Up to You and up to Them—Achievement and Power Motives as Building Blocks of Leadership Potential and Overall Reputation
Abstract
1. Introduction
“That’s the funny thing about reputation: it’s not up to you. It’s up to them.”—Harvey Specter (Suits)
1.1. Signaling Theory
1.2. Achievement and Power Motive
1.3. Moderating Role of Gender
2. Materials and Methods
2.1. Sample and Procedure
2.2. Measures
2.2.1. Self-Reports of Achievement and Power Motive
2.2.2. Other Reports of Leadership Potential
2.2.3. Other Reports of the Overall Reputation
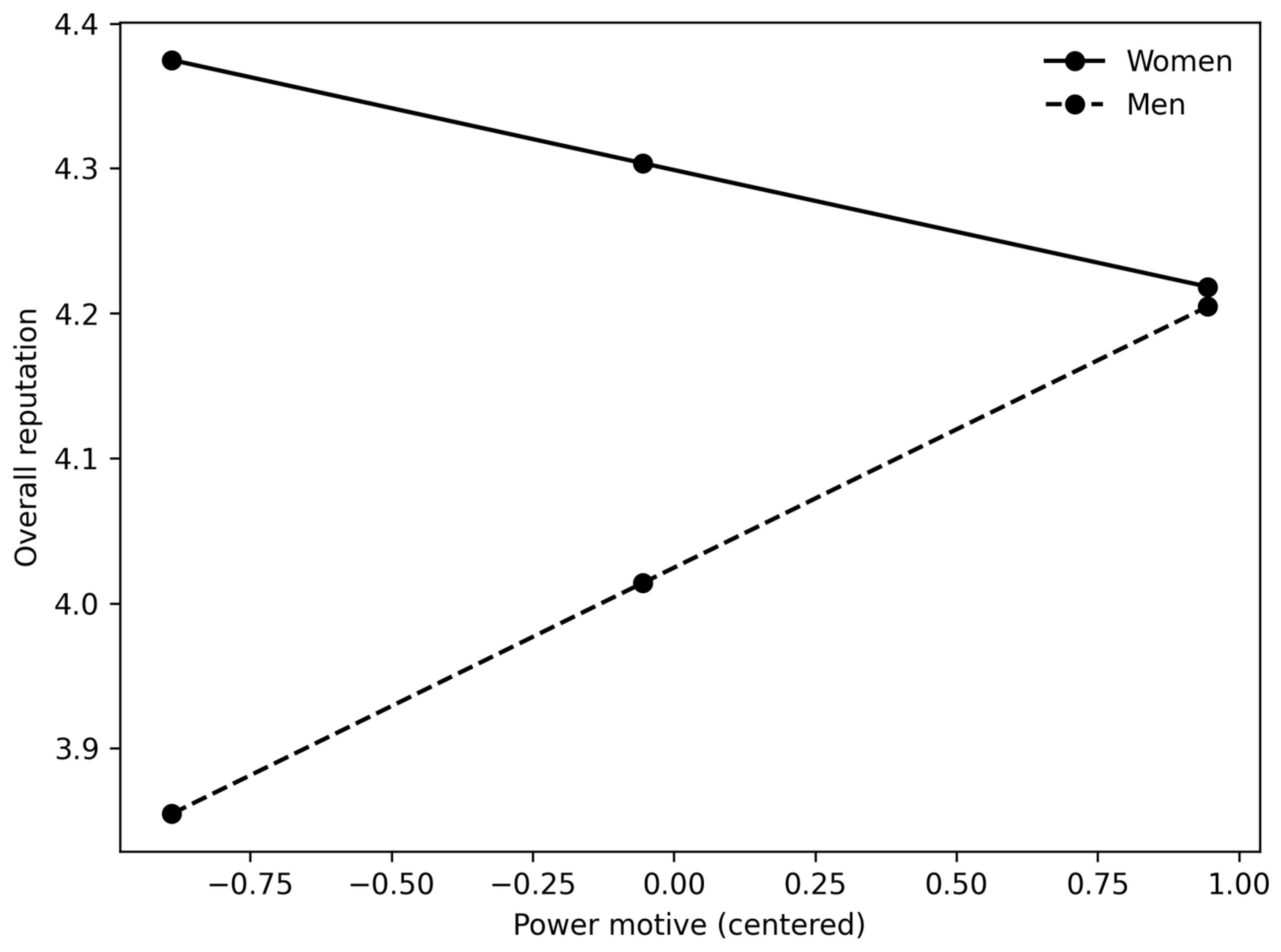
3. Results



4. Discussion
4.1. Practical Implications
4.2. Limitations and Directions for Future Research
Author Contributions
Funding
Institutional Review Board Statement
Informed Consent Statement
Data Availability Statement
Acknowledgments
Conflicts of Interest
References
- Badura, K. L., Grijalva, E., Galvin, B. M., Owens, B. P., & Joseph, D. L. (2020). Motivation to lead: A meta-analysis and distal-proximal model of motivation and leadership. Journal of Applied Psychology, 105(4), 331–354. [Google Scholar] [CrossRef]
- Caplan, B. (2018). The case against education: Why the education system is a waste of time and money. Princeton University Press. [Google Scholar]
- Connelly, B. L., Certo, S. T., Ireland, R. D., & Reutzel, C. R. (2011). Signaling theory: A review and assessment. Journal of Management, 37(1), 39–67. [Google Scholar] [CrossRef]
- Costa, P. T., Jr., Terracciano, A., & McCrae, R. R. (2001). Gender differences in personality traits across cultures: Robust and surprising findings. Journal of Personality and Social Psychology, 81(2), 322–331. [Google Scholar] [CrossRef]
- DeRue, D. S., Nahrgang, J. D., Wellman, N., & Humphrey, S. E. (2011). Trait and behavioral theories of leadership: An integration and meta-analytic test of their relative validity. Personnel Psychology, 64(1), 7–52. [Google Scholar] [CrossRef]
- Eagly, A. H., & Karau, S. J. (2002). Role congruity theory of prejudice toward female leaders. Psychological Review, 109(3), 573–598. [Google Scholar] [CrossRef]
- Ferris, G. R., Blass, F. R., Douglas, C., Kolodinsky, R. W., & Treadway, D. C. (2003). Personal reputation in organizations. In J. Greenberg (Ed.), Organizational behavior: The state of the science (2nd ed., pp. 211–246). Lawrence Erlbaum. [Google Scholar]
- Ferris, G. R., Treadway, D. C., Perrewé, P. L., Brouer, R. L., Douglas, C., & Lux, S. (2007). Political skill in organizations. Journal of Management, 33(3), 290–320. [Google Scholar] [CrossRef]
- Galić, Z., Ružojčić, M., Bubić, A., Trojak, N., Zeljko, L., & LeBreton, J. M. (2021). Measuring the motive for power using conditional reasoning: Some preliminary findings. European Journal of Work and Organizational Psychology, 30(2), 175–191. [Google Scholar] [CrossRef]
- Hayes, A. F. (2018). Introduction to mediation, moderation, and conditional process analysis: A regression-based approach (2nd ed.). Guilford Press. [Google Scholar]
- Heilman, M. E., & Okimoto, T. G. (2007). Why are women penalized for success at male tasks? The implied communality deficit. Journal of Applied Psychology, 92(1), 81–92. [Google Scholar] [CrossRef] [PubMed]
- Hochwarter, W. A., Ferris, G. R., Zinko, R., Arnell, B., & James, M. (2007). Reputation as a moderator of political behavior-work outcomes relationships: A two-study investigation with convergent results. Journal of Applied Psychology, 92(2), 567–576. [Google Scholar] [CrossRef]
- Hogan, R., & Holland, B. (2003). Using theory to evaluate personality and job-performance relations: A socioanalytic perspective. Journal of Applied Psychology, 88(1), 100–112. [Google Scholar] [CrossRef]
- Judge, T. A., Bono, J. E., Ilies, R., & Gerhardt, M. W. (2002). Personality and leadership: A qualitative and quantitative review. Journal of Applied Psychology, 87(4), 765–780. [Google Scholar] [CrossRef]
- Judge, T. A., & Kammeyer-Mueller, J. D. (2012). On the value of aiming high: The causes and consequences of ambition. Journal of Applied Psychology, 97(4), 758–775. [Google Scholar] [CrossRef]
- Kilduff, M., & Day, D. V. (1994). Do chameleons get ahead? The effects of self-monitoring on managerial careers. Academy of Management Journal, 37(4), 1047–1060. [Google Scholar] [CrossRef]
- LaNoue, G. R., & Curtis, J. A. (1985). Evaluative bias and personality characteristics of student raters: Gender and grading leniency. Journal of Educational Psychology, 77(3), 312–319. [Google Scholar]
- McClelland, D. C. (1985). Human motivation. Cup Archive. [Google Scholar]
- McClelland, D. C., & Boyatzis, R. E. (1982). Leadership motive pattern and long-term success in management. Journal of Applied Psychology, 67(6), 737–743. [Google Scholar] [CrossRef]
- Nevicka, B., Van Vianen, A. E. M., De Hoogh, A. H. B., & Voorn, B. C. M. (2018). Narcissistic leaders: An asset or a liability? Leader visibility, follower responses, and group-level absenteeism. Journal of Applied Psychology, 103(7), 703–723. [Google Scholar] [CrossRef] [PubMed]
- Rudman, L. A. (1998). Self-promotion as a risk factor for women: The costs and benefits of counterstereotypical impression management. Journal of Personality and Social Psychology, 74(3), 629–645. [Google Scholar] [CrossRef]
- Ružojčić, M., Galić, Z., & Trojak, N. (2019). The importance of the achievement motive and the power motive for explaining the occupancy of a management position, salary, and intrinsic work motivation. Psihologijske Teme, 28(2), 271–289. [Google Scholar] [CrossRef]
- Schönbrodt, F. D., & Gerstenberg, F. X. R. (2012). An IRT analysis of motive questionnaires: The unified motive scales. Journal of Research in Personality, 46, 725–742. [Google Scholar] [CrossRef]
- Silzer, R., & Church, A. H. (2009). The pearls and perils of identifying potential. Industrial and Organizational Psychology, 2(4), 377–412. [Google Scholar] [CrossRef]
- Spence, A. M. (1973). Job market signaling. Quarterly Journal of Economics, 87(3), 355–374. [Google Scholar] [CrossRef]
- Williams, M. J., & Tiedens, L. Z. (2016). The subtle suspension of backlash: A meta-analysis of penalties for women’s implicit and explicit dominance behavior in leadership contexts. Psychological Bulletin, 142(2), 165–197. [Google Scholar] [CrossRef] [PubMed]
- Winter, D. G. (1973). The power motive. Free Press. [Google Scholar]
- Zinko, R., Ferris, G. R., Blass, F. R., & Laird, M. D. (2007). Toward a theory of reputation in organizations. Research in Personnel and Human Resources Management, 26, 163–204. [Google Scholar] [CrossRef]
- Zinko, R., Ferris, G. R., Humphrey, R. H., Meyer, C. J., & Aime, F. (2012). Personal reputation in organizations: Two-study constructive replication and extension of antecedents and consequences. Journal of Occupational and Organizational Psychology, 85(1), 156–180. [Google Scholar] [CrossRef]
| M (SD) | 1. | 2. | 3. | 4. | 5. | |
|---|---|---|---|---|---|---|
| 1. Gender (Male = 1, Female = 2) | - | - | ||||
| 2. Achievement motive | 3.69 (0.85) | 0.09 | (0.88) | |||
| 3. Power motive | 3.16 (0.92) | 0.04 | 0.60 ** | (0.84) | ||
| 4. Overall reputation | 4.22 (0.73) | 0.17 ** | 0.18 * | 0.02 | (0.53) | |
| 5. Leadership potential | 4.38 (0.75) | 0.17 ** | 0.27 ** | 0.32 ** | 0.51 ** | (0.80) |
| Overall Reputation | ||||||
|---|---|---|---|---|---|---|
| Predictors: | b (SE) | β | RW | Lower 95% CI | Upper 95% CI | p |
| Achievement motive | 0.23 ** (0.07) | 0.26 ** | 0.90 | 0.10 | 0.36 | 0.00 |
| Power motive | −0.11 (0.06) | −0.13 | 0.10 | −0.23 | 0.02 | 0.09 |
| R2 | 0.04 ** | |||||
| Z-test | 3.7 ** | |||||
| Leadership Potential | ||||||
|---|---|---|---|---|---|---|
| Predictors: | b (SE) | β | RW | Lower 95% CI | Upper 95% CI | p |
| Achievement motive | 0.13 (0.07) | 0.14 | 0.39 | −0.06 | 0.26 | 0.06 |
| Power motive | 0.20 ** (0.06) | 0.24 ** | 0.61 | 0.08 | 0.31 | 0.00 |
| R2 | 0.11 ** | |||||
| Z-test | −0.76 | |||||
| Overall Reputation | |||||
|---|---|---|---|---|---|
| Predictors: | b (SE) | β | Lower 95% CI | Upper 95% CI | p |
| Achievement motive | 0.51 ** (0.19) | 0.57 * | 0.13 | 0.89 | 0.01 |
| Gender (Male = 1, Female = 2) | 0.26 ** (0.109) | 0.17 ** | 0.07 | 0.44 | 0.01 |
| Achievement motive × Gender | −0.21 (0.11) | −0.41 | −0.44 | 0.08 | 0.06 |
| R2 | 0.07 ** | ||||
| ΔR2 | 0.013 | ||||
| Leadership Potential | |||||
|---|---|---|---|---|---|
| Predictors: | b (SE) | β | Lower 95% CI | Upper 95% CI | p |
| Achievement motive | 0.64 ** (0.19) | 0.71 ** | 0.26 | 1.03 | 0.00 |
| Gender (Male = 1, Female = 2) | 0.26 * (0.10) | 0.17 * | 0.07 | 0.45 | 0.01 |
| Achievement motive × Gender | −0.24 * (0.11) | −0.46 * | −0.47 | −0.02 | 0.03 |
| R2 | 0.12 ** | ||||
| ΔR2 | 0.016 * | ||||
| Overall Reputation | |||||
|---|---|---|---|---|---|
| Predictors: | b (SE) | β | Lower 95% CI | Upper 95% CI | p |
| Power motive | 0.47 ** (0.17) | 0.58 ** | 0.13 | 0.80 | 0.01 |
| Gender (Male = 1, Female = 2) | 0.27 ** (0.10) | 0.19 ** | 0.09 | 0.46 | 0.00 |
| Power motive × Gender | −0.28 ** (0.10) | −0.58 ** | −0.48 | −0.08 | 0.01 |
| R2 | 0.06 ** | ||||
| ΔR2 | 0.028 ** | ||||
| Leadership Potential | |||||
|---|---|---|---|---|---|
| Predictors: | b (SE) | β | Lower 95% CI | Upper 95% CI | p |
| Power motive | 0.67 ** (0.17) | 0.81 ** | 0.34 | 1.00 | 0.00 |
| Gender (Male = 1, Female = 2) | 0.28 * (0.09) | 0.18 ** | 0.10 | 0.47 | 0.00 |
| Power motive × Gender | −0.25 * (0.10) | −0.51 ** | −0.44 | −0.06 | 0.01 |
| R2 | 0.15 ** | ||||
| ΔR2 | 0.022 * | ||||
Disclaimer/Publisher’s Note: The statements, opinions and data contained in all publications are solely those of the individual author(s) and contributor(s) and not of MDPI and/or the editor(s). MDPI and/or the editor(s) disclaim responsibility for any injury to people or property resulting from any ideas, methods, instructions or products referred to in the content. |
© 2026 by the authors. Licensee MDPI, Basel, Switzerland. This article is an open access article distributed under the terms and conditions of the Creative Commons Attribution (CC BY) license.
Share and Cite
Palanović, A.; Trojak, N.; Galić, Z. Up to You and up to Them—Achievement and Power Motives as Building Blocks of Leadership Potential and Overall Reputation. Behav. Sci. 2026, 16, 131. https://doi.org/10.3390/bs16010131
Palanović A, Trojak N, Galić Z. Up to You and up to Them—Achievement and Power Motives as Building Blocks of Leadership Potential and Overall Reputation. Behavioral Sciences. 2026; 16(1):131. https://doi.org/10.3390/bs16010131
Chicago/Turabian StylePalanović, Antun, Nataša Trojak, and Zvonimir Galić. 2026. "Up to You and up to Them—Achievement and Power Motives as Building Blocks of Leadership Potential and Overall Reputation" Behavioral Sciences 16, no. 1: 131. https://doi.org/10.3390/bs16010131
APA StylePalanović, A., Trojak, N., & Galić, Z. (2026). Up to You and up to Them—Achievement and Power Motives as Building Blocks of Leadership Potential and Overall Reputation. Behavioral Sciences, 16(1), 131. https://doi.org/10.3390/bs16010131

