Perceptual, Not Attentional, Guidance Drives Happy Superiority in Complex Visual Search
Abstract
1. Introduction
2. Materials and Methods
2.1. Participants
2.2. Apparatus
2.3. Stimuli
2.4. Visual Search Experiment
2.5. Procedure
2.6. Gaze Fixation Detection
2.7. Visual Search Analysis
2.8. Image Feature Extraction
2.9. Search Behavior Metrics for Modeling
2.10. Modeling Procedures—Within Conditions
2.11. Modeling Procedures—Between Conditions
3. Results
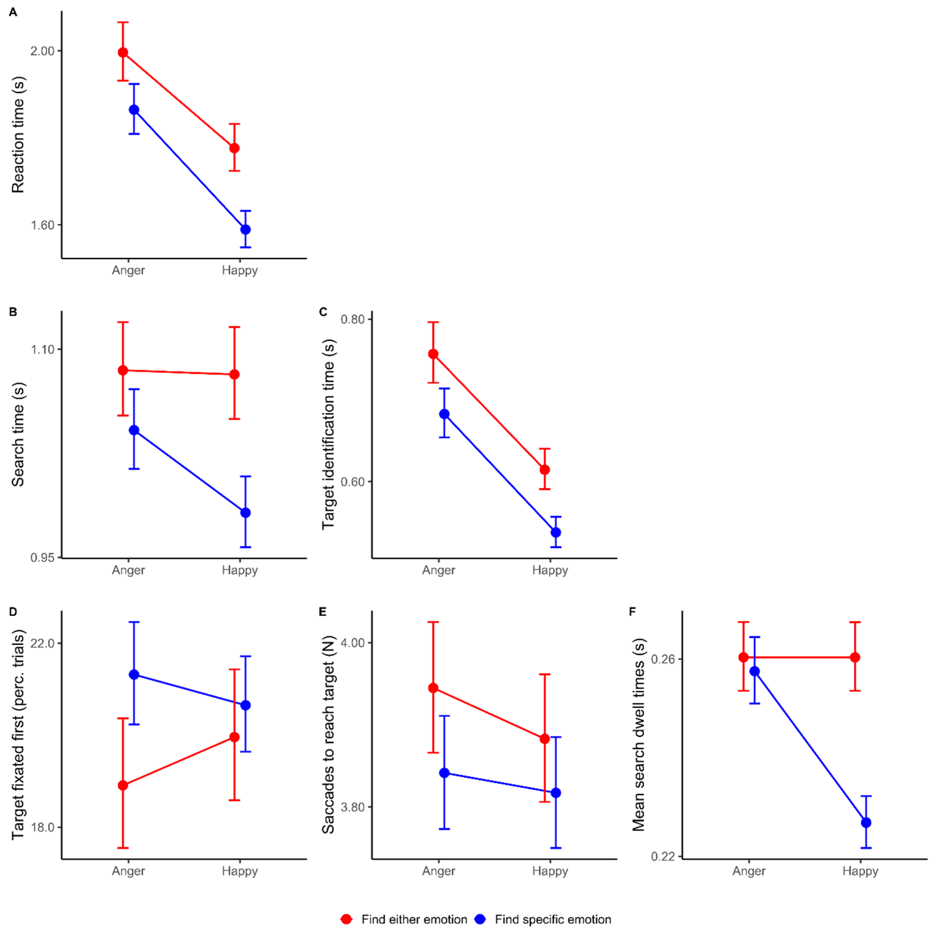
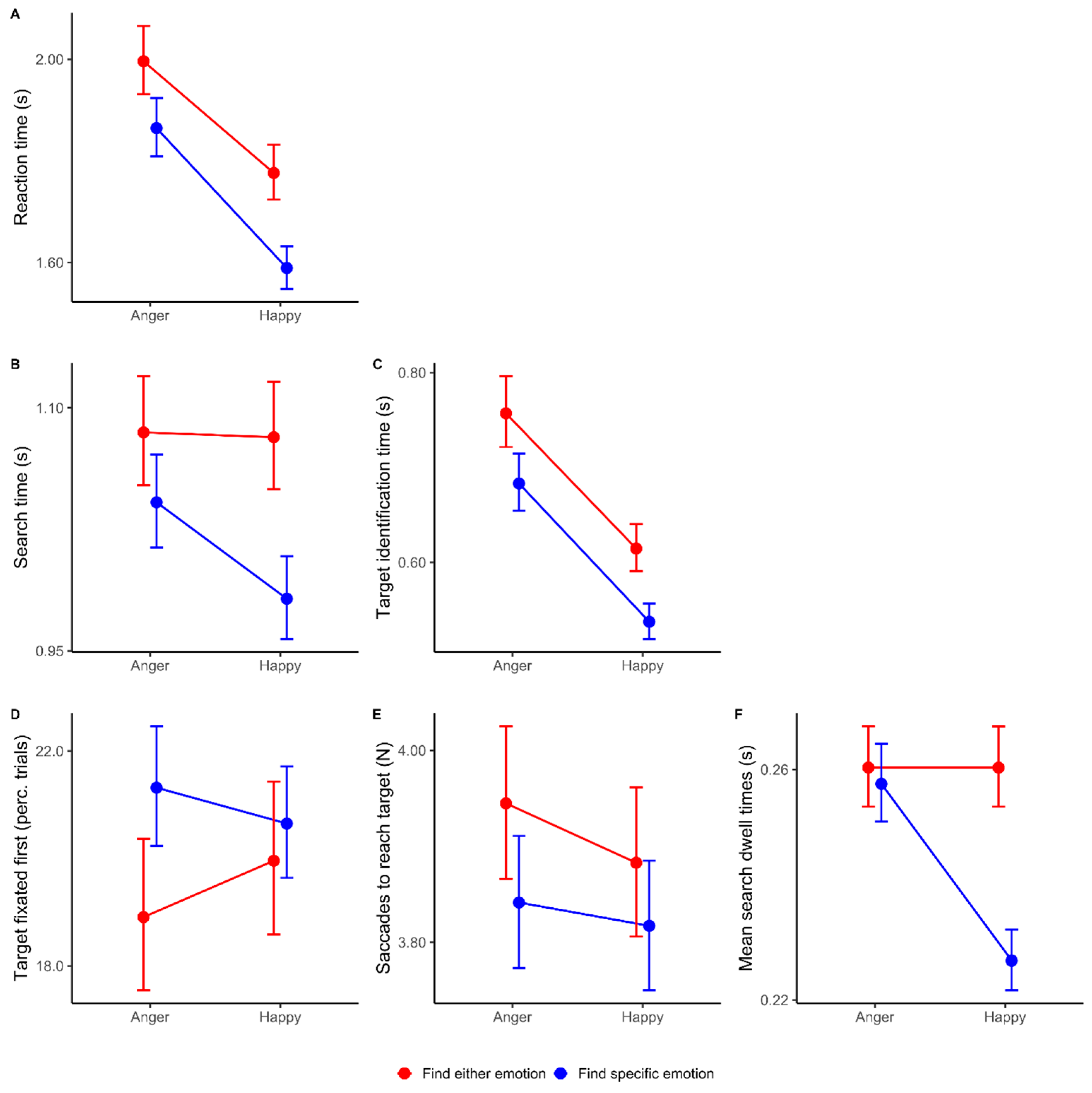
3.1. Reaction Times
3.2. Search and Target Identification Times
3.3. Dwell Times, First Fixations, and Number of Saccades During Search
3.4. Reaction Time Summary
3.5. Decoding Distractor-Related Behaviors
4. Discussion
5. Conclusions
Author Contributions
Funding
Institutional Review Board Statement
Informed Consent Statement
Data Availability Statement
Conflicts of Interest
Appendix A
| Within-Condition Fitting and Decoding: First Eye Movement |
| Find-Angry |
| Fit rho: 0.0027352 (z = 0.068518, p = 0.94537) |
| Decoding fraction correct: 0.46613 (z = 0.1435, p = 0.88589) |
| Find-Happy |
| Fit rho: 0.051417 (z = 1.5772, p = 0.11475) |
| Decoding fraction correct: 0.44251 (z = 0.42314, p = 0.6722) |
| Find-Both |
| Fit rho: 0.0091851 (z = 0.2866, p = 0.77442) |
| Decoding fraction correct: 0.46953 (z = −0.0086603, p = 0.99309) |
| Within-Condition Fitting and Decoding: Selection |
| Find-Angry |
| Fit rho: 0.22608 (z = 7.0688, p = 1.5632 × 10−12) |
| Decoding fraction correct: 0.31173 (z = 4.2729, p = 1.9291 × 10−5) |
| Find-Happy |
| Fit rho: 0.23021 (z = 7.2482, p = 4.2233 × 10−13) |
| Decoding fraction correct: 0.33047 (z = 4.4754, p = 7.6251 × 10−6) |
| Find-Both |
| Fit rho: 0.077671 (z = 2.4347, p = 0.014904) |
| Decoding fraction correct: 0.27382 (z = 1.329, p = 0.18386) |
| Within-Condition Fitting and Decoding: Decision |
| Find-Angry |
| Fit rho: 0.27531 (z = 8.6684, p = 0) |
| Decoding fraction correct: 0.33337 (z = 6.0369, p = 1.5715 × 10−9) |
| Find-Happy |
| Fit rho: 0.1319 (z = 4.1174, p = 3.8325 × 10−5) |
| Decoding fraction correct: 0.29879 (z = 3.4874, p = 0.00048769) |
| Find-Both |
| Fit rho: 0.1707 (z = 5.3486, p = 8.8661 × 10−8) |
| Decoding fraction correct: 0.29949 (z = 3.4923, p = 0.00047892) |
| Between-Condition Fitting and Decoding: Selection |
| Selection Find-Angry → Selection Find-Happy |
| Fit rho: 0.046484 (z = 2.5295, p = 0.011423) |
| [note: negative z] Decoding fraction correct: 0.22346 (z = −4.4838, p = 7.3315 × 10−6) |
| Selection Find-Happy → Selection Find-Angry |
| Fit rho: −0.013719 (z = −0.7361, p = 0.46167) |
| [note: negative z] Decoding fraction correct: 0.22181 (z = −3.3866, p = 0.00070756) |
| Selection Find-Angry → Selection Find-Both |
| Fit rho: −0.036297 (z = −1.9738, p = 0.048399) |
| Decoding fraction correct: 0.273 (z = 2.7443, p = 0.0060644) |
| Selection Find-Happy → Selection Find-Both |
| Fit rho: 0.092746 (z = 5.0317, p = 4.8611 × 10−7) |
| Decoding fraction correct: 0.25253 (z = −0.42681, p = 0.66952) |
| Between-Condition Fitting and Decoding: Decision |
| Decision Find-Angry → Decision Find-Happy |
| Fit rho: 0.039962 (z = 2.1824, p = 0.029077) |
| Decoding fraction correct: 0.27536 (z = 2.7857, p = 0.0053407) |
| Decision Find-Happy → Decision Find-Angry |
| Fit rho: 0.028553 (z = 1.5301, p = 0.12599) |
| Decoding fraction correct: 0.25219 (z = 1.0795, p = 0.28036) |
| Decision Find-Angry → Decision Find-Both |
| Fit rho: 0.23671 (z = 13.005, p = 0) |
| Decoding fraction correct: 0.32524 (z = 9.2252, p = 0) |
| Decision Find-Happy → Decision Find-Both |
| Fit rho: 0.065954 (z = 3.5779, p = 0.00034637) |
| Decoding fraction correct: 0.27313 (z = 3.4957, p = 0.00047277) |
| Decision Find-Both → Decision Find-Angry |
| Fit rho: 0.13893 (z = 7.5258, p = 5.2403 × 10−14) |
| Decoding fraction correct: 0.29731 (z = 6.2454, p = 4.2262 × 10−10) |
| Decision Find-Both → Decision Find-Happy |
| Fit rho: 0.073536 (z = 3.9782, p = 6.9447 × 10−5) |
| Decoding fraction correct: 0.29594 (z = 5.5951, p = 2.2048 × 10−8) |
| Between-Task Fitting and Decoding: Selection and Decision |
| Selection Find-Angry → Decision Find-Angry |
| Fit rho: 0.15297 (z = 8.2545, p = 2.2204 × 10−16) |
| Decoding fraction correct: 0.32457 (z = 6.7606, p = 1.3742 × 10−11) |
| Selection Find-Happy → Decision Find-Happy |
| Fit rho: 0.14187 (z = 7.7525, p = 9.1038 × 10−15) |
| Decoding fraction correct: 0.30587 (z = 4.8624, p = 1.16 × 10−6) |
| Decision Find-Angry → Selection Find-Angry |
| Fit rho: 0.21413 (z = 11.5329, p = 0) |
| Decoding fraction correct: 0.27536 (z = 7.7772, p = 7.3275 × 10−15) |
| Decision Find-Happy → Selection Find-Happy |
| Fit rho: 0.17371 (z = 9.4849, p = 0) |
| Decoding fraction correct: 0.26469 (z = 4.4093, p = 1.0368 × 10−5) |
References
- Bates, D., Mächler, M., Bolker, B., & Walker, S. (2015). Fitting linear mixed-effects models using lme4. Journal of Statistical Software, 67(1), 1–48. [Google Scholar] [CrossRef]
- Becker, D. V., Anderson, U. S., Mortensen, C. R., Neufeld, S. L., & Neel, R. (2011). The face in the crowd effect unconfounded: Happy faces, not angry faces, are more efficiently detected in single- and multiple-target visual search tasks. Journal of Experimental Psychology: General, 140(4), 637–659. [Google Scholar] [CrossRef]
- Burrows, A. M., Waller, B. M., Parr, L. A., & Bonar, C. J. (2006). Muscles of facial expression in the chimpanzee (Pan troglodytes): Descriptive, comparative and phylogenetic contexts. Journal of Anatomy, 208(2), 153–167. [Google Scholar] [CrossRef]
- Calder, A. J., Keane, J., Young, A. W., & Dean, M. (2000). Configural information in facial expression perception. Journal of Experimental Psychology: Human Perception and Performance, 26(2), 527–551. [Google Scholar] [CrossRef]
- Calvo, M. G. (2008). Facial expressions of emotion (KDEF): Identification under different display-duration conditions. Behavior Research Methods, 40(1), 109–115. [Google Scholar] [CrossRef]
- Calvo, M. G., & Nummenmaa, L. (2008). Detection of emotional faces: Salient physical features guide effective visual search. Journal of Experimental Psychology: General, 137(3), 471–494. [Google Scholar] [CrossRef]
- Ceccarini, F., & Caudek, C. (2013). Anger superiority effect: The importance of dynamic emotional facial expressions. Visual Cognition, 21(4), 498–540. [Google Scholar] [CrossRef]
- Ekman, P., & Friesen, W. V. (1971). Constants across cultures in the face and emotion. Journal of Personality and Social Psychology, 17(2), 124–129. [Google Scholar] [CrossRef]
- Gray, K. L. H., Adams, W. J., Hedger, N., Newton, K. E., & Garner, M. (2013). Faces and awareness: Low-level, not emotional factors determine perceptual dominance. Emotion, 13(3), 537–544. [Google Scholar] [CrossRef]
- Hansen, C. H., & Hansen, R. D. (1988). Finding the face in the crowd: An anger superiority effect. Journal of Personality and Social Psychology, 54(6), 917. [Google Scholar] [CrossRef]
- Hedger, N., Adams, W. J., & Garner, M. (2015). Fearful faces have a sensory advantage in the competition for awareness. Journal of Experimental Psychology: Human Perception and Performance, 41(6), 1748–1757. [Google Scholar] [CrossRef]
- Hedger, N., Garner, M., & Adams, W. J. (2019). Do emotional faces capture attention, and does this depend on awareness? Evidence from the visual probe paradigm. Journal of Experimental Psychology: Human Perception and Performance, 45(6), 790–802. [Google Scholar] [CrossRef]
- Hodsoll, S., Viding, E., & Lavie, N. (2011). Attentional capture by irrelevant emotional distractor faces. Emotion, 11(2), 346–353. [Google Scholar] [CrossRef]
- Juth, P., Lundqvist, D., Karlsson, A., & Öhman, A. (2005). Looking for foes and friends: Perceptual and emotional factors when finding a face in the crowd. Emotion, 5(4), 379–395. [Google Scholar] [CrossRef]
- Lobue, V. (2009). More than just another face in the crowd: Superior detection of threatening facial expressions in children and adults. Developmental Science, 12(2), 305–313. [Google Scholar] [CrossRef]
- Lundqvist, D., & Öhman, A. (2005). Emotion regulates attention: The relation between facial configurations, facial emotion, and visual attention. Visual Cognition, 12(1), 51–84. [Google Scholar] [CrossRef]
- Menzel, C., Redies, C., & Hayn-Leichsenring, G. U. (2018). Low-level image properties in facial expressions. Acta Psychologica, 188, 74–83. [Google Scholar] [CrossRef]
- Öhman, A., Soares, S. C., Juth, P., Lindstrm, B., & Esteves, F. (2012). Evolutionary derived modulations of attention to two common fear stimuli: Serpents and hostile humans. Journal of Cognitive Psychology, 24(1), 17–32. [Google Scholar] [CrossRef]
- Palermo, R., & Coltheart, M. (2004). Photographs of facial expression: Accuracy, response times, and ratings of intensity. Behavior Research Methods, Instruments, & Computers, 36(4), 634–638. [Google Scholar]
- Palermo, R., & Rhodes, G. (2007). Are you always on my mind? A review of how face perception and attention interact. Neuropsychologia, 45(1), 75–92. [Google Scholar] [CrossRef]
- Parr, L. A., Winslow, J. T., Hopkins, W. D., & De Waal, F. B. M. (2000). Recognizing facial cues: Individual discrimination by chimpanzees (Pan troglodytes) and rhesus monkeys (Macaca mulatta). Journal of Comparative Psychology, 114(1), 47. [Google Scholar] [CrossRef]
- Purcell, D. G., & Stewart, A. L. (2010). Still another confounded face in the crowd. Attention, Perception, & Psychophysics, 72(8), 2115–2127. [Google Scholar] [CrossRef]
- Purcell, D. G., Stewart, A. L., & Skov, R. B. (1996). It takes a confounded face to pop out of a crowd. Perception, 25(9), 1091–1108. [Google Scholar] [CrossRef]
- Savage, R. A., & Lipp, O. V. (2015). The effect of face inversion on the detection of emotional faces in visual search. Cognition and Emotion, 29(6), 972–991. [Google Scholar] [CrossRef]
- Savage, R. A., Lipp, O. V., Craig, B. M., Becker, S. I., & Horstmann, G. (2013). In search of the emotional face: Anger versus happiness superiority in visual search. Emotion, 13(4), 758–768. [Google Scholar] [CrossRef]
- Stuit, S. (2021). Protosc: A Matlab toolbox for finding prototypical stimulus characteristics in images using machine learning feature selection. Available online: https://osf.io/f6nbu/ (accessed on 1 November 2024).
- Stuit, S. M., Kootstra, T. M., Terburg, D., van den Boomen, C., van der Smagt, M. J., Kenemans, J. L., & Van der Stigchel, S. (2021a). The image features of emotional faces that predict the initial eye movement to a face. Scientific Reports, 11(1), 8287. [Google Scholar] [CrossRef]
- Stuit, S. M., Paffen, C. L. E., & Van der Stigchel, S. (2021b). Introducing the prototypical stimulus characteristics toolbox: Protosc. Behavior Research Methods, 54(5), 2422–2432. [Google Scholar] [CrossRef]
- Stuit, S. M., Paffen, C. L. E., & Van der Stigchel, S. (2023). Prioritization of emotional faces is not driven by emotional content. Scientific Reports, 13(1), 1–9. [Google Scholar] [CrossRef]
- Terburg, D., Morgan, B. E., Montoya, E. R., Hooge, I. T., Thornton, H. B., Hariri, A. R., Panksepp, J., Stein, D. J., & Van Honk, J. (2012). Hypervigilance for fear after basolateral amygdala damage in humans. Translational Psychiatry, 2, 115. [Google Scholar] [CrossRef]
- Tottenham, N., Tanaka, J. W., Leon, A. C., McCarry, T., Nurse, M., Hare, T. A., Marcus, D. J., Westerlund, A., Casey, B. J., & Nelson, C. (2009). The NimStim set of facial expressions: Judgments from untrained research participants. Psychiatry Research, 168(3), 242–249. [Google Scholar] [CrossRef]
- Viola, P., & Jones, M. (2001, December 8–14). Rapid object detection using a boosted cascade of simple features [Paper presentation]. The 2001 IEEE Computer Society Conference on Computer Vision and Pattern Recognition (CVPR), Kauai, HI, USA. [Google Scholar] [CrossRef]
- Vuilleumier, P., & Schwartz, S. (2001). Emotional facial expressions capture attention. Neurology, 56(2), 153–158. [Google Scholar] [CrossRef]
- Webb, A. L. M. (2021). Reversing the luminance polarity of control faces: Why are some negative faces harder to recognize, but easier to see? Frontiers in Psychology, 11, 609045. [Google Scholar] [CrossRef]
- Webb, A. L. M., Asher, J. M., & Hibbard, P. B. (2022). Saccadic eye movements are deployed faster for salient facial stimuli, but are relatively indifferent to their emotional content. Vision Research, 198, 108054. [Google Scholar] [CrossRef]
- Webb, A. L. M., & Hibbard, P. B. (2019). The effect of facial expression on contrast sensitivity: A behavioural investigation and extension of Hedger, Adams & Garner (2015). PLoS ONE, 14(11), e0205621. [Google Scholar] [CrossRef]
- Webb, A. L. M., & Hibbard, P. B. (2020). Suppression durations for facial expressions under breaking continuous flash suppression: Effects of faces’ low-level image properties. Scientific Reports, 10(1), 17427. [Google Scholar] [CrossRef]
- Wolfe, J. M. (1994). Guided Search 2.0 A revised model of visual search. Psychonomic Bulletin & Review, 1(2), 202–238. [Google Scholar] [CrossRef]



| Reaction Times | Search Times | Target Identification Times | |||||||
|---|---|---|---|---|---|---|---|---|---|
| Predictors | Estimates | CI | p | Estimates | CI | p | Estimates | CI | p |
| (Intercept) | 1.746 | 1.692–1.802 | <0.001 | 2.601 | 2.478–2.730 | <0.001 | 4.797 | 4.231–5.439 | <0.001 |
| TargetEmotion | 0.962 | 0.957–0.967 | <0.001 | 0.985 | 0.972–0.998 | 0.029 | 0.839 | 0.828–0.850 | <0.001 |
| SearchTask | 1.026 | 1.021–1.031 | <0.001 | 1.034 | 1.020–1.048 | <0.001 | 1.099 | 1.085–1.113 | <0.001 |
| TargetEmotion × SearchTask | 0.992 | 0.987–0.997 | 0.002 | 0.986 | 0.973–1.000 | 0.045 | 0.978 | 0.965–0.990 | <0.001 |
| Random Effects | |||||||||
| σ2 | 0.17 | 0.38 | 0.21 | ||||||
| τ00 | 0.00Subject | 0.01Subject | 0.03Subject | ||||||
| ICC | 0.01 | 0.02 | 0.13 | ||||||
| N (subjects) | 29 | 29 | 29 | ||||||
| Observations | 9361 | 9023 | 8601 | ||||||
| Marginal R2/Conditional R2 | 0.013/0.023 | 0.004/0.021 | 0.148/0.256 | ||||||
| Average Dwell Times | Number of Saccades | First Fixation on Target | |||||||
|---|---|---|---|---|---|---|---|---|---|
| Predictors | Estimates | CI | p | Incidence Rate Ratios | CI | p | Odds Ratios | CI | p |
| (Intercept) | 54.253 | 44.531–66.098 | <0.001 | 3.871 | 3.750–3.997 | <0.001 | 0.202 | 0.188–0.217 | <0.001 |
| TargetEmotion | 0.877 | 0.859–0.895 | <0.001 | 1.006 | 0.995–1.017 | 0.323 | 0.994 | 0.938–1.054 | 0.852 |
| SearchTask | 1.165 | 1.141–1.189 | <0.001 | 0.989 | 0.978–1.000 | 0.052 | 1.039 | 0.980–1.102 | 0.195 |
| TargetEmotion × SearchTask | 0.877 | 0.859–0.895 | <0.001 | 0.998 | 0.987–1.009 | 0.673 | 1.022 | 0.964–1.083 | 0.47 |
| Random Effects | |||||||||
| σ2 | 0.06 | 0.23 | 3.29 | ||||||
| τ00 | 0.04Subject | 0.01Subject | 0.01Subject | ||||||
| ICC | 0.4 | 0.03 | 0 | ||||||
| N (subjects) | 29 | 29 | 29 | ||||||
| Observations | 7765 | 9361 | 9361 | ||||||
| Marginal R2/Conditional R2 | 0.425/0.655 | 0.001/0.029 | 0.000/0.004 | ||||||
Disclaimer/Publisher’s Note: The statements, opinions and data contained in all publications are solely those of the individual author(s) and contributor(s) and not of MDPI and/or the editor(s). MDPI and/or the editor(s) disclaim responsibility for any injury to people or property resulting from any ideas, methods, instructions or products referred to in the content. |
© 2025 by the authors. Licensee MDPI, Basel, Switzerland. This article is an open access article distributed under the terms and conditions of the Creative Commons Attribution (CC BY) license (https://creativecommons.org/licenses/by/4.0/).
Share and Cite
Stuit, S.M.; Pardo Sanchez, M.A.; Terburg, D. Perceptual, Not Attentional, Guidance Drives Happy Superiority in Complex Visual Search. Behav. Sci. 2025, 15, 124. https://doi.org/10.3390/bs15020124
Stuit SM, Pardo Sanchez MA, Terburg D. Perceptual, Not Attentional, Guidance Drives Happy Superiority in Complex Visual Search. Behavioral Sciences. 2025; 15(2):124. https://doi.org/10.3390/bs15020124
Chicago/Turabian StyleStuit, Sjoerd M., M. Alejandra Pardo Sanchez, and David Terburg. 2025. "Perceptual, Not Attentional, Guidance Drives Happy Superiority in Complex Visual Search" Behavioral Sciences 15, no. 2: 124. https://doi.org/10.3390/bs15020124
APA StyleStuit, S. M., Pardo Sanchez, M. A., & Terburg, D. (2025). Perceptual, Not Attentional, Guidance Drives Happy Superiority in Complex Visual Search. Behavioral Sciences, 15(2), 124. https://doi.org/10.3390/bs15020124

