As showed strong positive correlations with Cd (r = 0.742, p < 0.05) and Cu (r = 0.696, p < 0.05). Cd also demonstrated a strong positive correlation with Cu (r = 0.680, p < 0.05). These results suggest interconnected relationships between these metal(loid)s in the upper soil layer. For soil depth 15–30 cm, similar but slightly weaker correlation patterns were observed. As maintained strong positive correlations with Pb (r = 0.569, p < 0.05), Cd (r = 0.832, p < 0.05), and Cu (r = 0.727, p < 0.05). Cd showed a significant positive correlation with Cu (r = 0.584, p < 0.05). Unlike the upper soil layer, Zn showed weaker correlations with other metals at this depth, with correlation coefficients ranging from −0.327 to 0.294.
During the dry season, significant positive correlations were observed between Pb and both Cu (r = 0.424, p < 0.05) and Zn (r = 0.590, p < 0.05). As exhibited strong positive correlations with Cd (r = 0.694, p < 0.05) and Cu (r = 0.644, p < 0.05), while Cd also showed a strong positive correlation with Cu (r = 0.737, p < 0.05).
In the wet season, Pb demonstrated strong positive correlations with all other analyzed PTEs: As (r = 0.823, p < 0.05), Cd (r = 0.747, p < 0.05), Cu (r = 0.500, p < 0.05), and Zn (r = 0.547, p < 0.05). As also showed strong positive correlations with Cu (r = 0.676, p < 0.05) and Zn (r = 0.739, p < 0.05). Additionally, a very strong positive correlation was observed between Cu and Zn (r = 0.964, p < 0.05).
These correlation patterns suggest distinct relationships between PTEs at different soil depths and seasons. The relationships were stronger in the upper soil layer (0–15 cm) compared to deeper soil (15–30 cm), particularly for correlations involving Zn. The seasonal analysis revealed stronger metal correlations during the wet season compared to the dry season, suggesting that seasonal factors significantly influenced the relationships between PTEs in the soil system. The consistent positive correlations between specific PTE pairs (As-Cd, Cu-Cd, Pb-Cu) across different conditions suggest potential common sources or similar behaviour of these PTEs in the soil.
3.2.2. Principal Component Analysis: Potentially Toxic Elements
Principal Component 1 (F1) had an eigenvalue of 2.834 and accounted for 56.670% of the total variance in the dataset before varimax rotation. After varimax rotation, F1 explained 53.963% of the variance. Principal Component 2 (F2) had an eigenvalue of 1.392, explaining 27.830% of the variance before rotation and 30.538% after rotation. The cumulative variance explained by these two components was 84.500%, indicating that these components captured most of the variation in the dataset. Using a factor loading threshold of |0.5|, Principal Component 1 showed strong positive loadings for As (0.929), Cd (0.927), Cu (0.797), and moderate loadings for Pb (0.577). Principal Component 2 was strongly associated with Zn (0.961) and showed moderate loading for Pb (0.600), suggesting that Pb was influenced by both components.
The biplot presented in Figure 5 illustrates the relationships between PTEs and sampling conditions. The position and direction of the vectors reveal several distinct patterns. ROW Station 1 showed strong associations with As, Cd, and Cu concentrations, while ROW Station 2 was more closely associated with Zn levels. The Control location and Ibaa station showed negative associations with most metals, indicating lower heavy metal concentrations at these locations. The seasonal pattern showed that dry season samples were more strongly associated with As, Cd, and Cu (positioned in the positive direction of F1), while wet season samples showed stronger associations with Zn (positioned in the positive direction of F2). Soil depth showed minimal influence on heavy metal distribution, as indicated by the small vector lengths for the depth variables.
 
      
    
    Figure 5.
      Biplot showing the relationship between the potentially toxic elements and other parameters. (The green circle highlights the clustering of Pb, Cu, As, and surface soil (0–15 cm), indicating their strong association along the first principal component).
  
These results indicate that the variation in soil metal(loid) concentrations is largely explained by two dominant sources or processes. Component F1 (As-Cd-Cu-Pb) likely reflects emissions and waste from the nearby oil refinery, including crude oil leaks, combustion by-products, and industrial sludge, all of which are known to contribute elevated levels of As, Cd, Cu, and Pb to the environment [,]. Component F2, dominated by Zn, may be attributed to vehicular traffic, tire and brake wear, galvanized metal corrosion, and general urban runoff, which are common in industrial areas with associated transport infrastructure [,].
The shared presence of Pb in both components suggests its widespread input and environmental persistence from multiple sources, including past use of leaded gasoline, industrial processes, and airborne deposition from the refinery [].
Overall, PCA indicates distinct but overlapping anthropogenic sources of contamination in the study area, emphasizing the need for source-specific mitigation and remediation strategies.
3.3. Relationship Between Physicochemical Parameters and Potentially Toxic Elements in Soil
The relationship between physicochemical parameters and PTEs in soil varied notably between the dry and wet seasons, indicating the influence of seasonal changes on metal mobility and behavior (Table 2).
 
       
    
    Table 2.
    (a) Relationship between physicochemical parameters and potentially toxic elements in Soil in the dry season. (b) Relationship between physicochemical parameters and potentially toxic elements in Soil in the wet season.
  
In the dry season, soil temperature showed significant negative correlations with arsenic (As, r = −0.56) and cadmium (Cd, r = −0.67), suggesting reduced metal mobility at higher temperatures. Moisture content was also negatively correlated with As (r = −0.47) and Cd (r = −0.71), but positively with zinc (Zn, r = 0.42), indicating differing solubility and retention patterns. Total phosphate had a negative correlation with Zn (r = −0.48), possibly due to precipitation or competitive binding. Strong positive correlations among Pb, Cu, and Zn (r = 0.42–0.59), as well as among As, Cd, and Cu (r = 0.64–0.74), suggest common anthropogenic sources such as industrial activity and vehicular emissions.
In the wet season, the correlations shifted. Temperature correlated positively with Pb (r = 0.43) and Cd (r = 0.53), indicating enhanced mobilization under warm, moist conditions. Total phosphate showed significant positive correlations with Cu (r = 0.45) and Zn (r = 0.47). Pb exhibited strong correlations with As (r = 0.82), Cd (r = 0.75), Cu (r = 0.50), and Zn (r = 0.55), while Cu and Zn were highly correlated (r = 0.96), reinforcing their shared geochemical behavior and origin.
These findings also concur with study outcomes from Europe, where Pb, Cu, and Zn are commonly co-associated in industrial soils and exhibit seasonal mobility shifts [,]. Gao et al. [] similarly found increased Cd and Pb mobility during wet or monsoon seasons in China. McBride et al. [] also reported that phosphate influences Zn availability through complexation and precipitation reactions. Studies in Nigeria [] and South Africa [] report similar seasonal influences on PTE mobility, with moisture and temperature acting as key drivers.
The relationship between soil physicochemical parameters and PTEs at 0–15 cm and 15–30 cm depths revealed strong interactions influenced by soil chemistry, particularly pH, temperature, moisture, and nutrient content (Table 3).
 
       
    
    Table 3.
    (a) Relationship between physicochemical parameters and PTEs in Soil (0–15 cm). (b) Relationship between physicochemical parameters and PTEs in Soil (15–30 cm).
  
At 0–15 cm depth, soil pH exhibited significant negative correlations with arsenic (As, r = −0.44), cadmium (Cd, r = −0.53), and copper (Cu, r = −0.42), suggesting increased metal mobility in acidic soils. This aligns with the known behavior of metals in low pH environments, where increased hydrogen ion activity disrupts metal-soil bonds, enhancing solubility. Conversely, alkaline soils tend to reduce metal availability through precipitation as hydroxides, carbonates, or phosphates.
Temperature also correlated negatively with As (r = −0.48) and Cd (r = −0.57), but positively with zinc (Zn, r = 0.49), indicating that elevated temperatures may enhance Zn availability but limit As and Cd mobility, possibly through changes in microbial activity or redox processes. Moisture content followed a similar trend—negatively correlated with As (r = −0.65) and Cd (r = −0.80), and positively with Zn (r = 0.45)—highlighting moisture’s role in metal mobility and partitioning. Strong inter-metal correlations were observed among Pb, As, Cu, and Zn (e.g., Pb-Cu r = 0.62; As-Cd r = 0.74; Cu-Zn r = 0.39), suggesting shared sources or similar geochemical pathways.
At 15–30 cm depth, comparable patterns were observed. Moisture remained a strong determinant, negatively correlated with As (r = −0.61) and Cd (r = −0.81), but positively with Zn (r = 0.49). Temperature negatively correlated with Cd (r = −0.69), while nitrate showed significant positive correlations with As (r = 0.42), Cd (r = 0.63), and Cu (r = 0.41), suggesting a potential link between nitrogen cycling and metal mobility. Total phosphate negatively correlated with Zn (r = −0.52), which may result from Zn-phosphate precipitation or competition for sorption sites.
Among the PTEs, As exhibited strong positive associations with Pb (r = 0.57), Cd (r = 0.83), and Cu (r = 0.73), while Cd also correlated with Cu (r = 0.58), reinforcing the pattern of co-mobilization and likely shared anthropogenic sources such as industrial emissions or contaminated runoff.
These findings are supported by other studies in Nigeria’s Niger Delta, where oil-contaminated soils showed similar pH-related metal dynamics. Anyanwu et al. [] reported that crude oil spillage led to increases in soil pH, organic carbon, and PTEs (Zn, Cd, Pb), with acidic conditions enhancing metal solubility. Similarly, studies by Amaechi et al. [], Aigberua & Okere [], Mafiana et al. [] and Kicińska et al. [] showed that acidic soils, often resulting from pollution, were associated with elevated levels of heavy metals, especially Pb.
Comparative studies from Hungary [] and Southern Kazakhstan [] have documented strong inter-metal correlations and depth-dependent variation in metal availability, especially under variable pH and moisture conditions. Nitrate and phosphate have also been implicated in modifying metal dynamics via chelation or precipitation []. In Ghana, similar depth-specific metal behaviors have been attributed to industrial activity, agrochemical inputs, and hydrological processes [].
Overall, the outcome of this study indicates that soil acidity, temperature, and moisture are primary drivers of PTE behavior at both surface and subsurface levels. The consistent patterns across depths emphasize the need for depth-specific monitoring in contaminated soils. These findings also suggest that regional contamination assessments must consider local soil chemistry, seasonal variations, and pollution sources to effectively mitigate heavy metal risks.
3.4. PAHs in Soil
3.4.1. Concentration and Distribution of Carcinogenic and Total PAHs in Soil During the Wet Season
Figure 6 illustrates pronounced spatial and vertical variability in PAH concentrations across sampling sites. The control location showed the lowest contamination, with total PAHs of 4.47 ± 1.98 mg/kg and carcinogenic PAHs of 0.24 ± 0.42 mg/kg at 0–15 cm depth, and slightly higher carcinogenic PAHs (0.51 ± 0.00 mg/kg) at 15–30 cm. These low values reflect minimal anthropogenic impact and serve as a baseline for comparison.
 
      
    
    Figure 6.
      (a) PAH levels in soil during wet season. (b) PAH levels in soil during dry season.
  
In contrast, Ibaa station exhibited the highest contamination, particularly in deeper soil, where total PAHs reached 12.29 ± 18.93 mg/kg and carcinogenic PAHs 4.17 ± 7.22 mg/kg. This suggests persistent input, likely from petroleum activities, coupled with leaching during the wet season. Similar accumulation patterns have been reported in oil-impacted soils in the Niger Delta [] and industrial sites in China, where seasonal rainfall drives vertical contaminant migration [].
ROW Station 1 consistently showed low total PAH levels (<1 mg/kg), indicating limited contamination or enhanced degradation. In contrast, carcinogenic PAHs at ROW Station 2 increased with depth, from 0.87 ± 1.50 mg/kg (0–15 cm) to 2.30 ± 3.98 mg/kg (15–30 cm), reflecting a pattern similar to that reported by Obrist et al. [] in the U.S., where aged PAHs accumulate in subsoil layers.
Results from the current study, therefore, highlight site-specific contamination patterns influenced by local emissions and wet season leaching. The elevated carcinogenic PAH fractions at depth are consistent with studies from Asia and Africa reporting that prolonged deposition and hydrological transport can shift contamination below the surface horizon, emphasizing the need for depth-resolved monitoring and remediation strategies.
3.4.2. PAH Levels in Soil During Dry Season
No detectable levels of either carcinogenic or total PAHs were recorded in soil samples from the control location at both surface (0–15 cm) and subsurface (15–30 cm) depths, indicating minimal background contamination. Similarly, Ibaa station recorded non-detectable PAH levels during the dry season but showed a marked increase during the wet season (Figure 6a,b), suggesting possible seasonal inputs, such as surface runoff or increased microbial mobilization.
In contrast, ROW Station 1 exhibited the highest dry season contamination, with carcinogenic PAH concentrations reaching 3.18 ± 1.18 mg/kg (0–15 cm) and 4.96 ± 1.94 mg/kg (15–30 cm), while total PAHs were 11.68 ± 3.66 mg/kg and 11.35 ± 2.83 mg/kg, respectively. ROW Station 2 recorded moderate contamination, with carcinogenic PAHs ranging from 0.38 ± 0.66 mg/kg to 0.42 ± 0.61 mg/kg and total PAHs from 4.93 ± 1.98 mg/kg to 4.81 ± 0.56 mg/kg across both depths.
A total of 16 individual PAHs—including high molecular weight compounds such as benzo[a]pyrene and indeno [1,2,3-cd]pyrene—were detected in ROW soils, while none were found in Ibaa soils. The presence of these high-risk compounds, many of which were listed in the U.S. Annual Reports on Carcinogens as early as 1981 and 1989, reflects the influence of combustion-related activities and possible petroleum contamination along pipeline corridors. Comparable studies in oil-producing regions of China [] and the Niger Delta [] have similarly reported elevated levels of carcinogenic PAHs in soils near active or abandoned pipelines, underscoring the environmental risks associated with crude oil infrastructure.
3.4.3. Seasonal and Depth-Related Variation in PAH Concentrations
Comparative analysis of PAH concentrations across seasons and soil depths (Table 4) revealed distinct spatial and temporal trends. At the control site, PAHs were detectable only during the wet season, while concentrations fell below detection limits during the dry season. A similar pattern was observed at Ibaa station, which exhibited the highest PAH levels during the wet season (e.g., total PAHs up to 12.29 ± 18.93 mg/kg at 15–30 cm), but undetectable concentrations in the dry season, suggesting a strong influence of seasonal leaching and ongoing anthropogenic input.
 
       
    
    Table 4.
    Mean ± standard deviation of PAHs concentration in soil for dry and wet seasons.
  
Conversely, ROW Station 1 demonstrated an inverse pattern, with higher total PAHs during the dry season, suggesting possible surface accumulation in the absence of leaching. ROW Station 2 showed less pronounced seasonal variation in total PAHs but did exhibit deeper migration of carcinogenic PAHs during the wet season, aligning with previous findings by Shi et al. [] and Sun et al. [], which reported that vertical transport of PAHs is influenced by rainfall and soil permeability.
Most locations exhibited greater PAH accumulation at 15–30 cm during the wet season, whereas the dry season showed reduced or inconsistent depth gradients, consistent with previous reports indicating hydrological flushing and translocation of PAHs in saturated soils [,,].
The findings underscore the persistence of petroleum-related pollution in wet tropical regions. High molecular weight PAHs such as Benzo[a]pyrene (BaP) were particularly elevated, reaching concentrations of 0.37 ± 0.05 mg/kg (370,000 ng/g)—significantly higher than those reported in China (0.09–2.05 ng/g) [], India (0.02–2.98 ng/g) [], and South Korea (mean BaP: 55 ng/g) [].
These elevated PAH levels surpass ecotoxicological thresholds and are of public health concern. Chronic exposure has been linked to cancers, respiratory illnesses, and neurological disorders [,]. Moreover, persistent binding of PAHs to soil organic matter enhances their environmental stability, reduces biodegradability, and amplifies toxicity over time [,].
In comparison to other heavily polluted zones such as the Niger Delta, where Σ29PAHs and Σ16PAHs have reached up to 40,845.32 ng/g and 14,141.49 ng/g, respectively [], the concentrations in this study are even more concerning. These findings emphasize the urgent need for biomonitoring of food crops and soil-to-plant transfer assessments in impacted regions.
3.5. Relationship Between PTEs and Total PAHs in the Soil
As shown in Table 5a, a significant positive correlation (r = 0.54) was observed between total PAHs and Pb concentrations in the soil during the dry season. This suggests that increases in Pb levels may be associated with elevated PAH accumulation, possibly due to shared anthropogenic sources such as crude oil contamination and combustion-related activities. Similar findings have been reported in oil-impacted regions of Nigeria [] and industrial zones in China [], where heavy traffic and industrial emissions contributed concurrently to elevated Pb and PAH levels.
 
       
    
    Table 5.
    (a) Relationship between PTEs and total PAHs in soil in the dry season. (b) Relationship between PTEs and total PAHs in soil in the wet season. (c) Relationship between PTEs and Total PAHs in soil (0–15 cm). (d) Relationship between PTEs and total PAHs in soil (15–30 cm).
  
While As, Cd, Cu, and Zn also showed positive but statistically non-significant correlations with total PAHs, the pattern aligns with observations from studies in India [] and Iraq [], where weak associations were attributed to differing mobility, sources, and retention behaviors of these elements in the soil matrix. The absence of strong correlations for these metals may reflect localized inputs or variable chemical interactions in the soil environment under dry seasonal conditions.
Table 5b shows the correlations between PTEs and total PAHs in soil samples collected during the wet season. A weak negative correlation was observed between Zn and total PAHs (r = −0.26), as well as between As and total PAHs (r = −0.21); however, both relationships were statistically non-significant. Similar non-significant or weak inverse correlations have been documented in wet-season studies from petroleum-contaminated regions in Malaysia [] and parts of the Niger Delta [], where increased leaching and dilution effects during rainfall reduced contaminant concentrations and masked potential associations.
Correlations between total PAHs and other metals—Cd, Cu, and Pb—were also non-significant, suggesting that seasonal hydrological processes may alter the distribution and interaction of organic and inorganic contaminants in soil. These findings highlight the influence of seasonal variability on contaminant dynamics and suggest that co-contamination patterns observed in the dry season may be less evident or altered during wetter conditions.
The relationship between PTEs and total PAHs in the topsoil (0–15 cm) revealed generally weak and non-significant associations (Table 5c). Specifically, As and Pb each showed very weak positive correlations with total PAHs, with correlation coefficients of r = 0.06, indicating minimal interaction between these contaminants in the studied soils. This lack of significant correlation suggests that PTEs and PAHs may originate from different sources or exhibit distinct environmental behaviors and transport mechanisms. Unlike PTEs, which can bind strongly to soil particles or be influenced by pH and redox conditions, PAHs are hydrophobic organic compounds that tend to associate with soil organic matter and may degrade or volatilize over time. Similar findings have been reported in urban and industrial areas in Portugal and Southern Russia, where weak or inconsistent correlations between metals and PAHs suggest independent pollution pathways [,]. In West Africa, studies have also shown that co-contamination of PAHs and metals in soils is highly site-specific and dependent on the nature of industrial or hydrocarbon pollution []. The results from this study reinforce the need for differentiated monitoring and remediation strategies when managing mixed-contaminant soils.
Table 5d shows that no significant correlations were observed between PTEs and PAHs in the bottom soil layer (15–30 cm). Lead (Pb) exhibited a weak positive correlation with total PAHs, though the relationship was not statistically significant. In contrast, As, Cd, Cu, and Zn all showed negative correlations with total PAHs; however, none of these were significant either. These results suggest a decoupling between metal and PAH behavior in deeper soil layers, possibly due to differing transport, degradation, and binding mechanisms. Unlike metals, which tend to adsorb strongly to mineral components and persist with depth, PAHs are more likely to bind to organic matter near the surface and degrade over time, reducing their concentration at depth. Similar findings have been reported in contaminated soils from Portugal, where the vertical distribution of PAHs often declines sharply with depth, while metals show more consistent persistence []. In oil-impacted regions like Nigeria, weak metal-PAH associations in subsoils have also been attributed to low PAH mobility and microbial degradation []. The absence of significant relationships in this study highlights the need to treat PTEs and PAHs as chemically and behaviorally distinct contaminants, especially when assessing long-term soil pollution and designing remediation approaches.
3.6. Correlation Between Individual PAHs and PTEs Across Depths and Seasons
Correlation analysis revealed strong interrelationships among individual PAH compounds in both surface (0–15 cm) and subsurface (15–30 cm) soils, while their correlations with PTEs were generally weak, suggesting different contamination sources or environmental behaviors.
At the 0–15 cm depth (Table S3), the strongest inter-PAH correlations were observed between Benzo[a]pyrene and Benzo[b]fluoranthene (r = 0.95, p < 0.05), and Naphthalene with both Benzo[a]pyrene and Benzo[b]fluoranthene (r = 0.83, p < 0.05). Other notable correlations included Benz[a]anthracene–Benzo[b]fluoranthene (r = 0.82), Benzo[k]fluoranthene–Pyrene (r = 0.80), and Chrysene–Pyrene (r = 0.78). These strong correlations reflect common sources, likely combustion processes such as vehicular emissions or biomass burning. In contrast, correlations between PAHs and PTEs were mostly weak (r < 0.5), with only a few statistically significant associations—Benzo[k]fluoranthene–As (r = 0.44, p < 0.05), Pyrene–As (r = 0.43, p < 0.05), and Anthracene–Cd (r = −0.49, p < 0.05). These results suggest dual contamination sources in the topsoil: PAHs likely from pyrogenic sources, and PTEs from industrial or agricultural inputs.
In the 15–30 cm depth (Table S4), strong inter-PAH correlations were again evident, with Benzo[a]pyrene–Pyrene (r = 0.991), Indeno [1,2,3-cd]pyrene–Pyrene (r = 0.929), and Benzo[a]pyrene–Indeno [1,2,3-cd]pyrene (r = 0.896) all highly significant (p < 0.05). However, correlations between PAHs and PTEs were generally very weak, with most values below r = 0.3. The strongest correlation was Acenaphthene–As (r = −0.430), though still not significant. This further supports the interpretation that PAHs and PTEs in subsoil likely originate from separate sources or are subjected to different environmental fates, such as the limited mobility of PAHs at depth due to strong sorption and microbial degradation.
Seasonal analysis provided additional insights. During the wet season (Table S5), strong inter-PAH correlations persisted, particularly between Benzo[k]fluoranthene and Indeno [1,2,3-cd]pyrene (r = 0.96, p < 0.05). However, correlations between PAHs and PTEs remained weak (r < 0.3), reinforcing the idea of distinct pollution sources during the rainy season, with PAHs likely introduced through atmospheric deposition and runoff, while metals persist in the soil from industrial, vehicular, or agrochemical residues.
In contrast, during the dry season (Table S6), statistically significant associations emerged between certain PAHs and PTEs. Notably, Benzo[k]fluoranthene–As (r = 0.50, p < 0.05), Acenaphthylene–As (r = 0.45, p < 0.05), and Benzo[k]fluoranthene–Cd (r = 0.44, p < 0.05) showed moderate positive correlations. These findings suggest that during dry periods, reduced soil moisture and increased deposition from nearby combustion sources may lead to overlapping sources of both PAHs and PTEs.
Overall, the weak PAH–PTE correlations across depths and seasons indicate that co-contamination in the study area is likely from multiple, independent sources. While PAHs are primarily associated with combustion processes, PTEs may derive from industrial emissions, agricultural runoff, or urban waste. Similar patterns of dual-source contamination have been reported by Sun et al. [] from China, Reis et al. [] from Portugal, and Faboya et al. [] from Nigeria, where PAHs and metals exhibit distinct spatial and seasonal patterns depending on land use and pollutant input pathways.
3.7. Human Health Risk Assessment
Table 6 shows PTEs and PAHs exposure through accidental soil ingestion for adults and children between 1 and 3 years old in the wet and dry seasons. As indicated, intake of contaminants by the adult population was lower than that of children due to the lower soil ingestion intake–body weight ratio. Children’s intake was higher due to the lower body weight and high soil accidental consumption (due to their behaviour in playgrounds and lower proximity of their mouth to the ground).
 
       
    
    Table 6.
    PTEs (mg/kg/day) and PAHs (mg TEQ/kg/day) intake through accidental soil ingestion for adult and child populations in both seasons, wet and dry.
  
No potential health risk was identified for Cd, Cu, and Zn via soil ingestion, as their HQ were below 1. Furthermore, the MoE values generally exceeded the safety thresholds, with MoEs greater than 100 for Pb in adults, and greater than 10,000 for As and PAHs in both children and adults (Table 7). These findings suggest that adverse health effects are not expected from these exposures. However, an exception was observed for As at Row Stations 1 and 2, Ibaa, and the Control site, where MoE values for children aged 1 to 3 years during both seasons, and for adults in the dry season, ranged between 1000 and 2000, significantly below the carcinogenic safety benchmark of 10,000. In contrast, MoE values for PAHs were well above the safety threshold of 10,000 for carcinogenic substances, in some instances exceeding 1,000,000 (Table 4). In summary, the MoE for Pb exposure in children through incidental soil ingestion may not be sufficiently protective against potential health effects such as reduced intelligence quotient. Additionally, As exposure via soil ingestion during the dry season falls short of the safety margin (MoE > 10,000), raising concerns about potential carcinogenic risks.
 
       
    
    Table 7.
    Non-carcinogenic risk (HQ) and Margin of exposure due to exposure to PTEs and PAHs through soil accidental ingestion.
  
It is important to acknowledge that accidental soil ingestion is not the only pathway through which humans are exposed to environmental pollutants. A comprehensive health risk assessment should incorporate multiple exposure routes, including inhalation of contaminated air and ingestion of polluted water and food sources [,,]. Human exposure to a mixture of contaminants, particularly PTEs and PAHs, has been widely documented in the literature [,,,]. A common underlying mechanism in the adverse health effects of these pollutants is the generation of free radicals and oxidative stress. This process can lead to oxidative damage to macromolecules and increased lipid peroxidation, contributing to the development of various non-communicable diseases [,,,].
4. Conclusions
This study provides compelling evidence of persistent and potentially hazardous soil contamination by PTEs and carcinogenic PAHs in the study area during the 2023–2024 monitoring period. Despite the limited sampling duration and small sample size, several critical insights emerged. Pb concentrations, including at the control site, posed significant non-carcinogenic risks to young children through incidental ingestion, with the calculated MoE falling below protective thresholds. Seasonal variability played a key role, as As levels during the dry season exceeded acceptable carcinogenic risk limits for both adults and children, while PAH migration into deeper soil horizons was more evident during the wet season. These findings confirm that seasonal dynamics significantly influence contaminant concentrations, distribution, and associated risks, thus supporting the first hypothesis.
Stable positive correlations among specific PTE pairs (e.g., As-Cd, Cu-Cd, and Pb-Cu) across depths and seasons point to common anthropogenic inputs and shared geochemical behaviors. This aligns with the second hypothesis, underscoring the value of chemometric tools such as PCA in distinguishing between natural and human-related sources of contamination and providing insights for source attribution and risk mitigation strategies.
Human health risk assessment further revealed that exposure pathways were seasonally differentiated, with ingestion risks from Pb persisting across all sites and carcinogenic risks from As elevated in the dry season. These results validate the third hypothesis, confirming that risks differ between seasons and are particularly heightened during the dry period, with children being the most vulnerable group.
While Cd, Cu, and Zn levels did not exceed health-based thresholds, the cumulative and synergistic effects of chronic low-level exposure cannot be ruled out. The scope and methods employed in this study may be considered limitations, as they did not capture potential long-term effects of oil contamination or other confounding factors unrelated to petroleum activities. Moreover, the findings are specific to this geographic context and should be generalized with caution.
Overall, by confirming all three hypotheses, this study demonstrates that integrating seasonal dynamics, chemometric source apportionment, and health risk modeling provides a more holistic understanding of soil contamination in oil-impacted communities. The findings call for the urgent need for long-term monitoring, targeted remediation, and effective health risk communication, while also providing a framework for future research aimed at refining exposure pathways and evaluating long-term ecological and human health outcomes.
Supplementary Materials
The following supporting information can be downloaded at: https://www.mdpi.com/article/10.3390/environments12100363/s1, Table S1: Selected ions were applied for the quantification and qualification of PAH analytes by GC-MS equipment (SIM mode); Table S2: Reproducibility relative standard deviation (RSDR; n = 6), repeatability relative standard deviation (RSDr; n = 6), Recoveries, Linear range, LOQ, LOD and Coefficient of estimation (r2); Table S3: Correlation Between Individual PAHs and PTEs in Soil Level of 0–15 cm; Table S4: Correlation Between Individual PAHs and PTEs in Soil Level of 15–30 cm; Table S5: Correlation Between Individual PAHs and PTEs in the Wet Season; Table S6: Correlation Between Individual PAHs and PTEs in the Wet Season.
Author Contributions
Supervision: V.K.A.; Field Sampling and Benchwork: V.K.A.; Writing: P.M.A., C.M.O., J.R. and C.F.; Data analysis: V.K.A., J.R. and C.F.; Visualization: O.E.O.; Original draft: O.E.O.; Review, revision, writing & editing: All authors; Validation and Approval: All authors. All authors have read and agreed to the published version of the manuscript.
Funding
This research received no external funding.
Data Availability Statement
All datasets exploited are included in this study.
Conflicts of Interest
The authors declare no conflict of interest.
References
- Adeola, A.O.; Akingboye, A.S.; Ore, O.T.; Oluwajana, O.A.; Adewole, A.H.; Olawade, D.B.; Ogunyele, A.C. Crude oil exploration in Africa: Socio-economic implications, environmental impacts, and mitigation strategies. Environ. Syst. Decis. 2022, 42, 26–50. [Google Scholar] [CrossRef] [PubMed]
- Petruzzelli, G.; Pezzarossa, B.; Pedron, F. The Fate of Chemical Contaminants in Soil with a View to Potential Risk to Human Health: A Review. Environments 2025, 12, 183. [Google Scholar] [CrossRef]
- Edo, G.I.; Samuel, P.O.; Oloni, G.O.; Ezekiel, G.O.; Ikpekoro, V.O.; Obasohan, P.; Ongulu, J.; Otunuya, C.F.; Opiti, A.R.; Ajakaye, R.S.; et al. Environmental persistence, bioaccumulation, and ecotoxicology of heavy metals. Chem. Ecol. 2024, 40, 322–349. [Google Scholar] [CrossRef]
- Thakare, M.; Sarma, H.; Datar, S.; Roy, A.; Pawar, P.; Gupta, K.; Pandit, S.; Prasad, R. Understanding the holistic approach to plant-microbe remediation technologies for removing heavy metals and radionuclides from soil. Curr. Res. Biotechnol. 2021, 3, 84. [Google Scholar] [CrossRef]
- Abbaspour, A.; Zohrabi, F.; Dorostkar, V.; Faz, A.; Acosta, J.A. Remediation of an oil contaminated soil by two native plants treated with biochar and mycorrhizae. J. Environ. Manag. 2020, 254, 109755. [Google Scholar] [CrossRef]
- Innocent, M.O.; Mustapha, A.; Abdulsalam, M.; Livinus, M.U.; Samuel, J.O.; Elelu, S.A.; Lateefat, S.O.; Muhammad, A.S. Soil Microbes and Soil Contamination. In Soil Microbiome in Green Technology Sustainability; Springer Nature: Cham, Switzerland, 2024; pp. 3–35. [Google Scholar]
- Angon, P.B.; Islam, M.S.; Das, A.; Anjum, N.; Poudel, A.; Suchi, S.A. Sources, effects and present perspectives of heavy metals contamination: Soil, plants and human food chain. Heliyon 2024, 10, e28357. [Google Scholar] [CrossRef]
- Gogoi, A.; Taki, K.; Kumar, M. Seasonal dynamics of metal phase distributions in the perennial tropical (Brahmaputra) river: Environmental fate and transport perspective. Environ. Res. 2020, 183, 109265. [Google Scholar] [CrossRef]
- Khan, M.Y.A.; Gani, K.M.; Chakrapani, G.J. Spatial and temporal variations of physicochemical and heavy metal pollution in Ramganga River—A tributary of River Ganges, India. Environ. Earth Sci. 2017, 76, 231. [Google Scholar] [CrossRef]
- Sharma, S.; Kaur, I.; Nagpal, A.K. Contamination of rice crop with potentially toxic elements and associated human health risks—A review. Environ. Sci. Pollut. Res. 2021, 28, 12282–12299. [Google Scholar] [CrossRef]
- Okpebenyo, W.; Onoh, C.; Cornell, C.; Igwe, A. Revisiting the resource curse in Nigeria: The case of Niger Delta. KIU Interdiscip. J. Humanit. Soc. Sci. 2023, 4, 259–276. [Google Scholar]
- Abenabe, G.K.; Ekpotuatin, C.A. Nigeria’s Oil Complex: The Tragedy of the Commons. Rev. Bras. Estud. Afr. 2024, 9, 123–138. [Google Scholar] [CrossRef]
- Chinedu, E.; Chukwuemeka, C.K. Oil spillage and heavy metals toxicity risk in the Niger Delta, Nigeria. J. Health Pollut. 2018, 8, 47–53. [Google Scholar] [CrossRef] [PubMed]
- Borah, G.; Deka, H. Crude oil associated heavy metals (HMs) contamination in agricultural land: Understanding risk factors and changes in soil biological properties. Chemosphere 2023, 310, 136890. [Google Scholar] [CrossRef]
- Mafiana, M.O.; Kang, X.H.; Leng, Y.; He, L.F.; Li, S.W. Petroleum contamination significantly changes soil microbial communities in three oilfield locations in Delta State, Nigeria. Environ. Sci. Pollut. Res. 2021, 28, 31447–31461. [Google Scholar] [CrossRef]
- Adeniran, M.A.; Oladunjoye, M.A.; Doro, K.O. Electrical resistivity imaging of crude oil contaminant in coastal soils—A laboratory sandbox study. J. Appl. Geophys. 2024, 230, 105516. [Google Scholar] [CrossRef]
- Onyeisi, J.O. Characterisation of Spatio-Temporal Pattern of Rainfall and Temperature Over the Lower Niger River. Ph.D. Thesis, Federal University of Technology MINNA, Minaa, Niger, 2022. [Google Scholar]
- Idoga, A.; Dadan-Garba, A.; Shuaibu, I.; Ganiyu, S. Assessment of the Socioeconomic Effects of Illegal Artisanal Petroleum Refineries on Farmers in Gokana Local Government Area, Rivers State, Nigeria. Plasu J. Environ. Sci. 2025, 1, 17–34. [Google Scholar]
- ISO 11464:2006; Soil Quality—Sample Preparation for Physical and Chemical Analysis. International Organization for Standardization: Geneva, Switzerland, 2006.
- Almutawa, N.; Eid, W. Soil moisture content estimation using active infrared thermography technique: An exploratory laboratory study. Kuwait J. Sci. 2023, 50, 399–404. [Google Scholar] [CrossRef]
- Abdul Wahid, A.; Arunbabu, E. Multivariate analysis of water quality dynamics in a highly eutrophic reservoir: Hydrological, meteorological, and environmental contributions. Stoch. Environ. Res. Risk Assess. 2025, 39, 2373–2393. [Google Scholar] [CrossRef]
- Wu, C.Y.; Wu, P.H.; Hseu, Z.Y. Assessing the robustness of VIS-NIR spectroscopy-based soil organic carbon prediction against four wet chemistry methods. Carbon Manag. 2025, 16, 2511337. [Google Scholar] [CrossRef]
- United States Environmental Protection Agency (USEPA). Method 3050B—Acid Digestion of Sediments, Sludges, and Soils (Revision); USEPA: Washington, DC, USA, 1996; p. 12.
- USEPA. Method 8270E (SW-846): Semivolatile Organic Compounds by Gas Chromatography/Mass Spectrometry (GC/MS); USEPA: Washington, DC, USA, 2014.
- Ma, J.; Wu, S.; Shekhar, N.R.; Biswas, S.; Sahu, A.K. Determination of physicochemical parameters and levels of heavy metals in food waste water with environmental effects. Bioinorg. Chem. Appl. 2020, 2020, 8886093. [Google Scholar] [CrossRef]
- Maphuhla, N.G.; Lewu, F.B.; Oyedeji, O.O. The effects of physicochemical parameters on analysed soil enzyme activity from Alice landfill site. Int. J. Environ. Res. Public Health 2021, 18, 221. [Google Scholar] [CrossRef]
- Qiu, Z.; Liu, Q.; Zhang, R.; Zhan, C.; Liu, S.; Zhang, J.; Liu, H.; Xiao, W.; Liu, X. Distribution characteristics and pollution assessment of phosphorus forms, TOC, and TN in the sediments of Daye Lake, Central China. J. Soils Sediments 2023, 23, 1023–1036. [Google Scholar] [CrossRef]
- Okoye, E.A.; Bocca, B.; Ruggieri, F.; Ezejiofor, A.N.; Nwaogazie, I.L.; Domingo, J.L.; Rovira, J.; Frazzoli, C.; Orisakwe, O.E. Metal pollution of soil, plants, feed and food in the Niger Delta, Nigeria: Health risk assessment through meat and fish consumption. Environ. Res. 2021, 198, 111273. [Google Scholar] [CrossRef] [PubMed]
- Okoye, E.A.; Ezejiofor, A.N.; Nwaogazie, I.L.; Frazzoli, C.; Orisakwe, O.E. Polycyclic aromatic hydrocarbons in soil and vegetation of Niger Delta, Nigeria: Ecological risk assessment. J. Toxicol. 2023, 2023, 8036893. [Google Scholar] [CrossRef] [PubMed]
- Mustatea, G.; Ungureanu, E.L. Assessing the presence and health risks of potentially toxic metals in food: A comprehensive overview. Explor. Foods Foodomics 2024, 2, 471–496. [Google Scholar] [CrossRef]
- Rai, S.K.; Xalxo, R.; Patle, T.K.; Verma, A.; Chauhan, R.; Mahish, P.K. Chapter 10: Analyzing contamination of heavy metals-AAS and fluorescence spectroscopy. In Heavy Metals in the Environment: Management Strategies for Global Pollution; ACS Symposium Series; American Chemical Society: Washington, DC, USA, 2023; Volume 1456, pp. 167–204. [Google Scholar] [CrossRef]
- Amadi, C.N.; Bocca, B.; Ruggieri, F.; Ezejiofor, A.N.; Uzah, G.; Domingo, J.L.; Rovira, J.; Frazzoli, C.; Orisakwe, O.E. Human dietary exposure to metals in the Niger delta region, Nigeria: Health risk assessment. Environ. Res. 2022, 207, 112234. [Google Scholar] [CrossRef]
- Ekner, H.; Dreij, K.; Sadiktsis, I. Determination of polycyclic aromatic hydrocarbons in commercial olive oils by HPLC/GC/MS–Occurrence, composition and sources. Food Control 2022, 132, 108528. [Google Scholar] [CrossRef]
- Vu-Duc, N.; Phung Thi, L.A.; Le-Minh, T.; Nguyen, L.A.; Nguyen-Thi, H.; Pham-Thi, L.H.; Doan-Thi, V.A.; Le-Quang, H.; Nguyen-Xuan, H.; Thi Nguyen, T.; et al. Analysis of polycyclic aromatic hydrocarbon in airborne particulate matter samples by gas chromatography in combination with tandem mass spectrometry (GC-MS/MS). J. Anal. Methods Chem. 2021, 2021, 6641326. [Google Scholar] [CrossRef]
- Famiyeh, L.; Chen, K.; Xu, J.; Sun, Y.; Guo, Q.; Wang, C.; He, J. A review on analysis methods, source identification, and cancer risk evaluation of atmospheric polycyclic aromatic hydrocarbons. Sci. Total Environ. 2021, 789, 147741. [Google Scholar] [CrossRef]
- United States, Environmental Protection Agency, Office of Emergency and Remedial Response. Risk Assessment Guidance for Superfund: Pt. A. Human Health Evaluation Manual; Office of Emergency and Remedial Response, US Environmental Protection Agency: Washington, DC, USA, 1989; Volume 1.
- USEPA (United States Environmental Protection Agency). Exposure Factors Handbook, 2011 ed.; Office of Research and Development, United States Environmental Protection Agency: Washington, DC, USA, 2011. Available online: https://www.epa.gov/expobox/exposure-factors-handbook-2011-edition (accessed on 13 January 2025).
- JECFA. Evaluations of the Joint FAO/WHO Expert Committee on Food Additives (JECFA). 2025. Available online: https://apps.who.int/food-additives-contaminants-jecfa-database/ (accessed on 13 January 2025).
- European Food Safety Authority (EFSA). Opinion of the Scientific Committee on a request from EFSA related to a harmonised approach for risk assessment of substances which are both genotoxic and carcinogenic. EFSA J. 2005, 3, 282. [Google Scholar] [CrossRef]
- United States Environmental Protection Agency. Environmental Criteria and Assessment Office (Cincinnati, Provisional Guidance for Quantitative Risk Assessment of Polycyclic Aromatic Hydrocarbons; Environmental Criteria and Assessment Office, Office of Health and Environmental Assessment, US Environmental Protection Agency: Washington, DC, USA, 1993; Volume 600.
- Abdulai, P.M.; Ossai, C.; Ezejiofor, A.N.; Frazzoli, C.; Rovira, J.; Ekhator, O.C.; Firempong, C.K.; Orisakwe, O.E. Polycyclic Aromatic Hydrocarbons Burden of Meats Singed with Different Fuel Sources from Abattoirs in Ghana and Associated Cancer Risk Assessment. Environ. Health Insights 2025, 19. [Google Scholar] [CrossRef]
- Nyarko, H.D.; Okpokwasili, G.C.; Joel, O.F.; Galyuon, I.A.K. Effect of petroleum fuels and lubricants on soil properties of auto-mechanic workshops and garages in Cape Coast metropolis, Ghana. J. Appl. Sci. Environ. Manag. 2019, 23, 1287–1296. [Google Scholar] [CrossRef]
- Martin, O.I.; Lusweti, J.; Kipkemboi, P.; Anditi, B.C.; Muthoka, T.M. Variation of Selected Metal Pollutants with Depth and Seasons in Petroleum Contaminated Soils. Afr. J. Educ. Sci. Technol. (AJEST) 2015, 2, 181. [Google Scholar]
- Luchian, C.E.; Motrescu, I.; Dumitrașcu, A.I.; Scutarașu, E.C.; Cara, I.G.; Colibaba, L.C.; Cotea, V.V.; Jităreanu, G. Comprehensive Assessment of Soil Heavy Metal Contamination in Agricultural and Protected Areas: A Case Study from Iași County, Romania. Agriculture 2025, 15, 1070. [Google Scholar] [CrossRef]
- Wang, C.; Morrissey, E.M.; Mau, R.L.; Hayer, M.; Piñeiro, J.; Mack, M.C.; Marks, J.C.; Bell, S.L.; Miller, S.N.; Schwartz, E.; et al. The temperature sensitivity of soil: Microbial biodiversity, growth, and carbon mineralization. ISME J. 2021, 15, 2738–2747. [Google Scholar] [CrossRef] [PubMed]
- Nottingham, A.T.; Gloor, E.; Bååth, E.; Meir, P. Soil carbon and microbes in the warming tropics. Funct. Ecol. 2022, 36, 1338–1354. [Google Scholar] [CrossRef]
- Nottingham, A.T.; Whitaker, J.; Ostle, N.J.; Bardgett, R.D.; McNamara, N.P.; Fierer, N.; Salinas, N.; Ccahuana, A.J.; Turner, B.L.; Meir, P. Microbial responses to warming enhance soil carbon loss following translocation across a tropical forest elevation gradient. Ecol. Lett. 2019, 22, 1889–1899. [Google Scholar] [CrossRef]
- Onwuka, B.M.; Nwagbara, M.O.; Oguike, P.C. Evaluation of soil moisture in relation to climate variability across Umudike South eastern Nigeria. Int. J. Hydrol. 2024, 8, 93–98. [Google Scholar] [CrossRef]
- Burdun, I.; Bechtold, M.; Sagris, V.; Lohila, A.; Humphreys, E.; Desai, A.R.; Nilsson, M.B.; De Lannoy, G.; Mander, Ü. Satellite determination of peatland water table temporal dynamics by localizing representative pixels of a SWIR-based moisture index. Remote Sens. 2020, 12, 2936. [Google Scholar] [CrossRef]
- Khoshru, B.; Khoshmanzar, E.; Lajayer, B.A.; Ghorbanpour, M. Soil moisture–mediated changes in microorganism biomass and bioavailability of nutrients in paddy soil. In Plant Stress Mitigators; Academic Press: Cambridge, MA, USA, 2023; pp. 479–494. [Google Scholar]
- USEPA. Guidance for Comparing Background and Chemical Concentrations in Soil for CERCLA Sites; EPA 540-R-01-003; U.S. Environmental Protection Agency, Office of Emergency and Remedial Response: Washington, DC, USA, 2002.
- Yu, T.; Liu, X.; Ai, J.; Wang, J.; Guo, Y.; Liu, X.; He, X.; Deng, Z.; Jiang, Y. Microbial community succession during crude oil-degrading bacterial enrichment cultivation and construction of a degrading consortium. Front. Microbiol. 2022, 13, 1044448. [Google Scholar] [CrossRef]
- Wyszkowska, J.; Borowik, A.; Zaborowska, M.; Kucharski, J. Revitalization of Soil Contaminated by Petroleum Products Using Materials That Improve the Physicochemical and Biochemical Properties of the Soil. Molecules 2024, 29, 5838. [Google Scholar] [CrossRef] [PubMed]
- Dhaliwal, S.S.; Dubey, S.K.; Kumar, D.; Toor, A.S.; Walia, S.S.; Randhawa, M.K.; Kaur, G.; Brar, S.K.; Khambalkar, P.A.; Shivey, Y.S. Enhanced organic carbon triggers transformations of macronutrients, micronutrients, and secondary plant nutrients and their dynamics in the soil under different cropping Systems—A review. J. Soil Sci. Plant Nutr. 2024, 24, 5272–5292. [Google Scholar] [CrossRef]
- World Health Organization. Guidelines for Drinking-Water Quality: Fourth Edition Incorporating the First Addendum; WHO Press: Geneva, Switzerland, 2017; Available online: https://www.who.int/publications/i/item/9789241549950 (accessed on 13 January 2025).
- Cecchini, G.; Andreetta, A.; Marchetto, A.; Carnicelli, S. Soil solution fluxes and composition trends reveal risks of nitrate leaching from forest soils of Italy. CATENA 2021, 200, 105175. [Google Scholar] [CrossRef]
- Wang, Z.J.; Li, S.L.; Yue, F.J.; Qin, C.Q.; Buckerfield, S.; Zeng, J. Rainfall driven nitrate transport in agricultural karst surface river system: Insight from high resolution hydrochemistry and nitrate isotopes. Agric. Ecosyst. Environ. 2020, 291, 106787. [Google Scholar] [CrossRef]
- Wang, Y.; Cui, Y.; Wang, K.; He, X.; Dong, Y.; Li, S.; Wang, Y.; Yang, H.; Chen, X.; Zhang, W. The agronomic and environmental assessment of soil phosphorus levels for crop production: A meta-analysis. Agron. Sustain. Dev. 2023, 43, 35. [Google Scholar] [CrossRef]
- Gocke, M.I.; Don, A.; Heidkamp, A.; Schneider, F.; Amelung, W. The phosphorus status of German cropland—An inventory of top- and subsoils. J. Plant Nutr. Soil Sci. 2021, 184, 51–64. [Google Scholar] [CrossRef]
- Eyetan, T.; Ozabor, F. Oil spills deposits effect on soil physicochemical properties in Port Harcourt metropolis: Implication for agricultural planning. J. Manag. Soc. Sci. Res. 2021, 2, 45–58. [Google Scholar] [CrossRef]
- Oyetunji, O.; Jones, O.A.; Subashchandrabose, S.; Yeasmin, M.; Lamb, D. Birnessite-Mediated Phosphorus Transformation and Speciation in Dissolved and Soil Organic Matter. Environ. Sci. Technol. 2025, 59, 15192–15202. [Google Scholar] [CrossRef]
- Mohammed, A.; Mengistou, S.; Fetahi, T. Role of environmental variables and seasonal mixing in dynamics of the phytoplankton community in a Tropical Highland Lake Ardibo, Ethiopia. J. Freshw. Ecol. 2023, 38, 2170484. [Google Scholar] [CrossRef]
- Schaap, K.J.; Fuchslueger, L.; Quesada, C.A.; Hofhansl, F.; Valverde-Barrantes, O.; Camargo, P.B.; Hoosbeek, M.R. Seasonal fluctuations of extracellular enzyme activities are related to the biogeochemical cycling of C, N and P in a tropical terra-firme forest. Biogeochemistry 2023, 163, 1–15. [Google Scholar] [CrossRef]
- Bessah, E.; Boakye, E.A.; Agodzo, S.K.; Nyadzi, E.; Larbi, I.; Awotwi, A. Increased seasonal rainfall in the twenty-first century over Ghana and its potential implications for agriculture productivity. Environ. Dev. Sustain. 2021, 23, 1232–12365. [Google Scholar] [CrossRef]
- Zuccarini, P.; Asensio, D.; Ogaya, R.; Sardans, J.; Peñuelas, J. Effects of seasonal and decadal warming on soil enzymatic activity in a P-deficient Mediterranean shrubland. Glob. Change Biol. 2020, 26, 3698–3714. [Google Scholar] [CrossRef]
- Fischer, S.; Hilger, T.; Piepho, H.P.; Jordan, I.; Karungi, J.; Towett, E.; Shepherd, K.; Cadisch, G. Soil and farm management effects on yield and nutrient concentrations of food crops in East Africa. Sci. Total Environ. 2020, 716, 137078. [Google Scholar] [CrossRef]
- Kalonga, J.; Mtei, K.; Massawe, B.; Kimaro, A.; Winowiecki, L.A. Characterization of soil health and nutrient content status across the North-East Maasai Landscape, Arusha Tanzania. Environ. Chall. 2024, 14, 100847. [Google Scholar] [CrossRef]
- Amaechi, J.U.J.; Onweremadu, B.U.; Uzoho, B.U.; Chukwu, E.D. Physico-chemical properties of wetland soils affected by crude oil spillage in Niger Delta area, Nigeria. Int. J. Plant Soil Sci. 2022, 34, 109–121. [Google Scholar] [CrossRef]
- Santana, C.O.D. Avaliação Taxonômica e Funcional da Comunidade Bacteriana nos Sedimentos do Rio Juliana-Apa do Pratigi; Universidade Federal da Bahia: Bahia, Brazil, 2020. [Google Scholar]
- Soria, R.; González-Pérez, J.A.; de la Rosa, J.M.; San Emeterio, L.M.; Domene, M.A.; Ortega, R.; Miralles, I. Effects of technosols based on organic amendments addition for the recovery of the functionality of degraded quarry soils under semiarid Mediterranean climate: A field study. Sci. Total Environ. 2022, 816, 151572. [Google Scholar] [CrossRef] [PubMed]
- Xu, H.; Zhang, C. Investigating spatially varying relationships between total organic carbon contents and pH values in European agricultural soil using geographically weighted regression. Sci. Total Environ. 2021, 752, 141977. [Google Scholar] [CrossRef] [PubMed]
- Vystavna, Y.; Paule-Mercado, M.C.; Schmidt, S.I.; Hejzlar, J.; Porcal, P.; Matiatos, I. Nutrient dynamics in temperate European catchments of different land use under changing climate. J. Hydrol. Reg. Stud. 2023, 45, 101288. [Google Scholar] [CrossRef]
- Kumar, A.; Chaturvedi, A.K.; Yadav, K.; Arunkumar, K.P.; Malyan, S.K.; Raja, P.; Kumar, R.; Khan, S.A.; Yadav, K.K.; Rana, K.L.; et al. Fungal phytoremediation of heavy metal-contaminated resources: Current scenario and future prospects. In Recent Advancement in White Biotechnology Through Fungi. Volume 3: Perspective for Sustainable Environments; Yadav, A.N., Singh, S., Mishra, S., Gupta, A., Eds.; Springer Nature: Cham, Switzerland, 2019. [Google Scholar] [CrossRef]
- Kumar, S.S.; Ghosh, P.; Malyan, S.K.; Sharma, J.; Kumar, V. A comprehensive review on enzymatic degradation of the organophosphate pesticide malathion in the environment. J. Environ. Sci. Health Part C 2019, 37, 288–329. [Google Scholar] [CrossRef]
- Rolka, E.; Żołnowski, A.C.; Sadowska, M.M. Assessment of Heavy Metal Content in Soils Adjacent to the DK16-Route in Olsztyn (North-Eastern Poland). Pol. J. Environ. Stud. 2020, 29, 4303–4311. [Google Scholar] [CrossRef]
- Adesipo, A.A.; Freese, D.; Nwadinigwe, A.O. Prospects of in-situ remediation of crude oil contaminated lands in Nigeria. Sci. Afr. 2020, 8, e00403. [Google Scholar] [CrossRef]
- FAO ITPS. Status of the World’s Soil Resources (SWSR): Main Report. Rome, Food and Agriculture Organization of the United Nations and Intergovernmental Technical Panel on Soils. 2015. Available online: https://www.fao.org/fileadmin/templates/lon/Items/Dan_Pennock_IYS_2015.pdf (accessed on 13 January 2025).
- Gupta, N.; Yadav, K.K.; Kumar, V.; Kumar, S.; Chadd, R.P.; Kumar, A. Trace elements in soil-vegetables interface: Translocation, bioaccumulation, toxicity and amelioration—A review. Sci. Total Environ. 2019, 651, 2927–2942. [Google Scholar] [CrossRef]
- Nieder, R.; Benbi, D.K. Potentially toxic elements in the environment–a review of sources, sinks, pathways and mitigation measures. Rev. Environ. Health 2024, 39, 561–575. [Google Scholar] [CrossRef]
- Caporale, A.G.; Porfido, C.; Roggero, P.P.; Di Palma, A.; Adamo, P.; Pinna, M.V.; Garau, G.; Spagnuolo, M.; Castaldi, P.; Diquattro, S. Long-term effect of municipal solid waste compost on the recovery of a potentially toxic element (PTE)-contaminated soil: PTE mobility, distribution and bioaccessibility. Environ. Sci. Pollut. Res. 2023, 30, 122858–122874. [Google Scholar] [CrossRef] [PubMed]
- Otitolaiye, V.O.; Al-Harethiya, G.M. Impacts of petroleum refinery emissions on the health and safety of local residents. J. Air Pollut. Health 2022, 7, 69–80. [Google Scholar] [CrossRef]
- Mohammadi, L.; Rahdar, A.; Bazrafshan, E.; Dahmardeh, H.; Susan, M.A.B.H.; Kyzas, G.Z. Petroleum hydrocarbon removal from wastewaters: A review. Processes 2020, 8, 447. [Google Scholar] [CrossRef]
- Gupta, V. Vehicle-generated heavy metal pollution in an urban environment and its distribution into various environmental components. In Environmental Concerns and Sustainable Development: Volume 1: Air, Water and Energy Resources; Springer: Singapore, 2020; pp. 113–127. [Google Scholar] [CrossRef]
- Sager, M. Urban soils and road dust—Civilization effects and metal pollution—A review. Environments 2020, 7, 98. [Google Scholar] [CrossRef]
- Ye, J.; Li, J.; Wang, P.; Ning, Y.; Liu, J.; Yu, Q.; Bi, X. Inputs and sources of Pb and other metals in urban area in the post leaded gasoline era. Environ. Pollut. 2022, 306, 119389. [Google Scholar] [CrossRef]
- Spahić, M.P.; Sakan, S.; Cvetković, Ž.; Tančić, P.; Trifković, J.; Nikić, Z.; Manojlović, D. Assessment of contamination, environmental risk, and origin of heavy metals in soils surrounding industrial facilities in Vojvodina, Serbia. Environ. Monit. Assess. 2018, 190, 208. [Google Scholar] [CrossRef]
- Tóth, G.; Hermann, T.; Da Silva, M.R.; Montanarella, L.J.E.I. Heavy metals in agricultural soils of the European Union with implications for food safety. Environ. Int. 2016, 88, 299–309. [Google Scholar] [CrossRef]
- Gao, L.; Li, R.; Liang, Z.; Hou, L.; Chen, J. Seasonal variations of cadmium (Cd) speciation and mobility in sediments from the Xizhi River basin, South China, based on passive sampling techniques and a thermodynamic chemical equilibrium model. Water Res. 2021, 207, 117751. [Google Scholar] [CrossRef] [PubMed]
- McBride, M.B.; Kelch, S.E.; Schmidt, M.P.; Sherpa, S.; Martinez, C.E.; Aristilde, L. Oxalate-enhanced solubility of lead (Pb) in the presence of phosphate: pH control on mineral precipitation. Environ. Sci. Process. Impacts 2019, 21, 738–747. [Google Scholar] [CrossRef] [PubMed]
- Udo, G.J.; Uwanta, E.J.; Awaka-ama, J.J.; Ubong, U.U.; Igwe, R. Implications of Crude Oil Exploration and Exploitation on Seasonal Variability of pH and Electrical Conductivity of Arable Soil, Water and Sediment of Ibeno Coastal Area, Niger Delta, Nigeria. Res. J. Sci. Technol. 2024, 4, 26–43. [Google Scholar]
- Cramer, M.D.; Hoffman, M.T. The consequences of precipitation seasonality for Mediterranean-ecosystem vegetation of South Africa. PLoS ONE 2015, 10, e0144512. [Google Scholar] [CrossRef]
- Anyanwu, I.N.; Beggel, S.; Sikoki, F.D.; Okuku, E.O.; Unyimadu, J.P.; Geist, J. Pollution of the Niger Delta with total petroleum hydrocarbons, heavy metals and nutrients in relation to seasonal dynamics. Sci. Rep. 2023, 13, 14079. [Google Scholar] [CrossRef]
- Aigberua, A.O.; Okere, U.V. The impact of oil spills on prevailing metal-soil associations. Int. J. Sci. Eng. Res. 2019, 10, 1339–1365. [Google Scholar]
- Mafiana, M.O.; Bashiru, M.D.; Erhunmwunsee, F.; Dirisu, C.G.; Li, S.W. An insight into the current oil spills and on-site bioremediation approaches to contaminated sites in Nigeria. Environ. Sci. Pollut. Res. 2021, 28, 4073–4094. [Google Scholar] [CrossRef]
- Kicińska, A.; Pomykała, R.; Izquierdo-Diaz, M. Changes in soil pH and mobility of heavy metals in contaminated soils. Eur. J. Soil Sci. 2022, 73, e13203. [Google Scholar] [CrossRef]
- Rékási, M.; Filep, T. Factors determining Cd, Co, Cr, Cu, Ni, Mn, Pb and Zn mobility in uncontaminated arable and forest surface soils in Hungary. Environ. Earth Sci. 2015, 74, 6805–6817. [Google Scholar] [CrossRef]
- Suska-Malawska, M.; Vyrakhamanova, A.; Ibraeva, M.; Poshanov, M.; Sulwiński, M.; Toderich, K.; Mętrak, M. Spatial and in-depth distribution of soil salinity and heavy metals (Pb, Zn, Cd, Ni, Cu) in arable irrigated soils in Southern Kazakhstan. Agronomy 2022, 12, 1207. [Google Scholar] [CrossRef]
- Caporale, A.G.; Violante, A. Chemical processes affecting the mobility of heavy metals and metalloids in soil environments. Curr. Pollut. Rep. 2016, 2, 15–27. [Google Scholar] [CrossRef]
- Darkwah, E. Developing spatial risk maps of PFAS contamination in farmlands using soil core sampling and GIS. World J. Adv. Res. Rev. 2023, 20, 2305–2325. [Google Scholar] [CrossRef]
- Faboya, O.L.; Sojinu, S.O.; Otugboyega, J.O. Preliminary investigation of polycyclic aromatic hydrocarbons (PAHs) concentration, compositional pattern, and ecological risk in crude oil-impacted soil from Niger delta, Nigeria. Heliyon 2023, 9, e15508. [Google Scholar] [CrossRef] [PubMed]
- Sun, Y.; Zhang, S.; Lan, J.; Xie, Z.; Pu, J.; Yuan, D.; Yang, H.; Xing, B. Vertical migration from surface soils to groundwater and source appointment of polycyclic aromatic hydrocarbons in epikarst spring systems, southwest China. Chemosphere 2019, 230, 616–627. [Google Scholar] [CrossRef] [PubMed]
- Obrist, D.; Zielinska, B.; Perlinger, J.A. Accumulation of polycyclic aromatic hydrocarbons (PAHs) and oxygenated PAHs (OPAHs) in organic and mineral soil horizons from four US remote forests. Chemosphere 2015, 134, 98–105. [Google Scholar] [CrossRef] [PubMed]
- Wang, H.; Liu, D.; Lv, Y.; Wang, W.; Wu, Q.; Huang, L.; Zhu, L. Ecological and health risk assessments of polycyclic aromatic hydrocarbons (PAHs) in soils around a petroleum refining plant in China: A quantitative method based on the improved hybrid model. J. Hazard. Mater. 2024, 461, 132476. [Google Scholar] [CrossRef]
- Oyebamiji, A.R. Modelling the Risk of Hydrocarbon Contamination on Groundwater Quality in the Niger Delta; University of Portsmouth: Portsmouth, UK, 2024. [Google Scholar]
- Shi, R.; Xu, M.; Liu, A.; Tian, Y.; Zhao, Z. Characteristics of PAHs in farmland soil and rainfall runoff in Tianjin, China. Environ. Monit. Assess. 2017, 189, 558. [Google Scholar] [CrossRef]
- Sun, Y.; Zhang, S.; Xie, Z.; Lan, J.; Li, T.; Yuan, D.; Yang, H.; Xing, B. Characteristics and ecological risk assessment of polycyclic aromatic hydrocarbons in soil seepage water in karst terrains, southwest China. Ecotoxicol. Environ. Saf. 2020, 190, 110122. [Google Scholar] [CrossRef]
- Barathi, S.; Gitanjali, J.; Rathinasamy, G.; Sabapathi, N.; Aruljothi, K.N.; Lee, J.; Kandasamy, S. Recent trends in polycyclic aromatic hydrocarbons pollution distribution and counteracting bio-remediation strategies. Chemosphere 2023, 337, 139396. [Google Scholar] [CrossRef]
- Offiong, N.A.O.; Inam, E.J.; Etuk, H.S.; Essien, J.P. Current status and challenges of remediating petroleum-derived PAHs in soils: Nigeria as a case study for developing countries. Remediat. J. 2019, 30, 65–75. [Google Scholar] [CrossRef]
- Lopes-Mazzetto, J.M.; Schellekens, J.; Vidal-Torrado, P.; Buurman, P. Impact of drainage and soil hydrology on sources and degradation of organic matter in tropical coastal podzols. Geoderma 2018, 330, 79–90. [Google Scholar] [CrossRef]
- Cheng, H.; Sun, Q.; Bian, Y.; Han, J.; Jiang, X.; Xue, J.; Song, Y. Predicting the bioavailability of polycyclic aromatic hydrocarbons in rhizosphere soil using a new novel in situ solid-phase microextraction technique. Sci. Total Environ. 2024, 930, 172802. [Google Scholar] [CrossRef] [PubMed]
- Rajan, S.; Rex, K.R.; Pasupuleti, M.; Muñoz-Arnanz, J.; Jiménez, B.; Chakraborty, P. Soil concentrations, compositional profiles, sources and bioavailability of polychlorinated dibenzo dioxins/furans, polychlorinated biphenyls and polycyclic aromatic hydrocarbons in open municipal dumpsites of Chennai city, India. Waste Manag. 2021, 131, 331–340. [Google Scholar] [CrossRef] [PubMed]
- Kim, W.; Choi, J.; Kang, H.J.; Lee, J.W.; Moon, B.; Joo, Y.S.; Lee, K.W. Monitoring and risk assessment of eight polycyclic aromatic hydrocarbons (PAH8) in daily consumed agricultural products in South Korea. Polycycl. Aromat. Compd. 2022, 42, 1141–1156. [Google Scholar] [CrossRef]
- Nabi, M.; Tabassum, N. Role of environmental toxicants on neurodegenerative disorders. Front. Toxicol. 2022, 4, 837579. [Google Scholar] [CrossRef] [PubMed]
- Iqubal, A.; Ahmed, M.; Ahmad, S.; Sahoo, C.R.; Iqubal, M.K.; Haque, S.E. Environmental neurotoxic pollutants. Environ. Sci. Pollut. Res. 2020, 27, 41175–41198. [Google Scholar] [CrossRef]
- Sharma, B.M.; Kalina, J.; Whaley, P.; Scheringer, M. Towards guidelines for time-trend reviews examining temporal variability in human biomonitoring data of pollutants. Environ. Int. 2021, 151, 106437. [Google Scholar] [CrossRef]
- Chakravarty, P.; Chowdhury, D.; Deka, H. Ecological risk assessment of priority PAHs pollutants in crude oil contaminated soil and its impacts on soil biological properties. J. Hazard. Mater. 2022, 437, 129325. [Google Scholar] [CrossRef]
- Wang, J.; Zhang, X.; Ling, W.; Liu, R.; Liu, J.; Kang, F.; Gao, Y. Contamination and health risk assessment of PAHs in soils and crops in industrial areas of the Yangtze River Delta region, China. Chemosphere 2017, 168, 976–987. [Google Scholar] [CrossRef]
- Amjadian, K.; Sacchi, E.; Rastegari Mehr, M. Heavy metals (HMs) and polycyclic aromatic hydrocarbons (PAHs) in soils of different land uses in Erbil metropolis, Kurdistan Region, Iraq. Environ. Monit. Assess. 2016, 188, 605. [Google Scholar] [CrossRef]
- Magam, S.M.; Masood, N.; Alkhadher, S.A.; Alanazi, T.Y.; Zakaria, M.P.; Sidek, L.M.; Suratman, S.; Alrabie, N.A. Seasonal variations in the distribution of aliphatic hydrocarbons in surface sediments from the Selangor River, Peninsular Malaysia’s West Coast. Environ. Geochem. Health 2024, 46, 38. [Google Scholar] [CrossRef]
- Theophilus, A.T. Studies on Hydrocarbon Pollution in the Upstream and Downstream Areas in the Niger Delta Region of Nigeria. Ph.D. Dissertation, Brunel University, London, UK, 2021. [Google Scholar]
- Reis, A.P.M.; Shepherd, T.; Nowell, G.; Cachada, A.; Duarte, A.C.; Cave, M.; Wragg, J.; Patinha, C.; Dias, A.; Rocha, F.; et al. Source and pathway analysis of lead and polycyclic aromatic hydrocarbons in Lisbon urban soils. Sci. Total Environ. 2016, 573, 324–336. [Google Scholar] [CrossRef] [PubMed]
- Konstantinova, E.; Minkina, T.; Mandzhieva, S.; Nevidomskaya, D.; Bauer, T.; Zamulina, I.; Sushkova, S.; Lychagin, M.; Rajput, V.D.; Wong, M.H. Ecological and human health risks of metal–PAH combined pollution in riverine and coastal soils of Southern Russia. Water 2023, 15, 234. [Google Scholar] [CrossRef]
- Ehis-Eriakha, C.B.; Ajuzieogu, C.A.; Orogu, J.O.; Akemu, S.E. Overview of petroleum hydrocarbon pollution and bioremediation technologies. Bioremediation J. 2024, 29, 1–23. [Google Scholar] [CrossRef]
- Udoh, B.T.; Chukwu, E.D. Post-impact assessment of oil pollution on some soil characteristics in Ikot Abasi, Niger Delta region, Nigeria. J. Biol. Agric. Healthc. 2014, 4, 111–119. [Google Scholar]
- Bineshpour, M.; Payandeh, K.; Nazarpour, A.; Sabzalipour, S. Status, source, human health risk assessment of potential toxic elements (PTEs), and Pb isotope characteristics in urban surface soil, case study: Arak city, Iran. Environ. Geochem. Health 2021, 43, 4939–4958. [Google Scholar] [CrossRef]
- Keshavarzi, B.; Abbasi, S.; Moore, F.; Mehravar, S.; Sorooshian, A.; Soltani, N.; Najmeddin, A. Contamination level, source identification and risk assessment of potentially toxic elements (PTEs) and polycyclic aromatic hydrocarbons (PAHs) in street dust of an importantt commercial center in Iran. Environ. Manag. 2018, 62, 803–818. [Google Scholar] [CrossRef]
- Wang, T.; Feng, W.; Kuang, D.; Deng, Q.; Zhang, W.; Wang, S.; He, M.; Zhang, X.; Wu, T.; Guo, H. The effects of heavy metals and their interactions with polycyclic aromatic hydrocarbons on the oxidative stress among coke-oven workers. Environ. Res. 2015, 140, 405–413. [Google Scholar] [CrossRef]
- Ephraim-Emmanuel, B.C.; Ordinioha, B. Exposure and public health effects of polycyclic aromatic hydrocarbon compounds in sub-saharan africa: A systematic review. Int. J. Toxicol. 2021, 40, 250–269. [Google Scholar] [CrossRef]
- Recknagel, R.O.; Glende, E.A.; Britton, R.S. Free radical damage and lipid peroxidation. In Hepatotoxicology; CRC Press: Boca Raton, FL, USA, 2020; pp. 401–436. [Google Scholar]
- Kıran, T.R.; Otlu, O.; Karabulut, A.B. Oxidative stress and antioxidants in health and disease. J. Lab. Med. 2023, 47, 1–11. [Google Scholar] [CrossRef]
- Engwa, G.A.; Nweke, F.N.; Nkeh-Chungag, B.N. Free radicals, oxidative stress-related diseases and antioxidant supplementation. Altern. Ther. Health Med. 2022, 28, 114–128. [Google Scholar]
| Disclaimer/Publisher’s Note: The statements, opinions and data contained in all publications are solely those of the individual author(s) and contributor(s) and not of MDPI and/or the editor(s). MDPI and/or the editor(s) disclaim responsibility for any injury to people or property resulting from any ideas, methods, instructions or products referred to in the content. | 
© 2025 by the authors. Licensee MDPI, Basel, Switzerland. This article is an open access article distributed under the terms and conditions of the Creative Commons Attribution (CC BY) license (https://creativecommons.org/licenses/by/4.0/).
