Ecosystem Services of the Baltic Sea—State and Changes during the Last 150 Years
Abstract
1. Introduction
2. Study Site and Methods
2.1. The Baltic Sea and the Concept
2.2. The Modelling Approach
2.3. Data Compilation—Historical Data
2.4. Calculations and Quantifications—Provisioning Ecosystem Services
2.5. Calculations and Quantifications—Regulating Ecosystem Services
2.6. Calculations and Quantifications—Cultural Ecosystem Services
2.7. Monetarization Methods of Ecosystem Services
3. Results
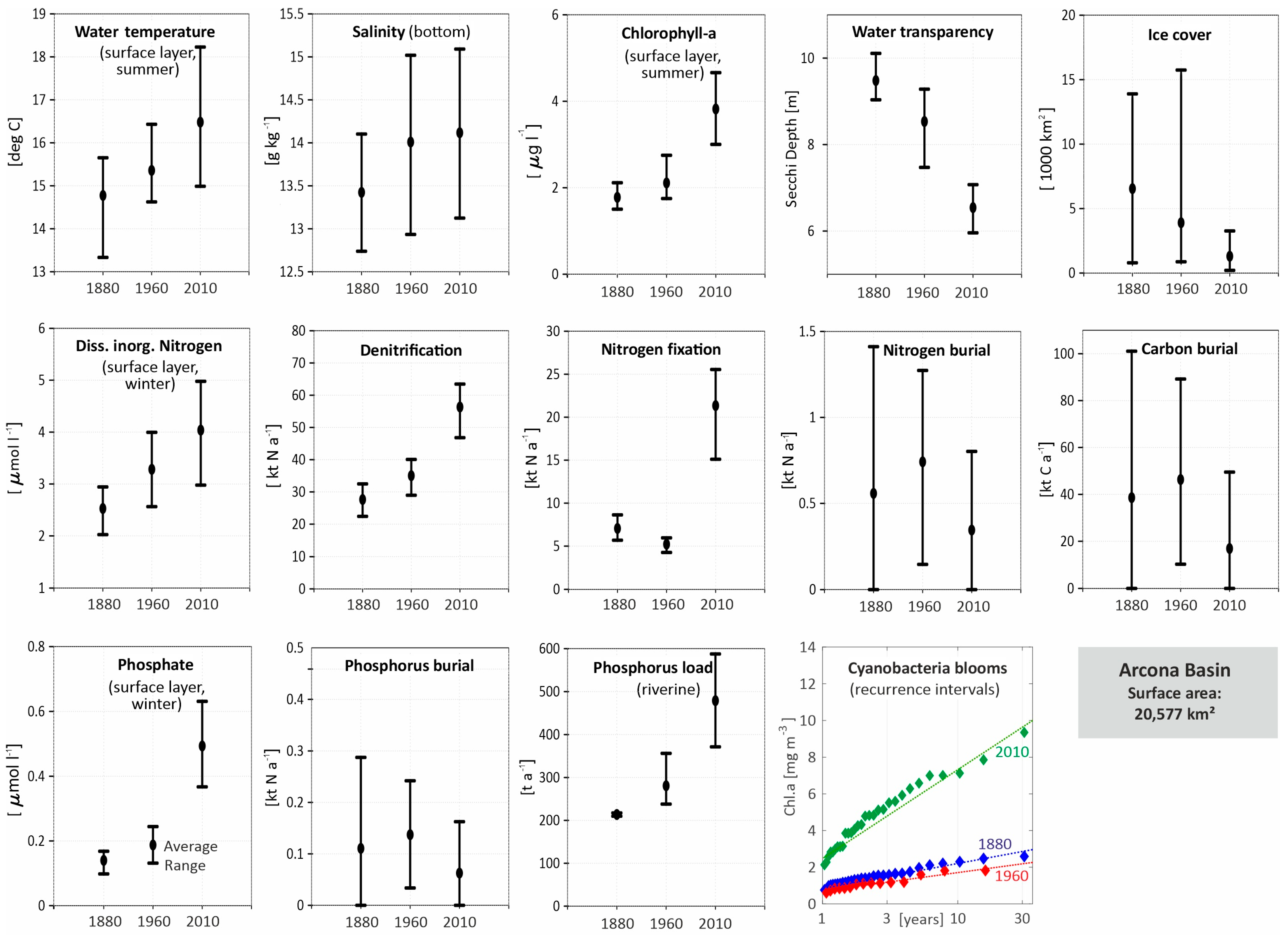
3.1. Model Simulations
3.2. Historical Data
3.3. Provisioning Ecosystem Services
3.4. Regulating Ecosystem Services
3.5. Cultural Ecosystem Services
3.6. Monetarization Results of Ecosystem Services
4. Discussion
4.1. Assessment of Methods and the Model
4.2. Quantification of Ecosystem Services
4.3. Monetarization of Ecosystem Services
5. Conclusions
Author Contributions
Funding
Data Availability Statement
Acknowledgments
Conflicts of Interest
Appendix A
| State Variable | Unit |
|---|---|
| Nitrate | mol/kg |
| Phosphate | mol/kg |
| Dissolved inorganic carbon | mol/kg |
| Alkalinity | mol/kg |
| Dissolved organic carbon | mol/kg |
| Dissolved organic nitrogen | mol/kg |
| Dissolved organic phosphorus | mol/kg |
| Non-living particulate organic carbon (4 groups) | mol/kg |
| Phytoplankton (3 groups) | mol/kg |
| Cyanobacteria | mol/kg |
| Zooplankton | mol/kg |
| Colored dissolved organic matter | mol/kg |
| Dissolved oxygen | mol/kg |
| Hydrogen sulfide | mol/kg |
| Sulfur | mol/kg |
| Dissolved nitrogenous gas | mol/kg |
| Iron bound phosphorus particles | mol/kg |
| Sediment/fluffy layer variables (5) | mol/m2 |
| Nitrogen |
| Phosphorus |
| Carbon |
| Oxygen |
| Sulfur |
| Process | Unit |
|---|---|
| Primary production | mol/kg/s |
| Nitrogen fixation | mol/kg/s |
| Zooplankton grazing | mol/kg/s |
| Mortality (phytoplankton, zooplankton) | mol/kg/s |
| Respiration (phytoplankton, zooplankton) | mol/kg/s |
| Mineralization of POC and DOC, O2 as electron acceptor | mol/kg/s |
| Mineralization of POC and DOC, NO3 as electron acceptor, denitrification | mol/kg/s |
| Mineralization of POC and DOC, SO4 as electron acceptor | mol/kg/s |
| Oxidation of sulfur and hydrogen sulfide | mol/kg/s |
| Nitrification | mol/kg/s |
| Flocculation DOC to POC | mol/kg/s |
| Sedimentation and erosion of particles | mol/kg/s; mol/m2/s |
| Sinking of particles | mol/m2/s |
| Sedimentary mineralization similar to water column processes | mol/m2/s |
| Liberation of phosphate from iron bound complexes under low oxic conditions | mol/m2/s |
Appendix B

Appendix C

Appendix D
| NUTS 2 Region (Coastal Area in km2) | 1880 Territory (Area in km2) | 1880 Population (n) | 1880 Population Density (n km−2) | 1880 Population in Coastal Area |
|---|---|---|---|---|
| Schleswig-Holstein (4009) | Province of Schleswig-Holstein (19,005) | 1,127,149 | 6 | 244,549 |
| Hanseatic city of Lübeck (289) | 51,055 | |||
| Grand Duchy of Oldenburg (5379) | 337,478 | |||
| Area: 24,673 | N: 1,515,682 | |||
| Mecklenburg-Vorpommern (6506) | Grand Duchy of Mecklenburg-Schwerin (13,127) | 560,668 | 49 | 318,794 |
| Province of Pomerania (30,110) | 1,540,034 | |||
| Area: 43,237 | N: 2,100,702 | |||
| Zachodniopomorskie (3853) | Province of Pomerania (30,110) | 1,540,034 | 51 | 196,503 |
| Pomorskie (3743) | Province of West Prussia (25,516) | 1,405,898 | 55 | 205,865 |
| Kaliningrad Oblast | Prussian administrative district of Königsberg | 171,116 | 171,116 | |
| Lietuvia (1159) | Province of East Prussia (36,981) | 1,933,936 | 52 | 60,268 |
| Latvija (9428) | Russian Empire—Courland and Livonia Governates (26,924) | 817,872 | 30 | 282,840 |
| Eesti (14,996) | Russian Empire—Governate Estonia (20,451) | 368,434 | 18 | 269,928 |
| Länsi-Suomi (11,139) | Grand Duchy of Finland (336,892) | 2,060,800 | 6 | 66,834 |
| Helsinki-Uusimaa (6069) | 36,414 | |||
| Etelä-Suomi (12,701) | 76,206 | |||
| Pjhois-ja ltä-Suomi (16,035) | 96,210 | |||
| Åland (3887) | 23,322 | |||
| Stockholm (5896) | Sweden (449,209) | 4,565,668 | 10 | 85,960 |
| Östra Mellansverige (10,713) | 10,713 | |||
| Småland med öarna (11,864) | 11,864 | |||
| Sydsverige (8112) | 8112 | |||
| Västsverige (10,782) | 10,782 | |||
| Norra Mellansverige (8407) | 8407 | |||
| Mellersta Norrland (13,641) | 13,641 | |||
| Övre Norrland (23,831) | 23,831 | |||
| Hovedstaden (2807) | Denmark (4441) | 1,969,039 | 44 | 123,508 |
| Sjælland (8612) | 378,928 | |||
| Syddanmark (12,004) | 528,167 | |||
| Midtjylland (10,231) | 450,164 | |||
| Nordjylland (8004) | 352,176 |
Appendix E
| NUTS 2 Region | 1880 Territory | Coastal Resorts (Name and Founding Year as Resort) | Number of Tourists (Year; Reference) |
|---|---|---|---|
| Schleswig-Holstein * | Prussia | Glücksburg (1872); Eckernförde (1830); Laboe (1875); Heiligenhafen (1871); Dahme (1855); Grömitz (1813); Neustadt i.H. (1827); Sierksdorf (1856); Haffkrug (1810); Scharbeutz (1830); Timmendorfer Strand (1865); Niendorf (1854) | |
| Travemünde (1802) | 1304 (1860; Antons, 2021) | ||
| Mecklenburg-Vorpommern | Grand Duchy of Mecklenburg-Schwerin and Province Pommern (Prussia) | Boltenhagen i.M. (1803); Kühlungsborn (1880) | |
| Doberan-Heiligendamm (1794) | 1683 (1860; Antons, 2021) | ||
| Warnemünde (1805); Graal-Müritz (1820); Binz (1825); Putbus (1816) Lubmin (1886); Heringsdorf (1824); Ahlbeck (1853) | |||
| Zachodniopomorskie | Prussia | Swinoujscie (1824); Miedzyzdroje (1832); Dziwnów (1828); Niechorze (1870); Kołobrzeg (1830) | |
| Pomorskie | Prussia | Sopot (1819) | 800–1200 (1850s, Bal and Czalczynska-Podolska, 2020) |
| Kaliningrad Oblast | Prussia | Selenogradsk (1816) | |
| Lietuvia | Prussia | Palanga (1840s) | |
| Latvija | Russian Empire | Jurmala | 30000 (Noack, 2012) |
| Eesti | Russian Empire | Tallinn/Kadriorg (1813) | |
| Haapsalu (1825) | 3000 (1881, Kask and Hinsberg, 2012) | ||
| Kuressaare (1840) | 1100 (1885, Kask and Hinsberg, 2012) | ||
| Pärnu (1838) | 154 (1844, Kask and Hinsberg, 2012) | ||
| Narva-Jõesuu (1874) |
Appendix F

Appendix G

References
- HELCOM. Baltic Facts and Figures. Available online: https://archive.iwlearn.net/helcom.fi/environment2/nature/en_GB/facts/index.html (accessed on 25 May 2024).
- European Parliament. An EU Strategy for the Baltic Sea Region (EUSBSR). Available online: https://www.europarl.europa.eu/RegData/etudes/BRIE/2022/733703/EPRS_BRI(2022)733703_EN.pdf (accessed on 20 August 2024).
- HELCOM. State of the Baltic Sea. Third HELCOM Holistic Assessment 2016–2021. Baltic Sea Environment Proceedings n°194. 2023. Available online: https://stateofthebalticsea.helcom.fi/ (accessed on 25 May 2024).
- Tomczak, M.T.; Müller-Karulis, B.; Blenckner, T.; Ehrnsten, E.; Eero, M.; Gustafsson, B.; Norkko, A.; Otto, S.A.; Timmermann, K.; Humborg, C. Reference state, structure, regime shifts, and regulatory drivers in a coastal sea over the last century: The Central Baltic Sea case. Limnol. Oceanogr. 2022, 67, S266–S284. [Google Scholar] [CrossRef]
- Gustafsson, B.G.; Schenk, F.; Blenckner, T.; Eilola, K.; Meier, H.E.M.; Müller-Karulis, B.; Neumann, T.; Ruoho-Airola, T.; Savchuk, O.P.; Zorita, E. Reconstructing the Development of Baltic Sea Eutrophication 1850–2006. AMBIO 2012, 41, 534–548. [Google Scholar] [CrossRef]
- Neumann, T.; Eilola, K.; Gustafsson, B.; Müller-Karulis, B.; Kuznetsov, I.; Meier, H.E.M.; Savchuk, O.P. Extremes of Temperature, Oxygen and Blooms in the Baltic Sea in a Changing Climate. AMBIO 2012, 41, 574–585. [Google Scholar] [CrossRef] [PubMed]
- Meier, H.E.M.; Eilola, K.; Almroth-Rosell, E.; Schimanke, S.; Kniebusch, M.; Höglund, A.; Pemberton, P.; Liu, Y.; Väli, G.; Saraiva, S. Disentangling the impact of nutrient load and climate changes on Baltic Sea hypoxia and eutrophication since 1850. Clim. Dyn. 2019, 53, 1145–1166. [Google Scholar] [CrossRef]
- Dutheil, C.; Meier, H.E.M.; Gröger, M.; Börgel, F. Understanding past and future sea surface temperature trends in the Baltic Sea. Clim. Dyn. 2022, 58, 3021–3039. [Google Scholar] [CrossRef]
- HELCOM. Thematic Assessment of Economic and Social Analyses 2016–2021. Baltic Sea Environment Proceedings 188. Available online: https://helcom.fi/wp-content/uploads/2023/03/HELCOM-Thematic-assessment-of-economic-and-social-analyses-2016-2021.pdf (accessed on 25 May 2024).
- World Resources Institute. Millennium Ecosystem Assessment. Ecosystems and Human Well-Being: Synthesis; Island Press: Washington, DC, USA, 2005; Available online: https://www.millenniumassessment.org/documents/document.356.aspx.pdf (accessed on 20 August 2024).
- Bouwma, I.; Schleyer, C.; Primmer, E.; Winkler, K.J.; Berry, P.; Young, J.; Preda, E. Adoption of the ecosystem services concept in EU policies. Ecosyst. Serv. 2018, 29, 213–222. [Google Scholar] [CrossRef]
- Baker, J.; Sheate, W.R.; Phillips, P.; Eales, R. Ecosystem services in environmental assessment—Help or hindrance? Environ. Impact Assess. Rev. 2013, 40, 3–13. [Google Scholar] [CrossRef]
- European Commission. Commission Staff Working Document. EU Guidance on Integrating Ecosystems and Their Services into Decision-Making. SWD (2019) 305 Final. Part 2/3. Available online: https://data.consilium.europa.eu/doc/document/ST-11395-2019-ADD-1/en/pdf (accessed on 20 August 2024).
- Sattler, C.; Loft, L.; Mann, C.; Meyer, C. Methods in ecosystem services governance analysis: An introduction. Ecosyst. Serv. 2018, 34, 155–168. [Google Scholar] [CrossRef]
- Schernewski, G.; Konrad, A.; Roskothen, J.; von Thenen, M. Coastal Adaptation to Climate Change and Sea Level Rise: Ecosystem Service Assessments in Spatial and Sectoral Planning. Appl. Sci. 2023, 13, 2623. [Google Scholar] [CrossRef]
- Reusch, T.B.H.; Dierking, J.; Andersson, H.C.; Bonsdorff, E.; Carstensen, J.; Casini, M.; Czajkowski, M.; Hasler, B.; Hinsby, K.; Hyytiäinen, K.; et al. The Baltic Sea as a time machine for the future coastal ocean. Sci. Adv. 2018, 4, aar8195. [Google Scholar] [CrossRef]
- Hasler, B.; Ahtiainen, H.; Hasselström, L.; Heiskanen, A.-S.; Soutukorva, Å.; Martinsen, L. Marine Ecosystem Services: Marine Ecosystem Services in Nordic Marine Waters and the Baltic Sea-Possibilities for Valuation. Nordic Council of Ministers, 2016. Available online: https://norden.diva-portal.org/smash/get/diva2:920382/FULLTEXT01.pdf (accessed on 20 August 2024).
- Armoškaitė, A.; Puriņa, I.; Aigars, J.; Strāķe, S.; Pakalniete, K.; Frederiksen, P.; Schrøder, L.; Sten Hansen, H. Establishing the links between marine ecosystem components, functions and services: An ecosystem service assessment tool. Ocean Coast. Manag. 2020, 193, 105229. [Google Scholar] [CrossRef]
- Haines-Young, R.; Potschin-Young, M. Revision of the Common International Classification for Ecosystem Services (CICES V5.1): A Policy Brief. One Ecosyst. 2018, 3, e27108. [Google Scholar] [CrossRef]
- Hyytiäinen, K.; Bauer, B.; Bly, J.K.; Ehrnsten, E.; Eilola, K.; Gustafsson, B.G.; Meier, H.E.M.; Norkko, A.; Saraiva, S.; Tomczak, M.; et al. Provision of aquatic ecosystem services as a consequence of societal changes: The case of the Baltic Sea. Popul. Ecol. 2021, 63, 61–74. [Google Scholar] [CrossRef]
- Heckwolf, M.J.; Peterson, A.; Jänes, H.; Horne, P.; Künne, J.; Liversage, K.; Sajeva, M.; Reusch, T.B.H.; Kotta, J. From ecosystems to socio-economic benefits: A systematic review of coastal ecosystem services in the Baltic Sea. Sci. Total Environ. 2020, 755, 2–142565. [Google Scholar] [CrossRef]
- Schumacher, J.; Lange, S.; Müller, F.; Schernewski, G. Assessment of Ecosystem Services across the Land–Sea Interface in Baltic Case Studies. Appl. Sci. 2021, 11, 11799. [Google Scholar] [CrossRef]
- Seppelt, R.; Fath, B.; Burkhard, B.; Fisher, J.L.; Grêt-Regamey, A.; Lautenbach, S.; Pert, P.; Hotes, S.; Spangenberg, J.; Verburg, P.H.; et al. Form follows function? Proposing a blueprint for ecosystem service assessments based on reviews and case studies. Ecol. Indic. 2012, 21, 145–154. [Google Scholar] [CrossRef]
- Schernewski, G.; Robbe, E. Ecosystem Service Assessment in European Coastal and Marine Policies. In Southern Baltic Coastal Systems Analysis; Schubert, H., Müller, F., Eds.; Ecological Studies; Springer: Cham, Switzerland, 2023; Volume 246, pp. 347–366. [Google Scholar] [CrossRef]
- Liquete, C.; Piroddi, C.; Drakou, E.G.; Gurney, L.; Katsanevakis, S.; Charef, A.; Egoh, B. Current Status and Future Prospects for the Assessment of Marine and Coastal Ecosystem Services: A Systematic Review. PLoS ONE 2013, 8, e67737. [Google Scholar] [CrossRef]
- Mehvar, S.; Filatova, T.; Dastgheib, A.; De Ruyter van Steveninck, E.; Ranasinghe, R. Quantifying Economic Value of Coastal Ecosystem Services: A Review. J. Mar. Sci. Eng. 2018, 6, 5. [Google Scholar] [CrossRef]
- Sagebiel, J.; Schwartz, C.; Rhozyel, M.; Rajmis, S.; Hirschfeld, J. Economic valuation of Baltic marine ecosystem services: Blind spots and limited consistency. ICES J. Mar. Sci. 2016, 73, 991–1003. [Google Scholar] [CrossRef]
- Liquete, C.; Piroddi, C.; Macías, D.; Druon, J.-N.; Zulian, G. Ecosystem services sustainability in the Mediterranean Sea: Assessment of status and trends using multiple modelling approaches. Sci. Rep. 2016, 6, 34162. [Google Scholar] [CrossRef]
- Inacio, M.; Karnauskaitė, D.; Baltranaitė, E.; Kalinauskas, M.; Bogdzevič, K.; Gomes, E.; Pereira, P. Ecosystem services of the Baltic Sea: An assessment and mapping perspective. Geogr. Sustain. 2020, 1, 256–265. [Google Scholar] [CrossRef]
- European Commission. Marine Biodiversity Modelling Study; Publications Office of the European Union: Luxembourg, 2022; Available online: https://op.europa.eu/en/publication-detail/-/publication/717cff6a-7f4d-11ed-9887-01aa75ed71a1/language-en (accessed on 20 August 2024).
- Neumann, T.; Radtke, H.; Cahill, B.; Schmidt, M.; Rehder, G. Non-Redfieldian carbon model for the Baltic Sea (ERGOM version 1.2)—Implementation and budget estimates. Geosci. Model Dev. 2022, 15, 8473–8540. [Google Scholar] [CrossRef]
- Friedland, R.; Neumann, T.; Schernewski, G. Climate change and the Baltic Sea action plan: Model simulations on the future of the western Baltic Sea. J. Mar. Syst. 2012, 105–108, 175–186. [Google Scholar] [CrossRef]
- Kabel, K.; Moros, M.; Porsche, C.; Neumann, T.; Adolphi, F.; Andersen, T.J.; Siegel, H.; Gerth, M.; Leipe, T.; Jansen, E.; et al. Impact of climate change on the Baltic Sea ecosystem over the past 1000 years. Nat. Clim. Change 2012, 2, 871–874. [Google Scholar] [CrossRef]
- Saraiva, S.; Meier, H.E.M.; Andersson, H.; Höglund, A.; Dieterich, C.; Gröger, M.; Hordoir, R.; Eilola, K. Baltic Sea ecosystem response to various nutrient load scenarios in present and future climates. Clim. Dyn. 2019, 52, 3369–3387. [Google Scholar] [CrossRef]
- Meier, H.E.M.; Dieterich, C.; Gröger, M. Natural variability is a large source of uncertainty in future projections of hypoxia in the Baltic Sea. Commun. Earth Environ. 2021, 2, 50. [Google Scholar] [CrossRef]
- HELCOM. HELCOM Monitoring and Assessment Strategy. Available online: https://helcom.fi/wp-content/uploads/2020/02/Monitoring-and-assessment-strategy.pdf (accessed on 20 August 2024).
- Inácio, M.; Schernewski, G.; Nazemtseva, Y.; Baltranaitė, E.; Friedland, R.; Benz, J. Ecosystem services provision today and in the past: A comparative study in two Baltic lagoons. Ecol. Res. 2018, 33, 1255–1274. [Google Scholar] [CrossRef]
- Heiskanen, A.-S.; Bonsdorff, E.; Joas, M. Baltic Sea: A Recovering Future From Decades of Eutrophication. Coasts Estuaries 2019, 343–362. [Google Scholar] [CrossRef]
- Schernewski, G.; Paysen, P.; Robbe, E.; Inacio, M.; Schumacher, J. Ecosystem services and the EU Water Framework Directive: Comparative assessments in urban and rural estuarine water bodies. Front. Mar. Sci. 2019, 6, 183. [Google Scholar] [CrossRef]
- Haines-Young, R.; Potschin, M. Common International Classification of Ecosystem Services (CICES) V5.1 and Guidance on the Application of the Revised Structure. 2018. Available online: www.cices.eu (accessed on 25 May 2024).
- Griffies, S.M. Fundamentals of Ocean Climate Models; Princeton University Press: Princeton, NJ, USA, 2004; ISBN 9780691118925. [Google Scholar]
- Winton, M. A Reformulated Three-Layer Sea Ice Model. J. Atmos. Ocean. Tech. 2000, 17, 525–531. [Google Scholar] [CrossRef]
- Hunke, E.C.; Dukowicz, J.K. An elastic-viscous-plastic model for sea 871 ice dynamics. J. Phys. Oceanogr. 1997, 27, 1849–1867. [Google Scholar] [CrossRef]
- Neumann, T. Model code and boundary data for “Non-Redfield carbon model for the Baltic Sea (ERGOM version 1.2)—Implementation and Budget estimates”. Geosci. Model Dev. 2022, 15, 8473–8540. [Google Scholar] [CrossRef]
- The Long-Term Dataset of High Resolution Atmospheric Forcing Fields (HiResAFF) for Northern Europe Since 1850. Available online: https://gdk.gdi-de.org/geonetwork/srv/api/records/wdc-climate.de:3535037 (accessed on 25 July 2024).
- Rademacher, M.; Deutsche Verwaltungsgeschichte—Von der Reichseinigung 1871 bis zur Wiedervereinigung 1990. Dissertation Universität Osnabrück. 2006. Available online: https://www.eirenicon.com/rademacher/www.verwaltungsgeschichte.de/index.html (accessed on 25 May 2024).
- Antons, J.-H. Historisch-Geografische Informationssysteme (HGIS) in der Tourismusgeschichte: Transnationale Besucherströme des Ostseetourismus im 19. Jahrhundert. J. East Cent. Eur. Stud. 2021, 7, 357–388. [Google Scholar] [CrossRef]
- Pagenstecher, C.; Von der Strandburg zur Bettenburg. Zur Visual History des Bundesdeutschen Ostsee-Tourismus. In Tourism in the Baltic Region. Nordost-Archiv. Zeitschrift für Regionalgeschichte. 2012. Available online: https://docplayer.org/75710645-Nordost-archiv-zeitschrift-fuer-regionalgeschichte.html (accessed on 25 May 2024).
- HELCOM. Available online: https://helcom.fi/action-areas/fisheries/ (accessed on 25 May 2024).
- Scheffold, M.; Hense, I. Quantifying Contemporary Organic Carbon Stocks of the Baltic Sea Ecosystem. Front. Mar. Sci. 2020, 7, 571956. [Google Scholar] [CrossRef]
- CRESP. Wet to Dry Weight Conversations for Biota from Amchitka to Kiska. 2006. Available online: https://www.cresp.org/Amchitka/Final_WW_DW_3_13_06.pdf (accessed on 25 May 2024).
- Czamanski, M.; Nugraha, A.; Pondaven, P.; Lasbleiz, M.; Masson, A.; Caroff, N.; Bellail, R.; Treguer, P. Carbon, nitrogen and phosphorus elemental stoichiometry in aquacultured and wild-caught fish and consequences for pelagic nutrient dynamics. Mar. Biol. 2011, 158, 2847–2862. [Google Scholar] [CrossRef]
- Thurow, F. Estimation of the total fish biomass in the Baltic Sea during the 20th century. ICES J. Mar. Sci. 1997, 54, 444–461. [Google Scholar] [CrossRef]
- Köbbing, J.F.; Thevs, N.; Zerbe, S. The utilisation of reed (Phragmites australis): A review. Mires Peat 2013, 13, 1–14. Available online: http://mires-and-peat.net/media/map13/map_13_01.pdf (accessed on 20 August 2024).
- COPERNICUS Database. Available online: https://doi.org/10.2909/fe8d5d51-36ab-46d4-be61-dcfad7c308f1 (accessed on 24 May 2024).
- Feldman, M.V. Assessment of macrophyte store and accumulation of nutrients by aquatic vegetation in the Curonian Lagoon of the Baltic Sea. In Proceedings of the IEEE US/EU Baltic International Symposium, Klaipeda, Lithuania, 23–26 May 2006. [Google Scholar] [CrossRef]
- Chen, T.; He, T.; Benesty, M.; Khotilovich, V.; Tang, Y.; Cho, H.; Chen, K.; Mitchell, R.; Cano, I.; Zhou, T.; et al. Xgboost: Extreme Gradient Boosting. 2021. Available online: https://CRAN.R-project.org/package=xgboost (accessed on 25 May 2024).
- Wölfl, A.C.; Snaith, H.; Amirebrahimi, S.; Devey, C.W.; Dorschel, B.; Ferrini, V.; Huvenne, V.A.I.; Jakobsson, M.; Jencks, J.; Wigley, R. Seafloor Mapping—The Challenge of a Truly Global Ocean Bathymetry. Front. Mar. Sci. 2019, 6, 283. [Google Scholar] [CrossRef]
- Remane, A. Die Brackwasserfauna. Zool. Anz. 1934, 7, 34–74. [Google Scholar]
- Dolch, T.; Schernewski, G. Hat Wasserqualität eine Bedeutung für Touristen? Eine Studie am Beispiel des Oderästuars. In Aktuelle Ergebnisse der Küstenforschung. Berichte aus dem Forschung—Und Technologiezentrum Westküste der Universität Kiel; Daschkeit, A., Sterr, H., Eds.; Universität Kiel: Büsum, Germany, 2003; Volume 28, pp. 197–205. [Google Scholar]
- Preißler, S. Wasserqualität an Europäischen Küsten und ihre Bewertung Durch TOURISTEN—Eine Wahrnehmungsgeographische Untersuchung in Hamburg und auf Sylt. In IKZM-Oder Berichte; Universität Hamburg: Hamburg, Germany, 2008; Volume 54, p. 134. ISSN 1614-5968. Available online: https://databases.eucc-d.de/files/documents/00000738_IKZM-Oder_Berichte54.pdf (accessed on 20 August 2024).
- Bertram, C.; Ahtiainen, H.; Meyerhoff, J.; Pakalniete, K.; Pouta, E.; Rehdanz, K. Contingent Behavior and Asymmetric Preferences for Baltic Sea Coastal Recreation. Environ. Resour. Econ. 2020, 75, 49–78. [Google Scholar] [CrossRef]
- STECF (Scientific, Technical and Economic Committee for Fisheries). The 2015 Annual Economic Report on the EU Fishing Fleet (STECF-15-07); Publications Office of the European Union: Luxembourg, 2015; Available online: https://op.europa.eu/en/publication-detail/-/publication/d70ae979-7273-11e5-9317-01aa75ed71a1/language-en (accessed on 20 August 2024).
- Elofsson, K. Cost-effectiveness of the Baltic Sea Action Plan. Mar. Policy 2010, 34, 1043–1050. [Google Scholar] [CrossRef]
- Gren, I.-M.; Jonzon, Y.; Lindqvist, M. Costs of Nutrient Reductions to the Baltic Sea: Technical Report (No. 2008:1). Department of Economics, Swedish University of Agricultural Sciences, Working Paper. Available online: https://core.ac.uk/download/pdf/11695675.pdf (accessed on 25 May 2024).
- UBA (Umweltbundesamt). Preisentwicklung für Emissionsberechtigungen (EUA) Seit 2008. Available online: https://www.umweltbundesamt.de/daten/klima/der-europaeische-emissionshandel#teilnehmer-prinzip-und-umsetzung-des-europaischen-emissionshandels (accessed on 25 May 2024).
- Czajkowski, M.; Budziński, W.; Zandersen, M.; Zawadzki, W.; Aslam, U.; Angelidis, I.; Zagórska, K. The Recreational Value of the Baltic Sea Coast: A Spatially Explicit Site Choice Model Accounting for Environmental Conditions. Environ. Resour. Econ. 2024, 87, 135–166. [Google Scholar] [CrossRef]
- Hakanson, L.H.; Stabo, R.; Bryhn, A. Strategies for Remediation, Cost-Benefit Analyses and a Holistic Management Plan for the Baltic Sea. In The Fish Production Potential of the Baltic Sea; Environmental Science and Engineering; Springer: Berlin/Heidelberg, Germany, 2010; pp. 273–341. [Google Scholar] [CrossRef]
- Coalition Clean Baltic. Recreational Fishing in the Baltic Sea Region-A Summary. 2017. Available online: https://irp.cdn-website.com/53007095/files/uploaded/ccb-recreational-fishing-report-short-version-2018-02-27.pdf (accessed on 25 May 2024).
- Senasis, E. Cutting the coastal vegetation of the Curonian Lagoon to remove part of the biogenic materials from the lagoon. Feasibility Study. Vilnius 2007, 73. (In Lithuanian) [Google Scholar]
- Bučas, M. Distribution Patterns and Ecological Role of the Red Alga Furcellaria Lumbricalis (Hudson) JV Lamouroux Off the Exposed Baltic Sea Coast of Lithuania. Ph.D. Thesis, Klaipeda University, Klaipeda, Lithuania, 2009; 124p. Available online: https://www.ku.lt/uploads/documents/files/jti/studijos/MBucas2004-2009.pdf (accessed on 25 July 2024).
- Schernewski, G.; Friedland, R.; Carstens, M.; Hirt, U.; Leujak, W.; Nausch, G.; Neumann, T.; Petenati, T.; Sagert, S.; Wasmund, N.; et al. Implementation of European marine policy: New water quality targets for German Baltic waters. Mar. Policy 2015, 51, 305–321. [Google Scholar] [CrossRef]
- Coastal Reed Project. Available online: https://johnnurmisensaatio.fi/en/our-work/projects/coastal-reed-project/ (accessed on 25 July 2024).
- HELCOM ACTION. Analysis of Total Nitrogen in the Baltic Sea and Implications for Time Lag in Achieving Good Environmental Status (GES). 2021. Available online: https://helcom.fi/helcom-at-work/projects/action/ (accessed on 20 August 2024).
- Kulinski, K.; Pempkowiak, J. The carbon budget of the Baltic Sea. Biogeosciences 2011, 8, 3219–3230. [Google Scholar] [CrossRef]
- HELCOM Eutrophication in the Baltic Sea—An Integrated Thematic Assessment of the Effects of Nutrient Enrichment. 2009. Available online: https://www.helcom.fi/wp-content/uploads/2019/08/BSEP115B-1.pdf (accessed on 20 August 2024).
- Harvey, E.T.; Walve, J.; Andersson, A.; Karlson, B.; Kratzer, S. Effect of Optical Properties on Secchi Depth and Implications for Eutrophication Management. Front. Mar. Sci. 2019, 5, 496. [Google Scholar] [CrossRef]
- Zettler, M.L.; Karlsson, A.; Kontula, T.; Gruszka, P.; Laine, A.O.; Herkül, K.; Schiele, K.S.; Maximov, A.; Haldin, J. Biodiversity gradient in the Baltic Sea: A comprehensive inventory of macrozoobenthos data. Helgol. Mar. Res. 2014, 68, 49–57. [Google Scholar] [CrossRef]
- Telesh, I.V.; Schubert, H.; Skarlato, S.O. Revisiting Remane’s concept: Evidence for high plankton diversity and a protistan species maximum in the horohalinicum of the Baltic Sea. Mar. Ecol. Prog. Ser. 2011, 421, 1–11. [Google Scholar] [CrossRef]
- HELCOM. Economic and Social Analyses in the Baltic Sea Region—HELCOM Thematic Assessment 2011–2016. Baltic Sea Environment Proceedings 160. 2018. Available online: https://helcom.fi/wp-content/uploads/2019/12/BSEP160.pdf (accessed on 20 August 2024).
- TGS. Wind Data and Insights to Explore Opportunities. Available online: https://map.4coffshore.com/offshorewind/ (accessed on 20 August 2024).
- HELCOM. Checklist of Baltic Sea Macro-Species. Baltic Sea Environment Proceedings No. 130. 2012. Available online: https://www.helcom.fi/wp-content/uploads/2019/08/BSEP130-1.pdf (accessed on 20 August 2024).
- de Jonge, V.N.; Pinto, R.; Turner, R.K. Integrating ecological, economic and social aspects to generate useful management information under the EU Directives’ ‘ecosystem approach’. Ocean Coast. Manag. 2012, 68, 169–188. [Google Scholar] [CrossRef]
- Homaio. 2030 EUA Price Predictions: Expert Analysis of 3 Scenarios. Available online: https://www.homaio.com/post/2030-eua-price-predictions-expert-analysis-of-3-scenarios (accessed on 20 August 2024).
- BalticRIM. Integrating Cultural Heritage into Maritime Spatial Planning in the BSR. Available online: https://interreg-baltic.eu/wp-content/uploads/2021/08/124.pdf (accessed on 20 August 2024).







Disclaimer/Publisher’s Note: The statements, opinions and data contained in all publications are solely those of the individual author(s) and contributor(s) and not of MDPI and/or the editor(s). MDPI and/or the editor(s) disclaim responsibility for any injury to people or property resulting from any ideas, methods, instructions or products referred to in the content. |
© 2024 by the authors. Licensee MDPI, Basel, Switzerland. This article is an open access article distributed under the terms and conditions of the Creative Commons Attribution (CC BY) license (https://creativecommons.org/licenses/by/4.0/).
Share and Cite
Schernewski, G.; Neumann, T.; Bučas, M.; von Thenen, M. Ecosystem Services of the Baltic Sea—State and Changes during the Last 150 Years. Environments 2024, 11, 200. https://doi.org/10.3390/environments11090200
Schernewski G, Neumann T, Bučas M, von Thenen M. Ecosystem Services of the Baltic Sea—State and Changes during the Last 150 Years. Environments. 2024; 11(9):200. https://doi.org/10.3390/environments11090200
Chicago/Turabian StyleSchernewski, Gerald, Thomas Neumann, Martynas Bučas, and Miriam von Thenen. 2024. "Ecosystem Services of the Baltic Sea—State and Changes during the Last 150 Years" Environments 11, no. 9: 200. https://doi.org/10.3390/environments11090200
APA StyleSchernewski, G., Neumann, T., Bučas, M., & von Thenen, M. (2024). Ecosystem Services of the Baltic Sea—State and Changes during the Last 150 Years. Environments, 11(9), 200. https://doi.org/10.3390/environments11090200

