Environmental Temperature Effect on Hydraulic Behavior and Stability of Shallow Slopes
Abstract
1. Introduction
2. Materials and Methods
2.1. Temperature Dependence of Matric Suction
2.2. Soil Water Characteristic Curve
2.3. Seepage Analysis
2.4. Slope Stability Analysis
2.4.1. Effective Stress in Unsaturated Soils
2.4.2. Local Factor of Safety
2.4.3. Hydro-Mechanical Coupling Stability Analysis
2.5. Research Background Data
2.5.1. Conceptual Model of the Slope
2.5.2. Study Temperature Criteria
3. Results and Discussion
3.1. Analysis Results of Soil Water Characteristic Curve
3.1.1. Results of the BC Model
3.1.2. Results of the VG Model
3.1.3. Results of the LN Model
3.1.4. Summary
3.2. Temperature Sensitivity Analysis of Suction Stress and Effective Stress
3.3. Coupled Hydro-Mechanical Framework—Steady State (Hydrostatic Conditions)
3.3.1. Water Content and Suction Stress with Depth
3.3.2. Results of the Local Factor of Safety
3.4. Coupled Hydro-Mechanical Framework—Transient Simulation Results
3.4.1. Results of Water Content with Depth
3.4.2. Results of Suction Stress with Depth
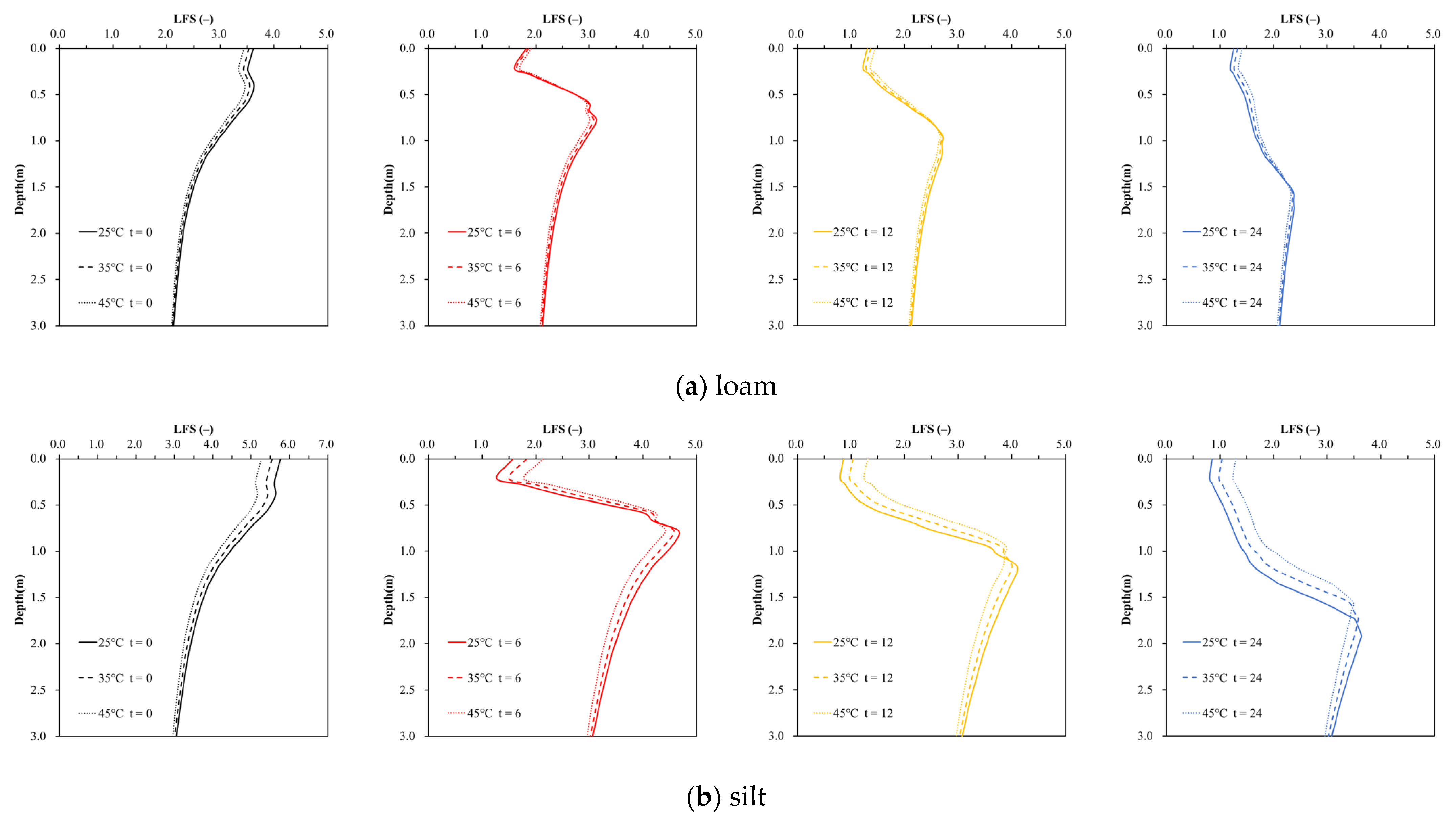
3.4.3. Results of the Local Factor of Safety with Depth
4. Conclusions
Author Contributions
Funding
Data Availability Statement
Conflicts of Interest
References
- Noor, M.; Ismail, T.; Chung, E.-S.; Shahid, S.; Sung, J.H. Uncertainty in Rainfall Intensity Duration Frequency Curves of Peninsular Malaysia under Changing Climate Scenarios. Water 2018, 10, 1750. [Google Scholar] [CrossRef]
- Mori, N.; Takemi, T.; Tachikawa, Y.; Tatano, H.; Shimura, T.; Tanaka, T.; Fujimi, T.; Osakada, Y.; Webb, A.; Nakakita, E. Recent nationwide climate change impact assessments of natural hazards in Japan and East Asia. Weather Clim. Extrem. 2021, 32, 100309. [Google Scholar] [CrossRef]
- Cutter, S.L.; Ismail-Zadeh, A.; Alcántara-Ayala, I.; Altan, O.; Baker, D.N.; Briceño, S.; Gupta, H.; Holloway, A.; Johnston, D.; McBean, G.A. Global risks Pool knowledge to stem losses from disasters. Nature 2015, 522, 277–279. [Google Scholar] [CrossRef]
- Hu, C.; Tam, C.-Y.; Li, X.; Huang, K.; Ren, C.; Fung, K.Y.; Wang, Z. Mega-city development impact on hourly extreme rainfall over the South China Greater Bay Area under near-future climate warming. Urban Clim. 2023, 48, 101389. [Google Scholar] [CrossRef]
- Chiang, F.; Mazdiyasni, O.; AghaKouchak, A. Evidence of anthropogenic impacts on global drought frequency, duration, and intensity. Nat. Commun. 2021, 12, 2754. [Google Scholar] [CrossRef] [PubMed]
- Mukherjee, S.; Mishra, A.K. Increase in Compound Drought and Heatwaves in a Warming World. Geophys. Res. Lett. 2021, 48, e2020GL090617. [Google Scholar] [CrossRef]
- Vardon, P.J. Climatic influence on geotechnical infrastructure: A review. Environ. Geotech. 2015, 2, 166–174. [Google Scholar] [CrossRef]
- Vahedifard, F.; Cao, T.D.; Thota, S.K.; Ghazanfari, E. Nonisothermal Models for Soil–Water Retention Curve. J. Geotech. Geoenviron. Eng. 2018, 144, 04018061. [Google Scholar] [CrossRef]
- Fredlund, D.G.; Rahardjo, H.; Fredlund, M.D. Unsaturated Soil Mechanics in Engineering Practice; John Wiley & Sons: Hoboken, NJ, USA, 2012. [Google Scholar]
- Rahardjo, H.; Kim, Y.; Satyanaga, A. Role of unsaturated soil mechanics in geotechnical engineering. Int. J. Geo-Eng. 2019, 10, 8. [Google Scholar] [CrossRef]
- Thota, S.K. Temperature effects on unsaturated soils: Constitutive relationships and emerging geotechnical applications. In Theses and Dissertations; Mississippi State University: Starkville, MI, USA, 2020; p. 4233. [Google Scholar]
- Wang, H.; Chen, R.; Leung, A.K.; Huang, J. Temperature effects on the hydraulic properties of unsaturated rooted soils. Can. Geotech. J. 2023, 60, 936–945. [Google Scholar] [CrossRef]
- Luo, P.; Zhou, M.; Deng, H.; Lyu, J.; Cao, W.; Takara, K.; Nover, D.; Geoffrey Schladow, S. Impact of forest maintenance on water shortages: Hydrologic modeling and effects of climate change. Sci. Total Environ. 2018, 615, 1355–1363. [Google Scholar] [CrossRef] [PubMed]
- Winter, T.C.; Harvey, J.W.; Franke, O.L.; Alley, W.M. Ground Water and Surface Water A Single Resource. In US Geological Survey; Diane Publishing: Collingdale, PA, USA, 1998. [Google Scholar]
- Sánchez, M.; Arson, C.; Gens, A.; Aponte, F. Analysis of unsaturated materials hydration incorporating the effect of thermo-osmotic flow. Geomech. Energy Environ. 2016, 6, 101–115. [Google Scholar] [CrossRef]
- Nakhaei, M.; Tafreshi, A.M.; Tafreshi, G.M. A New Approach in Comparison and Evaluation of the Overall Accuracy of Six Soil-Water Retention Models Using Statistical Benchmarks and Fuzzy Method. Eur. Soil Sci. 2021, 54, 716–728. [Google Scholar] [CrossRef]
- Zhang, Y.; Zhao, D.; Zheng, Q.; Huang, Y.; Jiang, F.; Wang, M.-K.; Lin, J.; Huang, Y. Evaluating the effects of temperature on soil hydraulic and mechanical properties in the collapsing gully areas of south China. CATENA 2022, 218, 106549. [Google Scholar] [CrossRef]
- Bachmann, J.; Horton, R.; Grant, S.A.; van der Ploeg, R.R. Temperature Dependence of Water Retention Curves for Wettable and Water-Repellent Soils. Soil Sci. Soc. Am. J. 2002, 66, 44–52. [Google Scholar] [CrossRef]
- Grant, S.A.; Bachmann, J. Effect of temperature on capillary pressure. Environ. Mech. Water Mass Energy Transf. Biosph. 2002, 129, 199–212. [Google Scholar]
- Roshani, P.; Sedano, J.Á.I. Incorporating Temperature Effects in Soil-Water Characteristic Curves. Indian Geotech. J. 2016, 46, 309–318. [Google Scholar] [CrossRef]
- Qiao, X.; Ma, S.; Pan, G.; Liu, G. Effects of Temperature Change on the Soil Water Characteristic Curve and a Prediction Model for the Mu Us Bottomland, Northern China. Water 2019, 11, 1235. [Google Scholar] [CrossRef]
- Thota, S.K.; Vahedifard, F. Stability analysis of unsaturated slopes under elevated temperatures. Eng. Geol. 2021, 293, 106317. [Google Scholar] [CrossRef]
- Wu, C. Using the Spatiotemporal Hot Spot Analysis and Multi-Annual Landslide Inventories to Analyze the Evolution and Characteristic of Rainfall-Induced Landslide at the Subwatershed Scale in Taiwan. Water 2023, 15, 1355. [Google Scholar] [CrossRef]
- Hsu, H.-H.; Chou, C.; Wu, Y.; Lu, M.; Chen, C.; Chen, Y.-M. Climate Change in Taiwan Scientific Report 2011 (Summary); National Science Council: Taipei, Taiwan, 2011; 67p. [Google Scholar]
- Tung, Y.-S.; Chen, C.-T.; Min, S.-K.; Lin, L.-Y. Evaluating Extreme Rainfall Changes over Taiwan Using a Standardized Index. Terr. Atmos. Ocean. Sci. 2016, 27, 705–715. [Google Scholar] [CrossRef]
- Henny, L.; Thorncroft, C.; Hsu, H.-H.; Bosart, L. Extreme Rainfall in Taiwan: Seasonal Statistics and Trends. J. Clim. 2021, 34, 4711–4731. [Google Scholar] [CrossRef]
- Hsu, H.H.; Chen, C.T. Observed and projected climate change in Taiwan. Meteorol. Atmos. Phys. 2002, 79, 87–104. [Google Scholar] [CrossRef]
- Kueh, M.T.; Lin, C.Y.; Chuang, Y.J.; Sheng, Y.F.; Chien, Y.Y. Climate variability of heat waves and their associated diurnal temperature range variations in Taiwan. Environ. Res. Lett. 2017, 12, 074017. [Google Scholar] [CrossRef]
- Chen, C.-C.; Wang, Y.-R.; Wang, Y.-C.; Lin, S.-L.; Chen, C.-T.; Lu, M.-M.; Guo, Y.-L.L. Projection of future temperature extremes, related mortality, and adaptation due to climate and population changes in Taiwan. Sci. Total Environ. 2021, 760, 143373. [Google Scholar] [PubMed]
- Grant, S.A.; Salehzadeh, A. Calculation of Temperature Effects on Wetting Coefficients of Porous Solids and Their Capillary Pressure Functions. Water Resour. Res. 1996, 32, 261–270. [Google Scholar]
- Dorsey, N.E. Properties of Ordinary Water-Substance in All Its Phases: Water-Vapor Water and All the Ices; Reinhold: New York, NY, USA, 1940. [Google Scholar]
- Haar, L.; Gallagher, J.S.; Kell, G.S. NBS/NRC Steam Tables Thermodynamic and Transport Properties and Computer Programs for Vapor and Liquid States of Water in SI Units; Hemisphere Pub.: Washington, DC, USA, 1984. [Google Scholar]
- Watson, K.M. Thermodynamics of the Liquid State. Ind. & Eng. Chem. 1943, 35, 398–406. [Google Scholar]
- Song, J.W.; Fan, L.W. Temperature dependence of the contact angle of water: A review of research progress, theoretical understanding, and implications for boiling heat transfer. Adv. Colloid Interface Sci. 2021, 288, 102339. [Google Scholar]
- Brooks, R.H.; Corey, A.T. Hydraulic Properties of Porous Media and Their Relation to Drainage Design. Trans. ASABE 1964, 7, 26–28. [Google Scholar]
- Van Genuchten, M.T. A Closed-form Equation for Predicting the Hydraulic Conductivity of Unsaturated Soils. Soil Sci. Soc. Am. J. 1980, 44, 892–898. [Google Scholar] [CrossRef]
- Kosugi, K.I. Lognormal Distribution Model for Unsaturated Soil Hydraulic Properties. Water Resour. Res. 1996, 32, 2697–2703. [Google Scholar] [CrossRef]
- Šimůnek, J.; van Genuchten, M.T.; Šejna, M. Development and Applications of the HYDRUS and STANMOD Software Packages and Related Codes. Vadose Zone J. 2008, 7, 587–600. [Google Scholar] [CrossRef]
- Richards, L.A. Capillary conduction of liquids through porous mediums. Physics 1931, 1, 318–333. [Google Scholar] [CrossRef]
- Mualem, Y. A new model for predicting the hydraulic conductivity of unsaturated porous media. Water Resour. Res. 1976, 12, 513–522. [Google Scholar]
- Terzaghi, K. Theoretical Soil Mechanics; Wiley: New York, NY, USA, 1943. [Google Scholar]
- Bishop, A.W. The Principle of Effective Stress. Tek. Ukebl. 1959, 39, 859–863. [Google Scholar]
- Lu, N.; Likos, W.J. Unsaturated Soil Mechanics; John Wiley & Sons, Inc.: Hoboken, NJ, USA, 2004; pp. 30–45. [Google Scholar]
- Lu, N.; Likos, W.J. Suction Stress Characteristic Curve for Unsaturated Soil. J. Geotech. Geoenviron. Eng. 2006, 132, 131–142. [Google Scholar] [CrossRef]
- Lu, N.; Şener-Kaya, B.; Wayllace, A.; Godt, J.W. Analysis of rainfall-induced slope instability using a field of local factor of safety. Water Resour. Res. 2012, 48, 9. [Google Scholar] [CrossRef]
- Erdağ, A.; Sinan Işık, N. Effect of rainfall ıntensity on the stability of unsaturated slopes of silty clay soils of Kazan, Ankara, Turkey. Arab. J. Geosci. 2022, 15, 894. [Google Scholar] [CrossRef]
- Que, Y.; Ding, H.; Jiang, Z.; Chen, X.; Li, S.; Leung, A.K. Non-equilibrium seepage characteristics and stability analysis of macroporous soil slope under water level changes. Arab. J. Geosci. 2022, 15, 943. [Google Scholar] [CrossRef]
- Yang, Y.-S.; Yeh, H.-F.; Ke, C.-C.; Chen, N.-C.; Chang, K.-C. Assessment of probability of failure on rainfall-induced shallow landslides at slope scale using a physical-based model and fuzzy point estimate method. Front. Earth Sci. 2022, 10, 957506. [Google Scholar] [CrossRef]
- Yang, T.; Rao, Y.; Ma, N.; Feng, J.; Feng, H.; Wang, H. A new method for defining the local factor of safety based on displacement isosurfaces to assess slope stability. Eng. Geol. 2022, 300, 106587. [Google Scholar] [CrossRef]
- Lu, N.; Wayllace, A.; Chen, P. The Slope Stress and Stability (Slope Cube) Module for HYDRUS (3D): Simulating Slope Stress and Stability in Variably-Saturated Soils. In Hydrus Software Series 3.02.0290, PC-Progress; Soil Water Retention, LLC: Madison, WI, USA, 2019. [Google Scholar]
- Reddy, J.N. Introduction to the Finite Element Method, 4th ed.; McGraw-Hill Education: New York, NY, USA, 2019. [Google Scholar]
- Kristo, C.; Rahardjo, H.; Satyanaga, A. Effect of hysteresis on the stability of residual soil slope. Int. Soil Water Conserv. Res. 2019, 7, 226–238. [Google Scholar] [CrossRef]
- MnDOT Pavement Design Manual. Minnesota Department of Transportation; Minnesota Department of Transportation: St. Paul, MN, USA, 2007. [Google Scholar]
- Carsel, R.F.; Parrish, R.S. Developing joint probability distributions of soil water retention characteristics. Water Resour. Res. 1988, 24, 755–769. [Google Scholar]
- Vergnano, A.; Oggeri, C.; Godio, A. Geophysical–geotechnical methodology for assessing the spatial distribution of glaciolacustrine sediments: The case history of Lake Seracchi. Earth Surf. Process. Landf. 2023, 48, 1374–1397. [Google Scholar] [CrossRef]
- Bai, H.-l.; Feng, W.-k.; Li, S.-q.; Ye, L.-z.; Wu, Z.-t.; Hu, R.; Dai, H.-c.; Hu, Y.-p.; Yi, X.-y.; Deng, P.-c. Flow-slide characteristics and failure mechanism of shallow landslides in granite residual soil under heavy rainfall. J. Mt. Sci. 2022, 19, 1541–1557. [Google Scholar]
- Lin, L.-Y.; Lin, C.-T.; Chen, Y.-M.; Cheng, C.-T.; Li, H.-C.; Chen, W.-B. The Taiwan Climate Change Projection Information and Adaptation Knowledge Platform: A Decade of Climate Research. Water 2022, 14, 358. [Google Scholar] [CrossRef]
- Hsu, C.-Y.; Ng, U.-C.; Chen, C.-Y.; Chen, Y.-C.; Chen, M.-J.; Chen, N.-T.; Lung, S.-C.C.; Su, H.-J.; Wu, C.-D. New land use regression model to estimate atmospheric temperature and heat island intensity in Taiwan. Theor. Appl. Climatol. 2020, 141, 1451–1459. [Google Scholar]
- Liu, Z.; Wang, X.; Yin, Y.; Li, J.; Shao, G. Stability analysis of an unsaturated clay slope based on the coupled effect of temperature and saturation. Q. J. Eng. Geol. Hydrogeol. 2022, 55, qjegh2021-009. [Google Scholar] [CrossRef]
- Scaringi, G.; Loche, M. A thermo-hydro-mechanical approach to soil slope stability under climate change. Geomorphology 2022, 401, 108108. [Google Scholar]













| Gs (−) | c (kPa) | (°) | E (kPa) | v (−) | |
| Loam | 2.65 | 10 | 35 | 15,000 | 0.3 |
| Silt | 2.7 | 15 | 30 | 10,000 | 0.35 |
| BC | θs (−) | θr (−) | α (kPa−1) | n (−) | Ks (m/h) |
| Loam | 0.42 | 0.033 | 1.248 | 0.304 | 0.036 |
| Silt | 0.45 | 1 × 10−10 | 2.847 | 0.247 | 0.018 |
| VG | θs (−) | θr (−) | α (kPa−1) | n (−) | Ks (m/h) |
| Loam | 0.43 | 0.078 | 0.36 | 1.56 | 0.036 |
| Silt | 0.46 | 0.034 | 0.16 | 1.37 | 0.018 |
| LN | θs (−) | θr (−) | α (kPa−1) | n (−) | Ks (m/h) |
| Loam | 0.43 | 0.098 | 8.212 | 1.495 | 0.036 |
| Silt | 0.46 | 0.072 | 33.137 | 2.033 | 0.018 |
Disclaimer/Publisher’s Note: The statements, opinions and data contained in all publications are solely those of the individual author(s) and contributor(s) and not of MDPI and/or the editor(s). MDPI and/or the editor(s) disclaim responsibility for any injury to people or property resulting from any ideas, methods, instructions or products referred to in the content. |
© 2023 by the authors. Licensee MDPI, Basel, Switzerland. This article is an open access article distributed under the terms and conditions of the Creative Commons Attribution (CC BY) license (https://creativecommons.org/licenses/by/4.0/).
Share and Cite
Yang, S.-R.; Chang, R.-E.; Yang, Y.-S.; Yeh, H.-F. Environmental Temperature Effect on Hydraulic Behavior and Stability of Shallow Slopes. Environments 2023, 10, 134. https://doi.org/10.3390/environments10080134
Yang S-R, Chang R-E, Yang Y-S, Yeh H-F. Environmental Temperature Effect on Hydraulic Behavior and Stability of Shallow Slopes. Environments. 2023; 10(8):134. https://doi.org/10.3390/environments10080134
Chicago/Turabian StyleYang, Shu-Rong, Rui-En Chang, Ya-Sin Yang, and Hsin-Fu Yeh. 2023. "Environmental Temperature Effect on Hydraulic Behavior and Stability of Shallow Slopes" Environments 10, no. 8: 134. https://doi.org/10.3390/environments10080134
APA StyleYang, S.-R., Chang, R.-E., Yang, Y.-S., & Yeh, H.-F. (2023). Environmental Temperature Effect on Hydraulic Behavior and Stability of Shallow Slopes. Environments, 10(8), 134. https://doi.org/10.3390/environments10080134

