Environmental and Health Risk Assessment of Soil Adjacent to a Self-Burning Waste Pile from an Abandoned Coal Mine in Northern Portugal
Abstract
1. Introduction
2. Materials and Methods
2.1. Study Area and Sampling
2.2. Environmental Pollution Level Assessment
2.2.1. Regional Geochemical Background Characterization

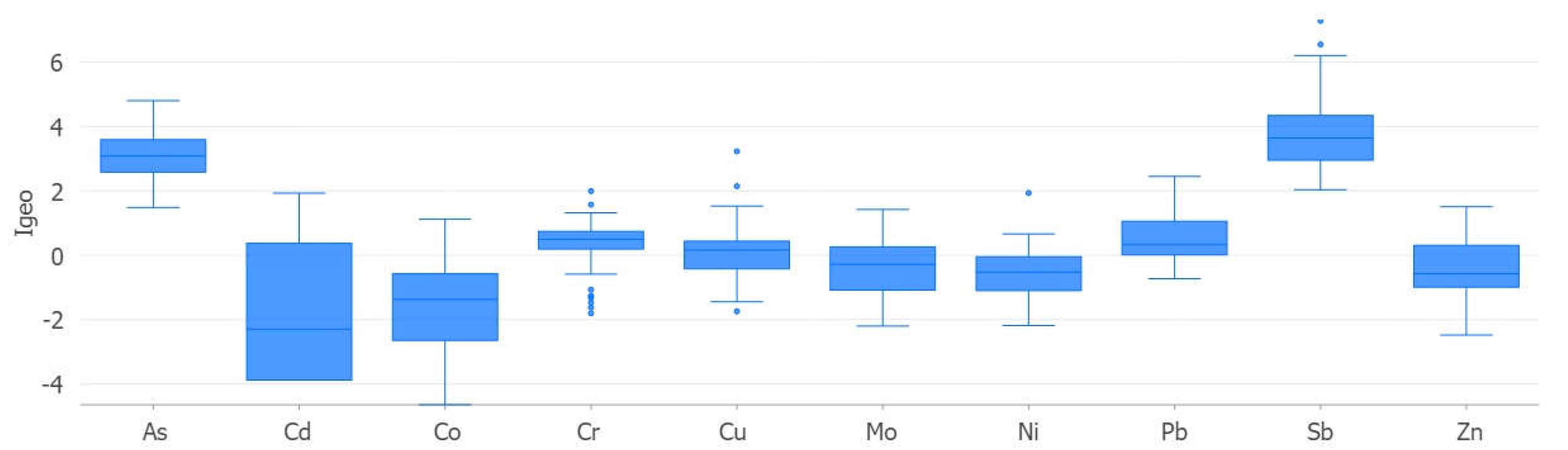
2.2.2. Geoaccumulation Index (Igeo)
2.2.3. Potential Ecological Risk Index (PERI)
2.3. Human Health Risk Assessment Index
3. Results and Discussion
3.1. Soil Geochemical Background Characterization
3.2. Environmental Pollution Level Assessment
3.3. Human Health Risk Assessment Index
4. Conclusions
Author Contributions
Funding
Data Availability Statement
Acknowledgments
Conflicts of Interest
References
- Marove, C.A.; Sotozono, R.; Tangviroon, P.; Tabelin, C.B.; Igarashi, T. Assessment of Soil, Sediment and Water Contaminations around Open-Pit Coal Mines in Moatize, Tete Province, Mozambique. Environ. Adv. 2022, 8, 100215. [Google Scholar] [CrossRef]
- Liu, X.; Shi, H.; Bai, Z.; Zhou, W.; Liu, K.; Wang, M.; He, Y. Heavy Metal Concentrations of Soils near the Large Opencast Coal Mine Pits in China. Chemosphere 2020, 244, 125360. [Google Scholar] [CrossRef]
- Fdez-Ortiz de Vallejuelo, S.; Gredilla, A.; da Boit, K.; Teixeira, E.C.; Sampaio, C.H.; Madariaga, J.M.; Silva, L.F.O. Nanominerals and Potentially Hazardous Elements from Coal Cleaning Rejects of Abandoned Mines: Environmental Impact and Risk Assessment. Chemosphere 2017, 169, 725–733. [Google Scholar] [CrossRef] [PubMed]
- Li, Y.; Zhou, S.; Zhu, Q.; Li, B.; Wang, J.; Wang, C.; Chen, L.; Wu, S. One-Century Sedimentary Record of Heavy Metal Pollution in Western Taihu Lake, China. Environ. Pollut. 2018, 240, 709–716. [Google Scholar] [CrossRef]
- Chen, L.; Zhou, S.; Shi, Y.; Wang, C.; Li, B.; Li, Y.; Wu, S. Heavy Metals in Food Crops, Soil, and Water in the Lihe River Watershed of the Taihu Region and Their Potential Health Risks When Ingested. Sci. Total Environ. 2018, 615, 141–149. [Google Scholar] [CrossRef] [PubMed]
- Sadiku, M.; Kadriu, S.; Kelmendi, M.; Latifi, L. Impact of Artana Mine on Heavy Metal Pollution of the Marec River in Kosovo. Min. Miner. Depos. 2021, 15, 18–24. [Google Scholar] [CrossRef]
- Kadriu, S.; Sadiku, M.; Kelmend, M.; Sadriu, E. Studying the Heavy Metals Concentration in Discharged Water from the Trepça Mine and Flotation, Kosovo. Min. Miner. Depos. 2020, 14, 47–52. [Google Scholar] [CrossRef]
- Skrobala, V.; Popovych, V.; Tyndyk, O.; Voloshchyshyn, A. Chemical Pollution Peculiarities of the Nadiya Mine Rock Dumps in the Chervonohrad Mining District, Ukraine. Min. Miner. Depos. 2022, 16, 71–79. [Google Scholar] [CrossRef]
- Pavlychenko, A.; Kovalenko, A. The Investigation of Rock Dumps Influence to the Levels of Heavy Metals Contamination of Soil. In Mining of Mineral Deposits; CRC Press: Boca Raton, FL, USA, 2013; pp. 237–238. [Google Scholar]
- Finkelman, R.B.; Palmer, C.A.; Wang, P. Quantification of the Modes of Occurrence of 42 Elements in Coal. Int. J. Coal Geol. 2018, 185, 138–160. [Google Scholar] [CrossRef]
- Finkelman, R.B. Potential Health Impacts of Burning Coal Beds and Waste Banks. Int. J. Coal Geol. 2004, 59, 19–24. [Google Scholar] [CrossRef]
- Li, H.; Ji, H. Chemical Speciation, Vertical Profile and Human Health Risk Assessment of Heavy Metals in Soils from Coal-Mine Brownfield, Beijing, China. J. Geochem. Explor. 2017, 183, 22–32. [Google Scholar] [CrossRef]
- Querol, X.; Zhuang, X.; Font, O.; Izquierdo, M.; Alastuey, A.; Castro, I.; van Drooge, B.L.; Moreno, T.; Grimalt, J.O.; Elvira, J.; et al. Influence of Soil Cover on Reducing the Environmental Impact of Spontaneous Coal Combustion in Coal Waste Gobs: A Review and New Experimental Data. Int. J. Coal Geol. 2011, 85, 2–22. [Google Scholar] [CrossRef]
- Shahab, A.; Zhang, H.; Ullah, H.; Rashid, A.; Rad, S.; Li, J.; Xiao, H. Pollution Characteristics and Toxicity of Potentially Toxic Elements in Road Dust of a Tourist City, Guilin, China: Ecological and Health Risk Assessment. Environ. Pollut. 2020, 266, 115419. [Google Scholar] [CrossRef]
- Kumar, V.; Sharma, A.; Kaur, P.; Singh Sidhu, G.P.; Bali, A.S.; Bhardwaj, R.; Thukral, A.K.; Cerda, A. Pollution Assessment of Heavy Metals in Soils of India and Ecological Risk Assessment: A State-of-the-Art. Chemosphere 2019, 216, 449–462. [Google Scholar] [CrossRef] [PubMed]
- Kusin, F.M.; Awang, N.H.C.; Hasan, S.N.M.S.; Rahim, H.A.A.; Azmin, N.; Jusop, S.; Kim, K.W. Geo-Ecological Evaluation of Mineral, Major and Trace Elemental Composition in Waste Rocks, Soils and Sediments of a Gold Mining Area and Potential Associated Risks. Catena 2019, 183, 104229. [Google Scholar] [CrossRef]
- Bhuiyan, M.A.H.; Parvez, L.; Islam, M.A.; Dampare, S.B.; Suzuki, S. Heavy Metal Pollution of Coal Mine-Affected Agricultural Soils in the Northern Part of Bangladesh. J. Hazard. Mater. 2010, 173, 384–392. [Google Scholar] [CrossRef]
- Ma, L.; Xiao, T.; Ning, Z.; Liu, Y.; Chen, H.; Peng, J. Pollution and Health Risk Assessment of Toxic Metal(Loid)s in Soils under Different Land Use in Sulphide Mineralized Areas. Sci. Total Environ. 2020, 724, 138176. [Google Scholar] [CrossRef]
- Candeias, C.; Ferreira da Silva, E.; Salgueiro, A.R.; Pereira, H.G.; Reis, A.P.; Patinha, C.; Matos, J.X.; Ávila, P.H. The Use of Multivariate Statistical Analysis of Geochemical Data for Assessing the Spatial Distribution of Soil Contamination by Potentially Toxic Elements in the Aljustrel Mining Area (Iberian Pyrite Belt, Portugal). Environ. Earth Sci. 2011, 62, 1461–1479. [Google Scholar] [CrossRef]
- Durães, N.; Portela, L.; Sousa, S.; Patinha, C.; Ferreira da Silva, E. Environmental Impact Assessment in the Former Mining Area of Regoufe (Arouca, Portugal): Contributions to Future Remediation Measures. Int. J. Environ. Res. Public Health 2021, 18, 1180. [Google Scholar] [CrossRef]
- Candeias, C.; Ferreira da Silva, E.; Ávila, P.; Teixeira, J. Identifying Sources and Assessing Potential Risk of Exposure to Heavy Metals and Hazardous Materials in Mining Areas: The Case Study of Panasqueira Mine (Central Portugal) as an Example. Geosciences 2014, 4, 240–268. [Google Scholar] [CrossRef]
- Ferreira da Silva, E.F.; Freire Ávila, P.; Salgueiro, A.R.; Candeias, C.; Garcia Pereira, H. Quantitative–Spatial Assessment of Soil Contamination in S. Francisco de Assis Due to Mining Activity of the Panasqueira Mine (Portugal). Environ. Sci. Pollut. Res. 2013, 20, 7534–7549. [Google Scholar] [CrossRef]
- Antunes, M.; Teixeira, R.; Valente, T.; Santos, A. Geo-Accumulation Indexes of Trace Elements in Sediments from Uranium Environments (Central Portugal). In New Prospects in Environmental Geosciences and Hydrogeosciences; Springer: Cham, Switzerland, 2022; pp. 215–217. [Google Scholar]
- Kowalska, J.B.; Mazurek, R.; Gąsiorek, M.; Zaleski, T. Pollution Indices as Useful Tools for the Comprehensive Evaluation of the Degree of Soil Contamination—A Review. Environ. Geochem. Health 2018, 40, 2395–2420. [Google Scholar] [CrossRef]
- Muller, G. Index of Geoaccumulation in Sediments of the Rhine River. Geo J. 1969, 2, 108–118. [Google Scholar]
- Abrahim, G.M.S.; Parker, R.J. Assessment of Heavy Metal Enrichment Factors and the Degree of Contamination in Marine Sediments from Tamaki Estuary, Auckland, New Zealand. Environ. Monit. Assess. 2007, 136, 227–238. [Google Scholar] [CrossRef] [PubMed]
- Hakanson, L. An Ecological Risk Index for Aquatic Pollution Control.a Sedimentological Approach. Water Res. 1980, 14, 975–1001. [Google Scholar] [CrossRef]
- Pejman, A.; Nabi Bidhendi, G.; Ardestani, M.; Saeedi, M.; Baghvand, A. A New Index for Assessing Heavy Metals Contamination in Sediments: A Case Study. Ecol. Indic. 2015, 58, 365–373. [Google Scholar] [CrossRef]
- Duodu, G.O.; Goonetilleke, A.; Ayoko, G.A. Comparison of Pollution Indices for the Assessment of Heavy Metal in Brisbane River Sediment. Environ. Pollut. 2016, 219, 1077–1091. [Google Scholar] [CrossRef] [PubMed]
- Connor, J.J.; Shacklette, H.T. Background Geochemistry of Some Soils, Plants and Vegetables in Conterminous United States; United States Government Printing Office: Washington, DC, USA, 1975. [Google Scholar]
- Kabata-Pendias, A. Trace Elements in Soils and Plants, 4th ed.; Taylor & Francis Group: Boca Raton, FL, USA; London, UK; New York, NY, USA, 2011. [Google Scholar]
- Gazley, M.F.; Martin, A.P.; Turnbull, R.E.; Frontin-Rollet, G.; Strong, D.T. Regional Patterns in Standardised and Transformed Pathfinder Elements in Soil Related to Orogenic-Style Mineralisation in Southern New Zealand. J. Geochem. Explor. 2020, 217, 106593. [Google Scholar] [CrossRef]
- Hawkes, H.E.; Webb, J.S. Geochemistry in Mineral Exploration; Harper: New York, NY, USA; Evanston: New York, NY, USA, 1963. [Google Scholar]
- ISO 11760; Classification of Coals. 1st ed. International Organization for Standardization: Geneva, Switzerland, 2005; p. 9.
- Ribeiro, J.; Da Silva, E.F.; Flores, D. Burning of Coal Waste Piles from Douro Coalfield (Portugal): Petrological, Geochemical and Mineralogical Characterization. Int. J. Coal Geol. 2010, 81, 359–372. [Google Scholar] [CrossRef]
- Ribeiro, J.; Da Silva, E.F.; De Jesus, A.P.; Flores, D. Petrographic and Geochemical Characterization of Coal Waste Piles from Douro Coalfield (NW Portugal). Int. J. Coal Geol. 2011, 87, 226–236. [Google Scholar] [CrossRef]
- Ribeiro, J.; Silva, T.; Mendonça Filho, J.G.; Flores, D. Polycyclic Aromatic Hydrocarbons (PAHs) in Burning and Non-Burning Coal Waste Piles. J. Hazard. Mater. 2012, 199–200, 105–110. [Google Scholar] [CrossRef] [PubMed]
- Ribeiro, J.; Sant’Ovaia, H.; Gomes, C.; Ward, C.; Flores, D. Mineralogy and Magnetic Parameters of Materials Resulting from the Mining and Consumption of Coal from the Douro Coalfield, Northwest Portugal. In Coal and Peat Fires: A Global Perspective; Elsevier Inc.: Amsterdam, The Netherlands, 2014; Volume 3, pp. 494–508. ISBN 9780444595119. [Google Scholar]
- Ribeiro, J.; Flores, D. Occurrence, Leaching, and Mobility of Major and Trace Elements in a Coal Mining Waste Dump: The Case of Douro Coalfield, Portugal. Energy Geosci. 2021, 2, 121–128. [Google Scholar] [CrossRef]
- Çelebi, E.E.; Ribeiro, J. Prediction of Acid Production Potential of Self-Combusted Coal Mining Wastes from Douro Coalfield (Portugal) with Integration of Mineralogical and Chemical Data. Int. J. Coal Geol. 2023, 265, 104152. [Google Scholar] [CrossRef]
- Teodoro, A.; Santos, P.; Espinha Marques, J.; Ribeiro, J.; Mansilha, C.; Melo, A.; Duarte, L.; Rodrigues De Almeida, C.; Flores, D. An Integrated Multi-Approach to Environmental Monitoring of a Self-Burning Coal Waste Pile: The São Pedro Da Cova Mine (Porto, Portugal) Study Case. Environments 2021, 8, 48. [Google Scholar] [CrossRef]
- Espinha Marques, J.E.; Martins, V.; Santos, P.; Ribeiro, J.; Mansilha, C.; Melo, A.; Rocha, F.; Flores, D. Changes Induced by Self-Burning in Technosols from a Coal Mine Waste Pile: A Hydropedological Approach. Geosciences 2021, 11, 195. [Google Scholar] [CrossRef]
- Mansilha, C.; Melo, A.; Flores, D.; Ribeiro, J.; Ramalheira Rocha, J.; Martins, V.; Santos, P.; Marques, J.E.; Ritter, F. Irrigation with Coal Mining Effluents: Sustainability and Water Quality Considerations (São Pedro Da Cova, North Portugal). Water 2021, 13, 2157. [Google Scholar] [CrossRef]
- Santos, P.; Espinha Marques, J.; Ribeiro, J.; Mansilha, C.; Melo, A.; Fonseca, R.; Sant’Ovaia, H.; Flores, D. Geochemistry of Soils from the Surrounding Area of a Coal Mine Waste Pile Affected by Self-Burning (Northern Portugal). Minerals 2023, 13, 28. [Google Scholar] [CrossRef]
- de Sousa, M.J.L.; Wagner, R.H. General Description of the Terrestrial Carboniferous Basins in Portugal and History of Investigations. In The Carboniferous of Portugal: Memórias dos Serviços Geológicos de Portugal; Lemos de Sousa, M.J., Oliveira, J.T., Eds.; Direcção-Geral de Geologia e Minas: Lisboa, Portugal, 1983; pp. 117–126. [Google Scholar]
- Correia, P.; Šimůnek, Z.; Sá, A.A.; Flores, D. A New Late Pennsylvanian Floral Assemblage from the Douro Basin, Portugal. Geol. J. 2018, 53, 2507–2531. [Google Scholar] [CrossRef]
- De Jesus, A.P. Carboniferous Intermontane Basins of Portugal. In The Geology of Iberia: A Geodynamic Approach; Oliveira, J., Quesada, C., Eds.; Springer Nature Switzerland AG: Cham, Switzerland, 2019; Volume 2, pp. 402–408. [Google Scholar]
- Medeiros, A.; Pereira, E.; Moreira, A. Notícia Explicativa Da Folha 9-D Penafiel Da Carta Geológica de Portugal à Escala 1:50 000 [Geologic Map at Scale 1:50 000 Sheet 9D Penafiel]; Serviços Geológicos de Portugal: Lisboa, Portugal, 1980. [Google Scholar]
- APA Solos Contaminados—Guia Técnico, Valores de Referência Para o Solo [Contaminated Soils—Technical Guide, Soil Reference Values]; Agência Portuguesa do Ambiente: Lisbon, Portugal, 2019.
- Taylor, S.R.; McLennan, S.M. The Geochemical Evolution of the Continental Crust. Rev. Geophys. 1995, 33, 241. [Google Scholar] [CrossRef]
- Medgold Resources Corp. 6° Relatório Semestral Relativo Ao 1° Semestre de 2016—Contrato de Prospeção e Pesquisa MN/PP/015/13 Valongo [6th Semester Report Relative to the 1st Semester of 2016—Exploration Contract MN/PP/015/13 Valongo]; Medgold Resources Corp: Porto, Portugal, 2016. [Google Scholar]
- Medgold Resources Corp. 5° Relatório Semestral Relativo Ao 2° Semestre de 2015—Contrato de Propeção e Pesquisa MN/PP/015/13 Valongo [5th Semester Report Relative to the 2nd Semester of 2015—Exploration Contract MN/PP/015/13 Valongo]; Medgold Resources Corp: Porto, Portugal, 2016. [Google Scholar]
- Da Silva, E.B.; Gao, P.; Xu, M.; Guan, D.; Tang, X.; Ma, L.Q. Background Concentrations of Trace Metals As, Ba, Cd, Co, Cu, Ni, Pb, Se, and Zn in 214 Florida Urban Soils: Different Cities and Land Uses. Environ. Pollut. 2020, 264, 114737. [Google Scholar] [CrossRef]
- Nogueira, T.A.R.; Abreu-Junior, C.H.; Alleoni, L.R.F.; He, Z.; Soares, M.R.; dos Santos Vieira, C.; Lessa, L.G.F.; Capra, G.F. Background Concentrations and Quality Reference Values for Some Potentially Toxic Elements in Soils of São Paulo State, Brazil. J. Environ. Manag. 2018, 221, 10–19. [Google Scholar] [CrossRef] [PubMed]
- Sun, Y.; Li, H.; Guo, G.; Semple, K.T.; Jones, K.C. Soil Contamination in China: Current Priorities, Defining Background Levels and Standards for Heavy Metals. J. Environ. Manag. 2019, 251, 109512. [Google Scholar] [CrossRef] [PubMed]
- Cabrera, F.; Clemente, L.; Díaz Barrientos, E.; López, R.; Murillo, J.M. Heavy Metal Pollution of Soils Affected by the Guadiamar Toxic Flood. Sci. Total Environ. 1999, 242, 117–129. [Google Scholar] [CrossRef] [PubMed]
- Ji, Y.; Feng, Y.; Wu, J.; Zhu, T.; Bai, Z.; Duan, C. Using Geoaccumulation Index to Study Source Profiles of Soil Dust in China. J. Environ. Sci. 2008, 20, 571–578. [Google Scholar] [CrossRef]
- Pereira, E.; Cabral, J.; Cramez, P.; Moreira, A.; Noronha, F.; Oliveira, J.M.; Farinha Ramos, J.M.; Reis, M.L.; Ribeiro, A.; Ribeiro, M.L.; et al. Carta Geológica de Portugal, Escala 1/200 000, Notícia Explicativa Da Folha 1 [Geologic Map of Portugal at Scale 1/200,000—Sheet 1]; Serviços Geológicos de Portugal: Amadora, Portugal, 1992. [Google Scholar]
- Wang, N.; Wang, A.; Kong, L.; He, M. Calculation and Application of Sb Toxicity Coefficient for Potential Ecological Risk Assessment. Sci. Total Environ. 2018, 610–611, 167–174. [Google Scholar] [CrossRef]
- Sun, L.; Guo, D.; Liu, K.; Meng, H.; Zheng, Y.; Yuan, F.; Zhu, G. Levels, Sources, and Spatial Distribution of Heavy Metals in Soils from a Typical Coal Industrial City of Tangshan, China. Catena 2019, 175, 101–109. [Google Scholar] [CrossRef]
- Xiao, H.; Shahab, A.; Li, J.; Xi, B.; Sun, X.; He, H.; Yu, G. Distribution, Ecological Risk Assessment and Source Identification of Heavy Metals in Surface Sediments of Huixian Karst Wetland, China. Ecotoxicol. Environ. Saf. 2019, 185, 109700. [Google Scholar] [CrossRef]
- ESRI. ArcGIS Pro 3.0.3; [Computer Software]; ESRI: Redlands, CA, USA, 2021. [Google Scholar]
- USEPA. Supplemental Guidance for Developing Soil Screening Levels for Superfund Sites [R]; Office of Solid Waste and Emergency Response: Washington, DC, USA, 2001. [Google Scholar]
- USEPA. Child-Specific Exposure Factors Handbook (EPA-600-P-00e002B); USEPA: Washington, DC., USA, 2002. [Google Scholar]
- Chen, H.; Teng, Y.; Lu, S.; Wang, Y.; Wang, J. Contamination Features and Health Risk of Soil Heavy Metals in China. Sci. Total Environ. 2015, 512–513, 143–153. [Google Scholar] [CrossRef]
- Huang, C.-L.; Bao, L.-J.; Luo, P.; Wang, Z.-Y.; Li, S.-M.; Zeng, E.Y. Potential Health Risk for Residents around a Typical E-Waste Recycling Zone via Inhalation of Size-Fractionated Particle-Bound Heavy Metals. J. Hazard. Mater. 2016, 317, 449–456. [Google Scholar] [CrossRef]
- Li, H.; Qian, X.; Hu, W.; Wang, Y.; Gao, H. Chemical Speciation and Human Health Risk of Trace Metals in Urban Street Dusts from a Metropolitan City, Nanjing, SE China. Sci. Total Environ. 2013, 456–457, 212–221. [Google Scholar] [CrossRef]
- US Department of Energy. RAIS: Risk Assessment Information System; US Department of Energy: Washington, DC, USA, 2004. [Google Scholar]
- Cao, L.; Appel, E.; Hu, S.; Yin, G.; Lin, H.; Rösler, W. Magnetic Response to Air Pollution Recorded by Soil and Dust-Loaded Leaves in a Changing Industrial Environment. Atmos. Environ. 2015, 119, 304–313. [Google Scholar] [CrossRef]
- Inácio, M.; Pereira, V.; Pinto, M. The Soil Geochemical Atlas of Portugal: Overview and Applications. J. Geochem. Explor. 2008, 98, 22–33. [Google Scholar] [CrossRef]
- Canadian Environmental Quality Guidelines Canadian Soil Quality Guidelines for the Protection of Environmental and Human Health: Summary Tables; Canadian Environmental Quality Guidelines: Winnipeg, MB, Canada, 2007.
- Couto, H.; Roger, G.; Fonteilles, M. Présence de Sills de Roches Ignées Acides Dans La Mine Sb-Au de Ribeiro Da Serra, District Dúrico-Beirão, Nord Portugal. Implications Métallogéniques. Comptes Rendus De L’académie Des Sci.—Ser. IIA—Earth Planet. Sci. 1999, 329, 713–719. [Google Scholar] [CrossRef]
- Carvalho, P.C.S.; Neiva, A.M.R.; Silva, M.M.V.G.; da Silva, E.A.F. Geochemical Comparison of Waters and Stream Sediments Close to Abandoned Sb-Au and As-Au Mining Areas, Northern Portugal. Geochemistry 2014, 74, 267–283. [Google Scholar] [CrossRef]
- Parra, A.; Filipe, P.; Falé, P. Sistema de Informação de Ocorrência e Recursos Minerais Portugueses—SIORMINP [Information System of Occurence and Mineral Resources]; Laboratório Nacional de Energia e Geologia: Lisboa, Portugal, 2002. [Google Scholar]
- Keshavarzi, B.; Tazarvi, Z.; Rajabzadeh, M.A.; Najmeddin, A. Chemical Speciation, Human Health Risk Assessment and Pollution Level of Selected Heavy Metals in Urban Street Dust of Shiraz, Iran. Atmos. Environ. 2015, 119, 1–10. [Google Scholar] [CrossRef]
- Ferreira-Baptista, L.; de Miguel, E. Geochemistry and Risk Assessment of Street Dust in Luanda, Angola: A Tropical Urban Environment. Atmos. Environ. 2005, 39, 4501–4512. [Google Scholar] [CrossRef]





| Min. (n = 41) | Max. (n = 41) | Mean (n = 41) | S.D. | Skewness | Kurtosis | 1Q | Median | 3Q | |
|---|---|---|---|---|---|---|---|---|---|
| As | 8 | 88 | 22 | 14.38 | 2.77 | 12.83 | 16 | 18.5 | 24 |
| Sb | 1 | 18 | 4.51 | 3.39 | 1.96 | 8.18 | 2 | 4 | 6.75 |
| Co | 0.5 | 9 | 3.68 | 2.31 | 0.44 | 2.40 | 2 | 3 | 5 |
| Cr | 5 | 36 | 21.90 | 21.90 | 9.10 | −0.08 | 1.79 | 14 | |
| Cu | 4 | 35 | 20.37 | 8.04 | −0.15 | 2.12 | 1 | 19.5 | 28 |
| Mo | 0.5 | 2 | 0.66 | 0.31 | 2.46 | 10.19 | 0.5 | 0.5 | 1 |
| Ni | 0.5 | 29 | 12.55 | 8.38 | 0.33 | 1.96 | 5.75 | 11 | 18.5 |
| Pb | 13 | 65 | 25 | 9.62 | 2.13 | 9.21 | 19.25 | 23 | 28 |
| Zn | 5 | 78 | 37.13 | 21.86 | 0.28 | 2.00 | 18.5 | 35 | 54 |
| As | Cd | Co | Cr | Cu | Mo | Ni | Pb | Sb | Zn | |
|---|---|---|---|---|---|---|---|---|---|---|
| Minimum (n = 50) | 6.30 | 0.01 | 0.60 | 15.00 | 11.20 | 0.49 | 6.60 | 18.10 | 1.23 | 19.10 |
| Maximum (n = 50) | 62.80 | 0.56 | 32.60 | 209.00 | 351.60 | 6.03 | 114.60 | 163.79 | 46.67 | 303.10 |
| Mean (n = 50) | 22.55 | 0.11 | 7.23 | 74.10 | 50.18 | 2.13 | 24.29 | 50.22 | 6.29 | 96.97 |
| Standard deviation | 11.74 | 0.16 | 6.32 | 34.79 | 51.07 | 1.39 | 17.13 | 30.03 | 7.94 | 67.59 |
| Skewness | 1.52 | 1.51 | 1.75 | 1.11 | 4.47 | 1.04 | 3.06 | 1.67 | 3.33 | 1.21 |
| Kurtosis | 5.82 | 4.19 | 6.88 | 6.44 | 25.93 | 3.46 | 16.50 | 5.94 | 15.58 | 3.73 |
| Crustal abundance [50] | 1.5 | 0.098 | 10 | 35 | 25 | 1.5 | 20 | 20 | 0.2 | 71 |
| Regional background | 22 | <0.50 | 3.68 | 21.90 | 20.37 | 0.66 | 12.51 | 25 | 4.51 | 37.13 |
| Cf (with crustal mean as background) | 15.03 | 1.17 | 0.72 | 2.12 | 2.01 | 1.42 | 1.21 | 2.51 | 31.47 | 1.37 |
| Cf (with regional background) | 1.02 | 0.46 | 1.96 | 3.38 | 2.46 | 3.22 | 1.94 | 2.01 | 1.40 | 2.61 |
| Igeo (with crustal mean as background) | 3.16 | −1.83 | −1.58 | 0.32 | 0.09 | −0.39 | −0.55 | 0.54 | 3.79 | −0.46 |
| Igeo (with regional background) Igeo | −0.72 | −3.19 | 0.86 | 0.99 | 0.39 | 0.79 | 0.12 | 0.22 | −0.70 | 0.48 |
| APA guidelines (agriculture) [49] | 11 | 1 | 19 | 67 | 62 | 2 | 37 | 45 | 1 | 290 |
| APA guidelines (urban/industrial) [49] | 18 | 1.2 | 21 | 70 | 95 | 2 | 82 | 120 | 1.3 | 290 |
| Soil Affected by Waste Pile Drainage | ||||||||||
|---|---|---|---|---|---|---|---|---|---|---|
| As | Cd | Co | Cr | Cu | Mo | Ni | Pb | Sb | Zn | |
| Minimum (n = 8) | 12.9 | 0.01 | 1.6 | 15 | 13.8 | 0.52 | 9.7 | 27.5 | 1.35 | 47.8 |
| Maximum (n = 8) | 36.1 | 0.56 | 11.5 | 111 | 100.4 | 3.51 | 32.2 | 84.8 | 46.67 | 303.1 |
| Mean (n = 8) | 23.46 | 0.15 | 6,74 | 56.5 | 41.91 | 1.62 | 19.85 | 53.99 | 9.42 | 115.65 |
| Standard deviation | 8.96 | 0.2 | 3.58 | 31.32 | 28.5 | 1.17 | 8.63 | 19.04 | 15.46 | 80.63 |
| Skewness | 0.24 | 1.27 | −0.05 | 0.26 | 1.14 | 0.7 | 0.22 | 0.23 | 2.05 | 1.78 |
| Kurtosis | 1.75 | 3.08 | 1.51 | 2.3 | 3.17 | 1.94 | 1.45 | 1.99 | 5.54 | 4.88 |
| Igeo | −0.59 | −2.34 | −0.02 | 0.41 | 0.11 | 0.27 | −0.11 | 0.33 | −0.64 | 0.68 |
| Forestry Soil Uphill from the Waste Pile | ||||||||||
| As | Cd | Co | Cr | Cu | Mo | Ni | Pb | Sb | Zn | |
| Minimum (n = 24) | 11.3 | 0.01 | 0.6 | 22 | 11.2 | 0.52 | 8.1 | 18.1 | 1.54 | 19.1 |
| Maximum (n = 24) | 62.8 | 0.46 | 15.6 | 209 | 108.2 | 6.03 | 114.6 | 105.53 | 16.26 | 243.7 |
| Mean (n = 24) | 25.73 | 0.06 | 5.61 | 85.44 | 39.15 | 2.76 | 25.24 | 39.5 | 5.45 | 68.82 |
| Standard deviation | 13.54 | 0.12 | 4.72 | 33.68 | 19.48 | 1.55 | 2.24 | 22.14 | 4.26 | 52.48 |
| Skewness | 1.43 | 2.45 | 0.86 | 1.88 | 1.79 | 0.52 | 3.14 | 1.97 | 1.43 | 1.98 |
| Kurtosis | 4.68 | 7.71 | 2.39 | 8.66 | 7.42 | 2.39 | 13.75 | 6.13 | 4 | 6.77 |
| Igeo | −0.48 | −4.04 | −0.56 | 1.27 | 0.2 | 1.29 | 0.14 | −0.09 | −0.63 | −0.04 |
| Urban Soil Uphill from the Waste Pile | ||||||||||
| As | Cd | Co | Cr | Cu | Mo | Ni | Pb | Sb | Zn | |
| Minimum (n = 15) | 6.3 | 0.01 | 2.4 | 15 | 22.2 | 0.53 | 8.2 | 29.47 | 1.35 | 56.3 |
| Maximum (n = 15) | 36.1 | 0.42 | 32.6 | 111 | 351.6 | 3.51 | 44.9 | 163.79 | 12.15 | 252.8 |
| Mean (n = 15) | 18.35 | 0.17 | 8.85 | 66.2 | 82.81 | 1.48 | 23.77 | 74.19 | 4.35 | 141.42 |
| Standard deviation | 7.45 | 0.12 | 7.46 | 31.08 | 82.14 | 0.81 | 11.38 | 36.85 | 2.62 | 64.19 |
| Skewness | 0.62 | 0.39 | 2.26 | −0.37 | 2.58 | 1.12 | 0.44 | 0.99 | 1.79 | 0.3 |
| Kurtosis | 3.28 | 2.42 | 8.04 | 1.86 | 8.91 | 3.7 | 2.36 | 3.37 | 6.32 | 1.94 |
| Igeo | −0.96 | −1.76 | 0.33 | 0.79 | 1.05 | 0.39 | 0.17 | 0.82 | −0.83 | 1.19 |
| Potential Ecological Risk of Individual Metals and Metalloids | Ecological Risk (RI) | |||||||
|---|---|---|---|---|---|---|---|---|
| Using regional background to determine | ||||||||
| As | Cd | Cr | Cu | Ni | Pb | Sb | Zn | 78.6 |
| 10.3 | 13.7 | 10.2 | 12.3 | 9.70 | 10.0 | 9.77 | 2.61 | |
| 13 | 17 | 13 | 16 | 12 | 13 | 12 | 3 | Contribution (%) |
| Using crustal average to determine | ||||||||
| 150 | 35.0 | 6.35 | 10.0 | 6.07 | 12.6 | 220 | 1.37 | 442 |
| 34 | 8 | 1 | 2 | 1 | 3 | 50 | 0 | Contribution (%) |
| Element | As non | As carc | Cd non | Cd carc | Cr non | Cr carc | Cu | Ni non | Ni carc | Pb | Zn | Total |
|---|---|---|---|---|---|---|---|---|---|---|---|---|
| C (mg kg−1) | 22.55 | 22.55 | 0.11 | 0.11 | 74.1 | 74.1 | 50.18 | 24.29 | 24.29 | 50.22 | 96.97 | |
| Ing RfD | 3.00 × 10−4 | 1.00 × 10−3 | 3.00 × 10−3 | 4.00 × 10−2 | 2.00 × 10−2 | 3.50 × 10−3 | 3.00 × 10−1 | |||||
| Inhal RfD | 3.00 × 10−4 | 1.00 × 10−3 | 2.86 × 10−5 | 4.20 × 10−2 | 2.06 × 10−2 | 3.52 × 10−3 | 3.00 × 10−1 | |||||
| Dermal RfD | 1.23 × 10−4 | 1.00 × 10−5 | 6.00 × 10−5 | 1.20 × 10−2 | 5.40 × 10−3 | 5.25 × 10−4 | 6.00 × 10−2 | |||||
| Oral SF | 1.50 × 10+0 | 3.80 × 10−1 | 5.01 × 10−1 | 1.70 × 10+0 | ||||||||
| Inhal SF | 1.51 × 10+1 | 6.30 × 10+0 | 4.20 × 10+1 | 8.40 × 10−1 | ||||||||
| Dermal SF | 1.50 × 10+0 | 3.80 × 10−1 | 2.00 × 10+1 | 4.25 × 10+1 | ||||||||
| Children | ||||||||||||
| HQing | 4.94 × 10−1 | 7.23 × 10−4 | 1.62 × 10−1 | 8.25 × 10−3 | 7.99 × 10−3 | 9.43 × 10−2 | 2.13 × 10−3 | 7.70 × 10−1 | ||||
| HQInh | 1.39 × 10−5 | 2.03 × 10−8 | 4.78 × 10−4 | 2.20 × 10−7 | 2.17 × 10−7 | 2.63 × 10−6 | 5.96 × 10−8 | 4.95 × 10−4 | ||||
| HQdermal | 3.38 × 10−3 | 2.03 × 10−4 | 2.27 × 10−2 | 7.70 × 10−5 | 8.28 × 10−5 | 1.76 × 10−3 | 2.98 × 10−5 | 2.83 × 10−2 | ||||
| HI | 4.98 × 10−1 | 9.26 × 10−4 | 1.86 × 10−1 | 8.33 × 10−3 | 8.07 × 10−3 | 9.61 × 10−2 | 2.16 × 10−3 | 7.99 × 10−1 | ||||
| Contribution (%) | 62.3 | 0.12 | 23.24 | 1.04 | 1.01 | 12.03 | 0.27 | |||||
| CRing | 1.91 × 10−5 | 2.36 × 10−8 | 2.09 × 10−5 | 2.33 × 10−5 | 6.33 × 10−5 | |||||||
| CRinh | 5.38 × 10−9 | 1.10 × 10−11 | 4.92 × 10−8 | 3.23 × 10−10 | 5.49 × 10−8 | |||||||
| CRdermal | 5.34 × 10−8 | 6.60 × 10−11 | 2.34 × 10−6 | 1.63 × 10−6 | 4.02 × 10−6 | |||||||
| TCR | 1.91 × 10−5 | 2.36 × 10−8 | 2.33 × 10−5 | 2.49 × 10−5 | 6.74 × 10−5 | |||||||
| Contribution (%) | 28.4 | 0.04 | 34.6 | 37.0 | ||||||||
| Adults | ||||||||||||
| HQing | 5.30 × 10−2 | 7.75 × 10−5 | 1.74 × 10−2 | 8.84 × 10−4 | 8.56 × 10−4 | 1.01 × 10−2 | 2.28 × 10−4 | 8.25 × 10−2 | ||||
| HQInh | 7.79 × 10−6 | 1.14 × 10−8 | 2.68 × 10−4 | 1.24 × 10−7 | 1.22 × 10−7 | 1.48 × 10−6 | 3.35 × 10−8 | 2.78 × 10−4 | ||||
| HQdermal | 5.15 × 10−3 | 3.09 × 10−4 | 3.47 × 10−2 | 1.18 × 10−4 | 1.26 × 10−4 | 2.69 × 10−3 | 4.54 × 10−5 | 4.32 × 10−2 | ||||
| HI | 5.81 × 10−2 | 3.87 × 10−4 | 5.24 × 10−2 | 1.00 × 10−3 | 9.82 × 10−4 | 1.28 × 10−2 | 2.73 × 10−4 | 1.26 × 10−1 | ||||
| Contribution (%) | 46.14 | 0.31 | 41.6 | 0.80 | 0.78 | 10.16 | 0.22 | |||||
| CRing | 8.17 × 10−6 | 1.01 × 10−8 | 8.97 × 10−6 | 9.97 × 10−6 | 2.71 × 10−5 | |||||||
| CRinh | 1.21 × 10−8 | 2.46 × 10−11 | 1.11 × 10−7 | 7.25 × 10−10 | 1.23 × 10−7 | |||||||
| CRdermal | 3.26 × 10−7 | 4.03 × 10−10 | 1.43 × 10−5 | 9.95 × 10−6 | 2.46 × 10−5 | |||||||
| TCR | 8.51 × 10−6 | 1.05 × 10−8 | 2.34 × 10−5 | 1.99 × 10−5 | 5.18 × 10−5 | |||||||
| Contribution (%) | 16.4 | 0.02 | 45.1 | 38.5 |
Disclaimer/Publisher’s Note: The statements, opinions and data contained in all publications are solely those of the individual author(s) and contributor(s) and not of MDPI and/or the editor(s). MDPI and/or the editor(s) disclaim responsibility for any injury to people or property resulting from any ideas, methods, instructions or products referred to in the content. |
© 2023 by the authors. Licensee MDPI, Basel, Switzerland. This article is an open access article distributed under the terms and conditions of the Creative Commons Attribution (CC BY) license (https://creativecommons.org/licenses/by/4.0/).
Share and Cite
Santos, P.; Ribeiro, J.; Espinha Marques, J.; Flores, D. Environmental and Health Risk Assessment of Soil Adjacent to a Self-Burning Waste Pile from an Abandoned Coal Mine in Northern Portugal. Environments 2023, 10, 53. https://doi.org/10.3390/environments10030053
Santos P, Ribeiro J, Espinha Marques J, Flores D. Environmental and Health Risk Assessment of Soil Adjacent to a Self-Burning Waste Pile from an Abandoned Coal Mine in Northern Portugal. Environments. 2023; 10(3):53. https://doi.org/10.3390/environments10030053
Chicago/Turabian StyleSantos, Patrícia, Joana Ribeiro, Jorge Espinha Marques, and Deolinda Flores. 2023. "Environmental and Health Risk Assessment of Soil Adjacent to a Self-Burning Waste Pile from an Abandoned Coal Mine in Northern Portugal" Environments 10, no. 3: 53. https://doi.org/10.3390/environments10030053
APA StyleSantos, P., Ribeiro, J., Espinha Marques, J., & Flores, D. (2023). Environmental and Health Risk Assessment of Soil Adjacent to a Self-Burning Waste Pile from an Abandoned Coal Mine in Northern Portugal. Environments, 10(3), 53. https://doi.org/10.3390/environments10030053

