Stress-Based Model for Interpreting Shear Wave Velocity from Seismic Cone Penetration Tests in Unsaturated Soil
Abstract
1. Introduction
2. Background
2.1. Shear Wave Velocity in Soil
2.2. Previous Studies of vs. and Gmax in Unsaturated Soils
3. Experimental Methodology
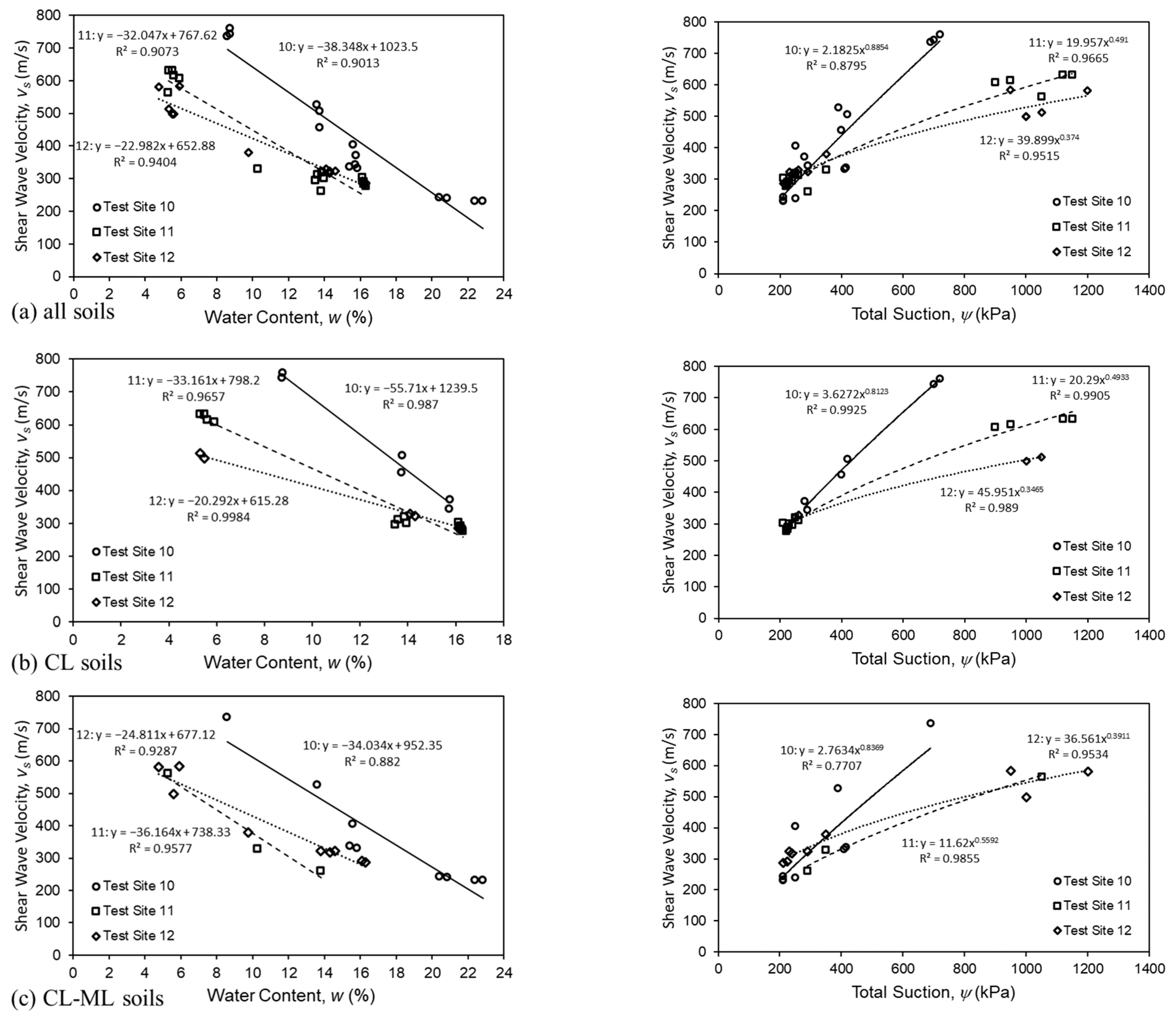
3.1. SCPTs in Unsaturated Soil
3.2. SCPT and Laboratory Testing of Shear Wave Velocity in Unsaturated Soil
3.3. Stress-Based Model for Shear Wave Velocity
4. Discussion
5. Conclusions
- Shear wave velocity (Vs) determined with the SCPT was strongly dependent on the moisture content and suction in the soil at the time of testing.
- At three test sites, shear wave velocities determined with the SCPTs were nearly identical to values determined in the laboratory with bender elements under similar stress conditions on thin-walled tube samples obtained on the same day as SCPTs. This suggests that shear wave velocity measurements in the field and laboratory are robust and reliable.
- Soil water content and suction are strongly correlated with Vs. These relationships can be used to predict changes in vs. resulting from seasonal changes in moisture conditions.
- A stress-based power model incorporating net normal stress and suction provides a reasonable framework for estimating how shear wave velocity determined with SCPTs may change due to changing moisture conditions. This is important when considering that moisture conditions at the time of SCPTs may not represent future conditions of interest.
Author Contributions
Funding
Data Availability Statement
Conflicts of Interest
References
- Kramer, S.L. Geotechnical Earthquake Engineering; Prentice Hall: Upper Saddle River, NJ, USA, 1996; 653p. [Google Scholar]
- Bui, M.T.; Clayton, C.R.I.; Priest, J.A. The universal void ratio function for small strain shear modulus. Int. Conf. Recent Adv. Geotech. Earthq. Eng. Soil Dyn. 2010, 29. Available online: https://scholarsmine.mst.edu/icrageesd/05icrageesd/session01/29 (accessed on 17 August 2024).
- Miller, G.A.; Khoury, C.N.; Muraleetharan, K.K.; Liu, C.; Kibbey, T.C.G. Effects of soil skeleton deformations on hysteretic soil water characteristic curves: Experiments and simulations. Water Resour. Res. 2008, 44. [Google Scholar] [CrossRef]
- Cho, G.C.; Santamarina, J.C. Unsaturated particulate materials—Particle-level studies. J. Geotech. Geoenviron. Eng. 2001, 127, 84–96. [Google Scholar] [CrossRef]
- Yang, S.R.; Lin, H.D.; Kung JH, S.; Liao, J.Y. Shear wave velocity and suction of unsaturated soil using bender element and filter paper method. J. GeoEngineering 2008, 3, 67–74. [Google Scholar]
- Lu, Z.; Sabatier, J.M. Effects of soil water potential and moisture content on sound speed. Soil Sci. Soc. Am. J. 2009, 73, 1614–1625. [Google Scholar] [CrossRef]
- Asslan, M.; Wuttke, F. Wave velocity change and small-strain stiffness in unsaturated soils: Experimental investigation. In Unsaturated Soils: Research and Applications; Springer: Berlin/Heidelberg, Germany, 2012; pp. 355–362. [Google Scholar]
- Dong, Y.; Lu, N. Dependencies of shear wave velocity and shear modulus of soil on saturation. J. Eng. Mech. 2016, 142, 04016083. [Google Scholar] [CrossRef]
- Khosravi, A.; McCartney, J.S. Impact of hydraulic hysteresis on the small-strain shear modulus of low plasticity soils. J. Geotech. Geoenviron. Eng. 2012, 138, 1326–1333. [Google Scholar] [CrossRef]
- Khosravi, A.; Shahbazan, P.; Pak, A. Impact of hydraulic hysteresis on the small strain shear modulus of unsaturated sand. Soils Found. 2018, 58, 344–354. [Google Scholar] [CrossRef]
- Sawangsuriya, A.; Edil, T.B.; Bosscher, P.J. Modulus−suction−moisture relationship for compacted soils. Can. Geotech. J. 2008, 45, 973–983. [Google Scholar] [CrossRef]
- Sawangsuriya, A.; Edil, T.B.; Bosscher, P.J. Modulus-suction moisture relationship for compacted soils in post compaction state. J. Geotech. Geoenviron. Eng. 2009, 135, 1390–1403. [Google Scholar] [CrossRef]
- Whalley, W.; Jenkins, M.; Attenborough, K. The velocity of shear waves in unsaturated soil. Soil Tillage Res. 2012, 125, 30–37. [Google Scholar] [CrossRef]
- ASTM. Annual Book of ASTM Standard; American Society for Testing and Materials, ASTM International: West Conshohocken, PA, USA, 2019; Volume 4.08. [Google Scholar]
- Wei, Y.; Miller, G.A. Determining Osmotic Suction Using a Chilled Mirror Device. Geotech. Test. J. 2019, 42, 1457–1474. [Google Scholar] [CrossRef]
- Viggiani, G.; Atkinson, J.H. Interpretation of bender element tests. Geotechnique 1995, 45, 149–154. [Google Scholar] [CrossRef]
- Leong, E.C.; Cahyadi, J.; Rahardjo, H. Measuring shear and compression wave velocities of soil using bend-er-extender elements. Can. Geotech. J. 2009, 46, 792–812. [Google Scholar] [CrossRef]
- Lings, M.L.; Greening, P.D. A novel bender/extender element for soil testing. Géotechnique 2001, 51, 713–717. [Google Scholar] [CrossRef]
- Lee, J.-S.; Santamarina, J.C. Bender elements: Performance and signal interpretation. J. Geotech. Geoenviron. Eng. 2005, 131, 1063–1070. [Google Scholar] [CrossRef]
- Santamarina, J.C.; Klein, A.; Fam, M.A. Soils and Waves, Particulate Materials Behavior, Characterization and Process Monitoring; Wiley: Hoboken, NJ, USA, 2001. [Google Scholar]
- Sawangsuriya, A.; Edil, T.B.; Bosscher, P.J.; Wang, X. Small-strain stiffness behavior of unsaturated compacted subgrade. In Unsaturated Soils 2006; American Society of Civil Engineers: Reston, VA, USA, 2006; pp. 1121–1132. [Google Scholar]
- Bishop, A.W. The principle of effective stress. Teknisk Ukeblad Samarbeide Med. Teknikk. 1959, 106, 859–863. [Google Scholar]
- Lu, N.; Likos, W.J. Suction stress characteristic curve for unsaturated soils. J. Geotech. Geoenviron. Eng. 2006, 132, 131–142. [Google Scholar] [CrossRef]
- Vanapalli, S.K.; Fredlund, D.G.; Pufahl, D.E.; Clifton, A.W. Model for the prediction of shear strength with respect to soil suction. Can. Geotech. J. 1996, 33, 379–392. [Google Scholar] [CrossRef]
- Öberg, A.L.; Sällfors, G. Determination of shear strength parameters of unsaturated silts and sands based on the water retention curve. Geotech. Test. J. 1997, 20, 40–48. [Google Scholar] [CrossRef]
- Khalili, N.; Khabbaz, M.H. A unique relationship for χ for the determination of the shear strength of unsaturated soils. Geotechnique 1998, 48, 681–687. [Google Scholar] [CrossRef]
- Likos, W.J.; Lu, N. Hysteresis of capillary stress in unsaturated granular soil. J. Eng. Mech. 2004, 130, 646–655. [Google Scholar] [CrossRef]
- Lu, N.; Godt, J.W.; Wu, D.T. A closed-form equation for effective stress in unsaturated soil. Water Resour. Res. 2010, 46, 1–14. [Google Scholar] [CrossRef]
- Oh, S.; Lu, N.; Kim, Y.K.; Lee, S.J.; Lee, S.R. Relationship between the soil-water characteristic curve and the suction stress characteristic curve: Experimental evidence from residual soils. J. Geotech. Geoenviron. Eng. 2012, 138, 47–57. [Google Scholar] [CrossRef]
- Oh, W.T.; Vanapalli, S.K. Semi-empirical model for estimating the small-strain shear modulus of unsaturated non-plastic sandy soils. Geotech. Geol. Eng. 2014, 32, 259–271. [Google Scholar] [CrossRef]
- Zapata, C.E.; Houston, W.N.; Houston, S.L.; Walsh, K.D. Soil–water characteristic curve variability. In Advances in Unsaturated Geotechnics; American Society of Civil Engineers: Reston, VA, USA, 2000; pp. 84–124. [Google Scholar]













| Soil | USCS | PI | f (%) | fPI | A | β |
|---|---|---|---|---|---|---|
| Site 10 | CL | 11 | 86 | 9.5 | 4.03 | 0.85 |
| Site 11 | CL | 14 | 82 | 11.5 | 30.39 | 0.46 |
| Site 12 | CL | 14 | 77.5 | 10.9 | 70.04 | 0.31 |
| We | CL | 23.7 | 65.1 | 15.4 | 45.05 | 0.26 |
| F | CL | 10.3 | 62.7 | 6.5 | 0.88 | 0.93 |
| Site 10 | CL-ML | 6.5 | 63 | 4.1 | 0.57 | 1.16 |
| Site 11 | CL-ML | 4 | 70 | 2.8 | 35.87 | 0.42 |
| Site 12 | CL-ML | 5 | 63 | 3.2 | 48.30 | 0.37 |
| Wa | CH | 44.5 | 98.3 | 43.7 | 9.95 | 0.46 |
Disclaimer/Publisher’s Note: The statements, opinions and data contained in all publications are solely those of the individual author(s) and contributor(s) and not of MDPI and/or the editor(s). MDPI and/or the editor(s) disclaim responsibility for any injury to people or property resulting from any ideas, methods, instructions or products referred to in the content. |
© 2024 by the authors. Licensee MDPI, Basel, Switzerland. This article is an open access article distributed under the terms and conditions of the Creative Commons Attribution (CC BY) license (https://creativecommons.org/licenses/by/4.0/).
Share and Cite
Abuawad, T.; Miller, G.A.; Muraleetharan, K.K. Stress-Based Model for Interpreting Shear Wave Velocity from Seismic Cone Penetration Tests in Unsaturated Soil. Geosciences 2024, 14, 227. https://doi.org/10.3390/geosciences14090227
Abuawad T, Miller GA, Muraleetharan KK. Stress-Based Model for Interpreting Shear Wave Velocity from Seismic Cone Penetration Tests in Unsaturated Soil. Geosciences. 2024; 14(9):227. https://doi.org/10.3390/geosciences14090227
Chicago/Turabian StyleAbuawad, Tareq, Gerald A. Miller, and Kanthasamy K. Muraleetharan. 2024. "Stress-Based Model for Interpreting Shear Wave Velocity from Seismic Cone Penetration Tests in Unsaturated Soil" Geosciences 14, no. 9: 227. https://doi.org/10.3390/geosciences14090227
APA StyleAbuawad, T., Miller, G. A., & Muraleetharan, K. K. (2024). Stress-Based Model for Interpreting Shear Wave Velocity from Seismic Cone Penetration Tests in Unsaturated Soil. Geosciences, 14(9), 227. https://doi.org/10.3390/geosciences14090227

