Abstract
This study examines the association between problematic internet use, or internet addiction, and adolescent mental health, focusing on key psychological variables, assessing the strength of these associations, and identifying potential moderating factors. Methods: A search of the Web of Science databases over the past five years identified 830 articles. Of these, 33 met the inclusion criteria, involving 303,243 participants (average age 14.57; 49.44% female). The selection process was verified by two researchers. Results: Nine psychological variables were analyzed: depression, anxiety, stress, suicidal behaviour, psychological well-being, self-esteem, externalizing problems, aggressiveness, and impulsiveness. Internet addiction showed positive correlations with aggressiveness (r+ = 0.391), depression (r+ = 0.318), anxiety (r+ = 0.252), and suicidal behaviour (r+ = 0.264). Negative correlations were observed with psychological well-being (r+ = −0.312) and self-esteem (r+ = −0.306). No significant associations were found for externalizing problems, impulsiveness, or stress. None of the moderators showed a significant correlation with internet addiction and depression. Conclusions: Although limited by small sample sizes for some variables and the cross-sectional design of most studies, the findings confirm that there is a negative relationship between internet addiction and adolescent mental health. It is related to poorer self-perceived health, greater psychological distress, and greater aggression.
1. Introduction
The use of the internet has become a daily practice, present in almost all areas of our lives, from work or school activities to commerce, food, leisure, and entertainment, among many others. Therefore, it is currently difficult to find, consume, or carry out activities that are not linked to the internet. Since its inception in 1983, the number of users using this tool has grown exponentially to reach the latest figure, recorded at the end of 2023, of 5400 million users worldwide (around 67.4% of the total population) (Statista, 2024).
One of the reasons why the number of internet users has grown so much in such a short time are the great advantages and benefits the internet provides, such as access to updated information, a greater possibility of communicating with other people, ease and convenience when shopping, working remotely, etc. However, despite all these positive aspects, there are also many other negative aspects related to its use, due precisely to its accessibility characteristics and the wide range of services that this tool offers (Plaza de la Hoz, 2018). This accessibility can lead to overuse, thus increasing the risk of the appearance of the so-called problematic internet use (PIU) or internet addiction (IA).
Both terms—internet addiction and problematic internet use—are defined as a use of the internet that generates psychological, academic, social, or occupational difficulties in a person’s life (Spada, 2014). Although not officially recognized in diagnostic systems such as the Diagnostic and Statistical Manual of Mental Disorders (DSM-V), these terms share characteristics of addictive behaviours, including an excessive use of the internet, withdrawal symptoms, tolerance, and adverse consequences at the interpersonal, intrapersonal, or daily activity level. Thus, these phenomena have an evident potential to generate significant psychological damage (Spada, 2014).
A key distinction in the study of PIU lies in differentiating between generalized PIU (GPIU) and specific PIU (SPIU). GPIU is characterized by a broad problematic pattern that is not linked to specific activities, where the individual engages in general inappropriate use of the internet without a specific purpose, using this network as a means to interact with the outside world due to difficulties in the social sphere (Davis, 2001; Laconi et al., 2015; Machimbarrena et al., 2023). This review will focus primarily on this type of PIU.
On the other hand, SPIU is related to behaviours focused on specific activities, such as online games or online shopping, and is usually influenced by pre-existing clinical conditions that promote these behaviours, exacerbated by internet use. In these cases, if the individual could not express their problem through the internet, they would probably do so through another medium (Davis, 2001; Laconi et al., 2015; Machimbarrena et al., 2023). In the case of online gaming, one of the most researched SPIUs includes terms such as Internet Gaming Disorder (IGD), which is considered a non-substance addictive disorder whose main characteristic is the recurrent and persistent participation in online video games over time, leading to clinically significant distress (Carbonell, 2014), or terms such as Problematic Online Gaming (POG), which allude to a problematic use of this practice (Király et al., 2014). Machimbarrena et al. (2023) state that although there is some relation between PIU and IGD, they are distinct concepts, as IGD is a specific disorder that represents only one part of the PIU spectrum. Therefore, focusing exclusively on IGD could exclude other important aspects of PIU that also affect adolescents’ quality of life.
Another key aspect to consider is the impact of the COVID-19 pandemic. However, it should be noted that it represents a unique context that significantly disrupted usual patterns of social interaction and social media use, atypically influencing mental health issues. According to Obrenovic et al. (2024), lockdown and social distancing measures increased reliance on digital platforms for work and social interaction, exacerbating stress and exposure to content that negatively affects self-image. This increase in psychological stress, along with anxiety and loneliness, contributed to addiction to the internet and platforms such as Instagram, resulting in an excessive and problematic use of social media as a coping mechanism during the pandemic (Ballarotto et al., 2021).
In this sense, Wong et al. (2024) highlight that, during the pandemic, social media played a dual role: on the one hand, it served as a channel for obtaining social support in an environment marked by physical isolation, and on the other, its excessive use as a coping mechanism was associated with lower levels of emotional well-being. This duality reflects a complexity that differs from the dynamics observed in non-pandemic conditions.
Furthermore, previous meta-analytic studies (Hartanto et al., 2021; Wong et al., 2024) have found that the relationship between social media and well-being during the pandemic is not significant, in contrast to research conducted in pre-pandemic contexts (Marino et al., 2018; Yang et al., 2019), where consistent negative correlations were reported. This suggests that the pandemic context introduced specific contextual factors, such as increased loneliness and reliance on social media to maintain meaningful social interactions (Bucci et al., 2019; Naslund et al., 2016), which would attenuate the association between social media and mental health problems.
Electronic devices, such as mobile phones or tablets, are deeply integrated into everyday life and closely linked to internet use, making them susceptible to the development of problematic internet use (Pedrero et al., 2012). However, in this study, no distinction has been made between the different devices, as the focus has been on a generalized analysis of the problem, mainly addressing GPIU given its transversal nature and global impact on various areas of life (Laconi et al., 2015). However, in the Discussion section, some specific results related to the use of mobile phones are considered to contextualize the findings obtained.
Therefore, the term IA will be used in this study to refer to internet addiction (IA) itself, to problematic internet use (PIU), and to the generalized use of any digital technology (GPIU), excluding online gaming, which represents a specific form of internet use categorized as an addictive disorder.
Adolescents are the most vulnerable group to developing this addiction, as, at this stage of life, they are particularly sensitive to the social environment in which they live. Easy access through devices such as mobile phones or tablets makes internet use an important part of their daily lives (M. Li et al., 2014; Castellana et al., 2007). Recent studies show an increase in internet addiction, particularly in regions such as East Asia, Europe, and North America, where internet use is more common. In some Asian countries, it is estimated that up to 47.4% of adolescents may be affected by this problem. On the other hand, in Western countries, rates range from 1.6% to 5.5%, depending on factors such as the diagnostic criteria used and cultural particularities (Mishra et al., 2024).
Through this technology, adolescents have a means of learning, communication, leisure, and fun, making this technology an essential part of their daily lives. Thanks to the internet, communication with peers also becomes easier, since physical distance between interlocutors is no longer a problem. In addition, anonymity and the absence of eye contact facilitate interaction, masking identity and facilitating the communication of unpleasant topics or emotions (Castellana et al., 2007; Peris et al., 2020). Likewise, some difficulties specific to adolescence have been pointed out, such as omnipotence, the tendency to externalize guilt, the search for sensations, a lack of self-control, the difficulty of recognizing addictive behaviours, or the normalization of risky behaviours. These, together with adolescents’ limited life experience, can increase their risk of developing addictions (Castellana et al., 2007; Peris et al., 2020).
The core issue of problematic internet use, or internet addiction, lies in the future repercussions that this misuse has on the mental health of these adolescents (Lai et al., 2022), hence the importance of education for the development of good habits during this stage (Contreras et al., 2019).
In general, adolescence is a particularly sensitive stage in life, especially in terms of mental health. It is estimated that 14% of young people between 10 and 19 years of age suffer from some type of mental disorder (World Health Organization, 2024). The most frequent mental health disorders in this age group are anxiety and depression disorders (prevalence of 42.9%), conduct disorders (prevalence of 20.1%), attention and hyperactivity disorders (prevalence of 19.5%), intellectual and developmental disabilities (prevalence of 14.9%), and other mental disorders (prevalence of 9.5%) (Unicef Data, 2024). Anxiety disorders and depression are the most prevalent during adolescence, followed by conduct disorders (attention deficit hyperactivity disorder (ADHD), oppositional defiant disorder (ODD), and dissocial disorder (DD)). Finally, suicide is another of the main mental health problems in adolescence; its prevalence has increased in recent years, mainly due to the economic and health crisis, and it is considered the fourth leading cause of death in this age group (Unicef Data, 2024). Young people aged 15–29 years are considered to be one of the most vulnerable groups, with a higher prevalence in men (2:1) (Unicef Data, 2024).
Authors such as Pedrero et al. (2012) report higher levels of depression, anxiety, stress and psychological discomfort, greater difficulty in expressing emotions, low self-control, low self-esteem, insomnia, and a greater likelihood of suffering psychological disorders as a result of internet abuse. Other authors (Echeburúa & de Corral, 2010) explain that these mental health problems derive from internet dependence, as internet abuse will lead to a loss of control, with withdrawal symptoms appearing and resulting in increased levels of anxiety, depression, and irritability. All this leads to a progressive increase in tolerance, increasing the time spent online with negative repercussions in all areas of their lives (personal, emotional, social, academic, and family).
Furthermore, problematic internet use also appears to be related to substance use (Rücker et al., 2015). Evidence has been found of a direct relationship with tobacco use, but also with alcohol, cannabis, and other illegal drugs, but in these cases, consumption seemed to be mediated by tobacco use (Rücker et al., 2015). Thus, internet addiction would constitute a risk factor for the development of other addictive behaviours (Rücker et al., 2015). Finally, in relation to suicidal behaviours, authors such as Bousoño et al. (2017) considered that, although some elements of internet use may act as protective factors, in general, internet misuse is associated with an increased risk of suicidal ideation, self-harm, and depression.
Based on previous studies, some variables were identified as possible moderators that may contribute to inconsistency in the findings on associations between problematic internet use and mental health outcomes. Internet addiction is influenced by a combination of endogenous and exogenous factors. Endogenous factors include individual characteristics which may correlate positively or negatively with excessive device use (Tan, 2024). On the other hand, exogenous factors (Yang & Li, 2024), such as demographic, cultural, or social factors, also play a crucial role, as they create an environment that facilitates or increases addiction to these devices.
There is evidence that being male or female may contribute to differences in this relationship. Some studies showed that the associations of problematic internet use with depressive symptoms (Walburg et al., 2016; Lozano-Blasco & Cortes-Pascual, 2020), loneliness (Cai et al., 2023), and anxiety (Baloğlu et al., 2018) were stronger for men than for women. However, findings to the contrary were also found (Lei et al., 2020), as well as findings that showed no differences between gender groups for other variables such as depression, anxiety, and subjective well-being (Cai et al., 2023).
Regarding age as a moderating variable, Lei et al. (2020) observed that the relationship between excessive internet use and subjective well-being, as well as positive emotions, was stronger in younger students compared to university students. This finding suggests that age may influence how internet use affects well-being, especially at earlier stages of development. In contrast, Huang (2010) and Lozano-Blasco and Cortes-Pascual (2020) found no significant results in their analysis.
Geographic region as a moderating variable has been shown to be significant in several analyses. Cai et al. (2023) found that study region acted as a statistical moderator for the observed heterogeneity in correlations between problematic internet use and depressive symptoms, loneliness, and other mental health outcomes. Specifically, these associations were stronger in studies conducted in South Asia and Europe, compared to other regions coded in their meta-analysis (Europe, West Asia, and East Asia). The same was true for the study by Lei et al. (2020), who observed that the link between negative emotions and excessive internet use was stronger in studies with participants from central and western China than in those with participants from eastern China. In contrast, Lozano-Blasco and Cortes-Pascual (2020) found no significant evidence in their analysis. These findings highlight the importance of considering such variables as moderating factors in the present research.
Recent meta-analytic studies have found evidence of a relationship between problematic internet use and the appearance of internalizing symptomatology such as depression, anxiety, loneliness, self-esteem, or subjective well-being in adolescent or young adult populations (Lozano-Blasco & Cortes-Pascual, 2020; Cai et al., 2023; Lei et al., 2020; Huang, 2010; Çikrikci, 2016) (see Table 1). Cai et al. (2023) found that higher levels of PIU were associated with higher levels of depression, anxiety, and loneliness and lower subjective well-being. Lozano-Blasco and Cortes-Pascual (2020) focused on depressive disorder in adolescents aged 13–17, observing an increase in depressive disorder with higher internet use. Lei et al. (2020) identified that PIU is negatively correlated with subjective well-being, life satisfaction and positive emotions, and positively correlated with negative emotions. Huang (2010) and Çikrikci (2016) revealed lower well-being when PIU scores were higher, assessing components such as self-esteem and life satisfaction.
Table 1.
Meta-analyses on the relationships between problematic internet use and mental health.
As can be seen in Table 1, research on the relationship between internet addiction and externalizing problems in adolescents has been less investigated. In order to obtain more information about the role of these variables in internet addiction or problematic internet use, in addition to aggressiveness, externalizing symptomatology (externalizing problems, referring to general measures and impulsiveness) has been included.
This review examines the relationship between internet addiction/problematic internet use and mental health, taking into account both internalizing and externalizing symptomatology and focusing on the adolescent population. A meta-analytic approach was used to determine the impact of internet use on adolescent mental health, and two objectives were set: (a) to identify the relationship between inappropriate internet use (IA or PIU) and the most prevalent mental health variables in young people; (b) to quantify the strength of the relationship between each of them and the possible moderating variables (mean age, SD age, gender, JBI score, continent, and study design).
2. Materials and Methods
Following the objectives stated in this article, a literature review was carried out on the relationship between internet addiction and mental health to determine and quantify the impact of internet use on adolescent mental health.
The PRISMA guidelines for conducting and reporting systematic reviews and meta-analyses were followed. Table S1 (in the Supplementary Material) includes the PRISMA guide checklist applied to our study (Page et al., 2021). In addition, registration in the international systematic review database, PROSPERO, was carried out on 30 January 2024 (National Institute for Health and Care Research, n.d.).
2.1. Study Selection Criteria
Specific criteria were established for the inclusion of relevant articles in the analysis. These criteria included the selection of empirical and quantitative research articles, with a focus on the adolescent population aged 11–18 years, and written in English or Spanish. Articles that primarily addressed the relationship between addiction or problematic internet use and mental health were considered from any country of publication. In addition, the search was limited to articles published in the last five years, from 2019 to 2023, to ensure that the data are current and relevant to the constantly evolving field of internet use, ensuring that findings are applicable to the current context.
On the other hand, we excluded studies with a sample size of fewer than 30 participants, as well as those focused on video games or gaming, since the literature presented previously (Király et al., 2014; López-Fernández, 2018; Machimbarrena et al., 2023) highlights the difference between the concepts of GPIU and IGD and the existence of inconsistent results regarding the relationship between internet addiction or problematic internet use and online gaming. Thus, we decided to exclude these variables so as not to dilute the focus of this study. We also decided to exclude the COVID-19 variable from the search to avoid biased or unrepresentative results. Incorporating this variable could limit the validity of the results by mixing atypical contexts with more representative situations of the widespread use of social networks and their impact on well-being. In addition, articles whose main focus was not on internet use or which relegated internet use to a secondary role were discarded.
2.2. Search Strategy
To retrieve relevant studies in the field of internet addiction or problematic internet use and health, all the database collections of Web of Science (Clarivate Analytics, All Database) were used. These included bibliographic references of articles of scientific and academic interest in its core collection (Web of Science Core Collection) composed of eight databases: Medline, Current Contents Connect, SciELO Citation Index, Derwent Innovations Index, Grants Index, KCI-Korean Journal Database, Preprint Citation Index, and ProQuest Dissertations & Theses Citation Index.
The search was conducted in all Web of Science databases on 25 March 2023 and was limited to the last 5 years in the research areas of psychology, behavioural sciences, and pediatrics, with English and Spanish selected as the languages. This search was replicated by two more researchers.
The combination of terms entered into the search was as follows: ((((TS = (Internet addiction or excessive internet use or problematic internet use or digital technology use)) AND TS = (teenagers or adolescents or teens or youth)) AND TS = (mental health or mental illness or mental disorder or psychiatric illness or psychological consequences or psychological effect or psychological impact or psychological problems or psychological wellbeing or psychological well-being)) NOT TS = (gaming)) NOT TS = (COVID-19 or coronavirus or 2019-ncov or SARS-CoV-2 or CoV-19) NOT TS = (university students or college students or undergraduate students).
2.3. Study Selection
After the first search, as can be seen in the flow chart below (Figure 1), the total number of articles found was 830. Subsequently, after screening by title and abstract, the number decreased to 198 articles, of which, after a complete reading and application of the selection criteria, the number decreased to 68 articles.
Figure 1.
PRISMA flow diagram of the selection of studies for the meta-analysis.
Following an assessment of the methodological quality of these articles (according the JBI Critical Appraisal Checklist), 25 articles were eliminated for scoring less than 5 points on this scale, leaving 43 articles. These articles did not comply with some fundamental methodological aspects, such as the following: clear definition of the inclusion criteria in the sample, detailed description of the subjects and the environment, valid and reliable measurement of exposure, use of objective criteria to measure the condition, identification of confounding factors, proposal of strategies to address these factors, validity and reliability in measuring the results, and use of appropriate statistical analysis. Failure to meet these criteria limited the quality and reliability of the data presented in these studies, which could compromise the validity of the general conclusions. For this reason, we decided to exclude them to ensure greater methodological rigour and strengthen the evidence base used in this research.
Finally, 10 articles were eliminated because they did not provide sufficient quantitative information to calculate the effect size, leaving 33 articles.
2.4. Data Extraction from the Selected Studies and Coding of Variables
Once the final articles had been selected for review, a data extraction procedure based on variable coding followed. Each study was reviewed by two trained coders using a standard list of variables.
These were divided into the following variables: extrinsic, substantive, methodological, and outcome. The register carried out can be seen in Table S3 (in the Supplementary Material).
- Extrinsic variables include data referring to the code of each article, authors’ citations, number of authors, year of publication, and the article’s quality score (total and percentage).
- Among the substantive variables we find those referring to subject and sample variables (sample size, percentage of women, mean and standard deviation of age and nationality).
- Methodological variables refer to design variables and variables related to internet addiction, depression, anxiety, stress, suicidal behaviour (referring to suicidal behaviour or self-harm), psychological well-being, externalizing problems, and internalizing problems (where descriptors and instruments are recorded).
- Finally, outcome variables refer to the statistic used and the numerical result of the relationship between internet addiction and depression, anxiety, stress, suicidal behaviour (referring to suicidal behaviour or self-harm), psychological well-being, self-esteem, body image, internalizing problems, externalizing problems, tobacco use, alcohol use, aggressiveness, impulsiveness, and delinquent behaviour.
2.5. Computation of Effect Sizes
The effect size index was the Pearson’s correlation coefficient calculated between mental health constructs and internet addiction. For each study, the Pearson’s correlations were transformed into Fisher’s Z metric to normalize distributions and stabilize variances. To make their interpretation easier, Fisher’s Z values for the individual effect sizes, the mean effect sizes and their confidence limits were back transformed into Pearson correlation metric (Borenstein et al., 2009).
Although most of the studies included reported the results in terms of correlations, some studies did not directly report correlation coefficients. For example, if a study reported the results by means of means and standard deviations or odds ratios, conversion formulas were applied to transform them into correlation coefficients (for more details see Sánchez-Meca et al., 2003). If the study reported the results by means of medians, approximation methods were applied to estimate the means and standard deviations (for more details see Wan et al., 2014).
Effect sizes were calculated for each mental health construct: depression, anxiety, stress, psychological well-being, self-esteem, externalizing problems, aggressiveness, impulsiveness, and suicidal behaviour. In all cases, positive correlations indicated a positive relationship between mental health and internet addiction, and negative correlations indicated a negative relationship between mental health and internet addiction.
2.6. Statistical Analyses
Separate meta-analyses were carried out to assess the relationship between each mental health construct (depression, anxiety, stress, psychological well-being, self-esteem, externalizing problems, aggressiveness, impulsiveness, suicidal behaviour) and internet addiction.
As variability was expected in effect sizes, random-effects models were assumed (Borenstein et al., 2009). These models involve weighting each effect sizes by its inverse variance, defined as the sum of the within-study variance and between-study variance, the latter being estimated by restricted maximum likelihood (Cooper et al., 2019).
For each meta-analysis with more than 3 articles, a forest plot displaying the individual correlations was constructed, and the mean effect size with a 95% confidence interval was computed by means of the method proposed by Hartung (1999).
Cochran’s heterogeneity Q statistic and the I2 index were calculated to assess the heterogeneity among the effect sizes. The degree of heterogeneity was estimated using the I2 index (values of 0%, 25%, 50%, and 75%, representing no, low, moderate, and high heterogeneity, respectively) (Huedo-Medina et al., 2006).
Publication bias was assessed using both a funnel plot with Duval and Tweedie’s trim-and-fill method for imputing missing data and the Egger test (Duval & Tweedie, 2000; Egger et al., 1997). A statistically significant result of the Egger test (p < 0.10) was evidence of publication bias. p < 0.10 was used instead of the usual p < 0.05 because of the lower statistical power of the Egger test with such a small number of studies.
High heterogeneity indicates that the differences in effect size observed across studies can be caused by the presence of moderating factors or other sources of variation. In this sense, if I2 > 90% and the number of studies was at least 10, analyses of potential moderator variables were performed (Aguinis et al., 2011).
Weighted ANOVAs and meta-regressions for categorical and continuous moderators, respectively, were applied by assuming mixed-effects models. An improved F statistic developed by Knapp and Hartung (Knapp & Hartung, 2003; Rubio-Aparicio et al., 2020) was applied for testing the statistical significance of each moderator. In addition, an estimate of the proportion of variance accounted for by the moderator variable, R2, was calculated (López-López et al., 2014).
All statistical analyses were conducted with the metafor programme in R (4.2.3) (Viechtbauer, 2010).
3. Results
3.1. Assessment of Methodological Quality
To evaluate the quality of the articles selected in this meta-analysis, the tool “JBI Critical Appraisal Checklist”, more specifically one that evaluates cross-sectional studies, was used. This tool was developed by the JBI organization and its collaborators and approved by the JBI Scientific Committee after an extensive peer review (Moola et al., 2020). According to the organization, the objective of this assessment is to evaluate the methodological quality of a study and determine to what extent it has considered the possibility of bias in its design, execution and analysis. In addition, these authors stress the importance that during the conduct of a systematic review or meta-analysis, all articles selected for inclusion must undergo rigorous assessment by two critical appraisers.
In our study, this tool was used to assess the quality of the included studies (see Table S4, in the Supplementary Material). Specifically, this tool includes eight items, which reflect different areas of study quality (sampling methods, inclusion criteria and sample description, validity and reliability, measurement tool, identification and strategies to address confounding factors, and appropriate use of statistical analysis). Each of the eight items was scored as “Yes”, “No”, “Unclear”, and “Not applicable” and assigned a score of “1” or “0”, with 1 being “Yes” and 0 being the other options. Therefore, the total score ranges from 0 to 8. The quality rating score was obtained by adding up the scores for each of the items on the scale. For this purpose, a total score was derived. Its values could be between 0 and 8, and the score was also obtained as a percentage (by dividing the total score by the total number of items multiplied by 100).
The quality assessment was carried out independently by two authors and discrepancies were resolved by discussion between the two assessors.
3.2. Characteristics of the Included Studies
The search strategy initially identified 830 potential articles for inclusion in this article. After the screening process, a total of 33 studies met the eligibility and methodological quality criteria and were selected for this meta-analysis (Figure 1). A summary of the main data and results of the selected articles is shown in Table A1 (Appendix A).
Of the 33 studies finally selected, published between 2019 and 2023, a total sample of 303,823 individuals was obtained. In this regard, it should be noted that the smallest sample was 60 and the largest was 154,981. In terms of gender, of the total sample, 50.56% were men and 49.44% were women. It should be noted that only one study did not include women among its participants, and only men were included in its sample. The mean age of the total sample was 14.57 years; only two articles did not provide a mean age or standard deviation but gave an age range, while the remaining articles reported the mean age of their participants.
In terms of cultural differences, 66.67% of the selected studies were conducted in East Asia (China, Japan, Taiwan, and Macau), with the East Asian population accounting for 46.2% of the total sample. Similarly, 9.09% of the studies were conducted in West Asia (Lebanon, Israel, and Turkey) and another 9.09% in Europe (Spain and Slovakia), accounting for 0.74% and 1.55% of the total sample, respectively. A total of 6.06% of the research was carried out in South Asia (India and Malaysia) and another 6.06% in South America (Brazil), accounting for 0.14% and 0.37% of the total sample, respectively. Finally, there was one study, representing 3.03% of the total number of articles, where the participants’ nationality was shared between Europe, North America, and West Asia, accounting for 51.01% of participants in the total sample. The presence of different countries allows us to see whether there are differences between cultures.
The most frequent study design was cross-sectional (n = 28, 84.84%), with the rest of the studies being longitudinal (n = 5, 15.15%). Most of the studies did not report the time period assessed, while eight studies conducted their study over a period of 4–9 months; in one study, the time period was 1 year, in two studies, the time period was 2 years, and in one study, the time period was 4 years.
In terms of study outcomes, 18 studies assessed depression (41,693 subjects), 7 studies assessed anxiety (27,122 subjects), 2 studies assessed stress (8456 subjects), 6 studies assessed suicidal behaviour (82,872 subjects), 8 studies assessed psychological well-being (164,918 subjects), 5 studies assessed self-esteem (4742 subjects), 2 studies assessed externalizing problems (3172 subjects), 3 studies assessed aggressiveness (29,587 subjects), and 2 studies assessed impulsiveness (13,610 subjects).
The instruments used for each variable can be consulted in Table A2 (Appendix B), which highlights that the most widely used variable to measure internet addiction was the IAT. As for the psychological variables, the CES-D was most frequently used for depression and the GAD-7 and the DASS-21 for anxiety; the latter was also the most used for stress and psychological well-being. For suicidal behaviour, questionnaires proposed by the authors were used most often; for self-esteem, the RSES; for aggressiveness, the AQ was the most used; for impulsiveness, the only instrument found was the BISS-11; and for externalizing problems, the YSR and the SDQ were most frequent.
3.3. Mean Correlations and Heterogeneity
Table 2 shows the results of the nine meta-analyses performed for each outcome. For most of the variables analyzed, the results were statistically significant, as can be observed in the variables where the intervals do not cross the null value. The highest mean correlation was found for the relationship between internet addiction and aggressiveness (r+ = 0.391; 95% CI = 0.244, 0.521), followed by the mean correlation for internet addiction and depression (r+ = 0.318; 95% CI = 0.214, 0.415). Similar mean correlations were found for psychological well-being (r+ = −0.312; 95% CI = −0.407, −0.212) and self-esteem (r+ = −0.306; 95% CI = −0.527, −0.047). Last, the mean correlations that estimated the relationship between internet addiction and anxiety and between internet addiction and suicidal behaviour were the smallest (r+ = 0.252; 95% CI = 0.078, 0.412 and r+ = 0.264; 95% CI = 0.185, 0.339, respectively). In all cases, the mean correlations reflected moderate magnitudes. Furthermore, the sign of the correlations indicated the sense of the relationship between internet addiction and each outcome. However, some results were not statistically significant, as seen in the correlations for externalizing problems (general measures) (r+ = 0.292; 95% CI = −0.487, 0.813), impulsiveness (r+ = 0.303; 95% CI = −0.605, 0.868), and stress (r+ = 0.253; 95% CI = −0.996, 0.999), probably due to the low statistical power of such a small number of studies (k = 2).
Table 2.
Mean correlations between internet addiction and each outcome, 95% confidence intervals, and heterogeneity statistics.
It is important to consider the scarce number of studies that assessed the relationship between internet addiction and externalizing problems, aggressiveness, impulsiveness, and stress. For this reason, these results can be interpreted cautiously.
Finally, as can be seen in Table 2, the analyses found considerable heterogeneity among individual correlations in all meta-analyses (I2 > 90% and p < 0.001). Figure 2 presents the forest plots of the studies with more than three articles. All the relevant results of the quantitative synthesis are summarized in it.
Figure 2.
Forest plots displaying correlations with 95% confidence intervals between internet addiction and depression (A), anxiety (B), psychological well-being (C), self-esteem (D), and suicidal behaviour (E). RE (random-effects) model refers to the statistical model assumed in the computation of the mean correlation coefficient (Andrade et al., 2021; Pereira et al., 2020; Zhai et al., 2020; Chen et al., 2020; Liu et al., 2021; Gao et al., 2022; Yurdagül et al., 2021; Yi & Li, 2021; Kojima et al., 2021; Xu et al., 2020; X. Li et al., 2019; G. Li et al., 2019; Chi et al., 2019; Fujita et al., 2022; Obeid et al., 2019; Cao et al., 2021; Wang et al., 2022; Huang et al., 2023; Khasmohammadi et al., 2020; Yang & Zhu, 2023; Pontes & Macur, 2021; Boer et al., 2020; Mathew & Krishnan, 2020; Tamarit et al., 2021; Kuang et al., 2020; Liu et al., 2023; Peng et al., 2021a; Peng et al., 2021b; Hamdan et al., 2022).
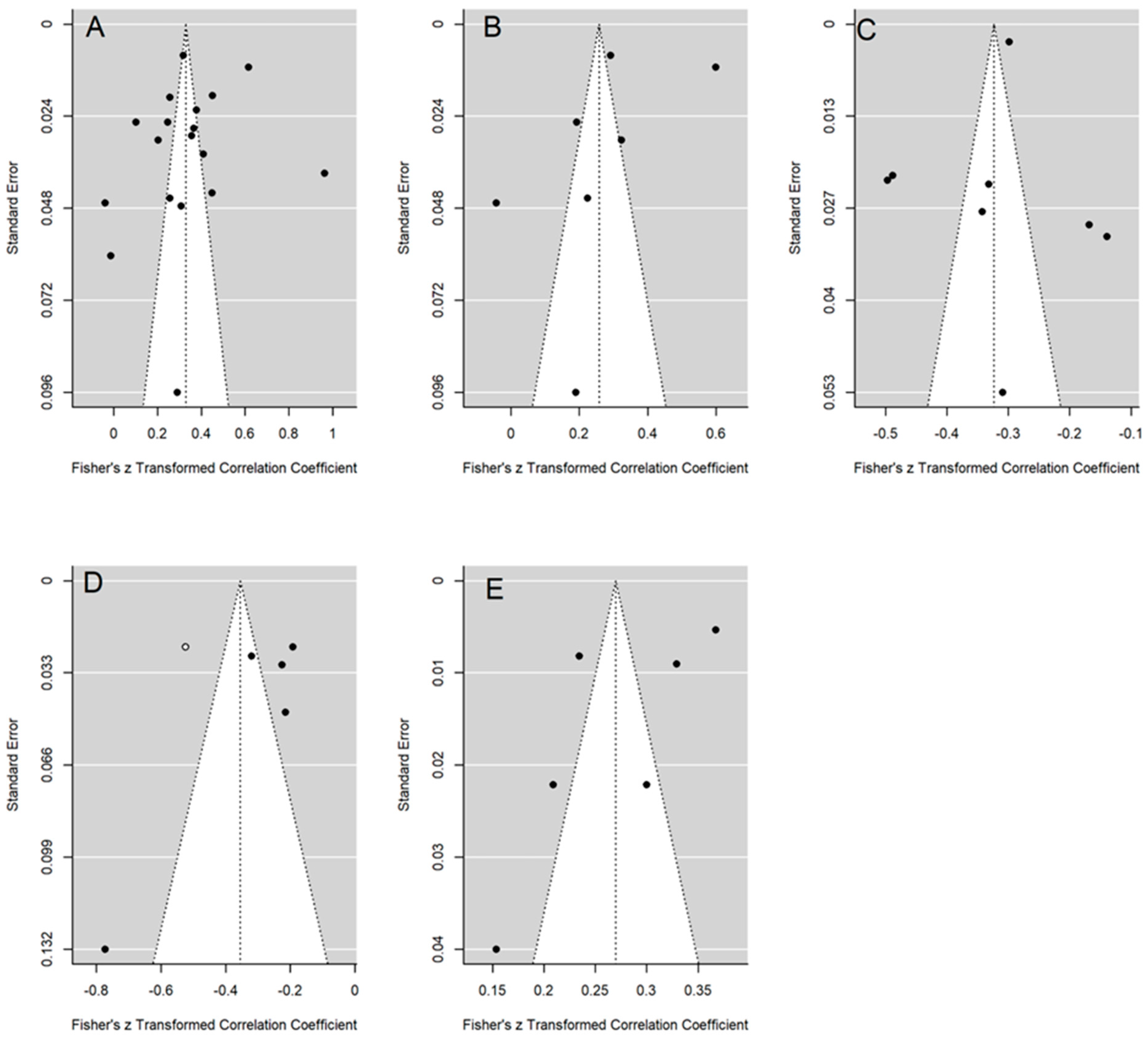
3.4. Publication Bias
Publication bias was analyzed for depression, anxiety, psychological well-being, self-esteem, and suicidal behaviour outcomes by constructed a funnel plot, and its asymmetry was assessed with the trim-and-fill method and the Egger test.
Non-significant results for the interception were obtained from the Egger test for depression (t(16) = −0.935; p = 0.364), anxiety (t(5) = −1.285; p = 0.255), psychological well-being (t(6) = 0.474; p = 0.652), and suicidal behaviour (t(4) = −2.271; p = 0.105). In addition, applying the trim-and-fill method, no correlation coefficients had to be imputed to achieve the symmetry of the funnel plots for depression, anxiety, psychological well-being, and suicidal behaviour (see Figure 3A, Figure 3B, Figure 3C, Figure 3D and Figure 3E, respectively). These results led us to discard publication bias as a threat against these meta-analytic results.
Figure 3.
Funnel plots of depression (A), anxiety (B), psychological well-being (C), self-esteem (D), and suicidal behaviour (E). The white circle is the correlation coefficient imputed by means of the trim-and-fill method.
For self-esteem outcomes, the Egger test yielded a significant result (p < 0.10) for interception (t(3) = −3.067; p = 0.053), and by applying the trim-and-fill method, an additional correlation coefficient was imputed to the set of original correlations to achieve symmetry in the funnel plot (see Figure 3D). The adjusted mean correlation, once corrected by publication bias, was radj = −0.355 (95% CI = −0.513, −0.196; k = 6). Compared with the original mean correlation obtained for the five studies (r+ = −0.306), the adjusted mean correlation barely changed.
3.5. Analyses of Moderators
The heterogeneity found among the correlations led us to carry out analyses of moderator variables for the outcome with at least 10 studies, i.e., depression.
Table 3 presents the results of the simple meta-regressions performed on continuous moderators. None of the analyzed moderators reached a statistically significant association (p < 0.05) with the correlations between internet addiction and depression.
Table 3.
Results of meta-regressions for the influence of continuous moderators on the correlations between internet addiction and depression.
The continent where the study took place and study design of the were also analysed as categorical moderators by means of weighted ANOVAs models. Table 4 presents those results. Once again, none of them reached a statistically significant association (F2,15 = 0.53, p = 0.601 and F1,16 = 0.16, p = 0.697, respectively).
Table 4.
Results of the weighted ANOVAs for the influence of categorical moderators on the correlations between internet addiction and depression.
4. Discussion
Our objective was to determine the impact of internet use on adolescents’ mental health. To this end, a meta-analytic study was conducted on the relationship between the most prevalent mental health variables and internet addiction, quantifying the strength of this relationship and possible moderating variables, such as age, sex, quality of the selected articles, nationality of the studies, and type of design used. We estimated the associations between problematic internet use and the nine mental health variables analyzed in the selected studies: depression, anxiety, stress, psychological well-being, self-esteem, suicidal behaviour, externalizing problems, aggressiveness, and impulsiveness.
The results indicate that internet addiction is related to the variables depression, anxiety, mental well-being, self-esteem, aggressiveness, and suicidal behaviour. The strength of these relationships reflects moderate magnitudes, with the relationship between internet addiction and aggressiveness being the highest, followed by the relationship with depression. These are followed by the relationship between internet addiction and psychological well-being and self-esteem, respectively. The lowest relationship was found between internet addiction and the variables anxiety and suicidal behaviour. However, no significant relationships were found between internet addiction and the variables of stress, impulsiveness, and externalizing problems (general measures), probably due to the small number of articles that analyzed the relationship with these variables.
Regarding the influence of moderating variables (mean age of the sample, standard deviation of age, percentage of women, study quality score (JBI), nationality, and study design), only their possible effect on the relationship between depression and internet addiction could be estimated. The results showed that these moderating variables had no effect on this relationship, indicating that this connection between internet addiction and depression was robust with regard these variables. The absence of significant findings for these moderators could be explained by the methodological diversity among the reviewed studies, including differences in the diagnostic criteria used to identify IA/PIU, the characteristics of the selected samples, and the statistical approaches used. Cultural factors also probably play a crucial role, as in Asian countries, the prevalence of IA/PIU is higher than in other regions.
Aggressiveness has been identified as one of the most prevalent externalizing behaviours in adolescence in the study of psychopathology (Keltikangas-Järvinen, 2005). In our meta-analytic study, it is one of the behaviours most strongly related to internet addiction. Obeid et al. (2019) and Peng et al. (2022) found that adolescents with higher scores on internet addiction showed higher levels of aggressiveness. Peng et al. (2022), in addition to supporting the idea that internet addiction was a positive predictor of aggression, showed that aggression was at the same time a predictor of internet addiction, both being a risk factor for the other. On the other hand, Huang et al. (2023), conducted a study where they observed the effect that an aggressive personality has on problematic internet use and suicidal ideation in adolescents, finding that participants who have more problems with the internet show greater suicidal ideation, with this association being stronger in groups with aggressiveness. These results are consistent with previous research showing that both the frequency of use and the severity of internet addiction are related to higher aggression scores (Kim et al., 2015; Koo & Kwon, 2014). In this sense, internet use seems to facilitate the expression of latent aggressive impulses, such as repressed anger, aggression, or hostility, which are not acceptable in society but can be released in the digital environment; the relief of these emotional states generates a rewarding feeling that seems to lead to addiction (Koo & Kwon, 2014; Fumero et al., 2018).
Several studies highlight the association between depression and internet addiction (Obeid et al., 2019; Chen et al., 2020; Xu et al., 2020; Chi et al., 2019; Gao et al., 2022). Only one of the studies included in this meta-analysis, Andrade et al. (2021), found no significant associations between problematic internet use and emotional variables, including depression. The authors claim that this lack of association could be explained by the small sample size. Among those supporting this association is the study by Fujita et al. (2022), who revealed how adolescents with PIU show greater depressive symptoms compared to patients without PIU. The study by Wang et al. (2022) with adolescents with a diagnosis of Major Depressive Disorder concluded that adolescents with more severe depressive symptoms are more likely to have symptoms of internet addiction. Pereira et al. (2020) showed an association of problematic smartphone use (PSU) with depressive symptoms, and the results suggest that adolescents with PSU are more likely to experience mood disturbances and depressive symptoms than adolescents without PSU. Yurdagül et al. (2021) found a direct relationship between problematic social media use, more specifically Instagram, with depression and other psychopathological symptoms.
Regarding the direction of the relationship between depression and internet addiction among the selected studies, the longitudinal studies by Yi and Li (2021) and G. Li et al. (2019) or the cross-sectional study by Gao et al. (2022) stated that it is depressive symptoms that predict the onset of internet addiction, while others (Huang et al., 2023; Kojima et al., 2021) found that problematic internet use precedes depressive symptoms.
In this sense, one of the most common explanatory hypotheses for this relationship is displacement theory, which posits that spending excessive time on the internet or using digital devices reduces face-to-face interactions and takes time away from other important tasks. This can deteriorate real-life interpersonal relationships, leading to feelings of isolation and psychological difficulties, such as anxiety, depression, and low self-esteem, ultimately impacting the individual’s mental health negatively (Baloğlu et al., 2018; Twenge, 2019).
On the other hand, some authors suggest the reverse hypothesis, that people with depressive symptoms use the internet to reduce negative feelings, a behaviour described by some authors as compensatory internet use. This concept attempts to explain the frequent assumption that individuals turn to the internet to escape real-life problems or alleviate dysphoric moods, a practice that can sometimes lead to negative outcomes (Kim et al., 2015; Kardefelt-Winther, 2014). In the same way, research by Heffer et al. (2019) and Raudsepp and Kais (2019) found that depression led to increased social media use. Chang et al. (2014) show that depression predicts and supports the persistence of young people’s internet addiction. However, Bickham et al. (2015) claim that it is internet addiction that affects depressive symptoms, proving that levels of depression can be reduced if internet use is controlled through household rules. These results suggest a bidirectional relationship indicating that while internet addiction may exacerbate depressive symptoms, underlying mental health conditions may also drive problematic internet use, creating a cycle that worsens both.
The mediating role of depression in the relationship between IA/PIU and other variables, such as perception of school climate (Zhai et al., 2020), bullying victimization (Liu et al., 2021), or peer victimization (X. Li et al., 2019), has also been analyzed. Depression proved to be a mediating variable in these relationships, determining that the relationship between depression and IA or PIU was significant and positive. Similarly, a longitudinal study by Cao et al. (2021) examines the mediating effect of IA concerning the relationship between depression and bullying victimization, identifying IA as a mediating variable and establishing a significant positive relationship between depression and IA. Previous studies confirm this relationship, indicating that higher levels of internet addiction are related to higher levels of depression (Cai et al., 2023; Colder-Carras et al., 2017; Liang et al., 2016; Akin & Iskender, 2011; Ha et al., 2007).
Regarding psychological well-being, some studies support its association with internet addiction (Khasmohammadi et al., 2020; Wang et al., 2021; Pontes & Macur, 2021), noting that higher levels of internet addiction are associated with poorer levels of psychological well-being. Wang et al. (2021) report a positive association between PIU and behavioural and emotional problems, while Pontes and Macur’s study (2021) finds that PIU is associated with lower levels of subjective well-being.
The longitudinal study by Huang et al. (2023) identified three distinct trajectories of IA (low increase, moderate decrease, and high decrease) among adolescents over three years. Their results indicated that being in the high or moderate IA risk groups was associated with lower psychological well-being. Arrivillaga et al. (2022) found a direct association between problematic smartphone use (PSU) and psychological distress. Boer et al. (2020) analyzed the problematic social network use (PSMU) and psychological well-being of adolescents with data from 29 countries and found that PSMU is indicative of low well-being in all domains assessed and in all countries.
Psychological well-being was also analyzed as a mediating variable in the relationship between PIU and other behavioural or mental health variables. Liu et al. (2023) focused on the mediating role of negative affectivity in the relationship between PIU and suicidality and self-injurious behaviours; Yang and Zhu (2023) analyzed the mediating role of mental health in the relationship between PIU and externalizing behavioural problems among adolescents. In both cases, psychological well-being was found to be a mediating variable between these relationships, as well as indicating a positive association between these variables, determining that the higher the PIU, the worse the psychological well-being.
Thus, according to the authors reviewed in this meta-analytic study, it is generally observed that higher levels of addiction are associated with poorer psychological well-being. Previous studies (Lin et al., 2018; Mei et al., 2016) agree with this result. According to Cardak (2013), an explanatory hypothesis is that the variable psychological well-being is related to a mental state characterized by feelings such as satisfaction, pleasure, self-perception of well-being, and positive emotions, which contrasts with aspects usually linked to internet addiction, such as loneliness, poorer social adaptation, poorer emotional skills, and neuroticism, all of which hinder the individual’s adaptation and coping ability.
As with psychological well-being, self-esteem was also inversely related to internet addiction. Studies by Obeid et al. (2019) and Chen et al. (2020) support the association between self-esteem and internet addiction, indicating that higher levels of internet addiction resulted in lower levels of self-esteem. Also, as with psychological well-being in the longitudinal study by Huang et al. (2023), the results indicate that being in the high or moderate IA risk groups is associated with lower self-esteem. In the research carried out by Mathew and Krishnan (2020), they observe that higher levels of PIU resulted in lower levels of self-esteem.
Finally, a study by Tamarit et al. (2021) focuses on the mediating role of body self-esteem in the relationship between IA and sexual victimization in adolescents. It was found that self-esteem did affect this relationship, as well as being associated with IA, determining that the higher the IA, the lower the self-esteem. In support of these results, previous studies (Cardak, 2013; Bahrainian et al., 2014) agree with these findings and found similar results. Griffiths’s (2000) explains that individuals who evaluate themselves negatively may perceive the internet as a means to compensate for some self-perceived shortcomings or negative aspects. Through anonymity or the absence of face-to-face contact, the internet helps them with the adoption of another personality or social identity, thus satisfying these shortcomings and generating a dependent relationship with this medium.
In relation to anxiety and its association with IA, several studies support the relationship that higher levels of anxiety lead to higher levels of internet addiction (Obeid et al., 2019; Gao et al., 2022; G. Li et al., 2019). These include Fujita et al. (2022), who in their study reveal how adolescents with PIU showed higher anxious symptoms compared to patients without PIU. However, Andrade et al. (2021), as with depression, did not find significant associations between PIU and anxiety due to the small sample used. Yurdagül et al. (2021) found that problematic social media use (PSMU), more specifically Instagram, is directly positively associated with anxiety for the male sample, while for females, this association was indirect. The study by X. Li et al. (2019) focused on the mediating role of anxiety on the basis of the relationship between IA and peer victimization, determining how anxiety affects this relationship, as well as observing that higher levels of IA lead to higher levels of anxiety. Previous studies confirm these results (Akin & Iskender, 2011; Woods & Scott, 2016). This fact could be explained, on the one hand, by the fact that people with anxiety have a preference for online social interactions as these interactions have benefits for these people; they help them to maintain control over some variables such as the speed of interaction, the elaboration of sentences, or the way in which they appear in front of the other person, factors that help to increase feelings of security and confidence (Akin & Iskender, 2011; Caplan, 2006). On the other hand, instances when internet access is restricted, when messages cannot be responded to immediately, or when the FOMO phenomenon occurs have also been found to be associated with increased symptoms of anxiety (Woods & Scott, 2016).
Regarding the relationship between IA and suicidal and self-harming behaviours, some studies found that increases in IA scores led to increases in suicidal behaviours, including suicidal ideation (SI), suicidal plans (SPs), and suicidal attempts (SAs) (Peng et al., 2021a, 2021b). In relation to suicidal ideation, other studies (Kuang et al., 2020; Huang et al., 2020) agree that the higher the IA/PIU, the higher the suicidal thoughts. Furthermore, the study by Liu et al. (2023) found a direct effect of PIU on suicidality and self-injurious behaviours (SSIBs) and the study by Hamdan et al. (2022) found that an increase in IA/PIU was related to suicidal and self-injurious behaviours. Suicidal behaviours, especially in young people, are one of the problems with the greatest impact on global public health (Unicef Data, 2024). It is therefore important to look for variables that may be related or may be a risk factor for these behaviours to take place.
Previous studies agree with the results described above (Bousoño et al., 2017; Cheng et al., 2018; Marchant et al., 2017; Kaess et al., 2014). However, authors such as Daine et al. (2013) claim that internet use can have protective effects as it can serve as a source of emotional support and improve coping strategies. Nevertheless, when talking about problematic internet use, there seem to be more negative effects in relation to an increased risk of self-harm or suicidal ideation, as inappropriate internet use facilitates exposure to suicidal behaviour and is associated with more dangerous methods of self-harm (Bousoño et al., 2017).
Finally, regarding the variables of stress, impulsivity, and externalizing problems (general measures), our study does not yield significant results due to the small number of articles found for this meta-analysis in relation to these variables. We will now briefly comment on the most significant results of the analyzed studies.
In relation to stress and its association with IA, Gao et al. (2022) support the relationship that higher levels of stress lead to higher levels of internet addiction. However, in the study by Andrade et al. (2021), as with depression and anxiety, no significant associations are found between PIU and stress, alleging that this could be explained by the small sample used.
In relation to impulsivity, Obeid et al. (2019) find more internet addiction in students with higher levels of impulsivity, and Huang et al. (2023) report a stronger association between PIU and suicidal ideation in students with impulsive personality.
For externalizing problems (in relation to general measures), Yang and Zhu (2023) find that PIU plays a negative role in promoting externalizing problem behaviours, as a positive association is found between these two variables. As in the study by Wang et al. (2021) they point out that the higher the PIU levels, the higher the presence of behavioural problems, especially in relation to hyperactivity and conduct problems.
Limitations
This paper included studies from around the world and illustrated the relationship between various mental health variables and AI, including symptomatological variables characteristic of both internalizing and externalizing disorders and positive variables such as well-being and self-esteem. We included only validated measures of IA for each of the nine mental health variables, and studies with a quality of between 5 and 8 points on the JBI scale, eliminating those below 5 points. However, our study also has limitations.
Firstly, the number of articles found for each of the mental health variables, with the exception of studies on depression, was below 10 articles. In this sense, this small number of articles for most of the variables only allowed us to take into account moderating variables in the relationship between depression and internet addiction. At the same time, the absence of significant findings in this relationship may be due to the methodological heterogeneity of the selected studies, as well as the possible influence of cultural factors not considered. There is also a potential bias related to the sample selected, given that a significant portion of the included studies come from East Asian regions, where cultural, technological, and social patterns may differ from other geographies. This could limit the generalizability of the findings to global contexts.
Secondly, some of the variables found after data extraction had to be extracted from the analyses due to the scarcity of studies found (n = 1) (body image, internalizing problems, delinquent behaviour) and the impossibility of extracting the effect size from the original item (tobacco use and alcohol use).
Third, although some studies included in this meta-analysis explored the bidirectional nature of some of the associations analyzed, most of them had a cross-sectional design, which limits the possibility of making inferences about the causal relationship between internet addiction and adolescent mental health. Therefore, future studies can employ longitudinal designs to further explore this bidirectionality and shed more light on these dynamics.
Fourthly, no publication biases were found for any variable except self-esteem, which forces us to interpret the data with caution with respect to this variable.
Finally, the missing data could limit the interpretation of moderator analyses.
5. Conclusions
Due to the increasing use of the internet, several studies have focused on the relationship between internet addiction and mental health-related problems. The present meta-analysis aims to synthesize and quantify the evidence found in recent years on the relationship of IA with mental health problems, both internalizing and externalizing, in the adolescent population.
The selected studies found evidence of a positive association between IA and variables such as depression, anxiety, stress, suicidal behaviour, externalizing problems, aggressiveness, and impulsiveness, as well as a negative association with self-esteem and psychological well-being. Only one study (Andrade et al., 2021) was unable to determine the existence of a relationship between IA and depression, anxiety, and stress.
The results of our meta-analysis confirm all relationships, except for the variables of stress, impulsivity, and externalizing problems (general measures), where no significant associations with AI were found. The strength of the relationships found is of moderate magnitude and is the strongest for aggression and depression and the weakest for anxiety and suicidal behaviour.
These results help to expand our knowledge about internet addiction and its relationship with mental health variables in young people, emphasizing not only internalizing variables but also externalizing variables such as aggression, for which we have less evidence. The study of the consequences of problematic internet use on mental health is a fundamental requirement for making progress in the design and implementation of more effective and efficient interventions in a population as vulnerable as adolescents.
Supplementary Materials
The following supporting information can be downloaded at https://www.mdpi.com/article/10.3390/bs15020116/s1, Supplementary S1. Table S1. PRISMA 2020 checklist; Supplementary S2. Table S2. PRISMA 2020 checklist for structured summaries; Supplementary S3. Table S3. Coding of variables for analysis in SPSS (28.0.1.1 (14)); Supplementary S4. Table S4. Article quality assessment (n = 33) by JBI scale.
Author Contributions
Conceptualization, R.M.L.-G., R.M.P.-H. and E.S.-M.; methodology, M.R.-A. and E.S.-M.; formal analysis, M.R.-A. and E.S.-M.; writing—original draft preparation, E.S.-M.; writing—review and editing, R.M.L.-G., R.M.P.-H. and E.S.-M.; visualization, M.R.-A.; supervision, R.M.L.-G. and R.M.P.-H. All authors have read and agreed to the published version of the manuscript.
Funding
The APC was funded by the European School of Alicante (Project 12274: Psychopedagogical Assessments). This financial aid is linked to a transfer contract. This service and research contract has been carried out by the Office for the Transfer of Research Results (OTRI) of the University of Murcia in collaboration with the European School of Alicante. Also, the publication of this article is part of the transfer activities associated with this project, which has been financed by the European School of Alicante.
Institutional Review Board Statement
Not applicable.
Informed Consent Statement
Not applicable.
Data Availability Statement
Data on guidelines for the publication of systematic reviews and/or meta-analyses and structured abstracts, coding of selected variables for analysis in SPSS, and quality checklists of studies are available in the Supplementary Material of this article.
Conflicts of Interest
The authors declare no conflicts of interest.
Appendix A. Characteristics of Included Studies
Table A1.
Characteristics of included studies.
Table A1.
Characteristics of included studies.
| Author (Year) | Nationality | Study Design | Total Sample Size | Sex (F = Female M = Male) | Mean Age (SD Age) | Period of Study | Study Outcome | Assessment Tools | Main Results Between Internet Adiction/Problematic Internet Use and Study Outcome |
|---|---|---|---|---|---|---|---|---|---|
| Andrade et al. (2021) | South America | Cross-sectional | 466 | F = 53% M = 47% | 12.8 (1.9) | Not Reported | Depression, anxiety, stress | Internet Addiction Test (IAT), Depression, Anxiety and Stress Scale (DASS-21) | The analysis of variance did not detect any differences between the no PIU and PIU groups regarding the DASS-21 subscales (depression, anxiety, and stress) (p > 0.05) |
| Arrivillaga et al. (2022) | Europe | Cross-sectional | 1882 | F = 54% M = 46% | 14.71 (1.60) | Not Reported | Psychological well-being | Spanish short version of the Smartphone Addiction Scale (SAS-SV), Depression, Anxiety and Stress Scale (DASS-21) | PSU was directly associated with psychological distress (r = 0.32, p < 0.01) |
| Boer et al. (2020) | Europe, North America, West Asia | Cross-sectional | 154,981 | F = 51% M = 49% | 13.54 (1.64) | 2017–2018 | Psychological well-being | 9-item Social Media Disorder Scale, “Mental” ranking de Cantril’s ladder, HBSC Symptom Checklist | Problematic social media use was correlated with psychological complaints (r = 0.290, p < 0.001) |
| Cao et al. (2021) | East Asia | Cross-sectional | 2022 | F = 50.1% M = 49.9% | 13.04 (1.0) | Not Reported | Depression | Young’s Internet Addiction Scale (IAT), Center for Epidemiologic Studies of Depression Symptom Scale (CES-D) | Correlation analysis indicated that internet addiction and depression have significant, positive correlations with each other (r = 0.36, p < 0.01) |
| Chen et al. (2020) | East Asia | Cross-sectional | 451 | F = 49.2% M = 50.8% | 11.35 (0.56) | 2020 | Depression, self-esteem | Internet Addiction Test (IAT), Center for Epidemiologic Studies of Depression Symptom Scale (CES-D), Rosenberg Self-Esteem Scale (RSES) | IA was positively correlated with depression (r = 0.2986) and self-esteem (r = 0.2127) |
| Chi et al. (2019) | East Asia | Cross-sectional | 522 | F = 42.92% M = 57.08% | 12.33 (0.56) | Not Reported | Depression | Young and De Abreu’s ten-item Internet addiction test, Center for Epidemiologic Studies of Depression Symptom Scale (CES-D) | Internet addiction was positively correlated with depression (r = 0.42, p < 0.01) |
| Fujita et al. (2022) | East Asia | Cross-sectional | 112 | F = 42.8% M = 57.2% | 13.65 (1.9) | April 2016-March 2018 | Depression, anxiety | Internet Addiction Test (IAT), 9 items-Patient Health Questionnaire (PHQ-9), Generalized anxiety disorder 7-item scale (GAD-7). | IA was positively correlated with depression (r = 0.2808) and anxiety (r = 0.1868) scores |
| Gao et al. (2022) | East Asia | Cross-sectional | 7990 | F = 49.62% M = 50.38% | Not Reported | Depression, anxiety, stress | Revised Chen Internet Addiction Scale (CIAS-R), Depression, Anxiety and Stress Scale (DASS-21) | IA was positively correlated with depression (r = 0. 5472), anxiety (r = 0.5357), and stress (r = −0.4810) | |
| Hamdan et al. (2022) | West Asia | Cross-sectional | 642 | F = 53.6% M = 46.4% | 14.95 (1.53) | Not Reported | Suicide | Internet Addiction Test (IAT), Deliberate Self-Harm Inventory-Youth Version (DSHI-Y) | IA was positively correlated with suicidal ideation (r = 0.1521) |
| Huang et al. (2023) | East Asia | Longitudinal | 1365 | F = 46.8% M = 53.2% | 14.68 (1.56) | 2015–2017 | Depression, psychological well-being, self-esteem | 10-item IA Diagnostic Questionnaire, Children’s Depression Inventory (CDI-S), 9-item Index of Well-Being, Rosenberg Self-Esteem Scale (RSES) | IA was positively correlated with depression (r = 0.3500) and inversely correlated with psychological well-being (r = −0.3100) |
| Huang et al. (2020) | East Asia | Cross-sectional | 12,507 | F= 51.49% M= 48.41% | 16.6 (0.8) | Not Reported | Suicidal ideation, aggressiveness, impulsiveness | Internet Addiction Test (IAT), Scales produced by the Beijing Center for Psychological Crisis Research and Intervention, Chinese version of the Buss & Perry aggression questionnaire (AQ-CV), Barratt impulsiveness scale-Chinese version (BIS-CV) | IA was positively correlated with suicidal ideation (r = 0.3176), aggressiveness (r = 0.4426), and impulsiveness (r = 0.3709) |
| Khasmohammadi et al. (2020) | South Asia | Cross-sectional | 357 | F = 49.6% M = 50.4% | 16.14 (1.42) | 12 months (Not Reported) | Psychological well-being | Compulsive Internet Use Scale (CIUS), Subjective Vitality Scale (SVS) | Psychological well-being was negatively and significantly related to compulsive internet use (r = −0.300, p < 0.01) |
| Kojima et al. (2021) | East Asia | Longitudianl | 1192 | F = 50.83% M = 49.17% | 2014–2018 | Depression | Internet Addiction Test (IAT), Birleson Depression Self-Rating Scale (DSRS) | The correlations between all PIU waves (t1, t2, t3) and depression waves (t1, t2, t3) correlate positively with each other (p < 0.05). Correlation between PIU-t1 and depression-t1 was (r = 0.34, p < 0.05) | |
| Kuang et al. (2020) | East Asia | Cross-sectional | 36,266 | F = 46% M = 54% | 18.6 (1.9) | Not Reported | Suicidal ideation | Internet Addiction Test (IAT), Scale of Suicidal Ideation developed | IA was positively correlated with suicidal ideation (r = 0.3513) |
| G. Li et al. (2019) | East Asia | Longitudinal | 1545 | F = 55% M = 45% | 14.88 (1.81) | 6 months (Date Not Reported) | Depression, anxiety | Internet Addiction Test (IAT), Zung’s self-rating depression scale (SDS), Zung’s self-rating anxiety scale (SAS) | Correlations between all IA waves (t1, t2, t3) correlated positively with depression (t1, t2, t3) and anxiety (t1, t2, t3) waves (p < 0.05) except the correlation between AI-t2 with Depression-t1 and the correlation between AI-t3 with Depression-t3. Correlation between IA-t1 and Depression-t1 was (r = 0.10, p < 0.001) and AI-t1 and Anxiety-t1 was (r = 0.19, p < 0.001) |
| X. Li et al. (2019) | East Asia | Cross-sectional | 15,415 | F = 50.26% M = 49.74% | 14.6 (1.7) | Not Reported | Depression, anxiety | Young diagnostic questionnaire for internet addiction (YDQ), Chinese version of the Center for Epidemiologic Studies Depression 9-item scale (CES-D9), Generalized anxiety disorder 7-item scale (GAD-7) | Both depressive (r = 0.307, p < 0.01) and anxiety symptoms (r = 0.283, p < 0.01) were positively associated with internet addiction |
| Liu et al. (2021) | East Asia | Longitudinal | 879 | F = 41.9% M = 58.1% | 13.51 (1.17) | 8 months (Not Reported) | Depression | Internet Addiction Test (IAT), Center for Epidemiologic Studies of Depression Symptom Scale (CES-D) | There is a positive correlation between PIU and depressive symptoms (r = 0.388, p < 0.001) |
| Liu et al. (2023) | East Asia | Cross-sectional | 2095 | F = 49% M = 51% | 14.66 (1.87) | Not Reported | Suicide, psychological well-being | Revised Chen Internet Addiction Scale (CIAS-R), Health- Risk Behavior Inventory for Chinese Adolescents (HBICA), Depression, Anxiety and Stress Scale (DASS-21) | PIU was positively correlated with suicidality and self-injurious (r = 0.291, p < 0.001) and negative affectivity (r = 0.4553, p < 0.001) |
| Mathew and Krishnan (2020) | South Asia | Cross-sectional | 60 | F = 0% M = 100% | 15 (1.0) | Not Reported | Self-esteem | Internet Addiction Test (IAT), State Self-Esteem Scale (SSES) | Problematic internet use was significantly negatively correlated with self-esteem (r = −0.649, p < 0.001) |
| Obeid et al. (2019) | West Asia | Cross-sectional | 1103 | F = 58.4% M = 41.6% | 15.50 (1.33) | 2017–2018 | Depression, anxiety, self-esteem, aggressiveness, impulsiveness | Internet Addiction Test (IAT), Multiscore Depression Inventory for Children (MDIC), Buss–Perry Scale (AQ), BARRAT Impulsiveness Scale (BIS-11) | Higher IA was significantly and positively correlated with more impulsivity (r = 0.226, p < 0.001), more physical aggression (r = 0.328, p < 0.001), more anxiety (r = 0.312, p < 0.001), and more sad mood (r = 0.199, p < 0.001). However, less IA was correlated with higher self-esteem (r = −0.222, p < 0.001) |
| Peng et al. (2021a) | East Asia | Cross-sectional | 16,130 | F = 48.1% M = 51.9% | 15.22 (1.79) | February to October in 2015 | Suicidal behaviour | Internet Addiction Test (IAT), Questionaire | Internet addiction was positively correlated with suicidal behaviours (r = 0.206, p < 0.01) |
| Peng et al. (2021b) | East Asia | Cross-sectional | 15,232 | F = 48.2% M = 51.8% | 15.18 (1.71) | February to October in 2015 | Suicidal behaviour | Internet Addiction Test (IAT), Questionaire | Internet addiction was positively correlated with suicidal behaviours (r = 0.23, p < 0.01) |
| Peng et al. (2022) | East Asia | Cross-sectional | 15,977 | F = 48.2% M = 51.2% | 15.21 (1.74) | February to October 2015 | Aggressiveness | Internet Addiction Test (IAT), Buss and Warren’s Aggression Questionnaire (BWAQ) | IA was positively correlated with aggressiveness (r = 0.39) |
| Pontes and Macur (2021) | Europe | Cross-sectional | 1066 | F = 50% M = 50% | 13.46 (0.58) | Not Reported | Psychological well-being | Problematic Internet Use Questionnaire Short-Form (PIUQ-SF-6) Questionaire | PIU was inversely correlated with well-being (r = −0.1387) |
| Pereira et al. (2020) | South America | Cross-sectional | 667 | F = 53.8% M = 46.2% | 15.5 (1.87) | Not Reported | Depression | Spanish short version of the Smartphone Addiction Scale (SAS-SV), Beck Depression Inventory (BDI) | Smartphone use was positively correlated with depression (r = −0.7451) |
| Tamarit et al. (2021) | Europe | Cross-sectional | 1763 | F = 51% M = 49% | 14.56 (1.16) | Not Reported | Self-esteem | Scale of risk of addiction to social media and the Internet for adolescents (ERA-RSI), Escala de Autoestima Corporal (EAC) | Addiction symptoms are significantly negatively associated with body satisfaction (r = −0.19, p < 0.01) |
| Wang et al. (2022) | East Asia | Cross-sectional | 278 | F = 73.4% M = 26.6% | 15.28 (1.71) | Not Reported | Depression | Internet Addiction Test (IAT), Center for Epidemiologic Studies of Depression Symptom Scale (CES-D) | IA was positively correlated with depression (r = −0.0146) |
| Wang et al. (2021) | East Asia | Cross-sectional | 1976 | F = 49.2% M = 50.8% | 13.6 (1.5) | January to April 2019 | Psychological well-being, externalizing problems | Internet Addiction Test (IAT), Self-report Strengths and Difficulties Questionnaire (SDQ) | Problematic internet use was significantly correlated with total difficulties (behavioral and emotional problems) (r = 0.46, p < 0.05) and conduct problems (r = 0.35, p < 0.05) |
| Xu et al. (2020) | East Asia | Cross-sectional | 2892 | F = 46.2% M = 53.8% | 15.1 (1.7) | April to July 2017 | Depression | Internet Addiction Test (IAT), Center for Epidemiologic Studies of Depression Symptom Scale (CES-D) | IA was positively correlated with depression (r = 0.4216) |
| Yang and Zhu (2023) | East Asia | Cross-sectional | 1196 | F = 49.4% M = 50.6% | 14.45 (0.63) | 2021 | Psychological well-being, externalizing problems | 10 items Internet Addiction Test (IAT), 12-item General Health Questionnaire (GHQ-12), Youth Self-Report (YSR) | Problematic internet use was positively associated with externalizing problem behaviors (r = 0.230, p < 0.01) and negatively associated with mental health (r = −0.167, p < 0.01). |
| Yi and Li (2021) | East Asia | Longitudinal | 1545 | F = 55% M = 45% | 14.88 (1.81) | 6 months (Date Not Reported) | Depression | Internet Addiction Test (IAT), Zung’s self-rating depression scale (SDS) | The correlations between all IA waves (t1, t2, t3) and depression waves (t1, t2, t3) correlate positively with each other (p < 0.001). Correlation between AI-t1 and depression-t1 was (r = 0.24, p < 0.001) |
| Yurdagül et al. (2021) | West Asia | Cross-sectional | 491 | F = 58.65% M = 41.35% | 15.92 (1.07) | Not Reported | Depression, anxiety | Bergen Facebook Addiction Scale (BFAS), Short Depression-Happiness Scale (SDHS), State-Trait Anxiety Inventory Short Form (STAI-6) | Problematic Instagram use (PIU) was associated with depression (r = 0.25, p < 0.001) and general anxiety (r = 0.22, p < 0.001). |
| Zhai et al. (2020) | East Asia | Cross-sectional | 2758 | F = 54% M = 46% | 13.53 (1.06) | Not Reported | Depression | Internet Addiction Test (IAT), Children’s Depression Inventory (CDI-S) | There is a positive correlation between T2-PIU and T1-Depression (r = 0.25, p < 0.001). |
Appendix B. Coding of Variables for Analysis in SPSS
Table A2.
Summary of instruments used in the selected articles.
Table A2.
Summary of instruments used in the selected articles.
| Assessment Tools | Study Outcome | Author | |
|---|---|---|---|
| Internet Addiction Test (IAT) | Internet addiction (IA)/problematic internet use (PIU) | Wang et al. (2022) Yi and Li (2021) Kojima et al. (2021) Chen et al. (2020) Zhai et al. (2020) Liu et al. (2021) Obeid et al. (2019) G. Li et al. (2019) Peng et al. (2022) Hamdan et al. (2022) Fujita et al. (2022) | Peng et al. (2021a) Peng et al. (2021b) Wang et al. (2021) Andrade et al. (2021) Xu et al. (2020) Kuang et al. (2020) Huang et al. (2020) Mathew and Krishnan (2020) Cao et al. (2021) Yang and Zhu (2023) |
| Young and De Abreu’s ten-item Internet addiction test’ | IA/PIU | Chi et al. (2019) | |
| Young diagnostic questionnaire for internet addiction (YDQ) | IA/PIU | X. Li et al. (2019) | |
| Spanish short version of the Smartphone Addiction Scale (SAS-SV) | IA/PIU | Arrivillaga et al. (2022) Pereira et al. (2020) | |
| 9-item Social Media Disorder Scale | IA/PIU | Boer et al. (2020) | |
| Compulsive Internet Use Scale (CIUS) | IA/PIU | Khasmohammadi et al. (2020) | |
| Bergen Facebook Addiction Scale (BFAS) | IA/PIU | Yurdagül et al. (2021) | |
| Revised Chen Internet Addiction Scale (CIAS-R) | IA/PIU | Liu et al. (2023) Gao et al. (2022) | |
| 10-item IA Diagnostic Questionnaire | IA/PIU | Huang et al. (2023) | |
| Scale of risk of addiction to social media and the Internet for adolescents (ERA-RSI) | IA/PIU | Tamarit et al. (2021) | |
| Problematic Internet Use Questionnaire Short-Form (PIUQ-SF-6) | IA/PIU | Pontes and Macur (2021) | |
| Center for Epidemiologic Studies of Depression Symptom Scale (CES-D) | Depression | Wang et al. (2022) Chen et al. (2020) Liu et al. (2021) Cao et al. (2021) Chi et al. (2019) X. Li et al. (2019) Xu et al. (2020) | |
| Zung’s self-rating depression scale (SDS). | Depression | Yi and Li (2021) G. Li et al. (2019) | |
| Birleson Depression Self-Rating Scale (DSRS) | Depression | Kojima et al. (2021) | |
| Children’s Depression Inventory (CDI-S) | Depression | Zhai et al. (2020) Huang et al. (2023) | |
| Multiscore Depression Inventory for Children (MDIC) | Depression | Obeid et al. (2019) | |
| Anxiety | |||
| Self-esteem | |||
| Depression, Anxiety and Stress Scale (DASS-21) | Depression | Gao et al. (2022) Andrade et al. (2021) | |
| Anxiety | |||
| Stress | |||
| Psychological well-being | Arrivillaga et al. (2022) Liu et al. (2023) | ||
| Beck Depression Inventory (BDI) | Depression | Pereira et al. (2020) | |
| Short Depression-Happiness Scale (SDHS) | Depression | Yurdagül et al. (2021) | |
| 9 items-Patient Health Questionnaire (PHQ-9) | Depression | Fujita et al. (2022) | |
| Generalized anxiety disorder 7-item scale (GAD-7) | Anxiety | X. Li et al. (2019) Fujita et al. (2022) | |
| Zung’s self-rating anxiety scale (SAS) | Anxiety | G. Li et al. (2019) | |
| State-Trait Anxiety Inventory Short Form (STAI-6). | Anxiety | Yurdagül et al. (2021) | |
| “Mental” ranking de Cantril’s ladder, HBSC Symptom Checklist | Psychological well-being | Boer et al. (2020) | |
| Subjective Vitality Scale (SVS) | Psychological well-being | Khasmohammadi et al. (2020) | |
| General Health Questionnaire (GHQ-12) | Psychological well-being | Yang and Zhu (2023) | |
| 9-item Index of Well-Being | Psychological well-being | Huang et al. (2023) | |
| Self-report Strengths and Difficulties Questionnaire (SDQ) | Psychological well-being | Wang et al. (2021) | |
| Externalizing problems | |||
| Form of questions proposed by the authors (Participants’ subjective well-being) | Psychological well-being | Pontes and Macur (2021) | |
| Rosenberg Self-Esteem Scale (RSES) | Self-esteem | Chen et al. (2020) Huang et al. (2023) | |
| Escala de Autoestima Corporal (EAC) | Self-esteem | Tamarit et al. (2021) | |
| State Self-Esteem Scale (SSES) | Self-esteem | Mathew and Krishnan (2020) | |
| Health-Risk Behavior Inventory for Chinese Adolescents (HBICA) | Suicidal behaviour or self-harm | Liu et al. (2023) | |
| Deliberate Self-Harm Inventory-Youth Version (DSHI-Y) | Suicidal behaviour or self-harm | Hamdan et al. (2022) | |
| Scale of Suicidal Ideation developed. | Suicidal behaviour or self-harm | Kuang et al. (2020) | |
| Scales produced by the Beijing Center for Psychological Crisis Research and Intervention | Suicidal behaviour or self-harm | Huang et al. (2020) | |
| Form of questions proposed by the authors | Suicidal behaviour or self-harm | Peng et al. (2021a, 2021b) | |
| Youth Self-Report (YSR) | Externalizing problems | Yang and Zhu (2023) | |
| Buss-Perry Scale (AQ) | Aggressiveness | Obeid et al. (2019) Huang et al. (2020) | |
| Buss and Warren’s Aggression Questionnaire (BWAQ) | Aggressiveness | Peng et al. (2022) | |
| BARRAT Impulsiveness Scale (BIS-11) | Impulsiveness | Obeid et al. (2019) Huang et al. (2020) | |
References
- Aguinis, H., Gottfredson, R. K., & Wright, T. A. (2011). Best-practice recommendations for estimating interaction effects using meta-analysis. Journal of Organizational Behavior, 32(8), 1033–1043. [Google Scholar] [CrossRef]
- Akin, A., & Iskender, M. (2011). Internet addiction and depression, anxiety and stress. International Online Journal of Educational Sciences, 3(1), 138–148. Available online: https://www.researchgate.net/publication/264550590_Internet_addiction_and_depression_anxiety_and_stress (accessed on 6 June 2024).
- Andrade, A. L. M., Enumo, S. R. F., Passos, M. A. Z., Vellozo, E. P., Schoen, T. H., Kulik, M. A., Niskier, S. R., & Vitalle, M. S. D. S. (2021). Problematic internet use, emotional problems and quality of life among adolescents. Psico-USF, 26(1), 41–51. [Google Scholar] [CrossRef]
- Arrivillaga, C., Rey, L., & Extremera, N. (2022). Psychological distress, rumination and problematic smartphone use among Spanish adolescents: An emotional intelligence-based conditional process analysis. Journal of Affective Disorders, 296, 1–8. [Google Scholar] [CrossRef]
- Bahrainian, S. A., Alizadeh, K. H., Raeisoon, M. R., Gorji, O. H., & Khazaee, A. (2014). Relationship of Internet addiction with self-esteem and depression in university students. Journal of Preventive Medicine and Hygiene, 55(3), 86. Available online: https://www.ncbi.nlm.nih.gov/pmc/articles/PMC4718307/ (accessed on 30 May 2024).
- Ballarotto, G., Marzilli, E., Cerniglia, L., Cimino, S., & Tambelli, R. (2021). How does psychological distress due to the COVID-19 pandemic impact on internet addiction and Instagram addiction in emerging adults? International Journal of Environmental Research and Public Health, 18(21), 11382. [Google Scholar] [CrossRef] [PubMed]
- Baloğlu, M., Özteke-Kozan, H. İ., & Kesici, S. (2018). Gender differences in and the relationships between social anxiety and problematic internet use: Canonical analysis. Journal of Medical Internet Research, 20(1), e33. [Google Scholar] [CrossRef] [PubMed]
- Bickham, D. S., Hswen, Y., & Rich, M. (2015). Media use and depression: Exposure, household rules, and symptoms among young adolescents in the USA. International Journal of Public Health, 60(2), 147–155. [Google Scholar] [CrossRef]
- Boer, M., Van Den Eijnden, R. J. J. M., Boniel-Nissim, M., Wong, S.-L., Inchley, J. C., Badura, P., Craig, W. M., Gobina, I., Kleszczewska, D., Klanšček, H. J., & Stevens, G. W. J. M. (2020). Adolescents’ intense and problematic social media use and their well-being in 29 countries. Journal of Adolescent Health, 66(6), S89–S99. [Google Scholar] [CrossRef] [PubMed]
- Borenstein, M. J., Hedges, L. V., Higgins, J. P., & Rothstein, H. R. (2009). Introduction to meta-analysis. Wiley. Available online: https://www.agropustaka.id/wp-content/uploads/2020/04/agropustaka.id_buku_Introduction-to-Meta-Analysis.pdf (accessed on 20 May 2024).
- Bousoño, M., Al-Halabí, S., Burón, P., Garrido, M., Díaz-Mesa, E. M., Galván, G., García-Alvarez, L., Carli, V., Hoven, C., Sarchiapone, M., Wasserman, D., Bousoño, M., García-Portilla, M. P., Iglesias, C., Sáiz, P. A., & Bobes, J. (2017). Uso y abuso de sustancias psicotrópicas e internet, psicopatología e ideación suicida en adolescentes. Adicciones, 29(2), 97–104. [Google Scholar] [CrossRef] [PubMed]
- Bucci, S., Schwannauer, M., & Berry, N. (2019). The digital revolution and its impact on mental health care. Psychology and Psychotherapy: Theory, Research and Practice, 92(2), 277–297. [Google Scholar] [CrossRef] [PubMed]
- Cai, Z., Mao, P., Wang, Z., Wang, D., He, J., & Fan, X. (2023). Associations between problematic internet use and mental health outcomes of students: A meta analytic review. Adolescent Research Review, 8(1), 45–62. [Google Scholar] [CrossRef] [PubMed]
- Cao, R., Gao, T., Ren, H., Hu, Y., Qin, Z., Liang, L., & Mei, S. (2021). The relationship between bullying victimization and depression in adolescents: Multiple mediating effects of internet addiction and sleep quality. Psychology, Health & Medicine, 26(5), 555–565. [Google Scholar] [CrossRef]
- Caplan, S. E. (2006). Relations among loneliness, social anxiety, and problematic Internet use. CyberPsychology & Behavior, 10(2), 234–242. [Google Scholar] [CrossRef]
- Carbonell, X. (2014). La adicción a los videojuegos en el DSM-5. Adicciones, 26(2), 91–95. Available online: https://www.redalyc.org/pdf/2891/289131590001.pdf (accessed on 15 April 2024).
- Cardak, M. (2013). Psychological well-being and Internet addiction among university students. Turkish Online Journal of Educational Technology-TOJET, 12(3), 134–141. Available online: https://eric.ed.gov/?id=EJ1016863 (accessed on 30 May 2024).
- Castellana, M., Sánchez-Carbonell, X., Graner, C., & Beranuy, M. (2007). El adolescente ante las tecnologías de la información y la comunicación: Internet, móvil y videojuegos. Papeles del Psicólogo, 28(3), 196–204. Available online: https://www.redalyc.org/articulo.oa?id=77828306 (accessed on 3 June 2024).
- Chang, F. C., Chiu, C. H., Lee, C. M., Chen, P. H., & Miao, N. F. (2014). Predictors of the initiation and persistence of Internet addiction among adolescents in Taiwan. Addictive Behaviors, 39(10), 1434–1440. [Google Scholar] [CrossRef] [PubMed]
- Chen, H.-C., Wang, J.-Y., Lin, Y.-L., & Yang, S.-Y. (2020). Association of internet addiction with family functionality, depression, self-efficacy and self-esteem among early adolescents. International Journal of Environmental Research and Public Health, 17(23), 8820. [Google Scholar] [CrossRef] [PubMed]
- Cheng, Y. S., Tseng, P. T., Lin, P. Y., Chen, T. Y., Stubbs, B., Carvalho, A. F., Wu, C. K., Chen, Y. W., & Wu, M. K. (2018). Internet addiction and its relationship with suicidal behaviors: A meta-analysis of multinational observational studies. The Journal of Clinical Psychiatry, 79(4), 9291. Available online: https://www.psychiatrist.com/jcp/internet-addiction-and-suicidal-behaviors/ (accessed on 3 April 2023). [CrossRef] [PubMed]
- Chi, X., Liu, X., Guo, T., Wu, M., & Chen, X. (2019). Internet addiction and depression in Chinese adolescents: A moderated mediation model. Frontiers in Psychiatry, 10, 816. [Google Scholar] [CrossRef]
- Colder-Carras, M., Van-Rooij, A., de Mheen, D. V., Musci, R., Xue, Q. L., & Mendelson, T. (2017). Video gaming in a hyperconnected world: A cross-sectional study of heavy gaming, problematic gaming symptoms, and online socializing in adolescents. Computers in Human Behavior, 68, 472–479. [Google Scholar] [CrossRef] [PubMed]
- Contreras, J. H., Martínez, M. O., Almaguer, J. M., Ramírez, A., & Miramontes, A. (2019). Adicción a Internet, el caso de adolescentes de cinco escuelas secundarias de México. Revista del Consejo Nacional para la Enseñanza e Investigación en Psicología, 1, 34–45. Available online: https://revistacneipne.org/index.php/cneip/article/view/39 (accessed on 3 April 2023).
- Cooper, H., Hedges, L. V., & Valentine, J. C. (2019). The handbook of research synthesis and meta-analysis. Russell Sage Foundation. [Google Scholar]
- Çikrikci, O. (2016). The effect of internet use on well-being: Meta-analysis. Computers in Human Behavior, 65, 60–566. [Google Scholar] [CrossRef]
- Daine, K., Hawton, K., Singaravelu, V., Stewart, A., Simkin, S., & Montgomery, P. (2013). The power of the web: A systematic review of studies of the influence of the internet on self-harm and suicide in young people. PLoS ONE, 8(10), e77555. [Google Scholar] [CrossRef] [PubMed]
- Davis, R. A. (2001). A cognitive-behavioral model of pathological Internet use. Computer in Human Behaviour, 17(2), 187–195. [Google Scholar] [CrossRef]
- Duval, S., & Tweedie, R. (2000). Trim and fill: A simple funnel-plot-based method of testing and adjusting for publication bias in meta-analysis. Biometrics, 56(2), 455–463. [Google Scholar] [CrossRef]
- Echeburúa, E., & de Corral, P. (2010). Adicción a las nuevas tecnologías y a las redes sociales en jóvenes: Un nuevo reto. Adicciones, 22(2), 91–95. Available online: https://www.redalyc.org/pdf/2891/289122889001.pdf (accessed on 16 April 2023). [CrossRef]
- Egger, M., Smith, G. D., Schneider, M., & Minder, C. (1997). Bias in meta-analysis detected by a simple, graphical test. BMJ, 315(7109), 629–634. [Google Scholar] [CrossRef] [PubMed]
- Fujita, J., Aoyama, K., Saigusa, Y., Miyazaki, H., Aoki, Y., Asanuma, K., Takahashi, Y., & Hishimoto, A. (2022). Problematic Internet use and daily difficulties among adolescents with school refusal behaviors: An observational cross-sectional analytical study. Medicine, 101(7), e28916. [Google Scholar] [CrossRef] [PubMed]
- Fumero, A., Marrero, R., Voltes, D., & Peñate, W. (2018). Personal and social factors involved in Internet addiction among adolescents: A meta-analysis. Computers in Human Behavior, 86, 387–400. [Google Scholar] [CrossRef]
- Gao, M., Teng, Z., Wei, Z., Jin, K., Xiao, J., Tang, H., Wu, H., Yang, Y., Yan, H., Chen, J., Wu, R., Zhao, J., Wu, Y., & Huang, J. (2022). Internet addiction among teenagers in a Chinese population: Prevalence, risk factors, and its relationship with obsessive-compulsive symptoms. Journal of Psychiatric Research, 153, 134–140. [Google Scholar] [CrossRef] [PubMed]
- Griffiths, M. (2000). Does internet and computer “addiction” exist? Some case study evidence. Cyberpsychology & Behavior, 2(3), 217. Available online: https://jogoremoto.pt/docs/extra/DPOMNQ.pdf (accessed on 13 April 2023).
- Ha, J. H., Kim, S. Y., Bae, S. C., Bae, S., Kim, H., Sim, M., Lyoo, I. K., & Cho, S. C. (2007). Depression and Internet addiction in adolescents. Psychopathology, 40(6), 424–430. [Google Scholar] [CrossRef]
- Hamdan, S., Apter, A., & Levi-Belz, Y. (2022). Non-suicidal self-injury among adolescents from diverse ethnocultural groups in Israel: The association with sleep problems and internet addiction. Frontiers in Psychiatry, 13, 899956. [Google Scholar] [CrossRef]
- Hartanto, A., Quek, F. Y., Tng, G. Y., & Yong, J. C. (2021). Does social media use increase depressive symptoms? A reverse causation perspective. Frontiers in Psychiatry, 12, 641934. [Google Scholar] [CrossRef]
- Hartung, J. (1999). An alternative method for meta-analysis. Biometrical Journal: Journal of Mathematical Methods in Biosciences, 41(8), 901–916. [Google Scholar] [CrossRef]
- Heffer, T., Good, M., Daly, O., MacDonell, E., & Willoughby, T. (2019). The longitudinal association between social-media use and depressive symptoms among adolescents and young adults: An empirical reply to Twenge et al. (2018). Clinical Psychological Science, 7(3), 462–470. [Google Scholar] [CrossRef]
- Huang, C. (2010). Internet use and psychological well-being: A meta-analysis. Cyberpsychology, Behavior, and Social Networking, 13(3), 241–249. [Google Scholar] [CrossRef] [PubMed]
- Huang, P., Zhou, Y., Li, D., Jia, J., Xiao, J., Liu, Y., & Zhang, H. (2023). Developmental trajectories of adolescent internet addiction: Interpersonal predictors and adjustment outcomes. Research on Child and Adolescent Psychopathology, 51(3), 355–367. [Google Scholar] [CrossRef]
- Huang, Y., Xu, L., Mei, Y., Wei, Z., Wen, H., & Liu, D. (2020). Problematic Internet use and the risk of suicide ideation in Chinese adolescents: A cross-sectional analysis. Psychiatry Research, 290, 112963. [Google Scholar] [CrossRef]
- Huedo-Medina, T. B., Sánchez-Meca, J., Marín-Martínez, F., & Botella, J. (2006). Assessing heterogeneity in meta-analysis: Q statistic or I2 index? Psychological Methods, 11(2), 193–206. [Google Scholar] [CrossRef] [PubMed]
- Kaess, M., Durkee, T., Brunner, R., Carli, V., Parzer, P., Wasserman, C., Sarchiapone, M., Hoven, C., Apter, A., Balazs, J., Balint, M., Bobes, J., Cohen, R., Cosman, D., Cotter, P., Fischer, G., Floderus, B., Iosue, M., Haring, C., … Ziberna, J. (2014). Pathological Internet use among European adolescents: Psychopathology and self destructive behaviors. European Child & Adolescent Psychiatry, 23(11), 1093–1102. [Google Scholar] [CrossRef]
- Kardefelt-Winther, D. (2014). A conceptual and methodological critique of internet addiction research: Towards a model of compensatory internet use. Computers in Human Behavior, 31, 351–354. [Google Scholar] [CrossRef]
- Keltikangas-Järvinen, L. (2005). Social problem solving and the development of aggression. In M. McMurran, & J. McGuire (Eds.), Social problem solving and offending: Evidence, evaluation, and evolution (pp. 31–49). John Wiley & Sons, Ltd. [Google Scholar]
- Khasmohammadi, M., Ghazizadeh Ehsaei, S., Vanderplasschen, W., Dortaj, F., Farahbakhsh, K., Keshavarz Afshar, H., Jahanbakhshi, Z., Mohsenzadeh, F., Mohd Noah, S., Sulaiman, T., Brady, C., & Hormozi, A. K. (2020). The impact of addictive behaviors on adolescents psychological well-being: The mediating effect of perceived peer support. The Journal of Genetic Psychology, 181(2–3), 39–53. [Google Scholar] [CrossRef] [PubMed]
- Kim, J. H., Seo, M., & David, P. (2015). Alleviating depression only to become problematic mobile phone users: Can face-to-face communication be the antidote? Computers in Human Behavior, 51, 440–447. [Google Scholar] [CrossRef]
- Király, O., Griffiths, M. D., Urbán, R., Farkas, J., Kökönyei, G., Elekes, Z., Tamás, D., & Demetrovics, Z. (2014). Problematic internet use and problematic online gaming are not the same: Findings from a large nationally representative adolescent sample. Cyberpsychology, Behavior, and Social Networking, 17(12), 749–754. [Google Scholar] [CrossRef]
- Knapp, G., & Hartung, J. (2003). Improved tests for a random effects meta-regression with a single covariate. Statistics in Medicine, 22(17), 2693–2710. [Google Scholar] [CrossRef]
- Kojima, R., Shinohara, R., Akiyama, Y., Yokomichi, H., & Yamagata, Z. (2021). Temporal directional relationship between problematic internet use and depressive symptoms among Japanese adolescents: A random intercept, cross-lagged panel model. Addictive Behaviors, 120, 106989. [Google Scholar] [CrossRef] [PubMed]
- Koo, H. J., & Kwon, J.-H. (2014). Risk and protective factors of internet addiction: A meta-analysis of empirical studies in Korea. Yonsei Medical Journal, 55(6), 1691–1711. [Google Scholar] [CrossRef] [PubMed]
- Kuang, L., Wang, W., Huang, Y., Chen, X., Lv, Z., Cao, J., Ai, M., & Chen, J. (2020). Relationship between Internet addiction, susceptible personality traits, and suicidal and self-harm ideation in Chinese adolescent students. Journal of Behavioral Addictions, 9(3), 676–685. [Google Scholar] [CrossRef] [PubMed]
- Laconi, S., Tricard, N., & Chabrol, H. (2015). Differences between specific and generalized problematic Internet uses according to gender, age, time spent online and psychopathological symptoms. Computers in Human Behavior, 48, 236–244. [Google Scholar] [CrossRef]
- Lai, X., Huang, S., Nie, C., Yan, J. J., Li, Y., Wang, Y., & Luo, Y. (2022). Trajectory of problematic smartphone use among adolescents aged 10–18 years: The roles of childhood family environment and concurrent parent–child relationships. Journal of Behavioral Addictions, 11(2), 577–587. [Google Scholar] [CrossRef] [PubMed]
- Lei, H., Chiu, M. M., & Li, S. (2020). Subjective well-being and internet overuse: A meta-analysis of mainland Chinese students. Current Psychology, 39, 843–853. [Google Scholar] [CrossRef]
- Li, G., Hou, G., Yang, D., Jian, H., & Wang, W. (2019). Relationship between anxiety, depression, sex, obesity, and internet addiction in Chinese adolescents: A short-term longitudinal study. Addictive Behaviors, 90, 421–427. [Google Scholar] [CrossRef] [PubMed]
- Li, M., Chen, J., Li, N., & Li, X. (2014). A Twin Study of Problematic Internet Use: Its Heritability and Genetic Association With Effortful Control. Twin Research and Human Genetics, 17(4), 279–287. [Google Scholar] [CrossRef]
- Li, X., Luo, X., Zheng, R., Jin, X., Mei, L., Xie, X., Gu, H., Hou, F., Liu, L., Luo, X., Meng, H., Zhang, J., & Song, R. (2019). The role of depressive symptoms, anxiety symptoms, and school functioning in the association between peer victimization and internet addiction: A moderated mediation model. Journal of Affective Disorders, 256, 125–131. [Google Scholar] [CrossRef] [PubMed]
- Liang, L., Zhou, D., Yuan, C., Shao, A., & Bian, Y. (2016). Gender differences in the relationship between internet addiction and depression: A cross-lagged study in Chinese adolescents. Computers in Human Behavior, 63, 463–470. [Google Scholar] [CrossRef]
- Lin, M. P., Wu, J. Y., You, J., Hu, W. H., & Yen, C. F. (2018). Prevalence of internet addiction and its risk and protective factors in a representative sample of senior high school students in Taiwan. Journal of Adolescence, 62, 38–46. [Google Scholar] [CrossRef]
- Liu, C., Liu, Z., & Yuan, G. (2021). Cyberbullying victimization and problematic Internet use among Chinese adolescents: Longitudinal mediation through mindfulness and depression. Journal of Health Psychology, 26(14), 2822–2831. [Google Scholar] [CrossRef] [PubMed]
- Liu, M., Xiao, J., Kamper-DeMarco, K. E., & Fu, Z. (2023). Problematic internet use and suicidality and self-injurious behaviors in adolescents: Effects of negative affectivity and social support. Journal of Affective Disorders, 325, 289–296. [Google Scholar] [CrossRef]
- Lozano-Blasco, R., & Cortes-Pascual, A. (2020). Problematic Internet uses and depression in adolescents: A meta-analysis. Comunicar, 28(63), 109–120. [Google Scholar] [CrossRef]
- López-Fernández, O. (2018). Generalised versus specific internet use-related addiction problems: A Mixed methods study on internet, gaming, and social networking behaviours. International Journal of Environmental Research and Public Health, 15, 2913. [Google Scholar] [CrossRef]
- López-López, J. A., Marín-Martínez, F., Sánchez-Meca, J., Van den Noortgate, W., & Viechtbauer, W. (2014). Estimation of the predictive power of the model in mixed-effects meta-regression: A simulation study. British Journal of Mathematical and Statistical Psychology, 67(1), 30–48. [Google Scholar] [CrossRef] [PubMed]
- Machimbarrena, J. M., Beranuy, M., Vergara-Moragues, E., Fernández-González, L., & Gónzalez-Cabrera, J. (2023). Uso problemático de Internet y trastorno de juego por Internet: Solapamiento y relación con la calidad de vida relacionada con la salud en adolescentes. Adicciones, 35(2), 107–118. [Google Scholar] [CrossRef] [PubMed]
- Marchant, A., Hawton, K., Stewart, A., Montgomery, P., Singaravelu, V., Lloyd, K., Purdy, N., Daine, K., & John, A. (2017). A systematic review of the relationship between internet use, self-harm and suicidal behaviour in young people: The good, the bad and the unknown. PLoS ONE, 12(8), e0181722. [Google Scholar] [CrossRef] [PubMed]
- Marino, C., Gini, G., Vieno, A., & Spada, M. M. (2018). The associations between problematic Facebook use, psychological distressand well-being among adolescents and young adults: A systematic review and meta-analysis. Journal of Afective Disorders, 226, 274–281. [Google Scholar] [CrossRef]
- Mathew, P., & Krishnan, R. (2020). Impact of problematic internet use on the self-esteem of adolescents in the selected school, Kerala, India. Archives of Psychiatric Nursing, 34(3), 122–128. [Google Scholar] [CrossRef] [PubMed]
- Mei, S., Yau, Y. H., Chai, J., Guo, J., & Potenza, M. N. (2016). Problematic Internet use, well-being, self-esteem and self-control: Data from a high-school survey in China. Addictive Behaviors, 61, 74–79. [Google Scholar] [CrossRef] [PubMed]
- Mishra, J., Behera, M. R., Mitra, R., Samanta, P., Mahapatra, P. K., & Kar, S. (2024). Prevalence and Impact of Internet Addiction Disorder Among Adolescents and Young Adults. The Open Public Health Journal, 17, e18749445345806. [Google Scholar] [CrossRef]
- Moola, S., Munn, Z., Tufanaru, C., Aromataris, E., Sears, K., Sfetcu, R., Currie, M., Qureshi, R., Mattis, P., Lisy, K., & Mu, P. F. (2020). Chapter 7: Systematic reviews of etiology and risk. In E. Aromataris, & Z. Munn (Eds.), JBI manual for evidence synthesis. jbi.global. [Google Scholar] [CrossRef]
- Naslund, J. A., Aschbrenner, K. A., Marsch, L. A., & Bartels, S. J. (2016). The future of mental health care: Peer-to-peer support and social media. Epidemiology and Psychiatric Sciences, 25(2), 113–122. [Google Scholar] [CrossRef]
- National Institute for Health and Care Research. (n.d.). PROSPERO International prospective register of systematic reviews. PROSPERO (york.ac.uk).
- Obeid, S., Saade, S., Haddad, C., Sacre, H., Khansa, W., Al Hajj, R., Kheir, N., & Hallit, S. (2019). Internet addiction among lebanese adolescents: The role of self-esteem, anger, depression, anxiety, social anxiety and fear, impulsivity, and aggression—A cross-sectional study. Journal of Nervous & Mental Disease, 207(10), 838–846. [Google Scholar] [CrossRef]
- Obrenovic, B., Godinic, D., Du, G., Khudaykulov, A., & Gan, H. (2024). Identity disturbance in the digital era during the COVID-19 Pandemic: The adverse effects of social media and job stress. Behavioral Sciences, 14(8), 648. [Google Scholar] [CrossRef] [PubMed]
- Page, M. J., McKenzie, J. E., Bossuyt, P. M., Boutron, I., Hoffmann, T. C., Mulrow, C. D., Shamseer, L., Tetzlaff, J. M., Akl, E. A., Brennan, S. E., Chou, R., Glanville, J., Grimshaw, J. M., Hro’bjartsson, A., Lalu, M. M., Li, T., Loder, E. W., Mayo-Wilson, E., McDonald, S., … y Moher, D. (2021). Declaración PRISMA 2020: Una guía actualizada para la publicación de revisiones sistemáticas. Revista Española de Cardiología, 74(9), 790–799. [Google Scholar] [CrossRef]
- Pedrero, E. J., Rodríguez, M. T., & Ruiz, J. M. (2012). Adicción o abuso del teléfono móvil. Revisión de la literatura. Adicciones, 24(2), 39–152. Available online: https://www.redalyc.org/pdf/2891/289122912007.pdf (accessed on 2 November 2024). [CrossRef]
- Peng, C., Guo, T., Cheng, J., Wang, M., Rong, F., Zhang, S., Tan, Y., Ding, H., Wang, Y., & Yu, Y. (2022). Sex differences in association between Internet addiction and aggression among adolescents aged 12 to 18 in mainland of China. Journal of Affective Disorders, 312, 198–207. [Google Scholar] [CrossRef] [PubMed]
- Peng, C., Wang, M., Cheng, J., Tan, Y., Huang, Y., Rong, F., Kang, C., Ding, H., Wang, Y., & Yu, Y. (2021a). Mediation of Internet addiction on association between childhood maltreatment and suicidal behaviours among Chinese adolescents. Epidemiology and Psychiatric Sciences, 30, e64. [Google Scholar] [CrossRef]
- Peng, C., Wang, M., Cheng, J., Tan, Y., Huang, Y., Rong, F., Kang, C., Ding, H., & Yu, Y. (2021b). Association between internet addiction and suicidal ideation, suicide plans, and suicide attempts among Chinese adolescents with and without parental migration. Computers in Human Behavior, 125, 106949. [Google Scholar] [CrossRef]
- Pereira, F. S., Bevilacqua, G. G., Coimbra, D. R., & Andrade, A. (2020). Impact of problematic smartphone use on mental health of adolescent students: Association with mood, symptoms of depression, and physical activity. Cyberpsychology, Behavior, and Social Networking, 23(9), 619–626. [Google Scholar] [CrossRef] [PubMed]
- Peris, M., de la Barrera, U., Schoeps, K., & Montoya-Castilla, I. (2020). Psychological risk factors that predict social networking and internet addiction in adolescents. International Journal of Environmental Research and Public Health, 17(12), 4598. [Google Scholar] [CrossRef]
- Plaza de la Hoz, J. (2018). Ventajas y desventajas del uso adolescente de las TIC: Visión de los estudiantes. Revista Complutense de Educación, 29(2), 491–508. [Google Scholar] [CrossRef]
- Pontes, H. M., & Macur, M. (2021). Problematic internet use profiles and psychosocial risk among adolescents. PLoS ONE, 16(9), e0257329. [Google Scholar] [CrossRef]
- Raudsepp, L., & Kais, K. (2019). Longitudinal associations between problematic social media use and depressive symptoms in adolescent girls. Preventive Medicine Reports, 15, 100925. [Google Scholar] [CrossRef] [PubMed]
- Rubio-Aparicio, M., López-López, J. A., Viechtbauer, W., Marín-Martínez, F., Botella, J., & Sánchez-Meca, J. (2020). Testing categorical moderators in mixed-effects meta-analysis in the presence of heteroscedasticity. The Journal of Experimental Education, 88(2), 288–310. [Google Scholar] [CrossRef]
- Rücker, J., Akre, C., Berchtold, A., & Suris, J. C. (2015). Problematic Internet use is associated with substance use in young adolescents. Acta Paediatrica, 104(5), 504–507. [Google Scholar] [CrossRef] [PubMed]
- Sánchez-Meca, J., Marín-Martínez, F., & Chacón-Moscoso, S. (2003). Effect-size indices for dichotomized outcomes in meta-analysis. Psychological Methods, 8(4), 448–467. [Google Scholar] [CrossRef]
- Spada, M. M. (2014). An overview of problematic Internet use. Addictive Behaviors, 39(1), 3–6. [Google Scholar] [CrossRef] [PubMed]
- Statista. (2024). Número de usuarios de Internet en el mundo entre 2005 hasta 2023 (en millones). Available online: https://es.statista.com/estadisticas/541434/numero-mundial-de-usuarios-de-internet/ (accessed on 2 November 2024).
- Tamarit, A., Schoeps, K., Peris-Hernández, M., & Montoya-Castilla, I. (2021). The Impact of Adolescent Internet Addiction on Sexual Online Victimization: The Mediating Effects of Sexting and Body Self-Esteem. International Journal of Environmental Research and Public Health, 18(8), 4226. [Google Scholar] [CrossRef] [PubMed]
- Tan, H. (2024). Research on the influencing factors and mechanism of smartphone use and addiction on employees: A systematic review. Journal of Chinese Human Resources Management, 13(2), 41–52. [Google Scholar] [CrossRef]
- Twenge, J. M. (2019). More time on technology, less happiness? Associations between digital-media use and psychological well-being. Current Directions in Psychological Science, 28(4), 372–379. [Google Scholar] [CrossRef]
- Unicef Data. (2024). Mental health. Ensuring mental health and well-being in an adolescent’s formative years can foster a better transition from childhood to adulthood. Available online: https://data.unicef.org/topic/child-health/mental-health/ (accessed on 2 November 2024).
- Viechtbauer, W. (2010). Conducting meta-analyses in R with the metafor package. Journal of Statistical Software, 36(3), 1–48. [Google Scholar] [CrossRef]
- Walburg, V., Mialhes, A., & Moncla, D. (2016). Does school-related burnout influence problematic Facebook use? Children and Youth Services Review, 61, 327–331. [Google Scholar] [CrossRef]
- Wan, X., Wang, W., Liu, J., & Tong, T. (2014). Estimating the sample mean and standard deviation from the sample size, median, range and/or interquartile range. BMC Medical Research Methodology, 14, 135. [Google Scholar] [CrossRef] [PubMed]
- Wang, S., Xia, L., Wang, J., Yuan, X., Shi, Y., Wang, X., Li, X., Hu, Y., Zhang, Y., Yang, Y., Geng, F., Liu, Z., Chen, C., Wen, X., Luo, X., Gao, F., & Liu, H. (2022). Prevalence and clinical correlates of internet addiction symptoms and their association with quality of life in adolescents with major depressive disorder: A multicenter cross-sectional study. Frontiers in Psychiatry, 13, 819704. [Google Scholar] [CrossRef]
- Wang, W., Du, X., Guo, Y., Li, W., Zhang, S., Guo, L., & Lu, C. (2021). Association between problematic internet use and behavioral/emotional problems among Chinese adolescents: The mediating role of sleep disorders. PeerJ, 9, e10839. [Google Scholar] [CrossRef]
- Wong, J., Yi, P. X., Quek, F. Y., Lua, V. Y., Majeed, N. M., & Hartanto, A. (2024). A four-level meta-analytic review of the relationship between social media and well-being: A fresh perspective in the context of COVID-19. Current Psychology, 43(16), 14972–14986. [Google Scholar] [CrossRef]
- Woods, H. C., & Scott, H. (2016). #Sleepyteens: Social media use in adolescence is associated with poor sleep quality, anxiety, depression and low self-esteem. Journal of Adolescence, 51, 41–49. [Google Scholar] [CrossRef] [PubMed]
- World Health Organization. (2024). Mental health of adolescents. Available online: https://www.who.int/news-room/fact-sheets/detail/adolescent-mental-health (accessed on 2 November 2024).
- Xu, D.-D., Lok, K.-I., Liu, H.-Z., Cao, X.-L., An, F.-R., Hall, B. J., Ungvari, G. S., Lei, S-M., & Xiang, Y.-T. (2020). Internet addiction among adolescents in Macau and mainland China: Prevalence, demographics and quality of life. Scientific Reports, 10(1), 16222. [Google Scholar] [CrossRef] [PubMed]
- Yang, F. R., Wei, C. F., & Tang, J. H. (2019). Effect of Facebook social comparison on well-being: A meta-analysis. Journal of Internet Technology, 20(6), 1829–1836. [Google Scholar] [CrossRef]
- Yang, G., & Li, X. (2024). Graduate socialization and anxiety: Insights via hierarchical regression analysis and beyond. Studies in Higher Education, 1, 1–17. [Google Scholar] [CrossRef]
- Yang, S., & Zhu, X. (2023). How does problematic internet use influence chinese rural adolescent externalizing problem behaviors? The mediating role of mental health and the moderating role of parental knowledge. International Journal of Environmental Research and Public Health, 20(3), 2162. [Google Scholar] [CrossRef]
- Yi, X., & Li, G. (2021). The longitudinal relationship between internet addiction and depressive symptoms in adolescents: A random-intercept cross-lagged panel model. International Journal of Environmental Research and Public Health, 18(24), 12869. [Google Scholar] [CrossRef] [PubMed]
- Yurdagül, C., Kircaburun, K., Emirtekin, E., Wang, P., & Griffiths, M. D. (2021). Psychopathological consequences related to problematic instagram use among adolescents: The mediating role of body image dissatisfaction and moderating role of gender. International Journal of Mental Health and Addiction, 19(5), 1385–1397. [Google Scholar] [CrossRef]
- Zhai, B., Li, D., Li, X., Liu, Y., Zhang, J., Sun, W., & Wang, Y. (2020). Perceived school climate and problematic internet use among adolescents: Mediating roles of school belonging and depressive symptoms. Addictive Behaviors, 110, 106501. [Google Scholar] [CrossRef] [PubMed]
Disclaimer/Publisher’s Note: The statements, opinions and data contained in all publications are solely those of the individual author(s) and contributor(s) and not of MDPI and/or the editor(s). MDPI and/or the editor(s) disclaim responsibility for any injury to people or property resulting from any ideas, methods, instructions or products referred to in the content. |
© 2025 by the authors. Licensee MDPI, Basel, Switzerland. This article is an open access article distributed under the terms and conditions of the Creative Commons Attribution (CC BY) license (https://creativecommons.org/licenses/by/4.0/).


