Brief Mindfulness-Based Intervention for Seniors—An Exploratory Semi-Randomized Examination of Decentering Effects on Cognitive Functions and Psychological Distress
Abstract
1. Introduction
2. Methods
2.1. Trial Design
Ethical Approval and Pre-Registration
2.2. Participants
2.3. Interventions
2.3.1. D-MBIS
2.3.2. Guided Imagery
2.3.3. Control Group
2.4. Outcomes
2.4.1. Primary Cognitive Measures
2.4.2. Primary Psychological Measures
2.5. Sample Size
2.6. Randomization and Blinding
2.7. Implementation and Fidelity
3. Results
3.1. Mindfulness Skills
3.1.1. Non-Judgment
3.1.2. Non-React
3.2. Depression
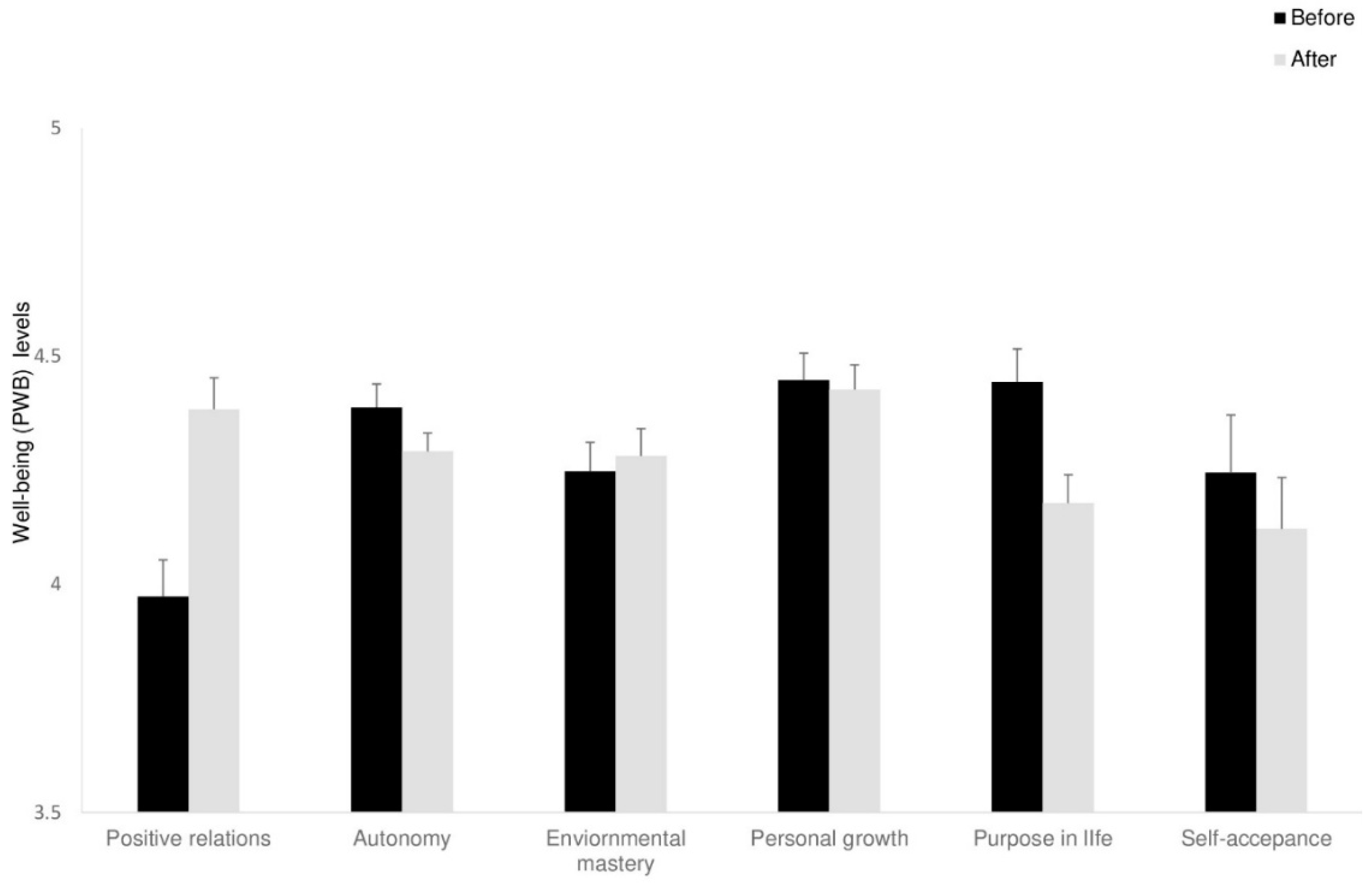
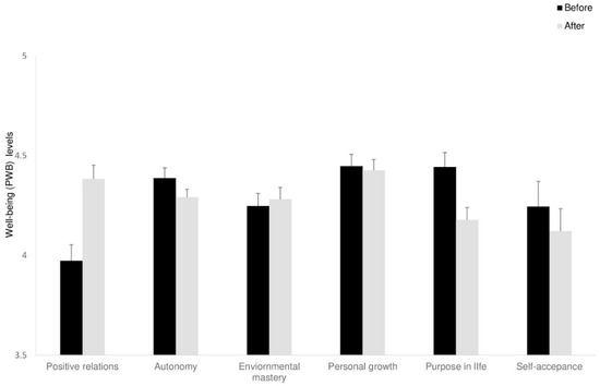
3.3. Psychological Well-Being
Positive Relations
3.4. The Simon Task
3.4.1. Accuracy Rate
3.4.2. Response Time—RT
4. Discussion
4.1. Change in Mindfulness Level
4.2. Change in Psychological Distress
4.3. Change in Cognitive Status
4.4. Broader Contributions, Limitations and Future Directions
5. Conclusions
Supplementary Materials
Author Contributions
Funding
Institutional Review Board Statement
Informed Consent Statement
Data Availability Statement
Conflicts of Interest
References
- Aisenberg, D., & Henik, A. (2012). Stop being neutral: Simon takes control! Quarterly Journal of Experimental Psychology, 65(2), 295–304. [Google Scholar] [CrossRef]
- Aisenberg, D., Sapir, A., Close, A., Henik, A., & d’Avossa, G. (2018). Right anterior cerebellum BOLD responses reflect age related changes in Simon task sequential effects. Neuropsychologia, 109, 155–164. [Google Scholar] [CrossRef] [PubMed]
- Aisenberg, D., Sapir, A., d’Avossa, G., & Henik, A. (2014). Long trial durations normalise the interference effect and sequential updating during healthy aging. Acta Psychologica, 153, 169–178. [Google Scholar] [CrossRef]
- Aisenberg-Shafran, D., Bar-Tur, L., & Levi-Belz, Y. (2021). Who is really at risk? The contribution of death anxiety in suicide risk and loneliness among older adults during the COVID-19 pandemic. Death Studies, 46(10), 2517–2522. [Google Scholar] [CrossRef]
- Aisenberg-Shafran, D., & Harmatz, M. (2023). Improving depressive symptoms and maintaining cognitive abilities of seniors within the nursing homes: A pilot study of brief mindfulness-based interventions for seniors in a semi-randomized trial. Frontiers in Psychology, 13, 994336. [Google Scholar] [CrossRef] [PubMed]
- Alexopoulos, G. S. (2005). Depression in the elderly. The Lancet, 365(9475), 1961–1970. [Google Scholar] [CrossRef] [PubMed]
- Anderson, N. D., Lau, M. A., Segal, Z. V., & Bishop, S. R. (2007). Mindfulness-based stress reduction and attentional control. Clinical Psychology & Psychotherapy: An International Journal of Theory & Practice, 14(6), 449–463. [Google Scholar] [CrossRef]
- Armitage, R., & Nellums, L. B. (2020). COVID-19 and the consequences of isolating the elderly. The Lancet Public Health, 5(5), e256. [Google Scholar] [CrossRef]
- Baer, R. A., Smith, G. T., Hopkins, J., Krietemeyer, J., & Toney, L. (2006). Using self-report assessment methods to explore facets of mindfulness. Assessment, 13(1), 27–45. [Google Scholar] [CrossRef]
- Baer, R. A., Smith, G. T., Lykins, E., Button, D., Krietemeyer, J., Sauer, S., Walsh, E., Duggan, D., & Williams, J. M. G. (2008). Construct validity of the five facet mindfulness questionnaire in meditating and nonmeditating samples. Assessment, 15(3), 329–342. [Google Scholar] [CrossRef]
- Baranski, M. F. S. (2021). No state effects of brief mindfulness meditation on the executive functions of inhibition, shifting, and updating. Journal of Cognitive Enhancement, 5, 311–329. [Google Scholar] [CrossRef]
- Beck, A. T., Steer, R. A., & Brown, G. K. (1996). Manual for the beck depression inventory-II. Psychological Corporation. [Google Scholar]
- Bergen-Cico, D., Possemato, K., & Cheon, S. (2013). Examining the efficacy of a brief mindfulness-based stress reduction (brief MBSR) program on psychological health. Journal of American College Health, 61(6), 348–360. [Google Scholar] [CrossRef] [PubMed]
- Bishop, S. R., Lau, M., Shapiro, S., Carlson, L., Anderson, N. D., Carmody, J., Segal, Z. V., Abbey, S., Speca, M., Velting, D., & Devins, G. (2004). Mindfulness: A proposed operational definition. Clinical Psychology: Science and Practice, 11(3), 230–241. [Google Scholar] [CrossRef]
- Bloch-Jorgensen, Z. T., Cilione, P. J., Yeung, W. W., & Gatt, J. M. (2018). Corrigendum: Centeredness theory: Understanding and measuring well-being across core life domains. Frontiers in Psychology, 9, 1648. [Google Scholar] [CrossRef]
- Botvinick, M., Nystrom, L. E., Fissell, K., Carter, C. S., & Cohen, J. D. (1999). Conflict monitoring versus selection-for-action in anterior cingulate cortex. Nature, 402(6758), 179–181. [Google Scholar] [CrossRef]
- Botvinick, M. M., Braver, T. S., Barch, D. M., Carter, C. S., & Cohen, J. D. (2001). Conflict monitoring and cognitive control. Psychological Review, 108(3), 624. [Google Scholar] [CrossRef] [PubMed]
- Brodaty, H., Heffernan, M., Kochan, N. A., Draper, B., Trollor, J. N., Reppermund, S., Slavin, M. J., & Sachdev, P. S. (2013). Mild cognitive impairment in a community sample: The Sydney memory and ageing study. Alzheimer’s & Dementia, 9(3), 310–317. [Google Scholar] [CrossRef]
- Byers, A. L., Yaffe, K., Covinsky, K. E., Friedman, M. B., & Bruce, M. L. (2010). High occurrence of mood and anxiety disorders among older adults: The national comorbidity survey replication. Archives of General Psychiatry, 67(5), 489–496. [Google Scholar] [CrossRef]
- Cacioppo, J. T., Hughes, M. E., Waite, L. J., Hawkley, L. C., & Thisted, R. A. (2006). Loneliness as a specific risk factor for depressive symptoms: Cross-sectional and longitudinal analyses. Psychology and Aging, 21(1), 140. [Google Scholar] [CrossRef]
- Campbell, K., Thoburn, J. W., & Leonard, H. D. (2017). The mediating effects of stress on the relationship between mindfulness and parental responsiveness. Couple and Family Psychology: Research and Practice, 6(1), 48. [Google Scholar] [CrossRef]
- Carmody, J., & Baer, R. A. (2008). Relationships between mindfulness practice and levels of mindfulness, medical and psychological symptoms and well-being in a mindfulness-based stress reduction program. Journal of Behavioral Medicine, 31(1), 23–33. [Google Scholar] [CrossRef]
- Carmody, J., Baer, R. A., Lykins, E. L. B., & Olendzki, N. (2009). An empirical study of the mechanisms of mindfulness in a mindfulness-based stress reduction program. Journal of Clinical Psychology, 65(6), 613–626. [Google Scholar] [CrossRef]
- Carr, S., & Fang, C. (2023). A gradual separation from the world: A qualitative exploration of existential loneliness in old age. Ageing & Society, 43(6), 1436–1456. [Google Scholar] [CrossRef]
- Cavanagh, K., Strauss, C., Cicconi, F., Griffiths, N., Wyper, A., & Jones, F. (2013). A randomised controlled trial of a brief online mindfulness-based intervention. Behaviour Research and Therapy, 51(9), 573–578. [Google Scholar] [CrossRef] [PubMed]
- Chan, D., & Woollacott, M. (2007). Effects of level of meditation experience on attentional focus: Is the efficiency of executive or orientation networks improved? The Journal of Alternative and Complementary Medicine, 13(6), 651–658. [Google Scholar] [CrossRef]
- Chen, Y., Yang, X., Wang, L., & Zhang, X. (2013). A randomized controlled trial of the effects of brief mindfulness meditation on anxiety symptoms and systolic blood pressure in Chinese nursing students. Nurse Education Today, 33(10), 1166–1172. [Google Scholar] [CrossRef]
- Chiesa, A., & Serretti, A. (2009). Mindfulness-based stress reduction for stress management in healthy people: A review and meta-analysis. The Journal of Alternative and Complementary Medicine, 15(5), 593–600. [Google Scholar] [CrossRef]
- Coffey, K. A., Hartman, M., & Fredrickson, B. L. (2010). Deconstructing mindfulness and constructing mental health: Understanding mindfulness and its mechanisms of action. Mindfulness, 1(4), 235–253. [Google Scholar] [CrossRef]
- Craft, J. L., & Simon, J. R. (1970). Processing symbolic information from a visual display: Interference from an irrelevant directional cue. Journal of Experimental Psychology, 83(3p1), 415. [Google Scholar] [CrossRef]
- Crane, R. (2017). Mindfulness-based cognitive therapy: Distinctive features. Taylor & Francis. [Google Scholar]
- Creswell, J. D. (2017). Mindfulness interventions. Annual Review of Psychology, 68, 491–516. [Google Scholar] [CrossRef]
- De Jong, R., Liang, C.-C., & Lauber, E. (1994). Conditional and unconditional automaticity: A dual-process model of effects of spatial stimulus-response correspondence. Journal of Experimental Psychology: Human Perception and Performance, 20(4), 731–750. [Google Scholar] [CrossRef] [PubMed]
- Du, S., & Ning, Z. (2024). Exploring mindfulness interventions across cultures: A comparative meta-analysis of mindfulness interventions for athletes in Western and Eastern contexts. Frontiers in Psychology, 15, 1449886. [Google Scholar] [CrossRef] [PubMed]
- Feyers, D., Collette, F., D’Argembeau, A., Majerus, S., & Salmon, E. (2010). Neural networks involved in self-judgement in young and elderly adults. Neuroimage, 53(1), 341–347. [Google Scholar] [CrossRef]
- Folstein, M. F., Folstein, S. E., & McHugh, P. R. (1975). “Mini-mental state”: A practical method for grading the cognitive state of patients for the clinician. Journal of Psychiatric Research, 12(3), 189–198. [Google Scholar] [CrossRef]
- Fresco, D. M., Moore, M. T., van Dulmen, M. H., Segal, Z. V., Ma, S. H., Teasdale, J. D., & Williams, J. M. G. (2007). Initial psychometric properties of the experiences questionnaire: Validation of a self-report measure of decentering. Behavior Therapy, 38(3), 234–246. [Google Scholar] [CrossRef] [PubMed]
- Galante, J., Friedrich, C., Dalgleish, T., Jones, P. B., & White, I. R. (2023). Systematic review and individual participant data meta-analysis of randomized controlled trials assessing mindfulness-based programs for mental health promotion. Nature Mental Health, 1(7), 462–476. [Google Scholar] [CrossRef]
- Gallagher, D., Nies, G., & Thompson, L. W. (1982). Reliability of the beck depression inventory with older adults. Journal of Consulting and Clinical Psychology, 50(1), 152. [Google Scholar] [CrossRef]
- Glück, T. M., Tran, U. S., Raninger, S., & Lueger-Schuster, B. (2016). The influence of sense of coherence and mindfulness on PTSD symptoms and posttraumatic cognitions in a sample of elderly Austrian survivors of World War II. International Psychogeriatrics, 28(3), 435–441. [Google Scholar] [CrossRef]
- Goldberg, S. B., Riordan, K. M., Sun, S., & Davidson, R. J. (2022). The empirical status of mindfulness-based interventions: A systematic review of 44 meta-analyses of randomized controlled trials. Perspectives on Psychological Science, 17(1), 108–130. [Google Scholar] [CrossRef]
- Grady, C. (2012). The cognitive neuroscience of ageing. Nature Reviews Neuroscience, 13(7), 491–505. [Google Scholar] [CrossRef]
- Gratton, G., Coles, M. G., & Donchin, E. (1992). Optimizing the use of information: Strategic control of activation of responses. Journal of Experimental Psychology: General, 121(4), 480–506. [Google Scholar] [CrossRef]
- Grossman, P., Niemann, L., Schmidt, S., & Walach, H. (2004). Mindfulness-based stress reduction and health benefits: A meta-analysis. Journal of Psychosomatic Research, 57(1), 35–43. [Google Scholar] [CrossRef] [PubMed]
- Hart, J. (2008). Guided imagery. Alternative and Complementary Therapies, 14(6), 295–299. [Google Scholar] [CrossRef]
- Hartanto, A., Kasturiratna, K. T. A., Chua, Y. J., Ngo, J. A., Ong, J. S., Quek, F. Y., Soh, X. C., & Majeed, N. M. (2023). Does a 15-minute brief mindfulness breathing exercise temporarily enhance inhibitory control and cognitive flexibility? A within-subject experimental approach. Collabra: Psychology, 9(1). [Google Scholar] [CrossRef]
- Hofmann, S. G., Sawyer, A. T., Witt, A. A., & Oh, D. (2010). The effect of mindfulness-based therapy on anxiety and depression: A meta-analytic review. Journal of Consulting and Clinical Psychology, 78(2), 169. [Google Scholar] [CrossRef] [PubMed]
- Hölzel, B. K., Lazar, S. W., Gard, T., Schuman-Olivier, Z., Vago, D. R., & Ott, U. (2011). How does mindfulness meditation work? Proposing mechanisms of action from a conceptual and neural perspective. Perspectives on Psychological Science, 6(6), 537–559. [Google Scholar] [CrossRef]
- Jankowski, T., & Holas, P. (2020). Effects of Brief Mindfulness Meditation on Attention Switching. Mindfulness, 11, 1150–1158. [Google Scholar] [CrossRef]
- Jha, A. P., Morrison, A. B., Dainer-Best, J., Parker, S., Rostrup, N., & Stanley, E. A. (2015). Minds “at attention”: Mindfulness training curbs attentional lapses in military cohorts. PLoS ONE, 10(2), e0116889. [Google Scholar] [CrossRef]
- Josefsson, T., Larsman, P., Broberg, A. G., & Lundh, L. G. (2011). Self-reported mindfulness mediates the relation between meditation experience and psychological well-being. Mindfulness, 2(1), 49–58. [Google Scholar] [CrossRef]
- Kabat-Zinn, J. (1990). Full catastrophe living: Using the wisdom of your body and mind to face stress, pain, and illness. Bantam Books. [Google Scholar]
- Keller, B. Z., Singh, N. N., & Winton, A. S. (2014). Mindfulness-based cognitive approach for seniors (MBCAS): Program development and implementation. Mindfulness, 5(4), 453–459. [Google Scholar] [CrossRef][Green Version]
- Kerns, J. G., Cohen, J. D., MacDonald, A. W., Cho, R. Y., Stenger, V. A., & Carter, C. S. (2004). Anterior cingulate conflict monitoring and adjustments in control. Science, 303(5660), 1023–1026. [Google Scholar] [CrossRef] [PubMed]
- Kessler, R. C., Petukhova, M., Sampson, N. A., Zaslavsky, A. M., & Wittchen, H. U. (2012). Twelve-month and lifetime prevalence and lifetime morbid risk of anxiety and mood disorders in the United States. International Journal of Methods in Psychiatric Research, 21(3), 169–184. [Google Scholar] [CrossRef] [PubMed]
- Kitsumban, V., Thapinta, D., Sirindharo, P. B., & Anders, R. L. (2009). Effect of cognitive mindfulness practice program on depression among elderly Thai women. Pacific Rim International Journal of Nursing Research, 13(2), 95–108. [Google Scholar]
- Kroenke, K., & Spitzer, R. L. (2002). The PHQ-9A new depression diagnostic and severity measure. Psychiatric Annals, 32(9), 509–515. [Google Scholar] [CrossRef]
- Kumar, S., Adiga, K. R., & George, A. (2014). Effectiveness of mindfulness-based stress reduction (MBSR) on stress and anxiety among elderly residing in residential homes. International Journal of Nursing Care, 2(2), 81–85. [Google Scholar] [CrossRef]
- Kunzmann, U., Little, T. D., & Smith, J. (2000). Is age-related stability of subjective well-being a paradox? Cross-sectional and longitudinal evidence from the Berlin Aging Study. Psychology and Aging, 15(3), 511. [Google Scholar] [CrossRef] [PubMed]
- Lancu, I., & Olmer, A. (2006). The min-mental state examination—An up-to-date review. Harefuah, 145(9), 687–690. [Google Scholar]
- Lebois, L. A., Papies, E. K., Gopinath, K., Cabanban, R., Quigley, K. S., Krishnamurthy, V., Barrett, L. F., & Barsalou, L. W. (2015). A shift in perspective: Decentering through mindful attention to imagined stressful events. Neuropsychologia, 75, 505–524. [Google Scholar] [CrossRef]
- Lee, J. Y., Lyoo, I. K., Kim, S. U., Jang, H. S., Lee, D. W., Jeon, H. J., Park, S. C., & Cho, M. J. (2005). Intellect declines in healthy elderly subjects and cerebellum. Psychiatry and Clinical Neurosciences, 59(1), 45–51. [Google Scholar] [CrossRef]
- Mackenzie, C. S., Poulin, P. A., & Seidman-Carlson, R. (2006). A brief mindfulness-based stress reduction intervention for nurses and nurse aides. Applied Nursing Research, 19(2), 105–109. [Google Scholar] [CrossRef]
- MacKenzie, D. M., Copp, P., Shaw, R. J., & Goodwin, G. M. (1996). Brief cognitive screening of the elderly: A comparison of the Mini-Mental State Examination (MMSE), Abbreviated Mental Test (AMT) and Mental Status Questionnaire (MSQ). Psychological Medicine, 26(2), 427–430. [Google Scholar] [CrossRef] [PubMed]
- MacLean, K. A., Ferrer, E., Aichele, S. R., Bridwell, D. A., Zanesco, A. P., Jacobs, T. L., King, B. G., Rosenberg, E. L., Sahdra, B. K., Shaver, P. R., Wallace, B. A., Mangun, G. R., & Saron, C. D. (2010). Intensive meditation training improves perceptual discrimination and sustained attention. Psychological Science, 21(6), 829–839. [Google Scholar] [CrossRef] [PubMed]
- Malette, J., & Oliver, L. (2006). Retirement and existential meaning in the older adult: A qualitative study using life review. Counselling, Psychotherapy, and Health, 2(1), 30–49. [Google Scholar]
- Malinowski, P., Moore, A. W., Mead, B. R., & Gruber, T. (2017). Mindful aging: The effects of regular brief mindfulness practice on electrophysiological markers of cognitive and affective processing in older adults. Mindfulness, 8(1), 78–94. [Google Scholar] [CrossRef]
- Manly, J. J., Bell-McGinty, S., Tang, M. X., Schupf, N., Stern, Y., & Mayeux, R. (2005). Implementing diagnostic criteria and estimating frequency of mild cognitive impairment in an urban community. Archives of Neurology, 62(11), 1739–1746. [Google Scholar] [CrossRef]
- Marzetti, E., & Leeuwenburgh, C. (2006). Skeletal muscle apoptosis, sarcopenia and frailty at old age. Experimental Gerontology, 41(12), 1234–1238. [Google Scholar] [CrossRef]
- McHugh, L., Simpson, A., & Reed, P. (2010). Mindfulness as a potential intervention for stimulus over-selectivity in older adults. Research in Developmental Disabilities, 31(1), 178–184. [Google Scholar] [CrossRef]
- Mitchell, A. J., & Shiri-Feshki, M. (2008). Temporal trends in the long term risk of progression of mild cognitive impairment: A pooled analysis. Journal of Neurology, Neurosurgery & Psychiatry, 79(12), 1386–1391. [Google Scholar] [CrossRef]
- Moore, A., & Malinowski, P. (2009). Meditation, mindfulness and cognitive flexibility. Consciousness and Cognition, 18(1), 176–186. [Google Scholar] [CrossRef]
- Moss, A. S., Reibel, D. K., Greeson, J. M., Thapar, A., Bubb, R., Salmon, J., & Newberg, A. B. (2015). An adapted mindfulness-based stress reduction program for elders in a continuing care retirement community: Quantitative and qualitative results from a pilot randomized controlled trial. Journal of Applied Gerontology, 34(4), 518–538. [Google Scholar] [CrossRef]
- Ochsner, K. N., & Gross, J. J. (2005). The cognitive control of emotion. Trends in Cognitive Sciences, 9(5), 242–249. [Google Scholar] [CrossRef]
- O’Connor, D. W., Pollitt, P. A., Hyde, J. B., Fellows, J. L., Miller, N. D., Brook, C. P. B., & Reiss, B. B. (1989). The reliability and validity of the mini-mental state in a British community survey. Journal of Psychiatric Research, 23(1), 87–96. [Google Scholar] [CrossRef]
- O’Connor, M., Piet, J., & Hougaard, E. (2014). The effects of mindfulness-based cognitive therapy on depressive symptoms in elderly bereaved people with loss-related distress: A controlled pilot study. Mindfulness, 5(4), 400–409. [Google Scholar] [CrossRef]
- Olendzki, A. (2010). Unlimiting mind: The radically experiential psychology of Buddhism. Simon and Schuster. [Google Scholar]
- Ortner, C. N., Kilner, S. J., & Zelazo, P. D. (2007). Mindfulness meditation and reduced emotional interference on a cognitive task. Motivation and Emotion, 31(4), 271–283. [Google Scholar] [CrossRef]
- Pardo, J. V., Lee, J. T., Sheikh, S. A., Surerus-Johnson, C., Shah, H., Munch, K. R., Carlis, J. V., Lewis, S. M., Kuskowski, M. A., & Dysken, M. W. (2007). Where the brain grows old: Decline in anterior cingulate and medial prefrontal function with normal aging. Neuroimage, 35(3), 1231–1237. [Google Scholar] [CrossRef]
- Paul, C., Ayis, S., & Ebrahim, S. (2006). Psychological distress, loneliness and disability in old age. Psychology, Health & Medicine, 11(2), 221–232. [Google Scholar] [CrossRef]
- Perez-Blasco, J., Sales, A., Meléndez, J. C., & Mayordomo, T. (2016). The effects of mindfulness and self-compassion on improving the capacity to adapt to stress situations in elderly people living in the community. Clinical Gerontologist, 39(2), 90–103. [Google Scholar] [CrossRef]
- Perilli, E., Perazzini, M., Di Giacomo, D., Marrelli, A., & Ciuffini, R. (2020). Mindfulness attitude, emotions and forgiveness in adolescence: A correlational research. Rivista di Psichiatria, 55(5), 308–318. [Google Scholar] [CrossRef]
- Proctor, R. W., & Lu, C. H. (1994). Referential coding and attention-shifting accounts of the Simon effect. Psychological Research, 56(3), 185–195. [Google Scholar] [CrossRef]
- Quek, F. Y., Majeed, N. M., Kothari, M., Lua, V. Y., Ong, H. S., & Hartanto, A. (2021). Brief mindfulness breathing exercises and working memory capacity: Findings from two experimental approaches. Brain Sciences, 11(2), 175. [Google Scholar] [CrossRef]
- Rau, H. K., & Williams, P. G. (2016). Dispositional mindfulness: A critical review of construct validation research. Personality and Individual Differences, 93, 32–43. [Google Scholar] [CrossRef]
- Raz, N., Lindenberger, U., Rodrigue, K. M., Kennedy, K. M., Head, D., Williamson, A., Dahle, C., Gerstorf, D., & Acker, J. D. (2005). Regional brain changes in aging healthy adults: General trends, individual differences and modifiers. Cerebral Cortex, 15(11), 1676–1689. [Google Scholar] [CrossRef] [PubMed]
- Reichstadt, J., Depp, C. A., Palinkas, L. A., & Jeste, D. V. (2007). Building blocks of successful aging: A focus group study of older adults’ perceived contributors to successful aging. The American Journal of Geriatric Psychiatry, 15(3), 194–201. [Google Scholar] [CrossRef]
- Ryff, C. D., & Keyes, C. L. M. (1995). The structure of psychological well-being revisited. Journal of Personality and Social Psychology, 69(4), 719. [Google Scholar] [CrossRef] [PubMed]
- Salthouse, T. A. (2016). Theoretical perspectives on cognitive aging. Psychology Press. [Google Scholar] [CrossRef]
- Salzer, Y., Aisenberg, D., Oron-Gilad, T., & Henik, A. (2014). In touch with the Simon effect* The first two authors contributed equally. Experimental Psychology, 61, 165–179. [Google Scholar] [CrossRef] [PubMed]
- Schmitt, H., Ferdinand, N. K., & Kray, J. (2014). Age-differential effects on updating cue information: Evidence from event-related potentials. Cognitive, Affective, & Behavioral Neuroscience, 14(3), 1115–1131. [Google Scholar] [CrossRef]
- Schumer, M. C., Lindsay, E. K., & Creswell, J. D. (2018). Brief mindfulness training for negative affectivity: A systematic review and meta-analysis. Journal of Consulting and Clinical Psychology, 86(7), 569–583. [Google Scholar] [CrossRef]
- Serby, M., & Yu, M. (2003). Overview: Depression in the elderly. The Mount Sinai Journal of Medicine, New York, 70(1), 38–44. [Google Scholar]
- Shapiro, S. L., Carlson, L. E., Astin, J. A., & Freedman, B. (2006). Mechanisms of mindfulness. Journal of Clinical Psychology, 62(3), 373–386. [Google Scholar] [CrossRef]
- Shearer, A., Hunt, M., Chowdhury, M., & Nicol, L. (2016). Effects of a brief mindfulness meditation intervention on student stress and heart rate variability. International Journal of Stress Management, 23(2), 232. [Google Scholar] [CrossRef]
- Simon, J. R., & Small, A. M., Jr. (1969). Processing auditory information: Interference from an irrelevant cue. Journal of Applied Psychology, 53(5), 433. [Google Scholar] [CrossRef] [PubMed]
- Smith, A., Graham, L., & Senthinathan, S. (2007). Mindfulness-based cognitive therapy for recurring depression in older people: A qualitative study. Aging and Mental Health, 11(3), 346–357. [Google Scholar] [CrossRef]
- Soltani, M., Shairi, M. R., Roshan, R., & Rahimi, C. R. (2014). The impact of emotionally focused therapy on emotional distress in infertile couples. International Journal of Fertility & Sterility, 7(4), 337–344. [Google Scholar]
- Somaraju, L. H., Temple, E. C., Bizo, L. A., & Cocks, B. (2023). Brief mindfulness meditation: Can it make a real difference? Current Psychology, 42, 5530–5542. [Google Scholar] [CrossRef]
- Teasdale, J. D., Moore, R. G., Hayhurst, H., Pope, M., Williams, S., & Segal, Z. V. (2002). Metacognitive awareness and prevention of relapse in depression: Empirical evidence. Journal of Consulting and Clinical Psychology, 70(2), 275. [Google Scholar] [CrossRef]
- Thorpe, J. M., Kalinowski, C. T., Patterson, M. E., & Sleath, B. L. (2006). Psychological distress as a barrier to preventive care in community-dwelling elderly in the United States. Medical Care, 187–191. [Google Scholar] [CrossRef]
- Umiltà, C., & Nicoletti, R. (1985). Attention and coding effects in SR compatibility due to irrelevant spatial cues. In I. M. Posner, & O. S. M. Marin (Eds.), Attention and performance XI (pp. 457–471). Lawrence Erlbaum Associates. [Google Scholar]
- Upchurch, D. M., & Johnson, P. J. (2019). Gender differences in prevalence, patterns, purposes, and perceived benefits of meditation practices in the United States. Journal of Women’s Health, 28(2), 135–142. [Google Scholar] [CrossRef] [PubMed]
- Vago, D. R., & Silbersweig, D. A. (2012). Self-awareness, self-regulation, and self-transcendence (S-ART): A framework for understanding the neurobiological mechanisms of mindfulness. Frontiers in Human Neuroscience, 6, 296. [Google Scholar] [CrossRef]
- Van der Lubbe, R. H., & Verleger, R. (2002). Aging and the Simon task. Psychophysiology, 39(1), 100–110. [Google Scholar] [CrossRef]
- Verhaeghen, P. (2021). Mindfulness as attention training: Meta-analyses on the links between attention performance and mindfulness interventions, long-term meditation practice, and trait mindfulness. Mindfulness, 12, 564–581. [Google Scholar] [CrossRef]
- West, R., & Alain, C. (2000). Age-related decline in inhibitory control contributes to the increased Stroop effect observed in older adults. Psychophysiology, 37(2), 179–189. [Google Scholar] [CrossRef] [PubMed]
- Wühr, P., & Ansorge, U. (2005). Exploring trial-by-trial modulations of the Simon effect. The Quarterly Journal of Experimental Psychology Section A, 58(4), 705–731. [Google Scholar] [CrossRef]
- Yon, A., & Scogin, F. (2008). Behavioral activation as a treatment for geriatric depression. Clinical Gerontologist, 32(1), 91–103. [Google Scholar] [CrossRef]
- Young, L. A., & Baime, M. J. (2010). Mindfulness-based stress reduction: Effect on emotional distress in older adults. Complementary Health Practice Review, 15(2), 59–64. [Google Scholar] [CrossRef]
- Zeidan, F., Johnson, S. K., Diamond, B. J., David, Z., & Goolkasian, P. (2010). Mindfulness meditation improves cognition: Evidence of brief mental training. Consciousness and Cognition, 19(2), 597–605. [Google Scholar] [CrossRef]
- Zenner, C., Herrnleben-Kurz, S., & Walach, H. (2014). Mindfulness-based interventions in schools—A systematic review and meta-analysis. Frontiers in Psychology, 5, 603. [Google Scholar] [CrossRef]
- Zhang, D., Lee, E. K., Mak, E. C., Ho, C. Y., & Wong, S. Y. (2021). Mindfulness-based interventions: An overall review. British Medical Bulletin, 138(1), 41–57. [Google Scholar] [CrossRef]
- Zhang, J. X., Liu, X. H., Xie, X. H., Zhao, D., Shan, M. S., Zhang, X. L., Kong, X. M., & Cui, H. (2015). Mindfulness-based stress reduction for chronic insomnia in adults older than 75 years: A randomized, controlled, single-blind clinical trial. Explore, 11(3), 180–185. [Google Scholar] [CrossRef]







| Guided Imagery | D-MBIS | Control Group | N | df | Parameter | p-Value | |
|---|---|---|---|---|---|---|---|
| n (women) | 7 (6) | 7 (6) | 16 (11) | 30 (23) | |||
| Age | 76.4 * (5.5) ** | 73.6 (4.3) | 74.5 (3.8) | 14 | 2.27 | F < 1 | n.s. |
| Education | 15.9 (2.9) | 14.7 (3.0) | 14.4 (3.0) | 14 | 2.27 | F < 1 | n.s. |
| Unattended Sessions | 1.57 (0.98) | 1.86 (1.21) | - | 14 | 1.27 | t = 0.49 | n.s. |
| Language | all reported the maximum level (5), reflecting mother-tongue level | ||||||
Disclaimer/Publisher’s Note: The statements, opinions and data contained in all publications are solely those of the individual author(s) and contributor(s) and not of MDPI and/or the editor(s). MDPI and/or the editor(s) disclaim responsibility for any injury to people or property resulting from any ideas, methods, instructions or products referred to in the content. |
© 2025 by the authors. Licensee MDPI, Basel, Switzerland. This article is an open access article distributed under the terms and conditions of the Creative Commons Attribution (CC BY) license (https://creativecommons.org/licenses/by/4.0/).
Share and Cite
Katzenelenbogen, O.; Aisenberg-Shafran, D. Brief Mindfulness-Based Intervention for Seniors—An Exploratory Semi-Randomized Examination of Decentering Effects on Cognitive Functions and Psychological Distress. Behav. Sci. 2025, 15, 466. https://doi.org/10.3390/bs15040466
Katzenelenbogen O, Aisenberg-Shafran D. Brief Mindfulness-Based Intervention for Seniors—An Exploratory Semi-Randomized Examination of Decentering Effects on Cognitive Functions and Psychological Distress. Behavioral Sciences. 2025; 15(4):466. https://doi.org/10.3390/bs15040466
Chicago/Turabian StyleKatzenelenbogen, Ophir, and Daniela Aisenberg-Shafran. 2025. "Brief Mindfulness-Based Intervention for Seniors—An Exploratory Semi-Randomized Examination of Decentering Effects on Cognitive Functions and Psychological Distress" Behavioral Sciences 15, no. 4: 466. https://doi.org/10.3390/bs15040466
APA StyleKatzenelenbogen, O., & Aisenberg-Shafran, D. (2025). Brief Mindfulness-Based Intervention for Seniors—An Exploratory Semi-Randomized Examination of Decentering Effects on Cognitive Functions and Psychological Distress. Behavioral Sciences, 15(4), 466. https://doi.org/10.3390/bs15040466

