Next Article in Journal
Morphological Alterations and Oxidative Stress Induction in Danio rerio Liver After Short-Term Exposure to the Strobilurin Fungicide Dimoxystrobin
Next Article in Special Issue
Propolis: Biological Activity and Its Role as a Natural Indicator of Pollution in Mining Areas
Previous Article in Journal
Review of Correlations Between Telomere Length and Metal Exposure Across Distinct Populations
 
 
Font Type:
Arial Georgia Verdana
Font Size:
Aa Aa Aa
Line Spacing:
Column Width:
Background:
Article

Analysis of Environmental Contamination by Metals Using Wood Mouse Apodemus sylvaticus Hair as a Biomonitor: An Appraisal

Department of Chemistry, University of Pavia, 27100 Pavia, Italy
*
Author to whom correspondence should be addressed.
Environments 2024, 11(12), 281; https://doi.org/10.3390/environments11120281
Submission received: 31 October 2024 / Revised: 22 November 2024 / Accepted: 2 December 2024 / Published: 6 December 2024

Abstract

This study assessed environmental metal and metalloids (TE) levels using hair of Apodemus sylvaticus as a non-lethal biomonitor. TE decreased as follows: Zn > Al > Fe > Cu > Pb > Cr > Ni > Mn > Cd > Se > As > Hg; TE widely distributed in soils as Zn, Al, Fe, and Cu, are more abundant than those of ecotoxicological interest, such as Cd, Se, As and Hg. Cd, Pb, Cu, and Cr concentrations are highly variable, while Zn, Fe, and Mn are less variable. TE in hair are below the threshold levels in soil and decrease the same way in both sexes. Concentrations in soil and hair are significantly related, and their level can be modulated both by homeostatic control of essential metals and absorbance from the soil by keratin. Slight differences in Ni and Cr can be related to the differing behaviour of males and females during reproduction. A scarce tendency toward mercury bioaccumulation has been observed in both sex and age classes; from an ecological point of view, these data suggest that the species is a primary consumer, feeding more on the leaves and seeds than on small invertebrates.

1. Introduction

Anthropogenic activities cause a large diffusion of heavy metals, which can accumulate in living organisms and circulate in trophic chains [1]; trace elements can be directly uptaken by organisms through ingestion of contaminated prey items, external exposure, or inhalation. Metals occur in different chemical forms in the environment and are often over the natural background; thus, organisms are exposed to their concentrations [2].
Metals can have differing effects on animals since they can accumulate in different organs; moreover, their toxicity may depend on concentration. Potentially toxic elements (PTE) have been a matter of environmental concern in recent decades; high levels may have acute or chronic toxic effects on animals [3,4]. On the other hand, metals such as Zn, Cu, and Fe are involved in several vital processes; they are essential for mammals but, at high levels, can induce pathological alteration and oxidative damage and interfere with cellular activity [1,2]. Environmental exposure to non-essential metals is known to be associated with a wide range of toxic effects in mammals [5]; metals such as Cd, Pb, Hg, and Ni lead to harmful effects with respect to excretion, reproduction, and other functions in mammals [5]. Again, at high levels, their uptake or accumulation in organs can lead to severe pathological changes, and chronic overloading and/or exposure can initiate oxidative damage and interfere with important cellular events, promoting synergic physiological processes [6]. Trace elements, on the other hand, play an important role in vertebrate physiology and an insufficient amount can result in deficiency diseases [7]. Chromium and zinc play a role in the control of oxidative stress and the proper functioning of lipid and glucose metabolism. Iron has a strong binding affinity for haemoglobin and myoglobin and a primary function in delivering oxygen to organs and tissues. Nickel plays an important role in regulating hormone metabolism, while in mammals, the integrity of cell membranes depends on glutathione peroxidase, an anti-oxidative system that in turn depends on selenium. In general, the effects of oligoelements such as arsenic, chromium, copper, iron, manganese, nickel, selenium, and zinc depend on trace element intake, ranging from deficiency to toxicity [7,8,9,10].
Thus, exposure to PTE may have opposite effects depending on whether the metal is essential or non-essential, its concentration, and the sex, age, and reproductive status of the animals [1,10,11].
Wild small mammals are used as bioindicators of terrestrial ecosystem disturbance in ecotoxicology [2,12]. Studies based on euthanized small rodents, including the wood mouse Apodemus sylvaticus, have focused on the pollution status of industrial areas or mines [13,14], the transfer of metals in trophic chains [12,15,16], their effect on physiological parameters (immunocompetence [17]), and the influence on behaviour, including food selection [18]. In these cases, TM concentrations were obtained from internal tissues and organs such as blood and plasma [5,19], kidney [19,20,21], liver [14,16,22,23], spleen [5,24], and bones [21,25,26]. On average, the frequency of metals analyzed in wood mice is around 4, clearly depending on primary factors such as the source of pollution, research funding, facility, and toxicological significance. Of 23 papers published on the contamination level in wood mice, Cd was analyzed in 19, Pb in 16, Cu and Zn in 15, As in 5, and Ni and Cr in only three; typically, the papers present data on Cd, Cu, Zn, and Pb.
The wood mouse Apodemus sylvaticus has long been used as a biomonitor of pollution in field studies [5,14,19,20,27,28] since it is an omnivorous, abundant, and ubiquitous rodent species [29]. As in other rodent species, hair stalks form hair follicles that undergo successive growth cycles; hair remains in contact with the bloodstream and has a strong affinity for various metals, reflecting an individual’s exposure to these elements [27,30].
Hair is considered a good probe of environmental contamination, being a suitable method to monitor the transfer of PTE from the environment to organisms [31,32]; recently, the use of hair or other appendices as feathers in birds for biomonitoring has increased because it minimizes stress on small mammals [20,33,34].
This study aims to assess the contamination of the wood mouse population Apodemus sylvaticus living in the nearby of Pavia (NW-Italy); we adopted the hair of wood mice to detect the concentration of 12 trace elements, namely, aluminium, arsenic, cadmium, chromium, copper, iron, mercury, nickel, manganese, lead, selenium, and zinc.

2. Materials and Methods

2.1. Study Area, Trapping Techniques, and Soil Sampling

The study area coincided with the Nature Reserve “Bosco Negri”, a wooded area located on the outskirts of Pavia (NW Italy). The protected area covers 34 ha on the right bank of the River Ticino; forested areas consist of deciduous riparian woods with oak Quercus robur and elms Ulmus spp. The areas surrounding the study area are highly urbanized and consist of suburban, industrial, and commercial areas and a dense road network.
The wood mouse Apodemus sylvaticus is a small (ca. 20 g) rodent; it is a widespread species, abundant in wooded areas and relatively common in agricultural environments; its strong adaptability allows it to survive in suburban environments. During spring 2023, wood mice were sampled by means of a line of 36 traps (Sherman live-traps folding model, 8 × 9 × 24 cm) baited with sunflower seeds; traps were spaced at 20 m from each other, and each trapping point was pre-baited for one night. Trapping session lasted 3 days and included two daily trap checks at dawn and dusk. Each captured rodent was individually marked by fur clipping, and sex, body weight, and reproductive condition were recorded. Before the release, nearly 0.5 g of wad hair, the lower and most dense layer of fur, was removed from the back and stored in a small plastic bag. We collected hair from 54 individuals (males = 22; females = 32).
Twenty soil samples were opportunistically collected in the low Po plain in order to improve comparison with metal concentration in hair. Soils from study areas were defined as loamy, mixed, and mesic following the USDA classification, while the land use is defined as “arable land”. At each sampling point, 20 g of soil was collected and stored in airtight plastic containers. After transfer to the laboratory, they were left to dry at room temperature, homogenized, sieved (70 mesh), and stored in PET containers (residual humidity < 0.5%) until the microwave digestion.

2.2. Reagents and Apparatus

Certified multi-standard solution Merck VI for ICP-MS, Trace-SELECT®, ultrapure HNO3 (65% w/w), and H2O2 (30% w/w) were purchased from Merck (Milan, Italy), and ultrapure water was purchased from Carlo Erba Reagents (Cornaredo, Milan, Italy). A microwave oven (Mars 5, CEM s.r.l., Cologno al Serio, Italy) equipped with 8 PFA polytetrafluoroethylene modified vessels (PTFE-PFA, 10 mL, Xpress) and 3 TFM polytetrafluoroethylene modified vessels (PTFE-TFM, 100 mL, EasyPrep) was used for trace elements extraction from wad hair and soil samples. A single quadrupole inductively coupled plasma mass spectrometer (SQ-ICP-MS, iCAP RQ Thermo Fisher Scientific), equipped with a quartz cyclonic chamber cooled at 3 °C, a MicroMist nebulizer 179 (400 μL/min), a quartz torch, a Ni sampler, skimmer cones, and a QCell pressurized with helium (3V, KED mode), was used for trace elements analysis in hair and Hg determination in soil. Inductively coupled plasma optical emission spectroscopy (ICP-OES iCAP 7400, Thermo Fisher Scientific) equipped with a concentric nebulizer, a cyclonic spray chamber, and a ceramic duo-torch, was used for trace elements analysis in soil samples.

2.3. Analytical Procedure

Before digestion, each hair sample was washed to remove all organic and inorganic residues on their surface. The washing system consisted of a vacuum flask, 0.45 μm filter, and a washing column. A moderate flow rate and stirring were maintained to achieve effective cleaning. Approximately 200 mL of tap water, about 50 mL of 1M acetone, and around 50 mL of ultrapure water were used sequentially. These solvents were selected to remove the majority of water-soluble fractions and residual organic compounds. At the end of the washing phase, the sample was transferred onto filter paper and then placed on a watch glass for drying in an oven at 60 °C for 24 h. Then, each sample was accurately weighed and introduced into the PFA vessel of the microwave oven with 0.2 mL of HNO3 and 0.5 mL of H2O2. Digestion was performed at 800 W and 200 °C for 15 min to guarantee the complete dissolution of the samples. After cooling, each extract was diluted to 2.5 mL with ultrapure water in calibrated polypropylene tubes, filtered (0.22 μm, nylon filter), and analyzed by SQ-ICP-MS. In parallel, blanks, consisting of reagents only, were submitted to the same digestion procedure. Soil samples (150 mg) were placed into the microwave vessels, and 5 mL HNO3, 2 mL of H2O2, and 1 mL of HF were added. Then, vessels were irradiated at 800 W for 15 min at 200 °C after a temperature ramp of 20 min. The solutions obtained from digestion were gently evaporated to a small volume (0.5–1 mL). After cooling, the samples were dilute to 25 mL with ultrapure water, filtered (0.22 µm, nylon filter, Whatman®, purchased from Merck KGaA, Darmstadt, Germany) and analyzed for the trace elements content by ICP-OES. A total of twelve trace elements—aluminium (Al), arsenic (As), cadmium (Cd), chromium (Cr), copper (Cu), iron (Fe), lead (Pb), manganese (Mn), mercury (Hg), nickel (Ni), selenium (Se), and zinc (Zn)—were determined via external calibration curves. Results are reported as μg/g dry weight.

2.4. Statistical Methods

Differences in metal concentrations were analyzed using parametric and non-parametric univariate tests. Analyses were carried out via SPSS 20.0.

3. Results

3.1. Heavy Metal Levels in the Wood Mouse: Effect of Sex, Age, and Weight

We analyzed the concentration of 12 metals (Al, As, Cd, Cr, Cu, Fe, Hg, Ni, Mn, Pb, Se, and Zn) in the hair of 54 individuals (Table 1); the average concentration of trace elements accumulated in hair of wood mice decreased as follows: Zn > Al > Fe > Cu > Pb > Cr > Ni > Mn > Cd > Se > As > Hg.
The concentration values of several metals, such as Cd, Pb, Cu, Cr, and Al, are highly variable, as shown by a coefficient of variation greater than or close to 1. In contrast, ubiquitous metals, such as Zn, Fe, Se, and Mn, have a lower variability with a coefficient of variation less than or close to 0.5.
Males and females showed different patterns of variability in concentrations (Table 2). In males, high variability is observed for Al, Cu, Cd, and Pb, with values close to or above 100% of the within-group variability. In females, the within-group variability of concentrations seems to be higher than in males; the coefficient of variation is above or close to 1 for Al, Pb, Cr, Ni, and Cd. Only Pb and Cd concentrations are highly variable in both sexes, while Zn, Mn, and Se shows low variability of concentration both in males than females.
The average concentration of trace elements decreases in the same way as for both sexes combined (Table 2).
Although the within-group variability is high, especially for females, we observed statistically significant differences only for Zn, whose concentration is significantly higher in females, and for Cr and Ni, which have significantly higher concentrations in males (Figure 1).
A pattern of substantial uniformity in contamination was ultimately observed between adults and subadults (Table 3): concentration levels are very similar, and slight differences, though not significant, were observed only for Al, Fe, and Cu; as a general comparison, we can observe that the Zn, Cu, and Cd level are higher in adults; Al, Fe, and Cr in subadults; while the concentration of other metals is nearly equal.
The reproductive condition seems to affect contamination level in females; Al, As, and Hg concentration in the hair of females with imperforate vagina, a condition of no reproductive activity, were significantly higher than in pregnant/lactating females (Al = 103.3–47.0, z = −2.1, p = 0.037; As = 0.087−0.59, z = −2.62, p = 0.008; Hg = 0.077–0.044, z = −2.27, p = 0.023).
Adult weight is positively and significantly correlated with Cr, Mn, Fe, Ni, Cd, and Hg concentrations (Figure 2). In contrast, in juveniles, we observed significant but inverse correlations with Cu and Pb concentrations (Figure 3). Weight is also positively correlated with Ni in males (δ = 0.47, n = 22, p = 0.028) and negatively correlated with Al and Pb in females (δ = −0.60, p < 0.001; δ = −0.44, p < 0.018; n = 28). In pregnant/lactating females, there is a strong and positive correlation with Se concentration (δ = 0.99, n = 6, p < 0.0001).

3.2. Heavy Metal Levels in Soil

In Table 4, we show the metal concentration in the soil around the study area; although this comparison is purely indicative, as the concentration of metals in alluvial soils is highly variable, our data seem to largely agree with those from agricultural monitoring by the Environmental Agency of NW Italy and geological studies carried out in the Po basin (Table 4); the average concentration value are indeed very close to our for Zn, Pb, Cr, Cd, As, and Hg and only slightly different for Ni and Se. Consequently, we are confident that our data on metal concentration in soil are representative of the general composition of planitial soil and can serve as a knowledge source for the distribution of metals in the soils of the Italian Po Plain.

3.3. Heavy Metal Levels in Hair: Comparison with Other Studies

We observed a significant and positive correlation between element concentrations in the soil and in the hair of wood mice (Figure 4), suggesting a direct effect of fossorial life on the level of contamination. The concentrations of most of the metals analyzed in the fur of our wild mice are consistent with those found by other authors, at least for the relative importance of concentration value, especially for Hg [38,39], As [40,41], Cd [20,27,42], Mn, Cr [42], and Zn [27,41]; while the concentrations of Pb and Cu are in agreement with the data collected by ref. [27] and ref. [41] for Cu and by refs. [20,41] for Pb, but not with those collected by ref. [42] for the two metals and by ref. [27] for Pb. Metal analyses in the hair of Apodemus sylvaticus for Al, Fe, and Se are not available to the best of our knowledge.
A comparison of the concentration level of nine metals analyzed in other similar studies (Figure 5) in the fur of wood mice shows that it decreases in approximately the same way for seven metals, with the following sequence: Zn, Cu, Pb, Mn, Cr, Cd, and Hg. On the other hand, there are large differences between the median concentrations of each metal, ranging from lows of 0.3 (Zn) to highs of more than 10 (As). Taking into account the fact that these studies were carried out in different European areas, the comparison of the data obtained from the analysis can be considered reliable at least in documenting the relative importance of certain metals in the hair.

4. Discussion

4.1. Metal Level in Wood Mouse Hair: Sex and Age Differences and Similarities

The data from this study are comparable with the results of a few other papers on metal levels in hair. We have observed that ubiquitous metals, such as Zn, Al, Fe, and Cu, are more abundant than those of ecotoxicological interest, such as Cd, Se, As, and Hg (Table 1), and that the concentrations of Cd, Pb, Cu, and Cr are more variable than those of Zn, Fe, and Mn. Concentration variability is higher in females than in males (Table 2), and no significant age-related differences were observed (Table 3). Differences in accumulation between male and female mammals have been highlighted in the literature but, as reported by ref. [5], data on the effect of biotic factors such as age and sex on metal bioaccumulation in the wood mouse are scarce, and those available do not show clear patterns as they vary significantly between populations [5,27,43]. Several authors have reported slight differences in the variation of metal concentrations in male and female wood mice [27,44], and no differences were observed by ref. [39]. Our data confirmed slight sex differences for Zn, but only Cr and Ni are markedly and significantly higher in males than in females (Table 2 and Figure 1). The social system of the wood mouse is polygynous, and the home ranges of males overlapped those of several females [45,46]; males increase the home range at the beginning of the reproductive season, and the home range size can exceed 1 hectare depending on habitat [29]. It is likely that some males moving or dispersing around our study area, a woodland surrounded by a densely urbanized area with small galvanic and electroplating industries, have come into contact with Cr and Ni, metals widely used in this production chain.
More interestingly, we observed large differences between females in different reproductive status, with pregnant/lactating females having lower levels of Al, Hg, and As than non-reproductive females. The low level of some toxic metals in lactating females may reflect an increased metabolic activity during pregnancy, and fat tissue transformation during lactation activates the release of some metals in blood and from there into the hair [47]. A decrease in some metals in lactating females has been observed by refs. [47,48]; maternal transfer during lactation and a higher capacity for demethylation [49] is the probable cause for reproductive females having lower levels of Hg in their bodies. On the other hand, milk is the secretory product of proteins, amino acids, and fats synthesized and secreted by mammary epithelial cells in all mammals [48]. Its production imposes a significant energy cost on females and releases many compounds stored in reserve tissues into the bloodstream; this may explain why lactating female wild mice have significantly lower concentrations of potentially toxic metals than non-reproductive females. Also, the strong correlation between the weight of reproductive females and Se level in hair may also be related to the energetical effort in lactation. High Se levels in lactating females may improve immunocompetence and have a bactericidal effect on mammary epithelial cells; its high level in lactating female wood mice, and the corresponding stable and physiological concentration in imperforate females, could be the effect of an enhanced protective activity [50,51].
Another interesting observation is the very low concentration of Hg in every statistical group. Its concentration ranges from 0.06 to 0.08 µg/g in adults and subadults and around 0.07 µg/g in both sexes (Table 3); these values are considerably lower than in soil (Table 4), and since Hg can be assumed through food, this may suggest a low tendency to bioaccumulate in the wood mouse tissues. From an ecological point of view, the low level of Hg also suggested that the wood mouse should be considered as a primary consumer, more than a generalist feeder that included animals in its diet. The diet of the wood mouse in our study area was analyzed by ref. [52]; the annual diet of the wood mouse species is dominated by seeds that account for nearly 77% of the relative proportion, while insects are usually less than 2%. These data confirm the generalistic feeding habits of the wood mouse in our study area and, since leaves and seeds accumulate lower levels of some metals as Hg, they probably explain the low level of Hg in hair, thus confirming the statement by ref. [38] about the role of the wood mouse as primary consumer in the oak–elm forest [53].

4.2. Relation Between TE Concentration in Soil and Wood Mouse Weight

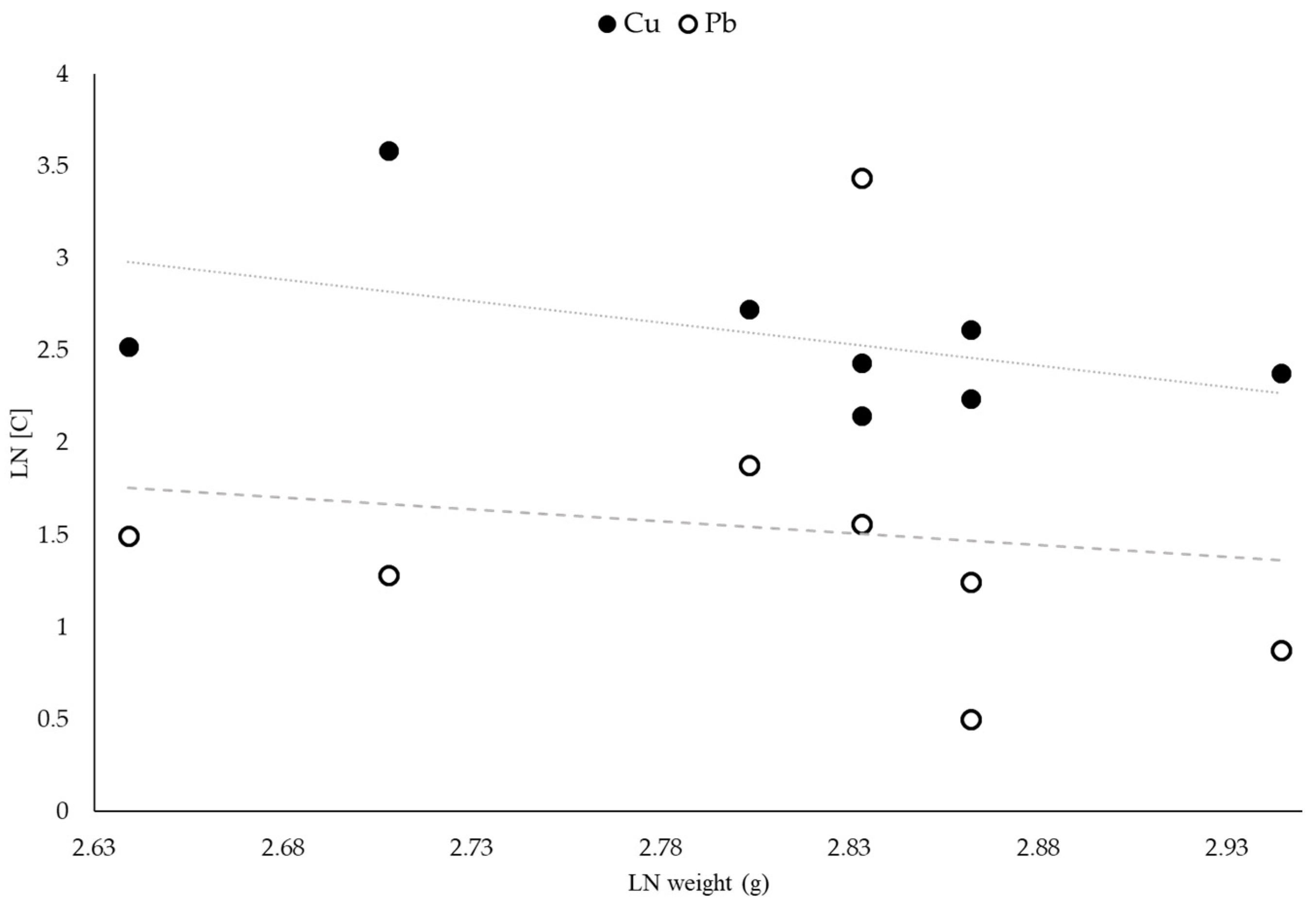
Weight and the concentration of some metals are significantly and positively related in our sample (Figure 2 and Figure 3); the relationship between weight and contamination has already been reported by ref. [5]. We interpreted these data as a response to the growth of the individuals; however, hair were moulted periodically, and the metals level increased as the body size of the rodent increased, which is ultimately reflected in the concentration levels of some metals (Cr, Fe, Mn, Ni, Cd, Hg) in the hair. Moreover, we also observed a negative correlation between Pb concentration and subadult weight (Figure 3). The harmful effect of Pb is very well known since it can affect several physiological functions in homeotherm vertebrates [19,32,33,41]; the negative relationship with weight (a growth factor of each individual) and the high variability of Pb concentration in the hair of males and females may indicate a negative effect of Pb on wood mice and an active metabolic activity leading to its excretion.
Contrary to [5], we did not observe significant differences in metal levels between adults and subadults; several authors explained a higher metal concentration in juveniles and its decrease with age with the more significant energy requirements of juveniles, implying a high feeding uptake and incorporation during the growth. Discordant results may be attributed mainly to inter-population variation caused by differences in exposure and uptake of elements or to different classification criteria of “young” mice. According to [54], juveniles can be defined s small individuals weighing less than 16.5 g, with a grey or greyish fur and absence of reproductive activity (imperforate vagina or abdominal testes); these individuals are in full growth phase and can probably dilute the metal load during growth. The young individuals in our study areas were subadults weighing more than 16.5 g; at that time, males dispersed while females were more philopatric and stayed close to adults. Since females remain in the same microhabitat as adults, and males disperse in the uniform microhabitat of a mesic forest, they assimilate similar metal loads from their habitat through food or contact with soil.
A significant correlation between metal levels in soil and hair showed that the wood mouse is partially influenced by soil chemistry; essential metals, such as Fe and Zn, are the most abundant metals we found in soil and show a higher concentration in wood mouse hair (Table 4; Figure 4). Significant correlations between metal in soils and hair are in agreement with the results of ref. [42], who found a positive relationship between Cd, Ni, Pb, and Zn in soil and hair, and the results of ref. [20], who did not find a significant relation between concentrations but observed that levels of Cd and Pb tend to increase with increasing concentration in soil. Our data do not establish a causal relationship between metals in soil and hair as the correlation is significant but weak; however, it may indicate that the fossorial behavior of the wood mouse plays a partial role in hair contamination. Hg, Pb, Cd, and As do indeed have a high affinity for sulfhydryl groups of keratin, a protein forming mammal fur; sulfhydryl groups can interact with metals through metal thiolate coordination and incorporate metal into hair [55]. Metal incorporation can be important in metal removal from the body; blood route and metal binding from keratin are the most important ways in which several non-essential metals are removed from the body and stored in the hair. Still, ref. [41] suggested that Pb adhesion from soil to hair may be an integrative accumulation pathway, rather than ingestion followed by metabolism and storage. The low level of TE in hair with respect to soils may be an effect of homeostatic physiological control, which tends to maintain and lower the level of essential metals in the body; in addition, the possibility that hair layers may adsorb some proportion of metals from soil cannot be ruled out as the wood mouse is a fossorial species living underground for much of its life.

4.3. Hair as a Biomonitor of TE Contamination

The lethal approach in biomonitoring research has increasingly ethical implications, and some studies have assessed the reliability of conservative methods using the hair of wild individuals subsequently released into the wild (i.e., the conservative approach). However, there are surprisingly few conservative studies on synanthropic species, such as the wood mouse Apodemus sylvaticus; to the best of our knowledge, only seven studies have adopted a conservative approach to analyzing contamination levels in the wood mouse, a number lower than those on species less associated with the human, such as seals and sea lions (i.e., [56,57,58]). Some papers consider the reliability of hair as an index of metal contamination; ref. [38] found that mean Hg concentrations in organs decreased from the hair to the brain, confirming that the hair is a suitable index of the maximum level of contamination by Hg in the wood mouse. The same pattern was observed in otters [59] and the red fox Vulpes vulpes [60,61], with hair having higher Hg concentrations than soft tissues. Ref. [27] suggested that hair from wood mice can be used to monitor exposure to non-essential metals (Cd and Pb), but to a minor extent for regulated metals such as Cu or Zn. Significant correlations between hair and internal tissues for Cd, Ni, Pb, and Zn were found by ref. [42], demonstrating that hair proved to be a suitable and non-invasive tool for monitoring metal responses in small mammals; similarly, ref. [20] suggested that hair should be used with caution to predict Cd concentrations but can be considered as an accurate non-invasive estimator of internal Pb concentrations. The implications of these studies for data collection protocols are still limited, and further studies are needed. Intra-populational variability in metal concentration may be higher than the inter-populational variability, thus affecting the detection of differences in the bioaccumulation in the population [62]; moreover, essential metals can be regulated by the organism, resulting in a weakened pattern of contamination by metals [20,27].
It could be argued that unlike in birds, rodents shed their hair continuously, and that this should be taken into account when interpreting the results since it is an additional source of variability. However, a large proportion of adult mice show a patchy moulting over the whole body with no seasonality [63]; since the process of hair replacement is constant and widespread, it is unlikely to significantly influence the result of our analysis. In conclusion, we accept the results of some experimental studies that currently recognize hair as a biomonitor of the contamination status of organisms and the environment [20,42,64].

5. Conclusions

Our results are generally consistent with those of several other authors (Figure 5) and support the reliability of hair, at least, for comparisons between different sites. In addition to providing data of general interest for an understudied species, this study adopts a conservative approach to biomonitoring contamination [20]. Hair may be an interesting alternative to lethal methods, and there are good reasons to enhance its use [65]: first, for ethical reasons, since the sacrifice of wild animals for research is no longer acceptable; second, because the wood mouse is essentially a primary consumer and thus an organism capable of intercepting metals that are eventually transferred from the soil to the green plant; third, the hairs are continuously connected to the bloodstream and are a biomonitor of the current contamination; last but not least, the reason for using hair is that there is no organ or tissue that can be considered as the ultimate indicator of a “true level” of contamination; it therefore seems prudent and habitat-friendly to use hair as an initial probe, i.e., as a first, simple, and quick level of environmental contamination analysis. This approach should be used with caution, taking into account a possible systemic error for some essential metals, and should only be followed by more in-depth analyses involving the euthanasia of wild animals if necessary.

Author Contributions

Conceptualization, L.C. and M.S.; methodology, F.M. and M.S.; investigation, L.C.; resources, A.P.; data curation, L.C., M.S. and F.M.; writing—original draft preparation, L.C.; writing—review and editing, M.S., F.M. and A.P. All authors have read and agreed to the published version of the manuscript.

Funding

This research received no external funding.

Data Availability Statement

The original contributions presented in this study are included in the article material. Further inquiries can be directed to the corresponding author.

Acknowledgments

Thanks are due to Stefania Ratano and Ambra Repossi (Oasi Lipu Bosco Negri) for her help in access to the protected area and to Francesca Fanali for her help in fieldwork.

Conflicts of Interest

The authors declare no conflicts of interest.

References

  1. Damek-Poprawa, M.; Sawicka-Kapusta, K. Damage to the liver, kidney, and testis with reference to burden of heavy metals in yellow-necked mice from areas around steelworks and zinc smelters in Poland. Toxicology 2003, 186, 1–10. [Google Scholar] [CrossRef] [PubMed]
  2. Beyer, N.W.; Meador, J.P. Environmental Contaminants in Biota, 2nd ed.; eBook ed.; Taylor & Francis: Boca Raton, FL, USA, 2011. [Google Scholar]
  3. García Muñoz, J.; Cacciola, N.A.; Plazzi, F.; Míguez Santiyán, M.P.; Soler Rodríguez, F.; López Beceiro, A.; Fidalgo, L.E.; Martínez Morcillo, S.; Pérez López, M. Metal and metalloid concentrations in wild mammals from SW Europe: Euro-pean hedgehog (Erinaceus europaeus) and badger (Meles meles). Environ. Sci. Pollut. Res. 2020, 30, 118855–118870. [Google Scholar] [CrossRef] [PubMed]
  4. Nieder, R.; Benbi, D.K. Potentially toxic elements in the environment—A review of sources, sinks, pathways and mitigation measures. Rev. Environ. Health 2023, 39, 561–575. [Google Scholar] [CrossRef] [PubMed]
  5. Sanchez-Chardi, A.; Peñharroja-Matutano, C.; Oliveira Ribeiro, C.A.; Nadal, J. Bioaccumulation of metals and effects of a landfill in small mammals.: Part II.: The wood mouse, Apodemus sylvaticus. Chemosphere 2007, 70, 101–109. [Google Scholar] [CrossRef] [PubMed]
  6. Slobodian, M.R.; Petahtegoose, J.D.; Wallis, A.L.; Levesque, D.C.; Merritt, T.J.S. The Effects of Essential and Non-Essential Metal Toxicity in the Drosophila melanogaster Insect Model: A Review. Toxics 2021, 9, 269. [Google Scholar] [CrossRef] [PubMed]
  7. Carvalho, D.; Melo Coelho, L.; Acevedo, M.S.; Coelho, N. The oligoelements. Handb. Miner. Elem. Food 2015. [Google Scholar] [CrossRef]
  8. Méndez-Rodríguez, L.; Alvarez-Castañeda, S.T. Influence of trace elements in the epigenetic of mammals. Therya 2014, 5, 817–829. [Google Scholar] [CrossRef]
  9. Lima, G.; Pedrobom, J.; Suárez, C.; Torres-Florez, J.; Vidal, L.; Domit, C.; Menegario, A. Bioaccumulation of trace elements in marine mammals: New data and transplacental transfer on threatened species. Sci. Total Environ. 2024, 948, 174854. [Google Scholar] [CrossRef]
  10. Nelson Beyer, W.; Meador, J.P. Environmental Contaminants in Biota: Interpreting Tissue Concentrations; eBook Ed.; CRC Press: Boca Raton, FL, USA, 2011. [Google Scholar]
  11. Shore, R.; Rattner, B. Ecotoxicology of Wild Mammals. J. Wildl. Manag. 2001, 67, 232. [Google Scholar]
  12. Koroleva, E.; Miholova, D.; Cibulka, J.; Mader, P.; Slameva, A. Small Mammals as Bioindicators for Terrestrial Ecosystems in Bohemia. In Biomarkers: A Pragmatic Basis for Remediation of Severe Pollution in Eastern Europe; NATO Science Series, 54. Peakall, D.B., Walker, C.H., Migula, P., Eds.; Springer: Dordrecht, The Netherlands, 1999. [Google Scholar]
  13. Martiniakova, M.; Omelka, R.; Grosskopf, B.; Duranova, H.; Stawarz, R.; Balaz, I. Further investigation of risk ele-ments content in the bones of wild rodents from a polluted area in Slovakia. Acta Vet. Scand. 2015, 57, 1–5. [Google Scholar] [CrossRef][Green Version]
  14. Rogival, D.; Scheirs, J.; Blust, R. Transfer and accumulation of metals in a soil-diet-wood mouse food chain along a metal pollution gradient. Environ. Pollut. 2007, 145, 516–528. [Google Scholar] [CrossRef] [PubMed]
  15. Pogányová, A.; Haas, M.; Solár, J. Lead content in soil, plants, rodents, and amphibians in the vicinity of a heating plant’s ash waste. Environ. Monit. Assess. 2022, 194, 21. [Google Scholar] [CrossRef] [PubMed]
  16. Van den Brink, N.; Lammertsma, D.; Dimmers, W.J.; Boerwinkel, M.C.; Van der Hout, A. Effects of soil properties on food web accumulation of heavy metals to the wood mouse (Apodemus sylvaticus). Environ. Pollut. 2009, 158, 245–251. [Google Scholar] [CrossRef] [PubMed]
  17. Tersago, K.; De Coen, W.; Scheirs, J.; Vermeulen, K.; Blust, R.; Van Bockstaele, D.; Verhagen, R. Immunotoxicology in wood mice along a heavy metal pollution gradient. Environ. Pollut. 2004, 132, 385–394. [Google Scholar] [CrossRef]
  18. Ozaki, S.; Fritsch, C.; Valot, B.; Mora, F.; Cornier, T.; Scheifler, R.; Raoul, F. How Do Richness and Composition of Diet Shape Trace Metal Exposure in a Free-Living Generalist Rodent, Apodemus sylvaticus. Environ. Sci. Technol. 2019, 53, 5977–5986. [Google Scholar] [CrossRef]
  19. Rogival, D.; Scheirs, J.; De Coen, W.; Verhagen, R.; Blust, R. Metal blood levels and hematological characteristics in wood mice (Apodemus sylvaticus L.) along a metal pollution gradient. Environ. Toxicol. Chem. An Int. J. 2006, 25, 149–157. [Google Scholar] [CrossRef]
  20. Tête, N.; Afonso, E.; Crini, N.; Drouhot, S.; Prudent, A.S.; Scheifle, R. Hair as a noninvasive tool for risk assessment: Do the concentrations of cadmium and lead in the hair of wood mice (Apodemus sylvaticus) reflect internal concentrations? Ecotoxicol. Environ. Saf. 2014, 108, 233–241. [Google Scholar] [CrossRef]
  21. Martiniakova, M.; Omelka, R.; Jancova, A.; Formicki, G.; Stawarz, R.; Bauerova, M. Accumulation of risk elements in kidney, liver, testis, uterus and bone of free-living wild rodents from a polluted area in Slovakia. J. Environ. Sci. Health Part A 2012, 47, 1202–1206. [Google Scholar] [CrossRef]
  22. Metcheva, R.; Tedorova, S.; Topashka-Ancheva, M. A comparative analysis of the heavy metal loading of small mammals in different regions of Bulgaria I: Monitoring points and bioaccumulation features. Ecotoxicol. Environ. Saf. 2003, 54, 176–187. [Google Scholar] [CrossRef]
  23. Petkovsek, S.A.; Kopusar, N.; Krystufek, B. Small mammals as biomonitors of metal pollution: A case study in Slovenia. Environ. Monit. Assess. 2014, 186, 4261–4274. [Google Scholar]
  24. Ismail, A.; Roberts, R.D. Arsenic in small mammals. Environ. Technol. 1992, 13, 1091–1095. [Google Scholar] [CrossRef]
  25. Balciauskas, L.; Ezerinskis, Z.; Stirke, V.; Balciauskiene, L.; Garbaras, A.; Remeikis, V. The elemental composition of small mammals in a commercial orchard-meadow system. Chemosphere 2022, 296, 134048. [Google Scholar] [CrossRef]
  26. Martiniaková, M.; Omelka, R.; Jancová, A.; Stawarz, R.; Formicki, G. Heavy metal content in the femora of yel-low-necked mouse (Apodemus flavicollis) and wood mouse (Apodemus sylvaticus) from different types of polluted environment in Slovakia. Environ. Monit. Assess. 2010, 171, 651–660. [Google Scholar] [CrossRef] [PubMed]
  27. Beernaert, J.; Scheirs, J.; Leirs, H.; Blust, R.; Verhagen, R. Non-destructive pollution exposure assessment by means of wood mice hair. Environ. Pollut. 2007, 145, 443–451. [Google Scholar] [CrossRef] [PubMed]
  28. Fritsch, C.; Cosson, R.P.; Coeurdassier, M.; Raoul, F.; Giraudoux, P.; Crini, N.; de Vaufleury, A.; Scheifler, R. Respons-es of wild small mammals to a pollution gradient: Host factors influence metal and metallothionein levels. Environ. Pollut. 2010, 158, 827–840. [Google Scholar] [CrossRef] [PubMed]
  29. Flowerdew, J.R.; Gurnell, J.; Gipps, J.H.W. The Ecology of Woodland Rodents; Oxford University Press: London, UK, 1985. [Google Scholar]
  30. McLean, C.; Koller, C.; Rodger, J.; MacFarlane, G. Mammalian hair as an accumulative bioindicator of metal bioavail-ability in Australian terrestrial environments. Sci. Total Environ. 2009, 407, 3588–3596. [Google Scholar] [CrossRef]
  31. Covaci, A.; Tutudaki, M.; Tsatsakis, A.; Schepens, P. Hair analysis: Another approach for the assessment of human exposure to selected persistent organochlorine pollutants. Chemosphere 2002, 46, 413–418. [Google Scholar] [CrossRef]
  32. Fernández, J.; Aboal, J.; González, X.I.; Carballeira, A. Transfer and bioaccumulation varia-bility of Cd, Co, Cr, Hg, Ni and Pb in trophic compartments of terrestrial ecosystems in Northern Spain. Fresenius Environ. Bull. 2012, 21, 3527–3532. [Google Scholar]
  33. Dauwe, T.; Bervoets, L.; Blust, R.; Eens, M. Tissue Levels of Lead in Experimentally Exposed Zebra Finches (Taeniopygia guttata) with Particular Attention on the Use of Feathers as Biomonitors. Arch. Environ. Contam. Toxicol. 2002, 42, 88–92. [Google Scholar] [CrossRef]
  34. D’Havé, H.; Scheirs, J.; Mubiana, V.; Verhagen, R.; Blust, R.; de Coen, W. Non-destructive pollution exposure assess-ment in the European hedgehog (Erinaceus europaeus): II. Hair and spines as indicators of endogenous metal and As concentrations. Environ. Pollut. 2006, 142, 438–448. [Google Scholar] [CrossRef]
  35. Bertellini, C. Cartografia Geochimica della Pianura Padana centrale a est di Mantova. Tesi di Laurea; Università degli Studi di Bologna: Bologna, Italy, 2012. [Google Scholar]
  36. ARPA Emilia Romagna. Dati Ambientali. 2020. Available online: https://webbook.arpae.it/indicatore/Contenuto-di-metalli-nel-suolo-00001/?id=ef258eb9-6369-11e5-bf2c-11c9866a0f33 (accessed on 1 December 2024).
  37. ARPAV Veneto. Presenza dei Metalli nel Suolo. 2019. Available online: https://www.arpa.veneto.it/temi-ambientali/suolo (accessed on 1 December 2024).
  38. Zábojníková, L. Seasonal and age-dependent differences in mercury concentrations in Apodemus sp. in the north-western region of Slovakia. Environ. Sci. Pollut. Res. 2024, 31, 10521–10532. [Google Scholar] [CrossRef] [PubMed]
  39. Zábojníková, L.; Oxikbayev, B.; Korec, F.; Nociar, P.; Janiga, M.; Haas, M. Mercury in Zhongar Alatau (Kazakhstan) and Carpathian mountains (Slovakia): Songbirds and mice as indicators. Folia Oecologica 2024, 51, 154–164. [Google Scholar] [CrossRef]
  40. Cadková, Z.; Vorechovská, L.; Javorská, D.; Száková, J.; Tlustos, P. The oral bioavailability of soil-borne risk elements for small terrestrial mammals: Microtus arvalis (Pallas, 1778) and Apodemus sylvaticus L. and its implication in environmental studies. Environ. Sci. Pollut. Res. 2023, 30, 62397–62409. [Google Scholar] [CrossRef] [PubMed]
  41. Sneddon, J.; Clemente, R.; Riby, P.; Lepp, N.W. Source-pathway-receptor investigation of the fate of trace elements derived from shotgun pellets discharged in terrestrial ecosystems managed for game shooting. Environ. Pollut. 2009, 157, 2663–2669. [Google Scholar] [CrossRef]
  42. Marcheselli, M.; Sala, L.; Mauri, M. Bioaccumulation of PGEs and other traffic-related metals in populations of the small mammal Apodemus sylvaticus. Chemosphere 2010, 80, 1247–1254. [Google Scholar] [CrossRef]
  43. Lopes, P.A.; Viegas-Crespo, A.M.; Nunes, A.C.; Pinheiro, T.; Marques, C.; Santos, M.C.; Mathias, M.D. Influence of age, sex, and sexual activity on trace element levels and antioxidant enzyme activities in field mice (Apodemus sylvaticus and Mus spretus). Biol. Trace Elem. Res. 2002, 85, 227–239. [Google Scholar] [CrossRef] [PubMed]
  44. Scheirs, J.; De Coen, A.; Covaci, A.; Beernaert, J.; Kayawe, V.M.; Caturla, M.; De Wolf, H.; Baert, P.; Van Oostveldt, P.; Verhagen, R.; et al. Genotoxicity in wood mice (Apodemus sylvaticus) along a pollution gradient:: Exposure-, age-, and gender-related effects. Environ. Toxicol. Chem. An Int. J. 2006, 25, 2154–2162. [Google Scholar] [CrossRef]
  45. Attuquayefio, D.; Gorman, M.; Wolton, R. Home range sizes in the Wood mouse Apodemus sylvaticus: Habitat, sex and seasonal differences. J. Zool. 2009, 210, 45–53. [Google Scholar] [CrossRef]
  46. Montgomery, W.I.; Gurnell, J. The behavior of Apodemus. In The Ecology of Woodland Rodents; Flowerdew, J.R., Gur-nell, J., Gipps, J.H.W., Eds.; Oxford University Press: London, UK, 1985; pp. 89–108. [Google Scholar]
  47. Durkalec, M.; Nawrocka, A.; Żmudzki, J.; Filipek, A.; Niemcewicz, M.; Posyniak, A. Concentration of Mercury in the Livers of Small Terrestrial Rodents from Rural Areas in Poland. Molecules 2019, 24, 4108. [Google Scholar] [CrossRef]
  48. Chételat, J.; Ackerman, J.; Eagles-Smith, C.; Hebert, C. Methylmercury exposure in wildlife: A review of the ecological and physiological processes affecting contaminant concentrations and their interpretation. Sci. Total Environ. 2019, 711, 135117. [Google Scholar] [CrossRef]
  49. Robinson, P.H.; Swanepoel, N.; Shinzato, I.; Juchem, S.O. Productive responses of lactating dairy cattle to supplementing high levels of ruminally protected lysine using a rumen protection technology. Anim. Feed. Sci. Technol. 2011, 168, 30–41. [Google Scholar] [CrossRef]
  50. Dorea, J.G. Selenium and breast-feeding. Br. J. Nutr. 2002, 88, 443–461. [Google Scholar] [CrossRef] [PubMed]
  51. Rezaei, R.; Wu, Z.; Hou, Y. Amino acids and mammary gland development: Nutritional implications for milk production and neonatal growth. J. Anim. Sci. Biotechnol. 2016, 7, 20. [Google Scholar] [CrossRef] [PubMed]
  52. Canova, L.; Fasola, M. Food habits and trophic relationships of small mammals in six habitats of the northern Po plain (Italy). Mammalia 1993, 57, 189–200. [Google Scholar] [CrossRef]
  53. González, X.; Aboal, J.; Fernández, J.; Carballeira, A. Heavy Metal Transfers Between Trophic Compartments in Different Ecosystems in Galicia (Northwest Spain): Essential Elements. Arch. Environ. Contam. Toxicol. 2008, 55, 691–700. [Google Scholar] [CrossRef]
  54. Gurnell, J.; Flowerdew, J.R. Small Mammal Trapping; Mammal Society Occasional Publications: London, UK, 1992. [Google Scholar]
  55. Tobin, D.; Hordinsky, M.; Bernard, B. Hair Pigmentation: A Research Update. J. Investig. Dermatol. Symp. Proc. 2006, 10, 275–279. [Google Scholar] [CrossRef]
  56. Gerpe, M.; Rodriguez, D.; Moreno, J.; Bastida, R.; Aizpún, J. Heavy Metal Distribution in Southern Sea Lions (Otaria flavescens) from Argentina. In Sea Lions of the World; Trites, A.W., Atkinson, S.K., DeMaster, D.P., Fritz, L.W., Gelatt, T.S., Rea, L.D., Wynne, K.M., Eds.; University of Alaska Fairbank: Fairbanks, AK, USA, 2006; World Lowell Wakefield Fisheries Symposium, Alaska Sea Grant. [Google Scholar]
  57. Roselli-Laclau, A.; García-Alonso, J.; Valdés-Gómez, A.; Freitas-Souza, M.; Rezende, C.; Franco-Trecu, V. Unveiling Mercury Levels: Trophic Habits Influence on Bioaccumulation in Two Otariid Species. Environ. Pollut. 2024, 361, 124804. [Google Scholar] [CrossRef]
  58. Szteren, D.; Campos-Villegas, L.; Alava, J.J. Metal-specific biomagnification and trophic dilution in the coastal foodweb of the California sea lion (Zalophus californianus) off Bahía Magdalena, Mexico: The role of the benthic-pelagic foodweb in the trophic transfer of trace and toxic metals. Mar. Pollut. Bull. 2023, 194, 115263. [Google Scholar] [CrossRef] [PubMed]
  59. Mierle, G.; Addison, E.; MacDonald, K.; Damien, J. Mercury levels in tissues of otters from Ontario, Canada: Variation with age, sex, and location. Environ. Toxicol. Chem. An Int. J. 2000, 19, 3044–3051. [Google Scholar] [CrossRef]
  60. Dainowski, B.; Duffy, L.; McIntyre, J.; Jones, P. Hair and Bone as Predictors of Tissular Mercury Concentration in the Western Alaska Red Fox, Vulpes vulpes. Sci. Total Environ. 2015, 518–519, 526–533. [Google Scholar] [CrossRef]
  61. Dobrzański, Z.; Filistowicz, A.; Przysiecki, P.; Filistowicz, A.; Nowicki, S.; Walkowiak, K.; Czyż, K. Mercury bioaccu-mulation in hair and skin of arctic foxes (Vulpes lagopus) and silver foxes (Vulpes vulpes) in rural and urbanized region. Czech J. Anim. Sci. 2014, 59, 480–487. [Google Scholar] [CrossRef]
  62. Gonzalez, X.I.; Aboal, J.R.; Fernandez, J.A.; Carballeira, A. Considerations on the sample size of wood mice used to biomonitor metals. Sci. Total Environ. 2006, 366, 910–914. [Google Scholar] [CrossRef] [PubMed]
  63. Corbet, B.C.; Harris, S. The Handbook of British Mammals; Blackwell Scientific Publications: London, UK, 1991. [Google Scholar]
  64. Gil-Jimenez, E.; Mateo, R.; de Lucas, M.; Ferrer, M. Feathers and hair as tools for non-destructive pollution exposure assessment in a mining site of the Iberian Pyrite Belt. Environ. Pollut. 2020, 263, 114523. [Google Scholar] [CrossRef] [PubMed]
  65. Hernout, B.V.; McClean, C.J.; Arnold, K.E.; Walls, A.; Baxter, M.; Boxall, A.B.A. Fur: A noninvasive approach to mon-itor metal exposure in bats. Chemosphere 2016, 147, 376–381. [Google Scholar] [CrossRef]
Figure 1. Trace elements mean male and female concentrations (µg/g ± SE). Differences were tested by t-test carried out on log normalized data (n = 54); an asterisk (*) indicates a significant difference at p < 0.05.
Figure 1. Trace elements mean male and female concentrations (µg/g ± SE). Differences were tested by t-test carried out on log normalized data (n = 54); an asterisk (*) indicates a significant difference at p < 0.05.
Environments 11 00281 g001
Figure 2. Correlation between adult weight and Cr, Mn, Fe, Ni, Cd, and Hg concentration in hair (Spearman δ.) Only significant correlations were included. All data (n = 34) are log-transformed to allow a better comparison.
Figure 2. Correlation between adult weight and Cr, Mn, Fe, Ni, Cd, and Hg concentration in hair (Spearman δ.) Only significant correlations were included. All data (n = 34) are log-transformed to allow a better comparison.
Environments 11 00281 g002
Figure 3. Correlation between subadult weight and Cu, and Pb concentration in hair (Spearman δ). Only significant correlations were included. All data (n = 14) are log-transformed to allow for a better comparison.
Figure 3. Correlation between subadult weight and Cu, and Pb concentration in hair (Spearman δ). Only significant correlations were included. All data (n = 14) are log-transformed to allow for a better comparison.
Environments 11 00281 g003
Figure 4. Correlation between concentration of metals in soil and hair (Spearman rs = 0.79, p = 0.003).
Figure 4. Correlation between concentration of metals in soil and hair (Spearman rs = 0.79, p = 0.003).
Environments 11 00281 g004
Figure 5. Comparison of metal concentration in wood mice hair. Data are log-transformed to allow for comparison. Black bar [present study]; grey bar [42]; stripes bar [27], white bar [41], black dot bar [20], white dot bar [39].
Figure 5. Comparison of metal concentration in wood mice hair. Data are log-transformed to allow for comparison. Black bar [present study]; grey bar [42]; stripes bar [27], white bar [41], black dot bar [20], white dot bar [39].
Environments 11 00281 g005
Table 1. Mean concentrations (µg/g), standard error, variation coefficient (sd/mean), minimum and maximum of metals concentration in wood mouse hair (n = 54).
Table 1. Mean concentrations (µg/g), standard error, variation coefficient (sd/mean), minimum and maximum of metals concentration in wood mouse hair (n = 54).
MeanSeVCMin–Maxn
Zn12830.296–18954
Al86110.919–41954
Fe6040.528–16854
Cu1831.28–11954
Pb621.20.7–3454
Cr4.30.50.90.6–1754
Ni3.70.40.80.8–1254
Mn1.90.10.40.8–3,654
Cd0.30.12.90.03–5.154
Se0.130.010.3<LOD–0.2154
As0.090.010.50.04–0.2354
Hg0.070.010.50.03–0.2054
Table 2. Mean concentrations (µg/g), standard error, coefficient of variation (sd/mean), minimum and maximum of metals concentration in male and female wood mice. ns*= not significant.
Table 2. Mean concentrations (µg/g), standard error, coefficient of variation (sd/mean), minimum and maximum of metals concentration in male and female wood mice. ns*= not significant.
MALESFEMALES
MeanSeVCMin–MaxnMeanSeVCMin–Maxntp
Zn121150.196–1482213350.298–18932–2.090.041
Al80140.819–2622289171.024–41932–0.30ns
Fe5940.339–95226160.628–168320.55ns
Cu2471.38–119221410.58–35321.09ns*
Pb521.51–2522621.70.7–3432–0.01ns
Cr5.10.50.52.5–10223.80.81.20.6–17323.170.003
Ni4.50.70.71.3–12223.10.50.90.8–11322.190.003
Mn2.00.20.41.1–3.0221.90.10.40.8–3.6320.72ns
Cd0.150.020.70.04–0.4220.40.22.80.03–532–1.02ns
Se0.130.010.20.08–0.17220.140.010.4<IDL–0.2132–0.71ns
As0.100.010.50.04–0.23220.080.010.40.04–0.14321.61ns
Hg0.070.010.40.04–0.15220.070.010.60.03–0.20320.35ns
Table 3. Mean concentrations (µg/g), standard error, coefficient of variation (sd/mean), minimum and maximum of metals in adult and subadult wood mice.
Table 3. Mean concentrations (µg/g), standard error, coefficient of variation (sd/mean), minimum and maximum of metals in adult and subadult wood mice.
ADULTSSUBADULTS
MeanSeVCnMeanSeVCn
Zn13050.23412730.116
Al69100.9347490.516
Fe5330.43474110.616
Cu2041.3341420.616
Pb621.734621.616
Cr4.00.50.734511.016
Ni3.60.50.8344.10.90.916
Mn1.80.13.03420.20.416
Cd0.40.25.1340.120.030.816
Se0.140.010.2340.120.020.516
As0.090.010.2340.080.010.416
Hg0.060.010.1340.080.010.616
Table 4. Average concentration of trace elements in 20 soil samples (µg/g ± standard error, min-max; n = 20) collected in the nearby of study area and comparison with data from other sites of Northern Plain.
Table 4. Average concentration of trace elements in 20 soil samples (µg/g ± standard error, min-max; n = 20) collected in the nearby of study area and comparison with data from other sites of Northern Plain.
ZnAlFeCuPbCrNiMnCdSeAsHg
Mean98/258126299759660.386.8140.37
se7/97127530.040.810.06
min46/15301314462135<IDL<IDL40.06
max211/406960912111561131.217351.97
Po plain 174//28209370///9/
Po plain 293//472113491/0.28/30.50
Po plain 3111//6634162130/0.540.91280.08
1—[35]; 2—[36]; 3—[37].
Disclaimer/Publisher’s Note: The statements, opinions and data contained in all publications are solely those of the individual author(s) and contributor(s) and not of MDPI and/or the editor(s). MDPI and/or the editor(s) disclaim responsibility for any injury to people or property resulting from any ideas, methods, instructions or products referred to in the content.

Share and Cite

MDPI and ACS Style

Canova, L.; Maraschi, F.; Profumo, A.; Sturini, M. Analysis of Environmental Contamination by Metals Using Wood Mouse Apodemus sylvaticus Hair as a Biomonitor: An Appraisal. Environments 2024, 11, 281. https://doi.org/10.3390/environments11120281

AMA Style

Canova L, Maraschi F, Profumo A, Sturini M. Analysis of Environmental Contamination by Metals Using Wood Mouse Apodemus sylvaticus Hair as a Biomonitor: An Appraisal. Environments. 2024; 11(12):281. https://doi.org/10.3390/environments11120281

Chicago/Turabian Style

Canova, Luca, Federica Maraschi, Antonella Profumo, and Michela Sturini. 2024. "Analysis of Environmental Contamination by Metals Using Wood Mouse Apodemus sylvaticus Hair as a Biomonitor: An Appraisal" Environments 11, no. 12: 281. https://doi.org/10.3390/environments11120281

APA Style

Canova, L., Maraschi, F., Profumo, A., & Sturini, M. (2024). Analysis of Environmental Contamination by Metals Using Wood Mouse Apodemus sylvaticus Hair as a Biomonitor: An Appraisal. Environments, 11(12), 281. https://doi.org/10.3390/environments11120281

Note that from the first issue of 2016, this journal uses article numbers instead of page numbers. See further details here.

Article Metrics

Back to TopTop