Effects of Land-Use Intensity on Functional Community Composition and Nutrient Dynamics in Grassland
Abstract
1. Introduction
1.1. Grassland-Use Intensity and Consequences for Plant Functional Community Structure and Aboveground Decomposition
1.2. Grassland-Use Intensity and Consequences for Soil Processes
- Plant diversity declines with increasing land-use intensity and plant communities shift towards exploitative, fast-growing species with high leaf nitrogen and SLA and low leaf dry matter content (LDMC).
- Soil respiration, and with it belowground decomposition, is directly increased by increased land-use intensity (Figure 1).
- Aboveground decomposition will be accelerated by increased land-use intensity (Figure 1).
- Most of the variation in above-ground decomposition derives from shifts in the plant community composition and belowground processes compared to land-use intensity and mowing directly (Figure 1).
2. Material and Methods
2.1. Experimental Design and Study Site
2.2. Plant Community Composition and Functional Trait Structure
2.3. Belowground Decomposition
| Species | LDMC [mg g−1] | SLA [mm2g−1] | Root N [%] | Leaf N [%] | Height [m] | Seedmass [mg] |
|---|---|---|---|---|---|---|
| Achillea millefolium | 184.10 | 21.35 | 1.21 | 2.37 | 0.396 | 0.124 |
| Agrostis stolonifera | 273.28 | 32.63 | 0.62 | 3.01 | 0.755 | 0.041 |
| Alopecurus pratensis | 259.33 | 26.04 | 0.95 | 1.86 | 0.450 | 0.663 |
| Anthoxanthum odoratum | 273.17 | 26.69 | 0.92 | 2.00 | 0.165 | 0.629 |
| Arrhenatherum elatius | 288.51 | 30.10 | 0.86 ** | 4.50 | 1.275 | 3.079 |
| Bellis perennis | 113.50 | 27.08 | 0.91 | 2.89 | 0.055 | 0.160 |
| Cerastium fontanum | 174.80 | 36.04 | NA | NA | 0.150 | 0.096 |
| Crepis biennis | 132.50 | 31.23 | 1.02 | 1.78 | 0.575 | 1.347 |
| Cynosurus cristatus | 248.25 | 24.33 | 0.88 | 2.29 | 0.547 | 0.548 |
| Dactylis glomerata | 243.33 | 25.83 | 0.71 | 3.83 | 0.454 | 0.736 |
| Festuca arundinacea | 234.00 | 18.40 | 0.86 ** | 2.25 | 0.600 | 1.664 |
| Festuca pratensis | 273.71 | 24.15 | 0.86 ** | 2.85 * | 0.550 | 1.948 |
| Festuca rubra | 267.00 | 22.30 | 0.80 | 3.45 | 0.483 | 0.878 |
| Galium mollugo | 167.98 | 23.98 | 1.19 | 2.37 | 0.500 | 0.737 |
| Geranium pratense | 237.50 | 21.18 | 1.15 | 2.00 | 0.408 | 7.613 |
| Holcus lanatus | 241.15 | 37.48 | 0.81 | 2.26 | 0.325 | 0.398 |
| Knautia arvensis | 183.67 | 18.52 | 0.91 | 2.14 | 0.433 | 3.564 |
| Leucanthemum vulgare | 129.67 | 18.97 | 0.69 | NA | 0.364 | 0.369 |
| Lolium multiflorum | 265.00 | 25.75 | NA | NA | 0.325 | 2.909 |
| Lolium perenne | 221.22 | 25.28 | 0.86 | 2.75 | 0.125 | 2.023 |
| Lotus corniculatus | 166.67 | 23.81 | 2.06 | 3.72 | 0.429 | 1.403 |
| Phleum pratense | 264.75 | 26.93 | 0.80 | 2.73 | 0.371 | 0.588 |
| Plantago lanceolata | 140.15 | 21.97 | 1.05 | 2.04 | 0.161 | 1.617 |
| Poa pratensis | 308.27 | 22.16 | 1.00 | 3.45 | 0.300 | 0.273 |
| Poa trivialis | 175.00 | 33.14 | 1.06 | 3.25 | 0.153 | 0.165 |
| Ranunculus acris | 192.20 | 22.74 | 1.19 | 2.51 | 0.258 | 1.713 |
| Ranunculus repens | 177.81 | 27.48 | 1.00 | 2.18 | 0.242 | 1.870 |
| Rumex acetosa | 98.50 | 33.10 | 0.92 | 3.17 | 0.505 | 0.929 |
| Trifolium pratense | 218.18 | 23.01 | 2.29 | 3.81 | 0.283 | 1.581 |
| Trifolium repens | 186.13 | 33.25 | 2.68 | 4.16 | 0.350 | 0.613 |
| Trisetum flavescens | 307.67 | 20.53 | 0.86 ** | 4.25 | 0.550 | 0.303 |
| Vicia sepium | 186.00 | 39.73 | 2.73 | 4.39 | 0.47 | 23.38 |
2.4. Soil Respiration
2.5. Supply Rates of Micro- and Macronutrients
2.6. Aboveground Decomposition
2.7. Data Analysis
3. Results
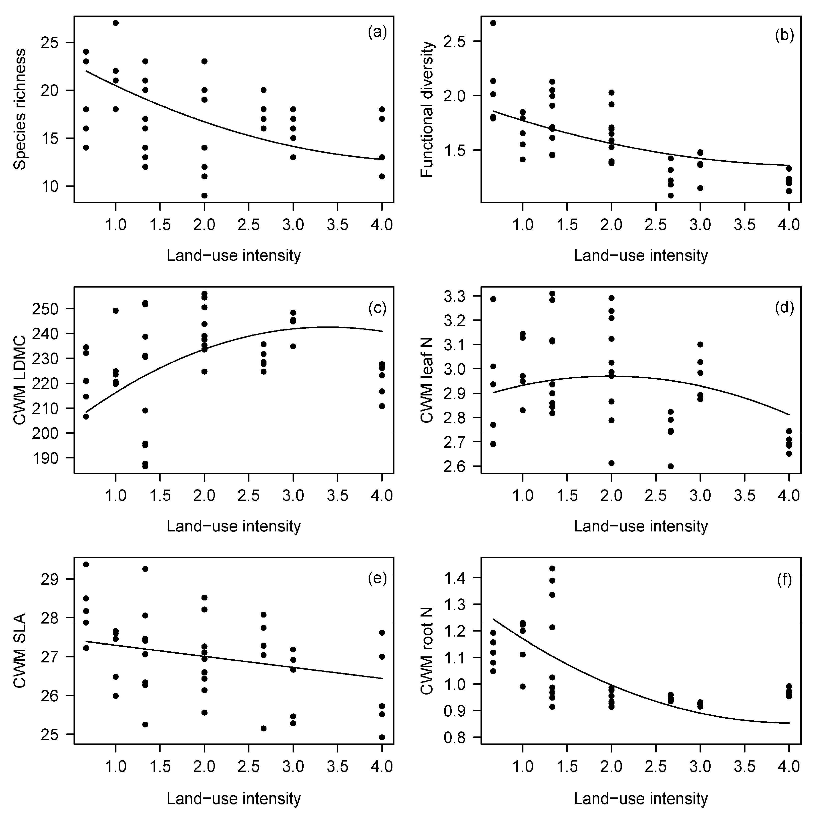
3.1. Plant Community Composition
3.2. Influence of Land-Use Intensity on Soil Nutrients, Respiration and Belowground Decomposition
3.3. Influence of Land-Use Intensity and Community Patterns on Decomposition
4. Discussion
4.1. Land-Use Intensification Decreases Diversity
4.2. Belowground Processes Are Relatively Stable towards Land-Use Intensity
4.3. High Land-Use Intensity Accelerates Aboveground Litter Decomposition, Driven Mostly by Frequent Cutting
5. Conclusions
Supplementary Materials
Author Contributions
Funding
Data Availability Statement
Acknowledgments
Conflicts of Interest
References
- Thébault, A.; Mariotte, P.; Lortie, C.J.; MacDougall, A.S. Land Management Trumps the Effects of Climate Change and Elevated CO 2 on Grassland Functioning. J. Ecol. 2014, 102, 896–904. [Google Scholar] [CrossRef]
- Allan, E.; Manning, P.; Alt, F.; Binkenstein, J.; Blaser, S.; Blüthgen, N.; Böhm, S.; Grassein, F.; Hölzel, N.; Klaus, V.H.; et al. Land Use Intensification Alters Ecosystem Multifunctionality via Loss of Biodiversity and Changes to Functional Composition. Ecol. Lett. 2015, 18, 834–843. [Google Scholar] [CrossRef]
- Isbell, F.; Calcagno, V.; Hector, A.; Connolly, J.; Harpole, W.S.; Reich, P.B.; Scherer-Lorenzen, M.; Schmid, B.; Tilman, D.; Van Ruijven, J.; et al. High Plant Diversity Is Needed to Maintain Ecosystem Services. Nature 2011, 477, 199–202. [Google Scholar] [CrossRef]
- Isbell, F.; Reich, P.B.; Tilman, D.; Hobbie, S.E.; Polasky, S.; Binder, S. Nutrient Enrichment, Biodiversity Loss, and Consequent Declines in Ecosystem Productivity. Proc. Natl. Acad. Sci. USA 2013, 110, 11911–11916. [Google Scholar] [CrossRef]
- Argens, L.; Brophy, C.; Weisser, W.W.; Meyer, S. Functional Group Richness Increases Multifunctionality in Intensively Managed Grasslands. Grassl. Res. 2023, 2, 225–240. [Google Scholar] [CrossRef]
- Manning, P.; Newington, J.E.; Robson, H.R.; Saunders, M.; Eggers, T.; Bradford, M.A.; Bardgett, R.D.; Bonkowski, M.; Ellis, R.J.; Gange, A.C.; et al. Decoupling the Direct and Indirect Effects of Nitrogen Deposition on Ecosystem Function. Ecol. Lett. 2006, 9, 1015–1024. [Google Scholar] [CrossRef] [PubMed]
- Tischer, A.; Sehl, L.; Meyer, U.-N.; Kleinebecker, T.; Klaus, V.; Hamer, U. Land-Use Intensity Shapes Kinetics of Extracellular Enzymes in Rhizosphere Soil of Agricultural Grassland Plant Species. Plant Soil 2019, 437, 215–239. [Google Scholar] [CrossRef]
- Van Leeuwen, J.P.; Djukic, I.; Bloem, J.; Lehtinen, T.; Hemerik, L.; De Ruiter, P.C.; Lair, G.J. Effects of Land Use on Soil Microbial Biomass, Activity and Community Structure at Different Soil Depths in the Danube Floodplain. Eur. J. Soil Biol. 2017, 79, 14–20. [Google Scholar] [CrossRef]
- Liu, H.; Hou, L.; Kang, N.; Nan, Z.; Huang, J. The Economic Value of Grassland Ecosystem Services: A Global Meta-Analysis. Grassl. Res. 2022, 1, 63–74. [Google Scholar] [CrossRef]
- Risch, A.C.; Jurgensen, M.F.; Frank, D.A. Effects of Grazing and Soil Micro-Climate on Decomposition Rates in a Spatio-Temporally Heterogeneous Grassland. Plant Soil 2007, 298, 191–201. [Google Scholar] [CrossRef]
- De Deyn, G.B.; Cornelissen, J.H.C.; Bardgett, R.D. Plant Functional Traits and Soil Carbon Sequestration in Contrasting Biomes. Ecol. Lett. 2008, 11, 516–531. [Google Scholar] [CrossRef] [PubMed]
- Bai, Y.; Cotrufo, M.F. Grassland Soil Carbon Sequestration: Current Understanding, Challenges, and Solutions. Science 2022, 377, 603–608. [Google Scholar] [CrossRef] [PubMed]
- Poeplau, C. Grassland Soil Organic Carbon Stocks along Management Intensity and Warming Gradients. Grass Forage Sci. 2021, 76, 186–195. [Google Scholar] [CrossRef]
- Hao, X.; Yang, J.; Dong, S.; He, F.; Zhang, Y. The Influence of Grazing Intensity on Soil Organic Carbon Storage in Grassland of China: A Meta-Analysis. Sci. Total Environ. 2024, 924, 171439. [Google Scholar] [CrossRef] [PubMed]
- Garnier, E.; Cortez, J.; Billès, G.; Navas, M.-L.; Roumet, C.; Debussche, M.; Laurent, G.; Blanchard, A.; Aubry, D.; Bellmann, A.; et al. Plant Functional Markers Capture Ecosystem Properties during Secondary Succession. Ecology 2004, 85, 2630–2637. [Google Scholar] [CrossRef]
- Stampfli, A.; Bloor, J.M.G.; Fischer, M.; Zeiter, M. High Land-Use Intensity Exacerbates Shifts in Grassland Vegetation Composition after Severe Experimental Drought. Glob. Chang. Biol. 2018, 24, 2021–2034. [Google Scholar] [CrossRef] [PubMed]
- Laliberté, E.; Wells, J.A.; DeClerck, F.; Metcalfe, D.J.; Catterall, C.P.; Queiroz, C.; Aubin, I.; Bonser, S.P.; Ding, Y.; Fraterrigo, J.M.; et al. Land-Use Intensification Reduces Functional Redundancy and Response Diversity in Plant Communities. Ecol. Lett. 2010, 13, 76–86. [Google Scholar] [CrossRef] [PubMed]
- Diepolder, M.; Rieder, J.; Hartmann, S.; Gehring, K.; Zellner, M.; Demmel, M. Dauergrünland. In Pflanzliche Erzeugung, 12th ed.; Munzert, M., Frahm, J., Eds.; Landwirtschaftsverlag & BLV Buchverlag, Münster-Hiltrup: Münster, Germany, 2005; pp. 760–864. [Google Scholar]
- Walter, J. Dryness, Wetness and Temporary Flooding Reduce Floral Resources of Plant Communities with Adverse Consequences for Pollinator Attraction. J. Ecol. 2020, 108, 1453–1464. [Google Scholar] [CrossRef]
- Fortunel, C.; Garnier, E.; Joffre, R.; Kazakou, E.; Quested, H.; Grigulis, K.; Lavorel, S.; Ansquer, P.; Castro, H.; Cruz, P.; et al. Leaf Traits Capture the Effects of Land Use Changes and Climate on Litter Decomposability of Grasslands across Europe. Ecology 2009, 90, 598–611. [Google Scholar] [CrossRef]
- Walter, J.; Buchmann, C.M.; Schurr, F.M. Shifts in Plant Functional Community Composition under Hydrological Stress Strongly Decelerate Litter Decomposition. Ecol. Evol. 2020, 10, 5712–5724. [Google Scholar] [CrossRef]
- García-Palacios, P.; Shaw, E.A.; Wall, D.H.; Hättenschwiler, S. Contrasting Mass-Ratio vs. Niche Complementarity Effects on Litter C and N Loss during Decomposition along a Regional Climatic Gradient. J. Ecol. 2017, 105, 968–978. [Google Scholar] [CrossRef]
- Gong, S.; Guo, R.; Zhang, T.; Guo, J. Warming and Nitrogen Addition Increase Litter Decomposition in a Temperate Meadow Ecosystem. PLoS ONE 2015, 10, e0116013. [Google Scholar] [CrossRef] [PubMed]
- Hernández, E.; Questad, E.J.; Meyer, W.M.; Suding, K.N. The Effects of Nitrogen Deposition and Invasion on Litter Fuel Quality and Decomposition in a Stipa Pulchra Grassland. J. Arid. Environ. 2019, 162, 35–44. [Google Scholar] [CrossRef]
- Yang, L.-L.; Gong, J.-R.; Liu, M.; Yang, B.; Zhang, Z.-H.; Luo, Q.-P.; Zhai, Z.-W.; Pan, Y. Advances in the effect of nitrogen deposition on grassland litter decomposition. Chin. J. Plant Ecol. 2017, 41, 894–913. [Google Scholar] [CrossRef]
- Knorr, M.; Frey, S.D.; Curtis, P.S. Nitrogen Additions and Litter Decomposition: A Meta-Analysis. Ecology 2005, 86, 3252–3257. [Google Scholar] [CrossRef]
- Walter, J.; Hein, R.; Beierkuhnlein, C.; Hammerl, V.; Jentsch, A.; Schädler, M.; Schuerings, J.; Kreyling, J. Combined Effects of Multifactor Climate Change and Land-Use on Decomposition in Temperate Grassland. Soil Biol. Biochem. 2013, 60, 10–18. [Google Scholar] [CrossRef]
- Ramirez, K.S.; Craine, J.M.; Fierer, N. Consistent Effects of Nitrogen Amendments on Soil Microbial Communities and Processes across Biomes. Glob. Chang. Biol. 2012, 18, 1918–1927. [Google Scholar] [CrossRef]
- Treseder, K.K. Nitrogen Additions and Microbial Biomass: A Meta-Analysis of Ecosystem Studies. Ecol. Lett. 2008, 11, 1111–1120. [Google Scholar] [CrossRef] [PubMed]
- Wu, J.; Liu, W.; Zhang, W.; Shao, Y.; Duan, H.; Chen, B.; Wei, X.; Fan, H. Long-Term Nitrogen Addition Changes Soil Microbial Community and Litter Decomposition Rate in a Subtropical Forest. Appl. Soil Ecol. 2019, 142, 43–51. [Google Scholar] [CrossRef]
- De Vries, F.T.; Bloem, J.; Quirk, H.; Stevens, C.J.; Bol, R.; Bardgett, R.D. Extensive Management Promotes Plant and Microbial Nitrogen Retention in Temperate Grassland. PLoS ONE 2012, 7, e51201. [Google Scholar] [CrossRef]
- Tsiafouli, M.A.; Thébault, E.; Sgardelis, S.P.; De Ruiter, P.C.; Van Der Putten, W.H.; Birkhofer, K.; Hemerik, L.; De Vries, F.T.; Bardgett, R.D.; Brady, M.V.; et al. Intensive Agriculture Reduces Soil Biodiversity across Europe. Glob. Chang. Biol. 2015, 21, 973–985. [Google Scholar] [CrossRef]
- Han, Y.; Zhang, Z.; Wang, C.; Jiang, F.; Xia, J. Effects of Mowing and Nitrogen Addition on Soil Respiration in Three Patches in an Oldfield Grassland in Inner Mongolia. J. Plant Ecol. 2012, 5, 219–228. [Google Scholar] [CrossRef]
- Singh, H.; Mishra, S.; Afreen, T. Effect of Precipitation and Nitrogen Input on Soil Respiration in Grasslands. IJPE 2018, 4, 23–33. [Google Scholar] [CrossRef]
- Wang, Y.; Wang, D.; Shi, B.; Sun, W. Differential Effects of Grazing, Water, and Nitrogen Addition on Soil Respiration and Its Components in a Meadow Steppe. Plant Soil 2020, 447, 581–598. [Google Scholar] [CrossRef]
- Chen, S.; Wang, W.; Xu, W.; Wang, Y.; Wan, H.; Chen, D.; Tang, Z.; Tang, X.; Zhou, G.; Xie, Z.; et al. Plant Diversity Enhances Productivity and Soil Carbon Storage. Proc. Natl. Acad. Sci. USA 2018, 115, 4027–4032. [Google Scholar] [CrossRef]
- Li, J.; Zhang, Q.; Li, Y.; Liu, J.; Pan, H.; Guan, X.; Xu, X.; Xu, J.; Di, H. Impact of Mowing Management on Nitrogen Mineralization Rate and Fungal and Bacterial Communities in a Semiarid Grassland Ecosystem. J. Soils Sediments 2017, 17, 1715–1726. [Google Scholar] [CrossRef]
- Francioni, M.; Trozzo, L.; Toderi, M.; Baldoni, N.; Allegrezza, M.; Tesei, G.; Kishimoto-Mo, A.W.; Foresi, L.; Santilocchi, R.; D’Ottavio, P. Soil Respiration Dynamics in Bromus Erectus-Dominated Grasslands under Different Management Intensities. Agriculture 2020, 10, 9. [Google Scholar] [CrossRef]
- Zhao, F.; Ren, C.; Shelton, S.; Wang, Z.; Pang, G.; Chen, J.; Wang, J. Grazing Intensity Influence Soil Microbial Communities and Their Implications for Soil Respiration. Agric. Ecosyst. Environ. 2017, 249, 50–56. [Google Scholar] [CrossRef]
- Tang, H.; Nolte, S.; Jensen, K.; Yang, Z.; Wu, J.; Mueller, P. Grazing Mediates Soil Microbial Activity and Litter Decomposition in Salt Marshes. Sci. Total Environ. 2020, 720, 137559. [Google Scholar] [CrossRef] [PubMed]
- Boeddinghaus, R.S.; Marhan, S.; Berner, D.; Boch, S.; Fischer, M.; Hölzel, N.; Kattge, J.; Klaus, V.H.; Kleinebecker, T.; Oelmann, Y.; et al. Plant Functional Trait Shifts Explain Concurrent Changes in the Structure and Function of Grassland Soil Microbial Communities. J. Ecol. 2019, 107, 2197–2210. [Google Scholar] [CrossRef]
- Bai, Z.; Caspari, T.; Gonzalez, M.R.; Batjes, N.H.; Mäder, P.; Bünemann, E.K.; De Goede, R.; Brussaard, L.; Xu, M.; Ferreira, C.S.S.; et al. Effects of Agricultural Management Practices on Soil Quality: A Review of Long-Term Experiments for Europe and China. Agric. Ecosyst. Environ. 2018, 265, 1–7. [Google Scholar] [CrossRef]
- Wetter-BW.de. 2019. Available online: https://www.wetter-bw.de/Agrarmeteorologie-BW/Wetterdaten/Stationskarte (accessed on 8 January 2020).
- Blüthgen, N.; Dormann, C.F.; Prati, D.; Klaus, V.H.; Kleinebecker, T.; Hölzel, N.; Alt, F.; Boch, S.; Gockel, S.; Hemp, A.; et al. A Quantitative Index of Land-Use Intensity in Grasslands: Integrating Mowing, Grazing and Fertilization. Basic Appl. Ecol. 2012, 13, 207–220. [Google Scholar] [CrossRef]
- Voigtländer, N.; Voss, G. Methoden der Grünlanduntersuchung und-bewertung. Grünland, Feldfutter, Rasen; Ulmer Stuttgart: Stuttgart, Germany, 1979. [Google Scholar]
- Laliberté, E.; Legendre, P. A Distance-Based Framework for Measuring Functional Diversity from Multiple Traits. Ecology 2010, 91, 299–305. [Google Scholar] [CrossRef]
- Laliberté, E.; Legendre, P.; Shipley, B. FD: Measuring Functional Diversity from Multiple Traits, and Other Tools for Functional Ecology (R Package Version 1.0-12). 2014. Available online: https://cran.r-project.org/web/packages/FD/FD.pdf (accessed on 8 January 2020).
- Keuskamp, J.A.; Dingemans, B.J.J.; Lehtinen, T.; Sarneel, J.M.; Hefting, M.M. Tea Bag Index: A Novel Approach to Collect Uniform Decomposition Data across Ecosystems. Methods Ecol. Evol. 2013, 4, 1070–1075. [Google Scholar] [CrossRef]
- De Long, J.R.; Jackson, B.G.; Wilkinson, A.; Pritchard, W.J.; Oakley, S.; Mason, K.E.; Stephan, J.G.; Ostle, N.J.; Johnson, D.; Baggs, E.M.; et al. Relationships between Plant Traits, Soil Properties and Carbon Fluxes Differ between Monocultures and Mixed Communities in Temperate Grassland. J. Ecol. 2019, 107, 1704–1719. [Google Scholar] [CrossRef]
- Tjoelker, M.G.; Craine, J.M.; Wedin, D.; Reich, P.B.; Tilman, D. Linking Leaf and Root Trait Syndromes among 39 Grassland and Savannah Species. New Phytol. 2005, 167, 493–508. [Google Scholar] [CrossRef]
- Pontes, L.D.S.; Soussana, J.-F.; Louault, F.; Andueza, D.; Carrère, P. Leaf Traits Affect the Above-Ground Productivity and Quality of Pasture Grasses. Funct. Ecol. 2007, 21, 844–853. [Google Scholar] [CrossRef]
- Makkonen, M.; Berg, M.P.; Handa, I.T.; Hättenschwiler, S.; Van Ruijven, J.; Van Bodegom, P.M.; Aerts, R. Highly Consistent Effects of Plant Litter Identity and Functional Traits on Decomposition across a Latitudinal Gradient. Ecol. Lett. 2012, 15, 1033–1041. [Google Scholar] [CrossRef]
- R Core Team. R: A Language and Environment for Statistical Computing; R Core Team: Vienna, Austria, 2020; Available online: https://www.R-project.org/ (accessed on 10 October 2019).
- Bates, D.; Maechler, M.; Bolker, B.; Walker, S. Fitting Linear Mixed-Effects Models Using {lme4} (R Package). J. Stat. Soft. 2015, 67, 1–48. [Google Scholar] [CrossRef]
- Kuznetsova, A.; Brockhoff, P.B.; Christensen, R.H.B. lmerTest Package: Tests in Linear Mixed Effects Models (R Package). J. Stat. Soft. 2017, 86, 1–26. [Google Scholar] [CrossRef]
- Barton, K. MuMIn: Multi-Model Inference (R Package Version 1.43.17). 2019. Available online: https://cran.r-project.org/web/packages/MuMIn/index.html (accessed on 8 January 2020).
- Rosseel, Y. Lavaan: An R Package for structuraleEquation Modeling (R Package). J. Stat. Soft. 2012, 48, 1–36. [Google Scholar] [CrossRef]
- Epskamp, S. semPlot: Path Diagrams and Visual Analysis of Various SEM Packages’ Output (R Package Version 1.1.2). 2019. Available online: https://cran.r-project.org/web/packages/semPlot/index.html (accessed on 8 January 2020).
- Scherer-Lorenzen, M. Functional Diversity Affects Decomposition Processes in Experimental Grasslands. Funct. Ecol. 2008, 22, 547–555. [Google Scholar] [CrossRef]
- Busch, V.; Klaus, V.H.; Schäfer, D.; Prati, D.; Boch, S.; Müller, J.; Chisté, M.; Mody, K.; Blüthgen, N.; Fischer, M.; et al. Will I Stay or Will I Go? Plant Species-Specific Response and Tolerance to High Land-Use Intensity in Temperate Grassland Ecosystems. J. Veg. Sci. 2019, 30, 674–686. [Google Scholar] [CrossRef]
- Freschet, G.T.; Aerts, R.; Cornelissen, J.H.C. A Plant Economics Spectrum of Litter Decomposability. Funct. Ecol. 2012, 26, 56–65. [Google Scholar] [CrossRef]
- Zhou, X.; Guo, Z.; Zhang, P.; Du, G. Shift in Community Functional Composition Following Nitrogen Fertilization in an Alpine Meadow through Intraspecific Trait Variation and Community Composition Change. Plant Soil 2018, 431, 289–302. [Google Scholar] [CrossRef]
- Yin, R.; Eisenhauer, N.; Auge, H.; Purahong, W.; Schmidt, A.; Schädler, M. Additive Effects of Experimental Climate Change and Land Use on Faunal Contribution to Litter Decomposition. Soil Biol. Biochem. 2019, 131, 141–148. [Google Scholar] [CrossRef]
- Komainda, M.; Mohn, E.; Kajzrová, K.; Obermeyer, K.; Titěra, J.; Pavlů, V.; Isselstein, J. Soil Organic Carbon Stocks and Belowground Biomass in Patches in Heterogeneous Grassland. Grassl. Res. 2023, 2, 279–288. [Google Scholar] [CrossRef]
- Du, Y.; Han, H.; Wang, Y.; Zhong, M.; Hui, D.; Niu, S.; Wan, S. Plant Functional Groups Regulate Soil Respiration Responses to Nitrogen Addition and Mowing over a Decade. Funct. Ecol. 2018, 32, 1117–1127. [Google Scholar] [CrossRef]
- Hättenschwiler, S.; Tiunov, A.V.; Scheu, S. Biodiversity and Litter Decomposition in Terrestrial Ecosystems. Annu. Rev. Ecol. Evol. Syst. 2005, 36, 191–218. [Google Scholar] [CrossRef]
- Bakker, M.A.; Carreño-Rocabado, G.; Poorter, L. Leaf Economics Traits Predict Litter Decomposition of Tropical Plants and Differ among Land Use Types: Leaf Economics Traits and Decomposition. Funct. Ecol. 2011, 25, 473–483. [Google Scholar] [CrossRef]




| Cut Year−1 | N kg ha−1 Year−1 | LUI |
|---|---|---|
| 2 | 0 | 0.67 |
| 3 | 0 | 1.00 |
| 4 | 0 | 1.33 |
| 2 | 60 | 1.33 |
| 3 | 90 | 2.00 |
| 4 | 120 | 2.67 |
| 2 | 120 | 2.00 |
| 3 | 180 | 3.00 |
| 4 | 240 | 4.00 |
| Estimate | S.E. | F/Chi-sq. (d.f.) | p | |
|---|---|---|---|---|
| Species richness (R2: 0.35/0.78) | ||||
| Intercept | 25.455 | 1.306 | - | - |
| LUI | −5.593 | 1.000 | 31.27 (1, 106) | 1.778 × 10−7 *** |
| LUI2 | 0.606 | 0.215 | 7.94 (1, 105) | 0.0058 ** |
| Functional diversity (R2: 0.30/0.85) | ||||
| Intercept | 2.057 | 0.074 | - | - |
| LUI | −0.322 | 0.049 | 44.00 (1, 105) | 1.465 × 10−9 *** |
| LUI2 | 0.037 | 0.010 | 12.58 (1, 105) | 0.0005 *** |
| CWM LDMC (R2: 0.30/0.86) | ||||
| Intercept | 189.596 | 5.230 | - | - |
| LUI | 31.240 | 3.365 | 86.21 (1, 105) | 2.441 × 10−15 *** |
| LUI2 | −4.607 | 0.723 | 40.58 (1, 105) | 5.098 × 10−9 *** |
| CWM SLA (R2: 0.08/0.57) | ||||
| Intercept | 27.578 | 0.236 | - | - |
| LUI | −0.285 | 0.070 | 16.66 (1, 112) | 8.428 × 10−5 *** |
| LUI2 | - | - | 0.59 (1, 106) | 0.4447 |
| CWM Leaf N (R2: 0.06/0.70) | ||||
| Intercept | 2.817 | 0.060 | - | - |
| LUI | 0.154 | 0.045 | 11.64 (1, 102) | 0.0009264 *** |
| LUI2 | −0.039 | 0.010 | 15.87 (1, 102) | 0.0001 *** |
| CWM Root N (R2: 0.54/0.84) | ||||
| Intercept | 1.414 | 0.039 | - | - |
| LUI | −0.277 | 0.030 | 82.83 (1, 102) | 7.779 × 10−15 *** |
| LUI2 | 0.034 | 0.007 | 27.21 (1, 102) | 9.585 × 10−7 *** |
| Percentage legumes (GLMER, Chi-sq. test) (R2: 0.49, 0.61) | ||||
| Intercept | 0.305 | 0.320 | - | - |
| LUI | −2.0149 | 0.145 | 396.29 (1) | 2.2 × 10−16 *** |
| LUI2 | - | - | 1.867 (1) | 0.1718 |
| Percentage herbs (GLMER, Chi-sq. test) (R2: 0.09, 0.28) | ||||
| Intercept | 1.288 | 0.287 | - | - |
| LUI | −1.312 | 0.154 | 238.38 (1) | 2.2 × 10−16 *** |
| LUI2 | 0.156 | 0.032 | 23.38 (1) | 1.332 × 10−6 *** |
| Estimate | S.E. | F (d.f.) | p | |
|---|---|---|---|---|
| S (R2: 0.04/0.69) | ||||
| Intercept | 0.431 | 0.007 | - | - |
| LUI | - | - | 0.41 (1, 32) | 0.5254 |
| LUI2 | 0.001 | 0.001 | - | - |
| Patch (herb) | 0.018 | 0.005 | - | - |
| LUI: Patch (herb) | - | - | 0.02 (1, 93) | 0.8958 |
| LUI2: Patch (herb) | −0.003 | 0.001 | 13.10 (1, 93) | 0.0005 *** |
| k (R2: 0/0.33) | ||||
| Intercept | 1.123 × 10−2 | 4.376 × 10−4 | - | - |
| LUI | - | - | 1.96 (1, 33) | 0.1704 |
| LUI2 | - | - | 0.01 (1, 32) | 0.9221 |
| Patch (herb) | - | - | 0.01 (1, 29) | 0.9087 |
| LUI: Patch (herb) | - | - | 2.32 (1, 28) | 0.1392 |
| LUI2: Patch (herb) | - | - | 0.02 (1, 26) | 0.8903 |
| Soil respiration (log-transformed) (R2: 0/0.08) | ||||
| Intercept | 0.84248 | 0.08723 | - | - |
| LUI | - | - | 0.01 (1, 117) | 0.9255 |
| LUI2 | - | - | 0.11 (1, 113) | 0.7454 |
| Estimate | S.E. | F (d.f.) | p | |
|---|---|---|---|---|
| Percentage loss (R2: 0.29/0.50) | ||||
| Intercept | 37.482 | 3.171 | - | - |
| LUI | - | - | 0.00 (1, 27) | 0.9963 |
| LUI2 | 0.891 | 0.322 | 7.68 (1, 39) | 0.0086 ** |
| Mesh (5 mm) | 12.915 | 2.246 | 33.05 (1, 90) | 1.201 × 10−7 *** |
| Litter type (green) | 10.150 | 2.287 | 19.70 (1, 97) | 2.385 × 10−5 *** |
| LUI: Mesh | - | - | 0.18 (1, 93) | 0.6734 |
| LUI: Litter type | - | - | 0.11 (1, 97) | 0.7361 |
| LUI2: Mesh | - | - | 0.33 (1, 95) | 0.5658 |
| LUI2: Litter type | - | - | 0.09 (1, 100) | 0.7635 |
| Percentage loss (R2: 0.50/0.54) | ||||
| Intercept | −53.499 | 22.973 | - | - |
| Cut | 57.768 | 16.433 | 12.34 (1, 40) | 0.0011 ** |
| Cut2 | −8.031 | 2.737 | 8.61 (1, 41) | 0.0055 ** |
| Mesh (5 mm) | 12.793 | 2.218 | 33.26 (1, 94) | 1.028 × 10−7 *** |
| Litter type (green) | 9.925 | 2.241 | 19.61 (1, 102) | 2.387 × 10−5 *** |
| Cut: Mesh | - | - | 0.92 (1, 93) | 0.3409 |
| Cut: Litter type | - | - | 0.21 (1, 106) | 0.6454 |
| Cut2: Mesh | - | - | 1.38 (1, 94) | 0.2423 |
| Cut2: Litter type | - | - | 0.37 (1, 101) | 0.5455 |
| Percentage loss (R2: 0.37/0.52) | ||||
| Intercept | 48.754 | 10.398 | - | - |
| Species richness | 0.978 | 0.398 | 6.04 (1, 36) | 0.0190 * |
| Funct. div. (FDisLEDA) | −14.854 | 4.930 | 9.08 (1, 24) | 0.0060 ** |
| Mesh (5 mm) | 13.058 | 2.267 | 33.19 (1, 88) | 1.197 × 10−7 *** |
| Litter type (green) | 10.062 | 2.311 | 18.96 (1, 96) | 3.350 × 10−5 *** |
| CWM Leaf N | - | - | 0.36 (1, 35) | 0.5522 |
| CWM Root N | - | - | 0.88 (1, 36) | 0.3545 |
| CWM LDMC | - | - | 0.04 (1, 30) | 0.8411 |
| CWM SLA | - | - | 2.45 (1, 37) | 0.1263 |
| Species numb.: Mesh | - | - | 0.01 (1, 91) | 0.9336 |
| Species numb.: Litter type | - | - | 2.11 (1, 89) | 0.1496 |
| Funct. div.: Mesh | - | - | 0.19 (1, 92) | 0.6637 |
| Funct. div.: Litter type | - | - | 0.52 (1, 92) | 0.4725 |
| CWM Leaf N: Mesh | - | - | 0.20 (1, 88) | 0.6565 |
| CWM Leaf N: Litter type | - | - | 0.09 (1, 99) | 0.7634 |
| CWM Root N: Mesh | - | - | 1.52 (1, 91) | 0.2201 |
| CWM Root N: Litter type | - | - | 0.02 (1, 94) | 0.8889 |
| CWM LDMC: Mesh | - | - | 2.44 (1, 85) | 0.1218 |
| CWM LDMC: Litter type | - | - | 0.22 (1, 90) | 0.6384 |
| CWM SLA: Mesh | - | - | 2.08 (1, 89) | 0.1532 |
| CWM SLA: Litter type | - | - | 0.67 (1, 91) | 0.4153 |
Disclaimer/Publisher’s Note: The statements, opinions and data contained in all publications are solely those of the individual author(s) and contributor(s) and not of MDPI and/or the editor(s). MDPI and/or the editor(s) disclaim responsibility for any injury to people or property resulting from any ideas, methods, instructions or products referred to in the content. |
© 2024 by the authors. Licensee MDPI, Basel, Switzerland. This article is an open access article distributed under the terms and conditions of the Creative Commons Attribution (CC BY) license (https://creativecommons.org/licenses/by/4.0/).
Share and Cite
Walter, J.; Thumm, U.; Buchmann, C.M. Effects of Land-Use Intensity on Functional Community Composition and Nutrient Dynamics in Grassland. Environments 2024, 11, 173. https://doi.org/10.3390/environments11080173
Walter J, Thumm U, Buchmann CM. Effects of Land-Use Intensity on Functional Community Composition and Nutrient Dynamics in Grassland. Environments. 2024; 11(8):173. https://doi.org/10.3390/environments11080173
Chicago/Turabian StyleWalter, Julia, Ulrich Thumm, and Carsten M. Buchmann. 2024. "Effects of Land-Use Intensity on Functional Community Composition and Nutrient Dynamics in Grassland" Environments 11, no. 8: 173. https://doi.org/10.3390/environments11080173
APA StyleWalter, J., Thumm, U., & Buchmann, C. M. (2024). Effects of Land-Use Intensity on Functional Community Composition and Nutrient Dynamics in Grassland. Environments, 11(8), 173. https://doi.org/10.3390/environments11080173

