Impact of a Complex Passivating Agent on Heavy Metal Immobilization in Pig Manure and Plant Development
Abstract
1. Introduction
2. Materials and Methods
2.1. Experimental Materials
2.2. Experimental Methods
2.3. Testing Methods
2.4. Statistical Analysis
3. Results and Discussion
3.1. The Physical and Chemical Properties of the Material Prior to and Subsequent to the Introduction of a Dulling Agent
3.2. The Passivation Effects of Single and Compound Passivators on Cu in the Pig Manure–Soil Mixes
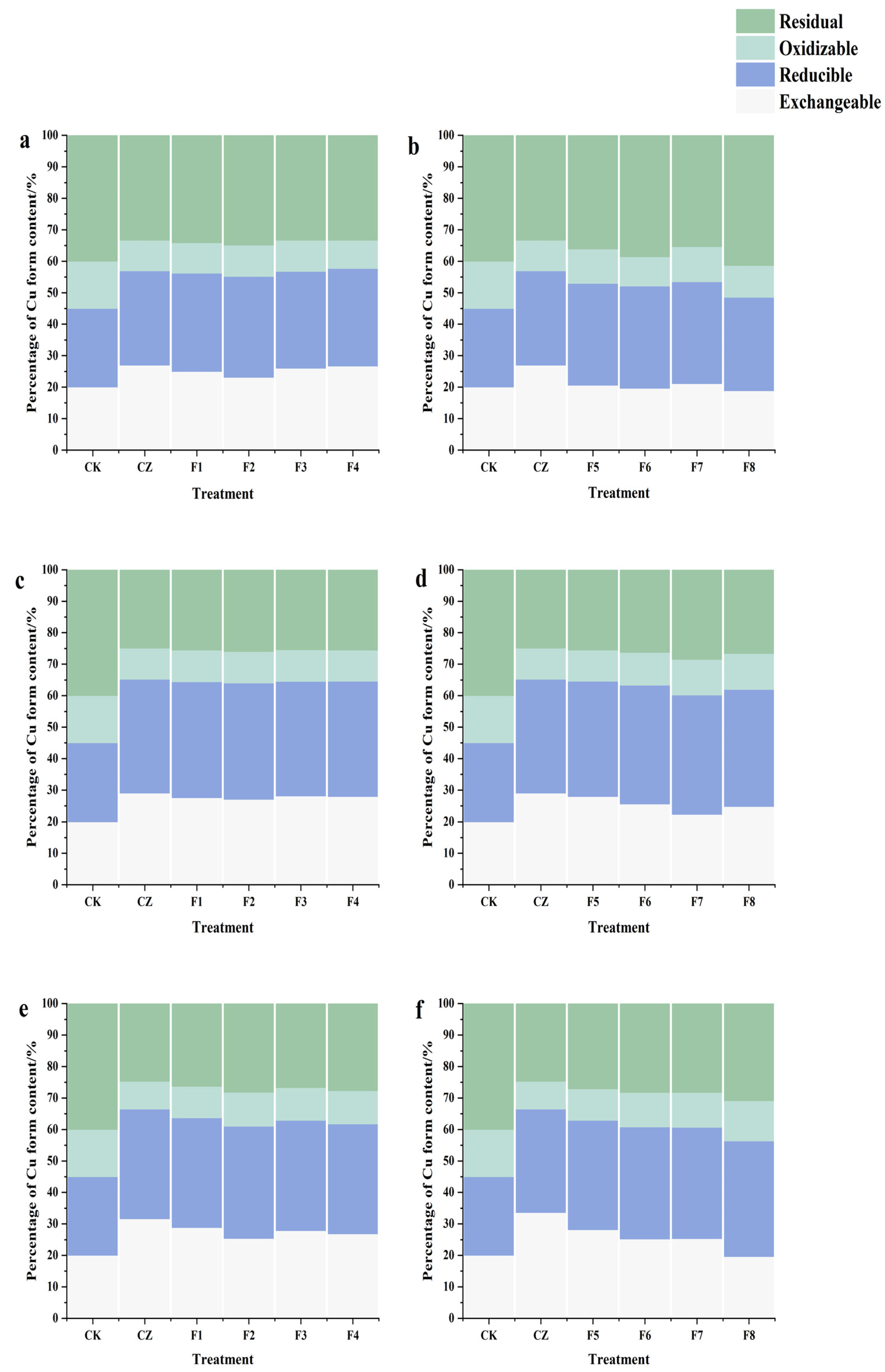
3.3. The Effects of Single and Compound Passivators on the Cu Forms in the Pig Manure–Soil Mixes and the Passivation Rates
3.4. The Effects of Single and Compound Passivators on the Cu Forms in the Pig Manure–Soil Mixes and the Rate of Passivation
4. Conclusions
Author Contributions
Funding
Data Availability Statement
Conflicts of Interest
References
- He, Q.H.; Liang, Y.F. Analysis of sources of heavy metals in livestock and poultry manure and soil pollution. Agric. Technol. 2017, 37, 238–239. [Google Scholar] [CrossRef]
- Wang, Z.; Tu, C.B.; Wang, R.Y.; Wu, W.J.; Fan, W.H.; Zhang, H.; Wu, C.F. Research progress on agricultural soil environmental pollution and remediation. Agric. Technol. 2023, 43, 94–99. [Google Scholar] [CrossRef]
- Picher, S.; Drogui, P.; Guay, R.; Blais, J.F. Wastewater sludge and pig manure used as culture media for bioleaching of metal sulphides. Hydrometallurgy 2002, 65, 177–186. [Google Scholar] [CrossRef]
- Cang, L.; Wang, Y.; Zhou, D.; Dong, Y. Heavy metals pollution in poultry and livestock feeds and manures under intensive farming in Jiangsu Province, China. J. Environ. Sci. 2004, 16, 371–374. [Google Scholar]
- Xue, J.; Wang, L.; Zhang, H.M.; Zhang, H.Q.; Zhu, Y.X.; Zhou, L. Response of biochar to improve humification and heavy metal passivation in pig manure compost. J. Tarim Univ. 2023, 35, 88–96. [Google Scholar] [CrossRef]
- Huang, Y.Y.; Chen, G.F.; Liu, B.; Su, L.R. Research progress on contents, speciation and transformation of heavy metals in livestock and poultry manures. Guangxi Agric. Sci. 2010, 41, 807–809. [Google Scholar] [CrossRef]
- Yi, L. Study on Bioavailability Determination of Heavy Metals in Four Typical Soils. Master’s Thesis, Northwest A & F University, Xianyang, China, 2011. [Google Scholar]
- Yang, X.M.; Zhao, F.J. Effect of bentonite on the forms and bioavailability of Cu2+ in soil. Met. Mine 2023, 9, 247–253. [Google Scholar] [CrossRef]
- Huang, J.; Xiao, J.Z.; Tang, S.G.; Zheng, Q.; Ding, F.H.; Zhang, D.X. Effect of montmorillonite addition on aerobic composting and heavy metals passivation of pig manure. Acta Agric. Zhejiangensis 2020, 32, 141–148. [Google Scholar] [CrossRef]
- Deng, M.T. Experimental Study on Pyrolysis Characteristics and Heavy Metal Transform and Migration of Swine Manure Digestate. Master’s Thesis, Huazhong University of Science and Technology, Wuhan, China, 2020. [Google Scholar]
- Geng, X.H.; Yang, X.; Liu, X.Y.; Ma, Z.; Gai, K.H. Adsorption and aggregation mechanism of Cu2+ and Zn2+ by bentonite composite particles. Non-Met. Mines 2024, 47, 103–107. [Google Scholar] [CrossRef]
- Huo, X. The heavy metal (Pb) lead pollution studies in the vegetables. J. Liupanshui Teach. Coll. 2009, 21, 27–31. [Google Scholar] [CrossRef]
- Tang, G.M.; Jia, Y.J.; Guo, J.H.; Li, L.; Wang, C.J.; Guan, H.L.; Huang, J.X. Effect of heavy metal pollution on seed germination and seedling growth of peanut and soybean. J. Yunnan Norm. Univ. Nat. Sci. Ed. 2021, 41, 64–69. [Google Scholar] [CrossRef]
- Wu, D.L.; Zhang, J.T. Characteristics of content and accumulation of heavy metals in Glycine soja. J. Anhui Agric. Sci. 2018, 46, 71–74,81. [Google Scholar] [CrossRef]
- Sousa, A.I.; Caçador, I.; Lillebø, A.I.; Pardal, M.A. Heavy metal accumulation in Halimione portulacoides: Intra- and extra-cellular metal binding sites. Chemosphere 2008, 70, 850–857. [Google Scholar] [CrossRef] [PubMed]
- Ginneken, L.V.; Meers, E.; Guisson, R.; Ruttens, A.; Elst, K.; Tack, F.M.G.; Vangronsveld, J.; Diels, L.; Dejonghe, W. Phytoremediation for heavy metal-contaminated soils combined with bioenergy production. J. Environ. Eng. Landsc. Manag. 2007, 15, 227–236. [Google Scholar] [CrossRef]
- Kazi, T.G.; Jamali, M.K.; Kazi, G.H.; Arain, M.B.; Afridi, H.I.; Siddiqui, A. Evaluating the mobility of toxic metals in untreated industrial wastewater sludge using a BCR sequential extraction procedure and a leaching test. Anal. Bioanal. Chem. 2005, 383, 297–304. [Google Scholar] [CrossRef]
- Arain, M.B.; Kazi, T.G.; Jamali, M.K.; Jalbani, N.; Afridi, H.I.; Shah, A. Total dissolved and bioavailable elements in water and sediment samples and their accumulation in Oreochromis mossambicus of polluted Manchar Lake. Chemosphere 2008, 70, 1845–1856. [Google Scholar] [CrossRef]
- Sánchez-Báscones, M.; Antolín-Rodríguez, J.M.; Bravo-Sánchez, C.T.; Martín-Gil, J.; Martín-Ramos, P. Dried pig manure from a cogeneration plant as a fertilizer for nitrate vulnerable zones. Agronomy 2019, 9, 46. [Google Scholar] [CrossRef]
- Zhang, T. The Impacts of Swine Manure Treatments and Application Years on Soil Nitrogen Flux. Master’s Thesis, Chinese Academy of Agricultural Sciences, Beijing, China, 2018. [Google Scholar]
- Yang, X.; Ren, G.; Li, L.; Luo, K. Effect of pH value on heavy metals form of soil and their relationship. China Min. Mag. 2017, 26, 79–83. [Google Scholar]
- Zhang, M.; Fan, L. Study on the effect of soil pH value changes on heavy metal form distribution. Mod. Transp. Bridge Constr. 2023, 3, 73–75. [Google Scholar] [CrossRef]
- Chibuike, G.U.; Obiora, S.C. Heavy Metal Polluted Soils: Effect on Plants and Bioremediation Methods. Appl. Environ. Soil Sci. 2014, 2014, 752708. [Google Scholar] [CrossRef]
- Zhao, W.; Zhou, Q.; Tian, Z.; Cui, Y.; Liang, Y.; Wang, H. Apply biochar to ameliorate soda saline-alkali land, improve soil function and increase corn nutrient availability in the Songnen Plain. Sci. Total Environ. 2020, 722, 137428. [Google Scholar] [CrossRef] [PubMed]
- Wang, Z.Y.; Chen, L.; Sun, F.L.; Luo, X.X.; Wang, H.F.; Liu, G.C.; Xu, Z.H.; Jiang, Z.X.; Pan, B.; Zheng, H. Effects of adding biochar on the properties and nitrogen bioavailability of an acidic soil. Eur. J. Soil Sci. 2017, 68, 559–572. [Google Scholar] [CrossRef]
- Dai, J.; Liu, Y.S. Adsorption of Pb+ and Cd2+ onto biochars derived from pyrolysis of four kinds of biomasses. Acta Sci. Nat. Univ. Pekin. 2013, 49, 1075–1082. [Google Scholar]
- Luo, Y.Y.; Wu, Q.H.; Hua, B.C.; Lin, J.X.; Mai, S.X.; Wu, Y.T. Review on fixation mechanism of heavy metals by biochar. Guangzhou Chem. Ind. 2024, 52, 5–7. [Google Scholar]
- Xiao, L.P.; Song, J.N.; Wang, R.J.; Luan, X.F.; Liu, Z. Removal of acidic mine wastewater containing Mn2+ by bentonite-steel slag composite particles. Ind. Water Treat. 2018, 38, 46–49. [Google Scholar]
- Wang, F.; Guan, J.F.; Liu, Y.Q.; Chen, F.; Guo, Z.Z.; Qian, Y.P. Study on ion exchange and swelling properties of Xinjiang bentonite. Non-Met. Mines 2019, 42, 73–76. [Google Scholar] [CrossRef]
- Cheng, B.B.; Mo, W.; Su, X.J.; Yu, C.; Huang, Y.H.; He, C.Y. Simultaneous removal of lead, zinc, cadmium and arsenic from water by bentonite and its mechanism. J. Guangxi Univ. Nat. Sci. Ed. 2022, 47, 526–537. [Google Scholar] [CrossRef]
- Berraaouan, D.; Elmiz, M.; Essifi, K.; Salhi, S.; Tahani, A. Adsorption of carvacrol on modified bentonite in aqueous solutions. Mater. Today Proc. 2020, 31, S28–S32. [Google Scholar] [CrossRef]
- Shen, Z.; Hou, D.; Jin, F.; Shi, J.; Fan, X.; Tsang, D.C.W.; Alessi, D.S. Effect of production temperature on lead removal mechanisms by rice straw biochars. Sci. Total Environ. 2019, 655, 751–758. [Google Scholar] [CrossRef]
- Yang, Q.; Cui, P.; Liu, C.; Fang, G.; Huang, M.; Wang, Q.; Zhou, Y.; Hou, H.; Wang, Y. In situ stabilization of the adsorbed Co2+ and Ni2+ in rice straw biochar based on LDH and its reutilization in the activation of peroxymonosulfate. J. Hazard. Mater. 2021, 416, 126215. [Google Scholar] [CrossRef]
- Zou, F.; He, C.X.; Zhang, Y.Y.; Shi, H.; Zhou, K. Adsorbability comparison of some crop straw biochar to heavy metal Pb2+. J. Mater. Sci. Eng. 2018, 36, 993–997,1009. [Google Scholar] [CrossRef]
- Wang, Y.; Zhong, B.; Shafi, M.; Ma, J.; Guo, J.; Wu, J.; Ye, Z.; Liu, D.; Jin, H. Effects of biochar on growth, and heavy metals accumulation of moso bamboo (Phyllostachys pubescens), soil physical properties, and heavy metals solubility in soil. Chemosphere 2019, 219, 510–516. [Google Scholar] [CrossRef] [PubMed]
- Shen, F.J.; Han, J.H.; Zhao, R.; Zhang, K.Q. Research on the contents and change characteristics of heavy metals in swine manure. J. Agric. Resour. Environ. 2021, 38, 466–474. [Google Scholar] [CrossRef]
- Li, R.; Meng, H.B.; Shen, Y.J.; Zhou, H.B.; Zhang, X.; Wen, H.D. Immobilization of heavy metals by modified biochar during composting of pig manure. J. Agro-Environ. Sci. 2018, 37, 2304–2311. [Google Scholar] [CrossRef]
- Zhou, Z.; Huang, L.; Huang, G.D.; Ma, H.G.; Peng, G. Deactivation and remediation of cadmium and zinc contaminated soil by combination of biochar and sepiolite. J. Huazhong Agric. Univ. 2023, 42, 158–166. [Google Scholar] [CrossRef]
- Niu, J.Y.; Li, X.H. Research on the application of biochar in crop production. Seed Sci. Technol. 2023, 41, 5–7,12. [Google Scholar] [CrossRef]
- Zhang, J.L.; Zhang, B.W.; Zhu, W.J.; Yue, J.H.; An, N.; Guan, S. Contrasting effects of straw and straw-derived biochar application on soil organic matter. J. Jilin Agric. Univ. 2024, 1–12. [Google Scholar] [CrossRef]
- Zhang, Y.K.; Song, P.; Pan, D.Y.; Wang, W.S.; Zhou, Y.N.; Wang, C.; Luo, B. Cu2+ stress effects on soybean growth and antioxidant enzyme activity. Jiangsu Agric. Sci. 2019, 47, 89–92. [Google Scholar] [CrossRef]
- Hu, J.Y.; Zheng, E.N. A review of the effects of biochar on crop growth and soil environmental effects. Agric. Technol. 2021, 41, 31–35. [Google Scholar] [CrossRef]
- Wang, L.; Jiang, Z.; Li, F.L.; Jiang, B.W.; Dong, S.K.; Cao, B.; Zhang, Y. Research progress on soil barriers and countermeasures of soybean cultivated land in Black Soil Region. Soybean Sci. Technol. 2022, 27–36. [Google Scholar] [CrossRef]
- Liu, M.; Lai, Y.C.; Li, W.; Xiao, J.L.; Bi, Y.D.; Liu, M.; Li, W. Effect of biochar and nitrogen application rate on growth development and yield of soybean. Soybean Sci. 2015, 34, 87–92. [Google Scholar] [CrossRef]
- Zhang, H.Z.; Huang, Y.; Liu, G.; Xu, Y.P.; Liu, J.S.; Bei, Q.C.; Lin, X.W.; Zhu, J.G.; Xie, Z.B. Effects of biochar on corn growth, nutrient uptake and soil chemical properties in seeding stage. Ecol. Environ. 2010, 19, 2713–2717. [Google Scholar] [CrossRef]
- Wang, L.; Gu, H.; Li, J.L.; Yang, R.; He, J.; Chen, Y.; He, C.L.; He, C.G. Effect of nitrogen fertilizer combined with biochar on the biomass and photosynthetic characteristics of flue-cured tobacco/silage corn relay intercropping on slope farmland. J. Yunnan Agric. Univ. 2021, 36, 985–992. [Google Scholar] [CrossRef]
- Feng, M.L. Effects of Biochar and Nitrogen Additions on Soil Nutrient, Biomass and Photosynthetic Physiological Characteristics of Bletilla striata. Master’s Thesis, Jiangxi Agricultural University, Nanchang, China, 2019. [Google Scholar]
- Liu, J.H.; Wang, Q.; Luo, R.J.; Chen, X.; Sun, S.J. Effect of fulvic acid fertilizer on microbial diversity and enzyme activity in wheat rhizosphere soil. Plant Nutr. Fertil. Sci. 2019, 25, 1808–1816. [Google Scholar] [CrossRef]
- Wen, Y.; Wang, C.M.; Zhang, W.D.; Xu, R.; Wang, R.; Song, R.P.; He, S.Y.; Li, J.Q.; Liu, A.Q.; Ma, M.; et al. Research status and analysis in agricultural extension application of biochar. J. Anhui Agric. Sci. 2021, 49, 10–13,17. [Google Scholar] [CrossRef]






| Materials | Cu (mg/kg−1) | pH | EC (mS·cm−1) | Organic Matter (g/kg) | Total Nitrogen (g/kg) | Total Potassium (g/kg) | Total Phosphorus (g/kg) |
|---|---|---|---|---|---|---|---|
| Pig manure | 1309.35 ± 326.28 | 8.15 ± 0.32 | 2.54 ± 0.06 | 46.7 ± 1.81 | 5.0 ± 0.10 | 5.8 ± 0.27 | 3.5 ± 0.14 |
| Soil | 21.40 ± 0.20 | 6.89 ± 0.20 | 0.7 ± 0.02 | 36.8 ± 4.12 | 1.34 ± 0.7 | 0.84 ± 0.04 | 11.2 ± 0.29 |
| Biochar | 12.46 ± 0.14 | 9.46 ± 0.14 | 1.8 ± 0.13 | 22.08 ± 0.6 | 1.49 ± 0.05 | 2.36 ± 0.09 | 19.82 ± 0.18 |
| Sodium-based bentonite | 2.11 ± 0.03 | 7.0 ± 0.1 | 0.05 ± 0.01 | / | / | / | / |
| Treatment | pH | EC (mS·cm−1) | Organic Matter (g/kg) | Total Nitrogen (g/kg) | Total Potassium (g/kg) | Total Phosphorus (g/kg) |
|---|---|---|---|---|---|---|
| LPS | 7.02 ± 0.12 | 1.85 ± 0.05 | 47.8 ± 4.55 | 2.3 ± 0.06 | 6.06 ± 0.63 | 11.8 ± 0.11 |
| MPS | 6.97 ± 0.06 | 1.93 ± 0.07 | 45.9 ± 0.60 | 2.3 ± 0.25 | 5.47 ± 0.37 | 13.4 ± 0.40 |
| HPS | 6.91 ± 0.10 | 2.01 ± 0.02 | 44.0 ± 8.55 | 2.4 ± 0.24 | 6.70 ± 0.60 | 12.5 ± 0.42 |
| LPS (AD) | 7.31 ± 0.21 | 0.75 ± 0.06 | 58.06 ± 11.43 | 3.49 ± 1.21 | 11.2 ± 2.20 | 28.94 ± 7.69 |
| MPS (AD) | 7.28 ± 0.09 | 0.76 ± 0.04 | 57.50 ± 13.21 | 4.43 ± 1.50 | 11.5 ± 4.90 | 24.45 ± 5.12 |
| HPS (AD) | 7.05 ± 0.15 | 0.82 ± 0.08 | 58.90 ± 14.25 | 4.11 ± 1.04 | 11.4 ± 1.40 | 29.78 ± 3.46 |
Disclaimer/Publisher’s Note: The statements, opinions and data contained in all publications are solely those of the individual author(s) and contributor(s) and not of MDPI and/or the editor(s). MDPI and/or the editor(s) disclaim responsibility for any injury to people or property resulting from any ideas, methods, instructions or products referred to in the content. |
© 2024 by the authors. Licensee MDPI, Basel, Switzerland. This article is an open access article distributed under the terms and conditions of the Creative Commons Attribution (CC BY) license (https://creativecommons.org/licenses/by/4.0/).
Share and Cite
Li, Y.; Zhao, H.; Liang, X.; Zhao, X.; Li, S.; Oh, K.; Jiang, D.; Li, T.; Cao, T. Impact of a Complex Passivating Agent on Heavy Metal Immobilization in Pig Manure and Plant Development. Environments 2024, 11, 290. https://doi.org/10.3390/environments11120290
Li Y, Zhao H, Liang X, Zhao X, Li S, Oh K, Jiang D, Li T, Cao T. Impact of a Complex Passivating Agent on Heavy Metal Immobilization in Pig Manure and Plant Development. Environments. 2024; 11(12):290. https://doi.org/10.3390/environments11120290
Chicago/Turabian StyleLi, Yutong, Hongyan Zhao, Xuanhe Liang, Xin Zhao, Shanlong Li, Kokyo Oh, Dengyu Jiang, Tao Li, and Tiehua Cao. 2024. "Impact of a Complex Passivating Agent on Heavy Metal Immobilization in Pig Manure and Plant Development" Environments 11, no. 12: 290. https://doi.org/10.3390/environments11120290
APA StyleLi, Y., Zhao, H., Liang, X., Zhao, X., Li, S., Oh, K., Jiang, D., Li, T., & Cao, T. (2024). Impact of a Complex Passivating Agent on Heavy Metal Immobilization in Pig Manure and Plant Development. Environments, 11(12), 290. https://doi.org/10.3390/environments11120290

