The Association Between Internet Addiction and Adolescents’ Mental Health: A Meta-Analytic Review
Abstract
1. Introduction
2. Materials and Methods
2.1. Study Selection Criteria
2.2. Search Strategy
2.3. Study Selection
2.4. Data Extraction from the Selected Studies and Coding of Variables
- Extrinsic variables include data referring to the code of each article, authors’ citations, number of authors, year of publication, and the article’s quality score (total and percentage).
- Among the substantive variables we find those referring to subject and sample variables (sample size, percentage of women, mean and standard deviation of age and nationality).
- Methodological variables refer to design variables and variables related to internet addiction, depression, anxiety, stress, suicidal behaviour (referring to suicidal behaviour or self-harm), psychological well-being, externalizing problems, and internalizing problems (where descriptors and instruments are recorded).
- Finally, outcome variables refer to the statistic used and the numerical result of the relationship between internet addiction and depression, anxiety, stress, suicidal behaviour (referring to suicidal behaviour or self-harm), psychological well-being, self-esteem, body image, internalizing problems, externalizing problems, tobacco use, alcohol use, aggressiveness, impulsiveness, and delinquent behaviour.
2.5. Computation of Effect Sizes
2.6. Statistical Analyses
3. Results
3.1. Assessment of Methodological Quality
3.2. Characteristics of the Included Studies
3.3. Mean Correlations and Heterogeneity
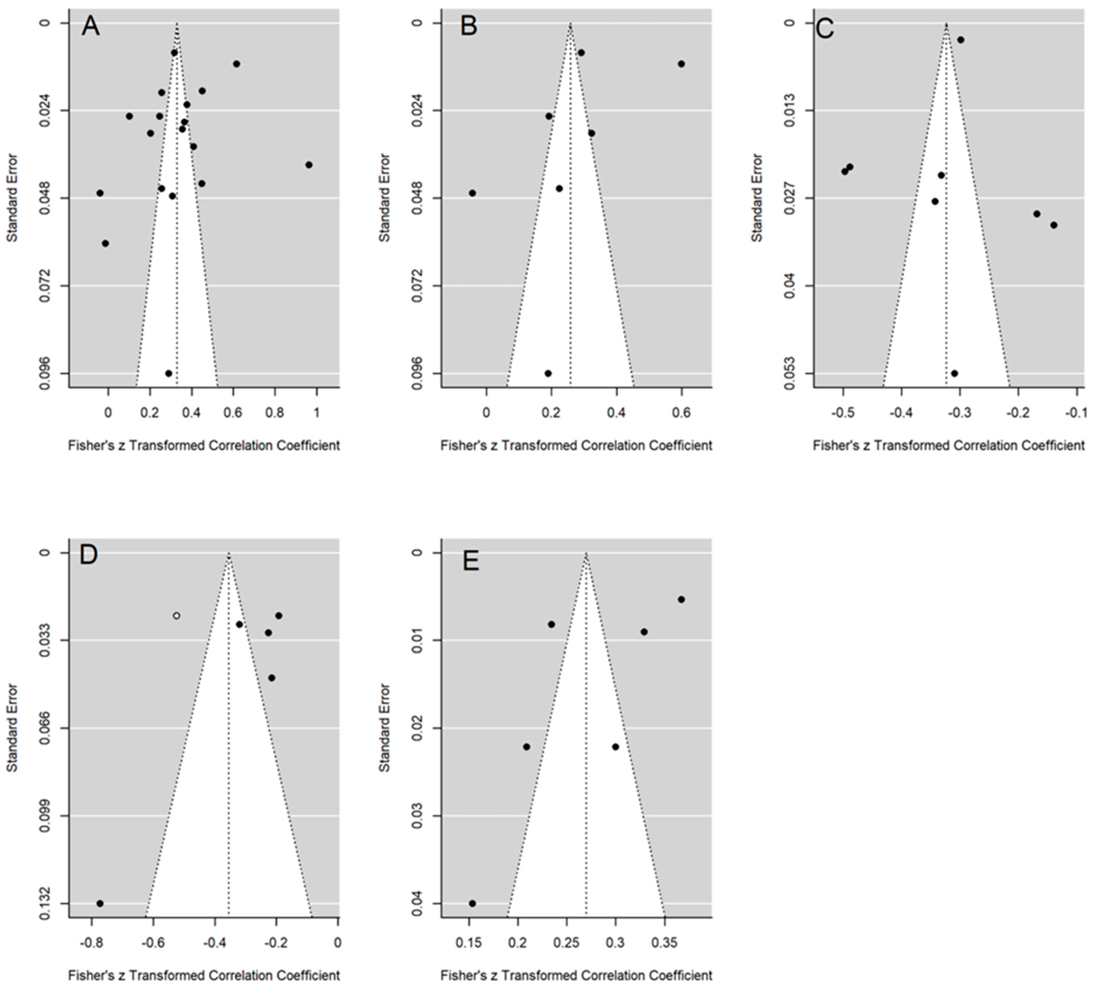
3.4. Publication Bias
3.5. Analyses of Moderators
4. Discussion
Limitations
5. Conclusions
Supplementary Materials
Author Contributions
Funding
Institutional Review Board Statement
Informed Consent Statement
Data Availability Statement
Conflicts of Interest
Appendix A. Characteristics of Included Studies
| Author (Year) | Nationality | Study Design | Total Sample Size | Sex (F = Female M = Male) | Mean Age (SD Age) | Period of Study | Study Outcome | Assessment Tools | Main Results Between Internet Adiction/Problematic Internet Use and Study Outcome |
|---|---|---|---|---|---|---|---|---|---|
| Andrade et al. (2021) | South America | Cross-sectional | 466 | F = 53% M = 47% | 12.8 (1.9) | Not Reported | Depression, anxiety, stress | Internet Addiction Test (IAT), Depression, Anxiety and Stress Scale (DASS-21) | The analysis of variance did not detect any differences between the no PIU and PIU groups regarding the DASS-21 subscales (depression, anxiety, and stress) (p > 0.05) |
| Arrivillaga et al. (2022) | Europe | Cross-sectional | 1882 | F = 54% M = 46% | 14.71 (1.60) | Not Reported | Psychological well-being | Spanish short version of the Smartphone Addiction Scale (SAS-SV), Depression, Anxiety and Stress Scale (DASS-21) | PSU was directly associated with psychological distress (r = 0.32, p < 0.01) |
| Boer et al. (2020) | Europe, North America, West Asia | Cross-sectional | 154,981 | F = 51% M = 49% | 13.54 (1.64) | 2017–2018 | Psychological well-being | 9-item Social Media Disorder Scale, “Mental” ranking de Cantril’s ladder, HBSC Symptom Checklist | Problematic social media use was correlated with psychological complaints (r = 0.290, p < 0.001) |
| Cao et al. (2021) | East Asia | Cross-sectional | 2022 | F = 50.1% M = 49.9% | 13.04 (1.0) | Not Reported | Depression | Young’s Internet Addiction Scale (IAT), Center for Epidemiologic Studies of Depression Symptom Scale (CES-D) | Correlation analysis indicated that internet addiction and depression have significant, positive correlations with each other (r = 0.36, p < 0.01) |
| Chen et al. (2020) | East Asia | Cross-sectional | 451 | F = 49.2% M = 50.8% | 11.35 (0.56) | 2020 | Depression, self-esteem | Internet Addiction Test (IAT), Center for Epidemiologic Studies of Depression Symptom Scale (CES-D), Rosenberg Self-Esteem Scale (RSES) | IA was positively correlated with depression (r = 0.2986) and self-esteem (r = 0.2127) |
| Chi et al. (2019) | East Asia | Cross-sectional | 522 | F = 42.92% M = 57.08% | 12.33 (0.56) | Not Reported | Depression | Young and De Abreu’s ten-item Internet addiction test, Center for Epidemiologic Studies of Depression Symptom Scale (CES-D) | Internet addiction was positively correlated with depression (r = 0.42, p < 0.01) |
| Fujita et al. (2022) | East Asia | Cross-sectional | 112 | F = 42.8% M = 57.2% | 13.65 (1.9) | April 2016-March 2018 | Depression, anxiety | Internet Addiction Test (IAT), 9 items-Patient Health Questionnaire (PHQ-9), Generalized anxiety disorder 7-item scale (GAD-7). | IA was positively correlated with depression (r = 0.2808) and anxiety (r = 0.1868) scores |
| Gao et al. (2022) | East Asia | Cross-sectional | 7990 | F = 49.62% M = 50.38% | Not Reported | Depression, anxiety, stress | Revised Chen Internet Addiction Scale (CIAS-R), Depression, Anxiety and Stress Scale (DASS-21) | IA was positively correlated with depression (r = 0. 5472), anxiety (r = 0.5357), and stress (r = −0.4810) | |
| Hamdan et al. (2022) | West Asia | Cross-sectional | 642 | F = 53.6% M = 46.4% | 14.95 (1.53) | Not Reported | Suicide | Internet Addiction Test (IAT), Deliberate Self-Harm Inventory-Youth Version (DSHI-Y) | IA was positively correlated with suicidal ideation (r = 0.1521) |
| Huang et al. (2023) | East Asia | Longitudinal | 1365 | F = 46.8% M = 53.2% | 14.68 (1.56) | 2015–2017 | Depression, psychological well-being, self-esteem | 10-item IA Diagnostic Questionnaire, Children’s Depression Inventory (CDI-S), 9-item Index of Well-Being, Rosenberg Self-Esteem Scale (RSES) | IA was positively correlated with depression (r = 0.3500) and inversely correlated with psychological well-being (r = −0.3100) |
| Huang et al. (2020) | East Asia | Cross-sectional | 12,507 | F= 51.49% M= 48.41% | 16.6 (0.8) | Not Reported | Suicidal ideation, aggressiveness, impulsiveness | Internet Addiction Test (IAT), Scales produced by the Beijing Center for Psychological Crisis Research and Intervention, Chinese version of the Buss & Perry aggression questionnaire (AQ-CV), Barratt impulsiveness scale-Chinese version (BIS-CV) | IA was positively correlated with suicidal ideation (r = 0.3176), aggressiveness (r = 0.4426), and impulsiveness (r = 0.3709) |
| Khasmohammadi et al. (2020) | South Asia | Cross-sectional | 357 | F = 49.6% M = 50.4% | 16.14 (1.42) | 12 months (Not Reported) | Psychological well-being | Compulsive Internet Use Scale (CIUS), Subjective Vitality Scale (SVS) | Psychological well-being was negatively and significantly related to compulsive internet use (r = −0.300, p < 0.01) |
| Kojima et al. (2021) | East Asia | Longitudianl | 1192 | F = 50.83% M = 49.17% | 2014–2018 | Depression | Internet Addiction Test (IAT), Birleson Depression Self-Rating Scale (DSRS) | The correlations between all PIU waves (t1, t2, t3) and depression waves (t1, t2, t3) correlate positively with each other (p < 0.05). Correlation between PIU-t1 and depression-t1 was (r = 0.34, p < 0.05) | |
| Kuang et al. (2020) | East Asia | Cross-sectional | 36,266 | F = 46% M = 54% | 18.6 (1.9) | Not Reported | Suicidal ideation | Internet Addiction Test (IAT), Scale of Suicidal Ideation developed | IA was positively correlated with suicidal ideation (r = 0.3513) |
| G. Li et al. (2019) | East Asia | Longitudinal | 1545 | F = 55% M = 45% | 14.88 (1.81) | 6 months (Date Not Reported) | Depression, anxiety | Internet Addiction Test (IAT), Zung’s self-rating depression scale (SDS), Zung’s self-rating anxiety scale (SAS) | Correlations between all IA waves (t1, t2, t3) correlated positively with depression (t1, t2, t3) and anxiety (t1, t2, t3) waves (p < 0.05) except the correlation between AI-t2 with Depression-t1 and the correlation between AI-t3 with Depression-t3. Correlation between IA-t1 and Depression-t1 was (r = 0.10, p < 0.001) and AI-t1 and Anxiety-t1 was (r = 0.19, p < 0.001) |
| X. Li et al. (2019) | East Asia | Cross-sectional | 15,415 | F = 50.26% M = 49.74% | 14.6 (1.7) | Not Reported | Depression, anxiety | Young diagnostic questionnaire for internet addiction (YDQ), Chinese version of the Center for Epidemiologic Studies Depression 9-item scale (CES-D9), Generalized anxiety disorder 7-item scale (GAD-7) | Both depressive (r = 0.307, p < 0.01) and anxiety symptoms (r = 0.283, p < 0.01) were positively associated with internet addiction |
| Liu et al. (2021) | East Asia | Longitudinal | 879 | F = 41.9% M = 58.1% | 13.51 (1.17) | 8 months (Not Reported) | Depression | Internet Addiction Test (IAT), Center for Epidemiologic Studies of Depression Symptom Scale (CES-D) | There is a positive correlation between PIU and depressive symptoms (r = 0.388, p < 0.001) |
| Liu et al. (2023) | East Asia | Cross-sectional | 2095 | F = 49% M = 51% | 14.66 (1.87) | Not Reported | Suicide, psychological well-being | Revised Chen Internet Addiction Scale (CIAS-R), Health- Risk Behavior Inventory for Chinese Adolescents (HBICA), Depression, Anxiety and Stress Scale (DASS-21) | PIU was positively correlated with suicidality and self-injurious (r = 0.291, p < 0.001) and negative affectivity (r = 0.4553, p < 0.001) |
| Mathew and Krishnan (2020) | South Asia | Cross-sectional | 60 | F = 0% M = 100% | 15 (1.0) | Not Reported | Self-esteem | Internet Addiction Test (IAT), State Self-Esteem Scale (SSES) | Problematic internet use was significantly negatively correlated with self-esteem (r = −0.649, p < 0.001) |
| Obeid et al. (2019) | West Asia | Cross-sectional | 1103 | F = 58.4% M = 41.6% | 15.50 (1.33) | 2017–2018 | Depression, anxiety, self-esteem, aggressiveness, impulsiveness | Internet Addiction Test (IAT), Multiscore Depression Inventory for Children (MDIC), Buss–Perry Scale (AQ), BARRAT Impulsiveness Scale (BIS-11) | Higher IA was significantly and positively correlated with more impulsivity (r = 0.226, p < 0.001), more physical aggression (r = 0.328, p < 0.001), more anxiety (r = 0.312, p < 0.001), and more sad mood (r = 0.199, p < 0.001). However, less IA was correlated with higher self-esteem (r = −0.222, p < 0.001) |
| Peng et al. (2021a) | East Asia | Cross-sectional | 16,130 | F = 48.1% M = 51.9% | 15.22 (1.79) | February to October in 2015 | Suicidal behaviour | Internet Addiction Test (IAT), Questionaire | Internet addiction was positively correlated with suicidal behaviours (r = 0.206, p < 0.01) |
| Peng et al. (2021b) | East Asia | Cross-sectional | 15,232 | F = 48.2% M = 51.8% | 15.18 (1.71) | February to October in 2015 | Suicidal behaviour | Internet Addiction Test (IAT), Questionaire | Internet addiction was positively correlated with suicidal behaviours (r = 0.23, p < 0.01) |
| Peng et al. (2022) | East Asia | Cross-sectional | 15,977 | F = 48.2% M = 51.2% | 15.21 (1.74) | February to October 2015 | Aggressiveness | Internet Addiction Test (IAT), Buss and Warren’s Aggression Questionnaire (BWAQ) | IA was positively correlated with aggressiveness (r = 0.39) |
| Pontes and Macur (2021) | Europe | Cross-sectional | 1066 | F = 50% M = 50% | 13.46 (0.58) | Not Reported | Psychological well-being | Problematic Internet Use Questionnaire Short-Form (PIUQ-SF-6) Questionaire | PIU was inversely correlated with well-being (r = −0.1387) |
| Pereira et al. (2020) | South America | Cross-sectional | 667 | F = 53.8% M = 46.2% | 15.5 (1.87) | Not Reported | Depression | Spanish short version of the Smartphone Addiction Scale (SAS-SV), Beck Depression Inventory (BDI) | Smartphone use was positively correlated with depression (r = −0.7451) |
| Tamarit et al. (2021) | Europe | Cross-sectional | 1763 | F = 51% M = 49% | 14.56 (1.16) | Not Reported | Self-esteem | Scale of risk of addiction to social media and the Internet for adolescents (ERA-RSI), Escala de Autoestima Corporal (EAC) | Addiction symptoms are significantly negatively associated with body satisfaction (r = −0.19, p < 0.01) |
| Wang et al. (2022) | East Asia | Cross-sectional | 278 | F = 73.4% M = 26.6% | 15.28 (1.71) | Not Reported | Depression | Internet Addiction Test (IAT), Center for Epidemiologic Studies of Depression Symptom Scale (CES-D) | IA was positively correlated with depression (r = −0.0146) |
| Wang et al. (2021) | East Asia | Cross-sectional | 1976 | F = 49.2% M = 50.8% | 13.6 (1.5) | January to April 2019 | Psychological well-being, externalizing problems | Internet Addiction Test (IAT), Self-report Strengths and Difficulties Questionnaire (SDQ) | Problematic internet use was significantly correlated with total difficulties (behavioral and emotional problems) (r = 0.46, p < 0.05) and conduct problems (r = 0.35, p < 0.05) |
| Xu et al. (2020) | East Asia | Cross-sectional | 2892 | F = 46.2% M = 53.8% | 15.1 (1.7) | April to July 2017 | Depression | Internet Addiction Test (IAT), Center for Epidemiologic Studies of Depression Symptom Scale (CES-D) | IA was positively correlated with depression (r = 0.4216) |
| Yang and Zhu (2023) | East Asia | Cross-sectional | 1196 | F = 49.4% M = 50.6% | 14.45 (0.63) | 2021 | Psychological well-being, externalizing problems | 10 items Internet Addiction Test (IAT), 12-item General Health Questionnaire (GHQ-12), Youth Self-Report (YSR) | Problematic internet use was positively associated with externalizing problem behaviors (r = 0.230, p < 0.01) and negatively associated with mental health (r = −0.167, p < 0.01). |
| Yi and Li (2021) | East Asia | Longitudinal | 1545 | F = 55% M = 45% | 14.88 (1.81) | 6 months (Date Not Reported) | Depression | Internet Addiction Test (IAT), Zung’s self-rating depression scale (SDS) | The correlations between all IA waves (t1, t2, t3) and depression waves (t1, t2, t3) correlate positively with each other (p < 0.001). Correlation between AI-t1 and depression-t1 was (r = 0.24, p < 0.001) |
| Yurdagül et al. (2021) | West Asia | Cross-sectional | 491 | F = 58.65% M = 41.35% | 15.92 (1.07) | Not Reported | Depression, anxiety | Bergen Facebook Addiction Scale (BFAS), Short Depression-Happiness Scale (SDHS), State-Trait Anxiety Inventory Short Form (STAI-6) | Problematic Instagram use (PIU) was associated with depression (r = 0.25, p < 0.001) and general anxiety (r = 0.22, p < 0.001). |
| Zhai et al. (2020) | East Asia | Cross-sectional | 2758 | F = 54% M = 46% | 13.53 (1.06) | Not Reported | Depression | Internet Addiction Test (IAT), Children’s Depression Inventory (CDI-S) | There is a positive correlation between T2-PIU and T1-Depression (r = 0.25, p < 0.001). |
Appendix B. Coding of Variables for Analysis in SPSS
| Assessment Tools | Study Outcome | Author | |
|---|---|---|---|
| Internet Addiction Test (IAT) | Internet addiction (IA)/problematic internet use (PIU) | Wang et al. (2022) Yi and Li (2021) Kojima et al. (2021) Chen et al. (2020) Zhai et al. (2020) Liu et al. (2021) Obeid et al. (2019) G. Li et al. (2019) Peng et al. (2022) Hamdan et al. (2022) Fujita et al. (2022) | Peng et al. (2021a) Peng et al. (2021b) Wang et al. (2021) Andrade et al. (2021) Xu et al. (2020) Kuang et al. (2020) Huang et al. (2020) Mathew and Krishnan (2020) Cao et al. (2021) Yang and Zhu (2023) |
| Young and De Abreu’s ten-item Internet addiction test’ | IA/PIU | Chi et al. (2019) | |
| Young diagnostic questionnaire for internet addiction (YDQ) | IA/PIU | X. Li et al. (2019) | |
| Spanish short version of the Smartphone Addiction Scale (SAS-SV) | IA/PIU | Arrivillaga et al. (2022) Pereira et al. (2020) | |
| 9-item Social Media Disorder Scale | IA/PIU | Boer et al. (2020) | |
| Compulsive Internet Use Scale (CIUS) | IA/PIU | Khasmohammadi et al. (2020) | |
| Bergen Facebook Addiction Scale (BFAS) | IA/PIU | Yurdagül et al. (2021) | |
| Revised Chen Internet Addiction Scale (CIAS-R) | IA/PIU | Liu et al. (2023) Gao et al. (2022) | |
| 10-item IA Diagnostic Questionnaire | IA/PIU | Huang et al. (2023) | |
| Scale of risk of addiction to social media and the Internet for adolescents (ERA-RSI) | IA/PIU | Tamarit et al. (2021) | |
| Problematic Internet Use Questionnaire Short-Form (PIUQ-SF-6) | IA/PIU | Pontes and Macur (2021) | |
| Center for Epidemiologic Studies of Depression Symptom Scale (CES-D) | Depression | Wang et al. (2022) Chen et al. (2020) Liu et al. (2021) Cao et al. (2021) Chi et al. (2019) X. Li et al. (2019) Xu et al. (2020) | |
| Zung’s self-rating depression scale (SDS). | Depression | Yi and Li (2021) G. Li et al. (2019) | |
| Birleson Depression Self-Rating Scale (DSRS) | Depression | Kojima et al. (2021) | |
| Children’s Depression Inventory (CDI-S) | Depression | Zhai et al. (2020) Huang et al. (2023) | |
| Multiscore Depression Inventory for Children (MDIC) | Depression | Obeid et al. (2019) | |
| Anxiety | |||
| Self-esteem | |||
| Depression, Anxiety and Stress Scale (DASS-21) | Depression | Gao et al. (2022) Andrade et al. (2021) | |
| Anxiety | |||
| Stress | |||
| Psychological well-being | Arrivillaga et al. (2022) Liu et al. (2023) | ||
| Beck Depression Inventory (BDI) | Depression | Pereira et al. (2020) | |
| Short Depression-Happiness Scale (SDHS) | Depression | Yurdagül et al. (2021) | |
| 9 items-Patient Health Questionnaire (PHQ-9) | Depression | Fujita et al. (2022) | |
| Generalized anxiety disorder 7-item scale (GAD-7) | Anxiety | X. Li et al. (2019) Fujita et al. (2022) | |
| Zung’s self-rating anxiety scale (SAS) | Anxiety | G. Li et al. (2019) | |
| State-Trait Anxiety Inventory Short Form (STAI-6). | Anxiety | Yurdagül et al. (2021) | |
| “Mental” ranking de Cantril’s ladder, HBSC Symptom Checklist | Psychological well-being | Boer et al. (2020) | |
| Subjective Vitality Scale (SVS) | Psychological well-being | Khasmohammadi et al. (2020) | |
| General Health Questionnaire (GHQ-12) | Psychological well-being | Yang and Zhu (2023) | |
| 9-item Index of Well-Being | Psychological well-being | Huang et al. (2023) | |
| Self-report Strengths and Difficulties Questionnaire (SDQ) | Psychological well-being | Wang et al. (2021) | |
| Externalizing problems | |||
| Form of questions proposed by the authors (Participants’ subjective well-being) | Psychological well-being | Pontes and Macur (2021) | |
| Rosenberg Self-Esteem Scale (RSES) | Self-esteem | Chen et al. (2020) Huang et al. (2023) | |
| Escala de Autoestima Corporal (EAC) | Self-esteem | Tamarit et al. (2021) | |
| State Self-Esteem Scale (SSES) | Self-esteem | Mathew and Krishnan (2020) | |
| Health-Risk Behavior Inventory for Chinese Adolescents (HBICA) | Suicidal behaviour or self-harm | Liu et al. (2023) | |
| Deliberate Self-Harm Inventory-Youth Version (DSHI-Y) | Suicidal behaviour or self-harm | Hamdan et al. (2022) | |
| Scale of Suicidal Ideation developed. | Suicidal behaviour or self-harm | Kuang et al. (2020) | |
| Scales produced by the Beijing Center for Psychological Crisis Research and Intervention | Suicidal behaviour or self-harm | Huang et al. (2020) | |
| Form of questions proposed by the authors | Suicidal behaviour or self-harm | Peng et al. (2021a, 2021b) | |
| Youth Self-Report (YSR) | Externalizing problems | Yang and Zhu (2023) | |
| Buss-Perry Scale (AQ) | Aggressiveness | Obeid et al. (2019) Huang et al. (2020) | |
| Buss and Warren’s Aggression Questionnaire (BWAQ) | Aggressiveness | Peng et al. (2022) | |
| BARRAT Impulsiveness Scale (BIS-11) | Impulsiveness | Obeid et al. (2019) Huang et al. (2020) | |
References
- Aguinis, H., Gottfredson, R. K., & Wright, T. A. (2011). Best-practice recommendations for estimating interaction effects using meta-analysis. Journal of Organizational Behavior, 32(8), 1033–1043. [Google Scholar] [CrossRef]
- Akin, A., & Iskender, M. (2011). Internet addiction and depression, anxiety and stress. International Online Journal of Educational Sciences, 3(1), 138–148. Available online: https://www.researchgate.net/publication/264550590_Internet_addiction_and_depression_anxiety_and_stress (accessed on 6 June 2024).
- Andrade, A. L. M., Enumo, S. R. F., Passos, M. A. Z., Vellozo, E. P., Schoen, T. H., Kulik, M. A., Niskier, S. R., & Vitalle, M. S. D. S. (2021). Problematic internet use, emotional problems and quality of life among adolescents. Psico-USF, 26(1), 41–51. [Google Scholar] [CrossRef]
- Arrivillaga, C., Rey, L., & Extremera, N. (2022). Psychological distress, rumination and problematic smartphone use among Spanish adolescents: An emotional intelligence-based conditional process analysis. Journal of Affective Disorders, 296, 1–8. [Google Scholar] [CrossRef]
- Bahrainian, S. A., Alizadeh, K. H., Raeisoon, M. R., Gorji, O. H., & Khazaee, A. (2014). Relationship of Internet addiction with self-esteem and depression in university students. Journal of Preventive Medicine and Hygiene, 55(3), 86. Available online: https://www.ncbi.nlm.nih.gov/pmc/articles/PMC4718307/ (accessed on 30 May 2024).
- Ballarotto, G., Marzilli, E., Cerniglia, L., Cimino, S., & Tambelli, R. (2021). How does psychological distress due to the COVID-19 pandemic impact on internet addiction and Instagram addiction in emerging adults? International Journal of Environmental Research and Public Health, 18(21), 11382. [Google Scholar] [CrossRef] [PubMed]
- Baloğlu, M., Özteke-Kozan, H. İ., & Kesici, S. (2018). Gender differences in and the relationships between social anxiety and problematic internet use: Canonical analysis. Journal of Medical Internet Research, 20(1), e33. [Google Scholar] [CrossRef] [PubMed]
- Bickham, D. S., Hswen, Y., & Rich, M. (2015). Media use and depression: Exposure, household rules, and symptoms among young adolescents in the USA. International Journal of Public Health, 60(2), 147–155. [Google Scholar] [CrossRef]
- Boer, M., Van Den Eijnden, R. J. J. M., Boniel-Nissim, M., Wong, S.-L., Inchley, J. C., Badura, P., Craig, W. M., Gobina, I., Kleszczewska, D., Klanšček, H. J., & Stevens, G. W. J. M. (2020). Adolescents’ intense and problematic social media use and their well-being in 29 countries. Journal of Adolescent Health, 66(6), S89–S99. [Google Scholar] [CrossRef] [PubMed]
- Borenstein, M. J., Hedges, L. V., Higgins, J. P., & Rothstein, H. R. (2009). Introduction to meta-analysis. Wiley. Available online: https://www.agropustaka.id/wp-content/uploads/2020/04/agropustaka.id_buku_Introduction-to-Meta-Analysis.pdf (accessed on 20 May 2024).
- Bousoño, M., Al-Halabí, S., Burón, P., Garrido, M., Díaz-Mesa, E. M., Galván, G., García-Alvarez, L., Carli, V., Hoven, C., Sarchiapone, M., Wasserman, D., Bousoño, M., García-Portilla, M. P., Iglesias, C., Sáiz, P. A., & Bobes, J. (2017). Uso y abuso de sustancias psicotrópicas e internet, psicopatología e ideación suicida en adolescentes. Adicciones, 29(2), 97–104. [Google Scholar] [CrossRef] [PubMed]
- Bucci, S., Schwannauer, M., & Berry, N. (2019). The digital revolution and its impact on mental health care. Psychology and Psychotherapy: Theory, Research and Practice, 92(2), 277–297. [Google Scholar] [CrossRef] [PubMed]
- Cai, Z., Mao, P., Wang, Z., Wang, D., He, J., & Fan, X. (2023). Associations between problematic internet use and mental health outcomes of students: A meta analytic review. Adolescent Research Review, 8(1), 45–62. [Google Scholar] [CrossRef] [PubMed]
- Cao, R., Gao, T., Ren, H., Hu, Y., Qin, Z., Liang, L., & Mei, S. (2021). The relationship between bullying victimization and depression in adolescents: Multiple mediating effects of internet addiction and sleep quality. Psychology, Health & Medicine, 26(5), 555–565. [Google Scholar] [CrossRef]
- Caplan, S. E. (2006). Relations among loneliness, social anxiety, and problematic Internet use. CyberPsychology & Behavior, 10(2), 234–242. [Google Scholar] [CrossRef]
- Carbonell, X. (2014). La adicción a los videojuegos en el DSM-5. Adicciones, 26(2), 91–95. Available online: https://www.redalyc.org/pdf/2891/289131590001.pdf (accessed on 15 April 2024).
- Cardak, M. (2013). Psychological well-being and Internet addiction among university students. Turkish Online Journal of Educational Technology-TOJET, 12(3), 134–141. Available online: https://eric.ed.gov/?id=EJ1016863 (accessed on 30 May 2024).
- Castellana, M., Sánchez-Carbonell, X., Graner, C., & Beranuy, M. (2007). El adolescente ante las tecnologías de la información y la comunicación: Internet, móvil y videojuegos. Papeles del Psicólogo, 28(3), 196–204. Available online: https://www.redalyc.org/articulo.oa?id=77828306 (accessed on 3 June 2024).
- Chang, F. C., Chiu, C. H., Lee, C. M., Chen, P. H., & Miao, N. F. (2014). Predictors of the initiation and persistence of Internet addiction among adolescents in Taiwan. Addictive Behaviors, 39(10), 1434–1440. [Google Scholar] [CrossRef] [PubMed]
- Chen, H.-C., Wang, J.-Y., Lin, Y.-L., & Yang, S.-Y. (2020). Association of internet addiction with family functionality, depression, self-efficacy and self-esteem among early adolescents. International Journal of Environmental Research and Public Health, 17(23), 8820. [Google Scholar] [CrossRef] [PubMed]
- Cheng, Y. S., Tseng, P. T., Lin, P. Y., Chen, T. Y., Stubbs, B., Carvalho, A. F., Wu, C. K., Chen, Y. W., & Wu, M. K. (2018). Internet addiction and its relationship with suicidal behaviors: A meta-analysis of multinational observational studies. The Journal of Clinical Psychiatry, 79(4), 9291. Available online: https://www.psychiatrist.com/jcp/internet-addiction-and-suicidal-behaviors/ (accessed on 3 April 2023). [CrossRef] [PubMed]
- Chi, X., Liu, X., Guo, T., Wu, M., & Chen, X. (2019). Internet addiction and depression in Chinese adolescents: A moderated mediation model. Frontiers in Psychiatry, 10, 816. [Google Scholar] [CrossRef]
- Colder-Carras, M., Van-Rooij, A., de Mheen, D. V., Musci, R., Xue, Q. L., & Mendelson, T. (2017). Video gaming in a hyperconnected world: A cross-sectional study of heavy gaming, problematic gaming symptoms, and online socializing in adolescents. Computers in Human Behavior, 68, 472–479. [Google Scholar] [CrossRef] [PubMed]
- Contreras, J. H., Martínez, M. O., Almaguer, J. M., Ramírez, A., & Miramontes, A. (2019). Adicción a Internet, el caso de adolescentes de cinco escuelas secundarias de México. Revista del Consejo Nacional para la Enseñanza e Investigación en Psicología, 1, 34–45. Available online: https://revistacneipne.org/index.php/cneip/article/view/39 (accessed on 3 April 2023).
- Cooper, H., Hedges, L. V., & Valentine, J. C. (2019). The handbook of research synthesis and meta-analysis. Russell Sage Foundation. [Google Scholar]
- Çikrikci, O. (2016). The effect of internet use on well-being: Meta-analysis. Computers in Human Behavior, 65, 60–566. [Google Scholar] [CrossRef]
- Daine, K., Hawton, K., Singaravelu, V., Stewart, A., Simkin, S., & Montgomery, P. (2013). The power of the web: A systematic review of studies of the influence of the internet on self-harm and suicide in young people. PLoS ONE, 8(10), e77555. [Google Scholar] [CrossRef] [PubMed]
- Davis, R. A. (2001). A cognitive-behavioral model of pathological Internet use. Computer in Human Behaviour, 17(2), 187–195. [Google Scholar] [CrossRef]
- Duval, S., & Tweedie, R. (2000). Trim and fill: A simple funnel-plot-based method of testing and adjusting for publication bias in meta-analysis. Biometrics, 56(2), 455–463. [Google Scholar] [CrossRef]
- Echeburúa, E., & de Corral, P. (2010). Adicción a las nuevas tecnologías y a las redes sociales en jóvenes: Un nuevo reto. Adicciones, 22(2), 91–95. Available online: https://www.redalyc.org/pdf/2891/289122889001.pdf (accessed on 16 April 2023). [CrossRef]
- Egger, M., Smith, G. D., Schneider, M., & Minder, C. (1997). Bias in meta-analysis detected by a simple, graphical test. BMJ, 315(7109), 629–634. [Google Scholar] [CrossRef] [PubMed]
- Fujita, J., Aoyama, K., Saigusa, Y., Miyazaki, H., Aoki, Y., Asanuma, K., Takahashi, Y., & Hishimoto, A. (2022). Problematic Internet use and daily difficulties among adolescents with school refusal behaviors: An observational cross-sectional analytical study. Medicine, 101(7), e28916. [Google Scholar] [CrossRef] [PubMed]
- Fumero, A., Marrero, R., Voltes, D., & Peñate, W. (2018). Personal and social factors involved in Internet addiction among adolescents: A meta-analysis. Computers in Human Behavior, 86, 387–400. [Google Scholar] [CrossRef]
- Gao, M., Teng, Z., Wei, Z., Jin, K., Xiao, J., Tang, H., Wu, H., Yang, Y., Yan, H., Chen, J., Wu, R., Zhao, J., Wu, Y., & Huang, J. (2022). Internet addiction among teenagers in a Chinese population: Prevalence, risk factors, and its relationship with obsessive-compulsive symptoms. Journal of Psychiatric Research, 153, 134–140. [Google Scholar] [CrossRef] [PubMed]
- Griffiths, M. (2000). Does internet and computer “addiction” exist? Some case study evidence. Cyberpsychology & Behavior, 2(3), 217. Available online: https://jogoremoto.pt/docs/extra/DPOMNQ.pdf (accessed on 13 April 2023).
- Ha, J. H., Kim, S. Y., Bae, S. C., Bae, S., Kim, H., Sim, M., Lyoo, I. K., & Cho, S. C. (2007). Depression and Internet addiction in adolescents. Psychopathology, 40(6), 424–430. [Google Scholar] [CrossRef]
- Hamdan, S., Apter, A., & Levi-Belz, Y. (2022). Non-suicidal self-injury among adolescents from diverse ethnocultural groups in Israel: The association with sleep problems and internet addiction. Frontiers in Psychiatry, 13, 899956. [Google Scholar] [CrossRef]
- Hartanto, A., Quek, F. Y., Tng, G. Y., & Yong, J. C. (2021). Does social media use increase depressive symptoms? A reverse causation perspective. Frontiers in Psychiatry, 12, 641934. [Google Scholar] [CrossRef]
- Hartung, J. (1999). An alternative method for meta-analysis. Biometrical Journal: Journal of Mathematical Methods in Biosciences, 41(8), 901–916. [Google Scholar] [CrossRef]
- Heffer, T., Good, M., Daly, O., MacDonell, E., & Willoughby, T. (2019). The longitudinal association between social-media use and depressive symptoms among adolescents and young adults: An empirical reply to Twenge et al. (2018). Clinical Psychological Science, 7(3), 462–470. [Google Scholar] [CrossRef]
- Huang, C. (2010). Internet use and psychological well-being: A meta-analysis. Cyberpsychology, Behavior, and Social Networking, 13(3), 241–249. [Google Scholar] [CrossRef] [PubMed]
- Huang, P., Zhou, Y., Li, D., Jia, J., Xiao, J., Liu, Y., & Zhang, H. (2023). Developmental trajectories of adolescent internet addiction: Interpersonal predictors and adjustment outcomes. Research on Child and Adolescent Psychopathology, 51(3), 355–367. [Google Scholar] [CrossRef]
- Huang, Y., Xu, L., Mei, Y., Wei, Z., Wen, H., & Liu, D. (2020). Problematic Internet use and the risk of suicide ideation in Chinese adolescents: A cross-sectional analysis. Psychiatry Research, 290, 112963. [Google Scholar] [CrossRef]
- Huedo-Medina, T. B., Sánchez-Meca, J., Marín-Martínez, F., & Botella, J. (2006). Assessing heterogeneity in meta-analysis: Q statistic or I2 index? Psychological Methods, 11(2), 193–206. [Google Scholar] [CrossRef] [PubMed]
- Kaess, M., Durkee, T., Brunner, R., Carli, V., Parzer, P., Wasserman, C., Sarchiapone, M., Hoven, C., Apter, A., Balazs, J., Balint, M., Bobes, J., Cohen, R., Cosman, D., Cotter, P., Fischer, G., Floderus, B., Iosue, M., Haring, C., … Ziberna, J. (2014). Pathological Internet use among European adolescents: Psychopathology and self destructive behaviors. European Child & Adolescent Psychiatry, 23(11), 1093–1102. [Google Scholar] [CrossRef]
- Kardefelt-Winther, D. (2014). A conceptual and methodological critique of internet addiction research: Towards a model of compensatory internet use. Computers in Human Behavior, 31, 351–354. [Google Scholar] [CrossRef]
- Keltikangas-Järvinen, L. (2005). Social problem solving and the development of aggression. In M. McMurran, & J. McGuire (Eds.), Social problem solving and offending: Evidence, evaluation, and evolution (pp. 31–49). John Wiley & Sons, Ltd. [Google Scholar]
- Khasmohammadi, M., Ghazizadeh Ehsaei, S., Vanderplasschen, W., Dortaj, F., Farahbakhsh, K., Keshavarz Afshar, H., Jahanbakhshi, Z., Mohsenzadeh, F., Mohd Noah, S., Sulaiman, T., Brady, C., & Hormozi, A. K. (2020). The impact of addictive behaviors on adolescents psychological well-being: The mediating effect of perceived peer support. The Journal of Genetic Psychology, 181(2–3), 39–53. [Google Scholar] [CrossRef] [PubMed]
- Kim, J. H., Seo, M., & David, P. (2015). Alleviating depression only to become problematic mobile phone users: Can face-to-face communication be the antidote? Computers in Human Behavior, 51, 440–447. [Google Scholar] [CrossRef]
- Király, O., Griffiths, M. D., Urbán, R., Farkas, J., Kökönyei, G., Elekes, Z., Tamás, D., & Demetrovics, Z. (2014). Problematic internet use and problematic online gaming are not the same: Findings from a large nationally representative adolescent sample. Cyberpsychology, Behavior, and Social Networking, 17(12), 749–754. [Google Scholar] [CrossRef]
- Knapp, G., & Hartung, J. (2003). Improved tests for a random effects meta-regression with a single covariate. Statistics in Medicine, 22(17), 2693–2710. [Google Scholar] [CrossRef]
- Kojima, R., Shinohara, R., Akiyama, Y., Yokomichi, H., & Yamagata, Z. (2021). Temporal directional relationship between problematic internet use and depressive symptoms among Japanese adolescents: A random intercept, cross-lagged panel model. Addictive Behaviors, 120, 106989. [Google Scholar] [CrossRef] [PubMed]
- Koo, H. J., & Kwon, J.-H. (2014). Risk and protective factors of internet addiction: A meta-analysis of empirical studies in Korea. Yonsei Medical Journal, 55(6), 1691–1711. [Google Scholar] [CrossRef] [PubMed]
- Kuang, L., Wang, W., Huang, Y., Chen, X., Lv, Z., Cao, J., Ai, M., & Chen, J. (2020). Relationship between Internet addiction, susceptible personality traits, and suicidal and self-harm ideation in Chinese adolescent students. Journal of Behavioral Addictions, 9(3), 676–685. [Google Scholar] [CrossRef] [PubMed]
- Laconi, S., Tricard, N., & Chabrol, H. (2015). Differences between specific and generalized problematic Internet uses according to gender, age, time spent online and psychopathological symptoms. Computers in Human Behavior, 48, 236–244. [Google Scholar] [CrossRef]
- Lai, X., Huang, S., Nie, C., Yan, J. J., Li, Y., Wang, Y., & Luo, Y. (2022). Trajectory of problematic smartphone use among adolescents aged 10–18 years: The roles of childhood family environment and concurrent parent–child relationships. Journal of Behavioral Addictions, 11(2), 577–587. [Google Scholar] [CrossRef] [PubMed]
- Lei, H., Chiu, M. M., & Li, S. (2020). Subjective well-being and internet overuse: A meta-analysis of mainland Chinese students. Current Psychology, 39, 843–853. [Google Scholar] [CrossRef]
- Li, G., Hou, G., Yang, D., Jian, H., & Wang, W. (2019). Relationship between anxiety, depression, sex, obesity, and internet addiction in Chinese adolescents: A short-term longitudinal study. Addictive Behaviors, 90, 421–427. [Google Scholar] [CrossRef] [PubMed]
- Li, M., Chen, J., Li, N., & Li, X. (2014). A Twin Study of Problematic Internet Use: Its Heritability and Genetic Association With Effortful Control. Twin Research and Human Genetics, 17(4), 279–287. [Google Scholar] [CrossRef]
- Li, X., Luo, X., Zheng, R., Jin, X., Mei, L., Xie, X., Gu, H., Hou, F., Liu, L., Luo, X., Meng, H., Zhang, J., & Song, R. (2019). The role of depressive symptoms, anxiety symptoms, and school functioning in the association between peer victimization and internet addiction: A moderated mediation model. Journal of Affective Disorders, 256, 125–131. [Google Scholar] [CrossRef] [PubMed]
- Liang, L., Zhou, D., Yuan, C., Shao, A., & Bian, Y. (2016). Gender differences in the relationship between internet addiction and depression: A cross-lagged study in Chinese adolescents. Computers in Human Behavior, 63, 463–470. [Google Scholar] [CrossRef]
- Lin, M. P., Wu, J. Y., You, J., Hu, W. H., & Yen, C. F. (2018). Prevalence of internet addiction and its risk and protective factors in a representative sample of senior high school students in Taiwan. Journal of Adolescence, 62, 38–46. [Google Scholar] [CrossRef]
- Liu, C., Liu, Z., & Yuan, G. (2021). Cyberbullying victimization and problematic Internet use among Chinese adolescents: Longitudinal mediation through mindfulness and depression. Journal of Health Psychology, 26(14), 2822–2831. [Google Scholar] [CrossRef] [PubMed]
- Liu, M., Xiao, J., Kamper-DeMarco, K. E., & Fu, Z. (2023). Problematic internet use and suicidality and self-injurious behaviors in adolescents: Effects of negative affectivity and social support. Journal of Affective Disorders, 325, 289–296. [Google Scholar] [CrossRef]
- Lozano-Blasco, R., & Cortes-Pascual, A. (2020). Problematic Internet uses and depression in adolescents: A meta-analysis. Comunicar, 28(63), 109–120. [Google Scholar] [CrossRef]
- López-Fernández, O. (2018). Generalised versus specific internet use-related addiction problems: A Mixed methods study on internet, gaming, and social networking behaviours. International Journal of Environmental Research and Public Health, 15, 2913. [Google Scholar] [CrossRef]
- López-López, J. A., Marín-Martínez, F., Sánchez-Meca, J., Van den Noortgate, W., & Viechtbauer, W. (2014). Estimation of the predictive power of the model in mixed-effects meta-regression: A simulation study. British Journal of Mathematical and Statistical Psychology, 67(1), 30–48. [Google Scholar] [CrossRef] [PubMed]
- Machimbarrena, J. M., Beranuy, M., Vergara-Moragues, E., Fernández-González, L., & Gónzalez-Cabrera, J. (2023). Uso problemático de Internet y trastorno de juego por Internet: Solapamiento y relación con la calidad de vida relacionada con la salud en adolescentes. Adicciones, 35(2), 107–118. [Google Scholar] [CrossRef] [PubMed]
- Marchant, A., Hawton, K., Stewart, A., Montgomery, P., Singaravelu, V., Lloyd, K., Purdy, N., Daine, K., & John, A. (2017). A systematic review of the relationship between internet use, self-harm and suicidal behaviour in young people: The good, the bad and the unknown. PLoS ONE, 12(8), e0181722. [Google Scholar] [CrossRef] [PubMed]
- Marino, C., Gini, G., Vieno, A., & Spada, M. M. (2018). The associations between problematic Facebook use, psychological distressand well-being among adolescents and young adults: A systematic review and meta-analysis. Journal of Afective Disorders, 226, 274–281. [Google Scholar] [CrossRef]
- Mathew, P., & Krishnan, R. (2020). Impact of problematic internet use on the self-esteem of adolescents in the selected school, Kerala, India. Archives of Psychiatric Nursing, 34(3), 122–128. [Google Scholar] [CrossRef] [PubMed]
- Mei, S., Yau, Y. H., Chai, J., Guo, J., & Potenza, M. N. (2016). Problematic Internet use, well-being, self-esteem and self-control: Data from a high-school survey in China. Addictive Behaviors, 61, 74–79. [Google Scholar] [CrossRef] [PubMed]
- Mishra, J., Behera, M. R., Mitra, R., Samanta, P., Mahapatra, P. K., & Kar, S. (2024). Prevalence and Impact of Internet Addiction Disorder Among Adolescents and Young Adults. The Open Public Health Journal, 17, e18749445345806. [Google Scholar] [CrossRef]
- Moola, S., Munn, Z., Tufanaru, C., Aromataris, E., Sears, K., Sfetcu, R., Currie, M., Qureshi, R., Mattis, P., Lisy, K., & Mu, P. F. (2020). Chapter 7: Systematic reviews of etiology and risk. In E. Aromataris, & Z. Munn (Eds.), JBI manual for evidence synthesis. jbi.global. [Google Scholar] [CrossRef]
- Naslund, J. A., Aschbrenner, K. A., Marsch, L. A., & Bartels, S. J. (2016). The future of mental health care: Peer-to-peer support and social media. Epidemiology and Psychiatric Sciences, 25(2), 113–122. [Google Scholar] [CrossRef]
- National Institute for Health and Care Research. (n.d.). PROSPERO International prospective register of systematic reviews. PROSPERO (york.ac.uk).
- Obeid, S., Saade, S., Haddad, C., Sacre, H., Khansa, W., Al Hajj, R., Kheir, N., & Hallit, S. (2019). Internet addiction among lebanese adolescents: The role of self-esteem, anger, depression, anxiety, social anxiety and fear, impulsivity, and aggression—A cross-sectional study. Journal of Nervous & Mental Disease, 207(10), 838–846. [Google Scholar] [CrossRef]
- Obrenovic, B., Godinic, D., Du, G., Khudaykulov, A., & Gan, H. (2024). Identity disturbance in the digital era during the COVID-19 Pandemic: The adverse effects of social media and job stress. Behavioral Sciences, 14(8), 648. [Google Scholar] [CrossRef] [PubMed]
- Page, M. J., McKenzie, J. E., Bossuyt, P. M., Boutron, I., Hoffmann, T. C., Mulrow, C. D., Shamseer, L., Tetzlaff, J. M., Akl, E. A., Brennan, S. E., Chou, R., Glanville, J., Grimshaw, J. M., Hro’bjartsson, A., Lalu, M. M., Li, T., Loder, E. W., Mayo-Wilson, E., McDonald, S., … y Moher, D. (2021). Declaración PRISMA 2020: Una guía actualizada para la publicación de revisiones sistemáticas. Revista Española de Cardiología, 74(9), 790–799. [Google Scholar] [CrossRef]
- Pedrero, E. J., Rodríguez, M. T., & Ruiz, J. M. (2012). Adicción o abuso del teléfono móvil. Revisión de la literatura. Adicciones, 24(2), 39–152. Available online: https://www.redalyc.org/pdf/2891/289122912007.pdf (accessed on 2 November 2024). [CrossRef]
- Peng, C., Guo, T., Cheng, J., Wang, M., Rong, F., Zhang, S., Tan, Y., Ding, H., Wang, Y., & Yu, Y. (2022). Sex differences in association between Internet addiction and aggression among adolescents aged 12 to 18 in mainland of China. Journal of Affective Disorders, 312, 198–207. [Google Scholar] [CrossRef] [PubMed]
- Peng, C., Wang, M., Cheng, J., Tan, Y., Huang, Y., Rong, F., Kang, C., Ding, H., Wang, Y., & Yu, Y. (2021a). Mediation of Internet addiction on association between childhood maltreatment and suicidal behaviours among Chinese adolescents. Epidemiology and Psychiatric Sciences, 30, e64. [Google Scholar] [CrossRef]
- Peng, C., Wang, M., Cheng, J., Tan, Y., Huang, Y., Rong, F., Kang, C., Ding, H., & Yu, Y. (2021b). Association between internet addiction and suicidal ideation, suicide plans, and suicide attempts among Chinese adolescents with and without parental migration. Computers in Human Behavior, 125, 106949. [Google Scholar] [CrossRef]
- Pereira, F. S., Bevilacqua, G. G., Coimbra, D. R., & Andrade, A. (2020). Impact of problematic smartphone use on mental health of adolescent students: Association with mood, symptoms of depression, and physical activity. Cyberpsychology, Behavior, and Social Networking, 23(9), 619–626. [Google Scholar] [CrossRef] [PubMed]
- Peris, M., de la Barrera, U., Schoeps, K., & Montoya-Castilla, I. (2020). Psychological risk factors that predict social networking and internet addiction in adolescents. International Journal of Environmental Research and Public Health, 17(12), 4598. [Google Scholar] [CrossRef]
- Plaza de la Hoz, J. (2018). Ventajas y desventajas del uso adolescente de las TIC: Visión de los estudiantes. Revista Complutense de Educación, 29(2), 491–508. [Google Scholar] [CrossRef]
- Pontes, H. M., & Macur, M. (2021). Problematic internet use profiles and psychosocial risk among adolescents. PLoS ONE, 16(9), e0257329. [Google Scholar] [CrossRef]
- Raudsepp, L., & Kais, K. (2019). Longitudinal associations between problematic social media use and depressive symptoms in adolescent girls. Preventive Medicine Reports, 15, 100925. [Google Scholar] [CrossRef] [PubMed]
- Rubio-Aparicio, M., López-López, J. A., Viechtbauer, W., Marín-Martínez, F., Botella, J., & Sánchez-Meca, J. (2020). Testing categorical moderators in mixed-effects meta-analysis in the presence of heteroscedasticity. The Journal of Experimental Education, 88(2), 288–310. [Google Scholar] [CrossRef]
- Rücker, J., Akre, C., Berchtold, A., & Suris, J. C. (2015). Problematic Internet use is associated with substance use in young adolescents. Acta Paediatrica, 104(5), 504–507. [Google Scholar] [CrossRef] [PubMed]
- Sánchez-Meca, J., Marín-Martínez, F., & Chacón-Moscoso, S. (2003). Effect-size indices for dichotomized outcomes in meta-analysis. Psychological Methods, 8(4), 448–467. [Google Scholar] [CrossRef]
- Spada, M. M. (2014). An overview of problematic Internet use. Addictive Behaviors, 39(1), 3–6. [Google Scholar] [CrossRef] [PubMed]
- Statista. (2024). Número de usuarios de Internet en el mundo entre 2005 hasta 2023 (en millones). Available online: https://es.statista.com/estadisticas/541434/numero-mundial-de-usuarios-de-internet/ (accessed on 2 November 2024).
- Tamarit, A., Schoeps, K., Peris-Hernández, M., & Montoya-Castilla, I. (2021). The Impact of Adolescent Internet Addiction on Sexual Online Victimization: The Mediating Effects of Sexting and Body Self-Esteem. International Journal of Environmental Research and Public Health, 18(8), 4226. [Google Scholar] [CrossRef] [PubMed]
- Tan, H. (2024). Research on the influencing factors and mechanism of smartphone use and addiction on employees: A systematic review. Journal of Chinese Human Resources Management, 13(2), 41–52. [Google Scholar] [CrossRef]
- Twenge, J. M. (2019). More time on technology, less happiness? Associations between digital-media use and psychological well-being. Current Directions in Psychological Science, 28(4), 372–379. [Google Scholar] [CrossRef]
- Unicef Data. (2024). Mental health. Ensuring mental health and well-being in an adolescent’s formative years can foster a better transition from childhood to adulthood. Available online: https://data.unicef.org/topic/child-health/mental-health/ (accessed on 2 November 2024).
- Viechtbauer, W. (2010). Conducting meta-analyses in R with the metafor package. Journal of Statistical Software, 36(3), 1–48. [Google Scholar] [CrossRef]
- Walburg, V., Mialhes, A., & Moncla, D. (2016). Does school-related burnout influence problematic Facebook use? Children and Youth Services Review, 61, 327–331. [Google Scholar] [CrossRef]
- Wan, X., Wang, W., Liu, J., & Tong, T. (2014). Estimating the sample mean and standard deviation from the sample size, median, range and/or interquartile range. BMC Medical Research Methodology, 14, 135. [Google Scholar] [CrossRef] [PubMed]
- Wang, S., Xia, L., Wang, J., Yuan, X., Shi, Y., Wang, X., Li, X., Hu, Y., Zhang, Y., Yang, Y., Geng, F., Liu, Z., Chen, C., Wen, X., Luo, X., Gao, F., & Liu, H. (2022). Prevalence and clinical correlates of internet addiction symptoms and their association with quality of life in adolescents with major depressive disorder: A multicenter cross-sectional study. Frontiers in Psychiatry, 13, 819704. [Google Scholar] [CrossRef]
- Wang, W., Du, X., Guo, Y., Li, W., Zhang, S., Guo, L., & Lu, C. (2021). Association between problematic internet use and behavioral/emotional problems among Chinese adolescents: The mediating role of sleep disorders. PeerJ, 9, e10839. [Google Scholar] [CrossRef]
- Wong, J., Yi, P. X., Quek, F. Y., Lua, V. Y., Majeed, N. M., & Hartanto, A. (2024). A four-level meta-analytic review of the relationship between social media and well-being: A fresh perspective in the context of COVID-19. Current Psychology, 43(16), 14972–14986. [Google Scholar] [CrossRef]
- Woods, H. C., & Scott, H. (2016). #Sleepyteens: Social media use in adolescence is associated with poor sleep quality, anxiety, depression and low self-esteem. Journal of Adolescence, 51, 41–49. [Google Scholar] [CrossRef] [PubMed]
- World Health Organization. (2024). Mental health of adolescents. Available online: https://www.who.int/news-room/fact-sheets/detail/adolescent-mental-health (accessed on 2 November 2024).
- Xu, D.-D., Lok, K.-I., Liu, H.-Z., Cao, X.-L., An, F.-R., Hall, B. J., Ungvari, G. S., Lei, S-M., & Xiang, Y.-T. (2020). Internet addiction among adolescents in Macau and mainland China: Prevalence, demographics and quality of life. Scientific Reports, 10(1), 16222. [Google Scholar] [CrossRef] [PubMed]
- Yang, F. R., Wei, C. F., & Tang, J. H. (2019). Effect of Facebook social comparison on well-being: A meta-analysis. Journal of Internet Technology, 20(6), 1829–1836. [Google Scholar] [CrossRef]
- Yang, G., & Li, X. (2024). Graduate socialization and anxiety: Insights via hierarchical regression analysis and beyond. Studies in Higher Education, 1, 1–17. [Google Scholar] [CrossRef]
- Yang, S., & Zhu, X. (2023). How does problematic internet use influence chinese rural adolescent externalizing problem behaviors? The mediating role of mental health and the moderating role of parental knowledge. International Journal of Environmental Research and Public Health, 20(3), 2162. [Google Scholar] [CrossRef]
- Yi, X., & Li, G. (2021). The longitudinal relationship between internet addiction and depressive symptoms in adolescents: A random-intercept cross-lagged panel model. International Journal of Environmental Research and Public Health, 18(24), 12869. [Google Scholar] [CrossRef] [PubMed]
- Yurdagül, C., Kircaburun, K., Emirtekin, E., Wang, P., & Griffiths, M. D. (2021). Psychopathological consequences related to problematic instagram use among adolescents: The mediating role of body image dissatisfaction and moderating role of gender. International Journal of Mental Health and Addiction, 19(5), 1385–1397. [Google Scholar] [CrossRef]
- Zhai, B., Li, D., Li, X., Liu, Y., Zhang, J., Sun, W., & Wang, Y. (2020). Perceived school climate and problematic internet use among adolescents: Mediating roles of school belonging and depressive symptoms. Addictive Behaviors, 110, 106501. [Google Scholar] [CrossRef] [PubMed]



| Study | Study Count | Age Group | Internalizing Outcomes | Externalizing Outcomes | Moderator Analyses | Results |
|---|---|---|---|---|---|---|
| Cai et al. (2023) | 223 | Students from elementary, middle, high school, and colleges | Depressive symptoms (DSs), anxiety (A), loneliness (L), subjective well-being (SWB) | “Other mental health outcomes” (suicide, aggression, and hostility) Unable to investigate the relationship with PIU | School grade, region, measure of PIU, publication year, gender | rDS = 0.313 rA = 0.277 rL = 0.252 rSWB = −0.213 |
| Lozano-Blasco and Cortes-Pascual (2020) | 13 | Adolescents 13–17 years | Depressive disorder | None | Sex, mean age, culture | r = 0.3 |
| Lei et al. (2020) | 70 | Youth and college students | Subjective well-being (SWB), life satisfaction (LS), positive emotion (PE), negative emotion (NE) | None | Region, age, gender | rSWB = −0.313 rLS = −0.21 rPE = −0.183 rNE= 0.251 |
| Huang (2010) | 40 | All age groups | Psychological well-being | None | Type of internet use, indicator of well-being, quality of internet use measure, age, gender | R = −0.0385 |
| Çikrikci (2016) | 23 | All age groups | Well-being | None | Well-being components (self-esteem, well-being, and life satisfaction) | r = −0.18 |
| Outcome | k | r+ | 95% CI | Q | p | I2 |
|---|---|---|---|---|---|---|
| LL UL | ||||||
| Depression | 18 | 0.318 | [0.214, 0.415] | 1104.56 | <0.001 | 98.98 |
| Anxiety | 7 | 0.252 | [0.078, 0.412] | 656.31 | <0.001 | 98.98 |
| Psychological well-being | 8 | −0.312 | [−0.407, −0.212] | 203.04 | <0.001 | 97.78 |
| Self-esteem | 5 | −0.306 | [−0.527, −0.047] | 29.36 | <0.001 | 96.63 |
| Suicidal behaviour | 6 | 0.264 | [0.185, 0.339] | 237.17 | <0.001 | 98.02 |
| Externalizing problems | 2 | 0.292 | [−0.487, 0.813] | 12.81 | <0.001 | 92.19 |
| Aggressiveness | 3 | 0.391 | [0.244, 0.521] | 38.84 | <0.001 | 96.82 |
| Impulsiveness | 2 | 0.303 | [−0.605, 0.868] | 25.72 | <0.001 | 96.11 |
| Stress | 2 | 0.253 | [−0.996, 0.999] | 124.97 | <0.001 | 99.20 |
| k | bj | F | p | QE | p | R2 | |
|---|---|---|---|---|---|---|---|
| Mean age | 16 | 0.015 | 0.10 | 0.754 | 545.16 | <0.001 | 0% |
| SD age | 16 | −0.048 | 0.13 | 0.719 | 550.15 | <0.001 | 0% |
| Gender (% of women) | 18 | −0.013 | 3.62 | 0.075 | 901.58 | <0.001 | 13.99% |
| JBI score | 18 | 0.114 | 1.84 | 0.194 | 1054.89 | <0.001 | 4.64% |
| k | r+ | 95% CI | ANOVA Results | |
|---|---|---|---|---|
| LL LU | ||||
| Continent: | ||||
| East Asia | 14 | 0.313 | [0.189, 0.427] | F2,15 = 0.53, p = 0.601 |
| West Asia | 2 | 0.224 | [−0.120, 0.521] | R2 = 0 |
| South America | 2 | 0.433 | [0.113, 0.672] | QW(15) = 1030.66, p < 0.001 |
| Study design: | F1,16 = 0.16, p = 0.697 | |||
| Cross-sectional | 13 | 0.329 | [0.203, 0.445] | R2 = 0 |
| Longitudinal | 5 | 0.286 | [0.077, 0.472] | QW(16) = 1027.50, p < 0.001 |
Disclaimer/Publisher’s Note: The statements, opinions and data contained in all publications are solely those of the individual author(s) and contributor(s) and not of MDPI and/or the editor(s). MDPI and/or the editor(s) disclaim responsibility for any injury to people or property resulting from any ideas, methods, instructions or products referred to in the content. |
© 2025 by the authors. Licensee MDPI, Basel, Switzerland. This article is an open access article distributed under the terms and conditions of the Creative Commons Attribution (CC BY) license (https://creativecommons.org/licenses/by/4.0/).
Share and Cite
Soriano-Molina, E.; Limiñana-Gras, R.M.; Patró-Hernández, R.M.; Rubio-Aparicio, M. The Association Between Internet Addiction and Adolescents’ Mental Health: A Meta-Analytic Review. Behav. Sci. 2025, 15, 116. https://doi.org/10.3390/bs15020116
Soriano-Molina E, Limiñana-Gras RM, Patró-Hernández RM, Rubio-Aparicio M. The Association Between Internet Addiction and Adolescents’ Mental Health: A Meta-Analytic Review. Behavioral Sciences. 2025; 15(2):116. https://doi.org/10.3390/bs15020116
Chicago/Turabian StyleSoriano-Molina, Elena, Rosa M. Limiñana-Gras, Rosa M. Patró-Hernández, and María Rubio-Aparicio. 2025. "The Association Between Internet Addiction and Adolescents’ Mental Health: A Meta-Analytic Review" Behavioral Sciences 15, no. 2: 116. https://doi.org/10.3390/bs15020116
APA StyleSoriano-Molina, E., Limiñana-Gras, R. M., Patró-Hernández, R. M., & Rubio-Aparicio, M. (2025). The Association Between Internet Addiction and Adolescents’ Mental Health: A Meta-Analytic Review. Behavioral Sciences, 15(2), 116. https://doi.org/10.3390/bs15020116

