Capturing the Developmental Changes in Cognitive Control Engagement in Chinese Preschoolers
Abstract
1. Introduction
2. Methods
2.1. Participants and Procedure
2.2. Measurements
2.3. Data Pre-Processing
3. Data Analysis and Results
3.1. AX-CPT
3.2. CTS
4. Discussion
5. Conclusions
Author Contributions
Funding
Institutional Review Board Statement
Informed Consent Statement
Data Availability Statement
Conflicts of Interest
References
- Andrews-Hanna, J. R., Mackiewicz Seghete, K. L., Claus, E. D., Burgess, G. C., Ruzic, L., & Banich, M. T. (2011). Cognitive control in adolescence: Neural underpinnings and relation to self-report behaviors. PLoS ONE, 6(6), e21598. [Google Scholar] [CrossRef] [PubMed]
- Blackwell, K. A., & Munakata, Y. (2014). Costs and benefits linked to developments in cognitive control. Developmental Science, 17(2), 203–211. [Google Scholar] [CrossRef] [PubMed]
- Braver, T. S. (2012). The variable nature of cognitive control: A dual-mechanisms framework. Trends in Cognitive Sciences, 16(2), 106–113. [Google Scholar] [CrossRef] [PubMed]
- Braver, T. S., Gray, J. R., & Burgess, G. C. (2007). Explaining the many varieties of working memory variation: Dual mechanisms of cognitive control. In A. Conway, M. J. Kane, A. Miyake, & J. N. Towse (Eds.), Variation in working memory (pp. 76–106). Oxford University Press. [Google Scholar]
- Braver, T. S., Paxton, J. L., Locke, H. S., & Barch, D. M. (2009). Flexible neural mechanisms of cognitive control within human prefrontal cortex. Proceedings of the National Academy of Sciences, 106(18), 7351–7356. [Google Scholar] [CrossRef]
- Braver, T. S., Satpute, A. B., Rush, B. K., Racine, C. A., & Barch, D. M. (2005). Context processing and context maintenance in healthy aging and early stage dementia of the Alzheimer’s type. Psychology and Aging, 20(1), 33–46. [Google Scholar] [CrossRef]
- Chatham, C. H., Frank, M. J., & Munakata, Y. (2009). Pupillometric and behavioral markers of a developmental shift in the temporal dynamics of cognitive control. Proceedings of the National Academy of Sciences, 106(14), 5529–5533. [Google Scholar] [CrossRef]
- Chevalier, N. (2015). The development of executive function: Toward more optimal coordination of control with age. Child Development Perspectives, 9(4), 239–244. [Google Scholar] [CrossRef]
- Chevalier, N., & Blaye, A. (2016). Metacognitive monitoring of executive control engagement during childhood. Child Development, 87(4), 1264–1276. [Google Scholar] [CrossRef]
- Chevalier, N., James, T. D., Wiebe, S. A., Nelson, J. M., & Espy, K. A. (2014). Contribution of reactive and proactive control to children’s working memory performance: Insight from item recall durations in response sequence planning. Developmental Psychology, 50(7), 1999–2008. [Google Scholar] [CrossRef]
- Chevalier, N., Martis, S. B., Curran, T., & Munakata, Y. (2015). Metacognitive processes in executive control development: The case of reactive and proactive control. Journal of Cognitive Neuroscience, 27(6), 1125–1136. [Google Scholar] [CrossRef]
- Chevalier, N., Meaney, J. A., Traut, H. J., & Munakata, Y. (2020). Adaptiveness in proactive control engagement in children and adults. Developmental Cognitive Neuroscience, 46, 100870. [Google Scholar] [CrossRef] [PubMed]
- Cumming, G. (2012). Understanding the new statistics: Effect sizes, confidence intervals, and meta-analysis. Routledge/Taylor & Francis Group. [Google Scholar]
- Czernochowski, D. (2015). ERPs dissociate proactive and reactive control: Evidence from a task-switching paradigm with informative and uninformative cues. Cognitive, Affective, & Behavioral Neuroscience, 15(1), 117–131. [Google Scholar] [CrossRef]
- Doebel, S., Barker, J. E., Chevalier, N., Michaelson, L. E., Fisher, A. V., & Munakata, Y. (2017). Getting ready to use control: Advances in the measurement of young children’s use of proactive control. PLoS ONE, 12(4), e0175072. [Google Scholar] [CrossRef] [PubMed]
- Gonthier, C., Macnamara, B., Chow, M., Conway, A. R. A., & Braver, T. S. (2016). Inducing proactive control shifts in the AX-CPT. Frontiers in Psychology, 7, 1822. [Google Scholar] [CrossRef]
- Gonthier, C., Zira, M., Colé, P., & Blaye, A. (2019). Evidencing the developmental shift from reactive to proactive control in early childhood and its relationship to working memory. Journal of Experimental Child Psychology, 177, 1–16. [Google Scholar] [CrossRef]
- Imada, T., Carlson, S. M., & Itakura, S. (2013). East West cultural differences in context-sensitivity are evident in early childhood. Developmental Science, 16(2), 198–208. [Google Scholar] [CrossRef]
- Iselin, A. M. R., & DeCoster, J. (2009). Reactive and proactive control in incarcerated and community adolescents and young adults. Cognitive Development, 24(2), 192–206. [Google Scholar] [CrossRef]
- Kubota, M., Hadley, L. V., Schaeffner, S., Könen, T., Meaney, J., Auyeung, B., Morey, C. C., Karbach, J., & Chevalier, N. (2020). Consistent use of proactive control and relation with academic achievement in childhood. Cognition, 203, 104329. [Google Scholar] [CrossRef]
- Lorsbach, T. C., & Reimer, J. F. (2010). Developmental differences in cognitive control: Goal representation and maintenance during a continuous performance task. Journal of Cognition and Development, 11(2), 185–216. [Google Scholar] [CrossRef]
- Lucenet, J., & Blaye, A. (2014). Age-related changes in the temporal dynamics of executive control: A study in 5-and 6-year-old children. Frontiers in Psychology, 5, 831. [Google Scholar] [CrossRef]
- Moffitt, T. E., Arseneault, L., Belsky, D., Dickson, N., Hancox, R. J., Harrington, H., Houts, R., Poulton, R., Roberts, B. W., Ross, P., Sears, M. R., Thomson, W. M., Caspi, A., & Heckman, J. J. (2011). A gradient of childhood self-control predicts health, wealth, and public safety. Proceedings of the National Academy of Sciences, 108(7), 2693–2698. [Google Scholar] [CrossRef] [PubMed]
- Ng, F. Y., Tamis-Lemonda, C., Yoshikawa, H., & Sze, N. L. (2015). Inhibitory control in preschool predicts early math skills in first grade: Evidence from an ethnically diverse sample. International Journal of Behavioral Development, 39(2), 139–149. [Google Scholar] [CrossRef]
- Niebaum, J., & Munakata, Y. (2020). Deciding what to do: Developments in Children’s spontaneous monitoring of cognitive demands. Child Development Perspectives, 14(4), 202–207. [Google Scholar] [CrossRef]
- Oh, S., & Lewis, C. (2008). Korean preschoolers’ advanced inhibitory control and its relation to other executive skills and mental state understanding. Child Development, 79(1), 80–99. [Google Scholar] [CrossRef] [PubMed]
- Ryman, S. G., El Shaikh, A. A., Shaff, N. A., Hanlon, F. M., Dodd, A. B., Wertz, C. J., Ling, J. M., Barch, D. M., Stromberg, S. F., Lin, D. S., Abrams, S., & Mayer, A. R. (2019). Proactive and reactive cognitive control rely on flexible use of the ventrolateral prefrontal cortex. Human Brain Mapping, 40(3), 955–966. [Google Scholar] [CrossRef]
- Sabbagh, M. A., Xu, F., Carlson, S. M., Moses, L. J., & Lee, K. (2006). The development of executive functioning and theory of mind. A comparison of Chinese and U.S. preschoolers. Psychological Science, 17(1), 74–81. [Google Scholar] [CrossRef]



| Reaction Time (ms) | Accuracy | ||||||||||||
|---|---|---|---|---|---|---|---|---|---|---|---|---|---|
| T1 | T2 | T1 vs. T2 | T1 | T2 | T1 vs. T2 | ||||||||
| Trial Type | M | SD | M | SD | t | d | M | SD | M | SD | t | d | |
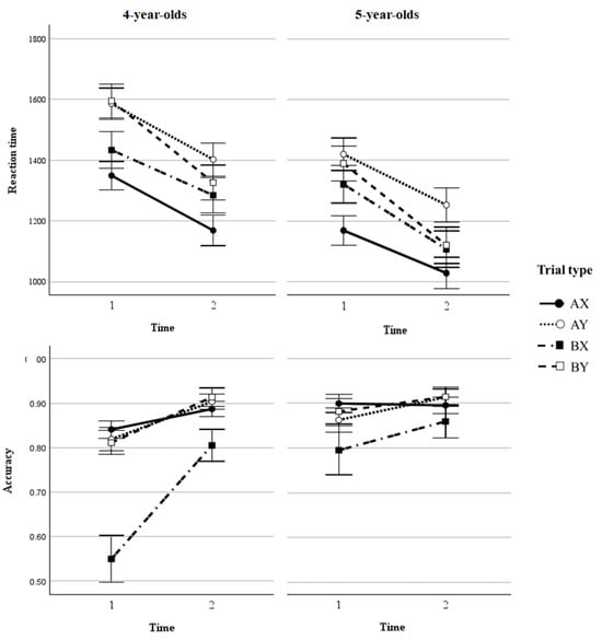
| AX-CPT | 4-year-olds (n = 31) | ||||||||||||
| AX | 1350 | 274 | 1169 | 327 | 2.90 ** | 0.52 | 0.84 | 0.12 | 0.89 | 0.10 | −1.67 | −0.30 | |
| AY | 1586 | 281 | 1402 | 336 | 2.89 ** | 0.52 | 0.82 | 0.15 | 0.90 | 0.11 | −3.00 ** | −0.54 | |
| BX | 1434 | 344 | 1285 | 327 | 2.43 * | 0.44 | 0.55 | 0.33 | 0.81 | 0.22 | −4.66 *** | −0.84 | |
| BY | 1596 | 317 | 1327 | 322 | 4.36 *** | 0.78 | 0.81 | 0.16 | 0.91 | 0.11 | −3.20 ** | −0.58 | |
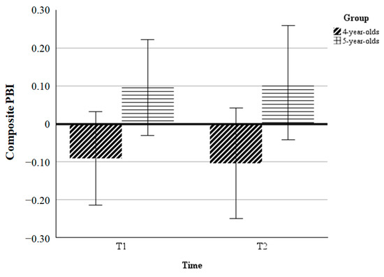
| PBI | 0.06 | 0.12 | 0.05 | 0.13 | 0.32 | 0.08 | −0.30 | 0.45 | −0.18 | 0.44 | −1.19 | 0.27 | |
| 5-year-olds (n = 29) | |||||||||||||
| AX | 1169 | 241 | 1028 | 218 | 3.00 ** | 0.56 | 0.90 | 0.09 | 0.90 | 0.10 | 0.29 | 0.05 | |
| AY | 1420 | 298 | 1253 | 266 | 2.85 ** | 0.53 | 0.86 | 0.15 | 0.91 | 0.09 | −1.85 | −0.34 | |
| BX | 1321 | 323 | 1107 | 321 | 2.67 * | 0.50 | 0.80 | 0.25 | 0.86 | 0.17 | −1.47 | −0.27 | |
| BY | 1390 | 305 | 1120 | 325 | 3.90 *** | 0.72 | 0.88 | 0.15 | 0.91 | 0.13 | −1.19 | −0.22 | |
| PBI | 0.14 | 0.10 | 0.07 | 0.11 | −1.11 | 0.67 | −0.06 | 0.47 | −0.07 | 0.48 | 0.15 | 0.02 | |
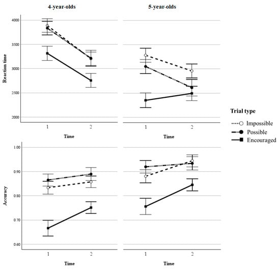
| CTS | 4-year-olds (n = 31) | ||||||||||||
| Impossible | 3889 | 854 | 3204 | 699 | 3.27 ** | 0.59 | 0.83 | 0.14 | 0.86 | 0.17 | −0.64 | −0.12 | |
| Possible | 3835 | 765 | 3214 | 869 | 3.08 ** | 0.55 | 0.87 | 0.16 | 0.89 | 0.16 | −0.76 | −0.14 | |
| Encouraged | 3315 | 982 | 2755 | 664 | 2.83 ** | 0.51 | 0.67 | 0.18 | 0.75 | 0.14 | −2.39 * | −0.43 | |
| 5-year-olds (n = 29) | |||||||||||||
| Impossible | 3282 | 708 | 2957 | 842 | 1.94 | 0.36 | 0.88 | 0.15 | 0.94 | 0.07 | −2.28 * | −0.42 | |
| Possible | 3050 | 802 | 2612 | 960 | 2.47 * | 0.46 | 0.92 | 0.12 | 0.93 | 0.13 | −0.42 | −0.08 | |
| Encouraged | 2351 | 580 | 2494 | 920 | −0.67 | −0.13 | 0.76 | 0.18 | 0.85 | 0.13 | −3.23 ** | −0.60 | |
| AX-CPT | CTS | |||||||||||
|---|---|---|---|---|---|---|---|---|---|---|---|---|
| Reaction Time | Accuracy | Reaction Time | Accuracy | |||||||||
| F | p | η2p | F | p | η2p | F | p | η2p | F | p | η2p | |
| Test session | 29.44 | <0.001 *** | 0.34 | 27.82 | <0.001 *** | 0.32 | 13.40 | <0.001 *** | 0.19 | 8.71 | 0.005 ** | 0.13 |
| Trial type | 29.03 | <0.001 *** | 0.33 | 17.31 | <0.001 *** | 0.23 | 30.18 | <0.001 *** | 0.34 | 45.35 | <0.001 *** | 0.44 |
| Age group | 9.12 | 0.004 ** | 0.14 | 7.25 | 0.009 ** | 0.11 | 20.55 | <0.001 *** | 0.26 | 8.58 | 0.005 ** | 0.13 |
| Test session × Trial type | 2.57 | 0.056 + | 0.04 | 7.06 | <0.001 *** | 0.11 | 3.36 | 0.038 * | 0.06 | 3.12 | 0.048 * | 0.05 |
| Test session × Age group | 0.00 | 0.977 | 0.00 | 8.29 | 0.006 ** | 0.13 | 3.37 | 0.07 + | 0.06 | 0.11 | 0.740 | 0.00 |
| Trial type × Age group | 0.50 | 0.685 | 0.01 | 3.79 | 0.011 * | 0.06 | 1.43 | 0.243 | 0.02 | 0.82 | 0.445 | 0.01 |
| Test session × Trial type × Age group | 0.53 | 0.660 | 0.01 | 2.67 | 0.049 * | 0.04 | 1.85 | 0.163 | 0.03 | 0.44 | 0.645 | 0.01 |
Disclaimer/Publisher’s Note: The statements, opinions and data contained in all publications are solely those of the individual author(s) and contributor(s) and not of MDPI and/or the editor(s). MDPI and/or the editor(s) disclaim responsibility for any injury to people or property resulting from any ideas, methods, instructions or products referred to in the content. |
© 2025 by the authors. Licensee MDPI, Basel, Switzerland. This article is an open access article distributed under the terms and conditions of the Creative Commons Attribution (CC BY) license (https://creativecommons.org/licenses/by/4.0/).
Share and Cite
Ji, X.; Deng, Y.; Zhang, Q.; Zhou, Y. Capturing the Developmental Changes in Cognitive Control Engagement in Chinese Preschoolers. Behav. Sci. 2025, 15, 142. https://doi.org/10.3390/bs15020142
Ji X, Deng Y, Zhang Q, Zhou Y. Capturing the Developmental Changes in Cognitive Control Engagement in Chinese Preschoolers. Behavioral Sciences. 2025; 15(2):142. https://doi.org/10.3390/bs15020142
Chicago/Turabian StyleJi, Xufeng, Yihao Deng, Qiong Zhang, and Yanlin Zhou. 2025. "Capturing the Developmental Changes in Cognitive Control Engagement in Chinese Preschoolers" Behavioral Sciences 15, no. 2: 142. https://doi.org/10.3390/bs15020142
APA StyleJi, X., Deng, Y., Zhang, Q., & Zhou, Y. (2025). Capturing the Developmental Changes in Cognitive Control Engagement in Chinese Preschoolers. Behavioral Sciences, 15(2), 142. https://doi.org/10.3390/bs15020142

