Shear Banding and Cracking in Unsaturated Porous Media through a Nonlocal THM Meshfree Paradigm
Abstract
1. Introduction
2. Mathematical Formulation
2.1. Governing Equation
2.2. Kinematics
2.3. Correspondence THM Constitutive Model
2.3.1. Constitutive Correspondence Principle
2.3.2. Thermal Elastoplastic Model for Unsaturated Soils
2.4. Energy-Based Bond Breakage Criterion
3. Numerical Implementation
3.1. Global Integration in Time

| Algorithm 1 Summary of the numerical integration algorithm of the thermo–hydro–mechanical (THM) periporomechanic (PPM) paradigm | |
| Given: and compute: | |
| 1: | Update time |
| 2: | while do |
| 3: | for all points do |
| 4: | Compute the velocity predictor using (42) |
| 5: | Apply boundary conditions |
| 6: | Compute displacement predictor using (43) |
| 7: | for each neighbor do |
| 8: | Update deformation state using (53) |
| 9: | Compute deformation gradient tensor using (54) |
| 10: | end for |
| 11: | Compute unrotated rate of deformation tensor using (57) |
| 12: | Update temperature using (60) and suction using (59) |
| 13: | Update preconsolidation pressure |
| 14: | Compute trial elastic strain tensor using (62) |
| 15: | Compute the trial effective stress |
| 16: | Compute the trial yield function |
| 17: | if then |
| 18: | Update effective stress |
| 19: | else if then |
| 20: | Compute the residual |
| 21: | if then |
| 22: | Go to line 30 |
| 23: | else if then |
| 24: | Compute using (73) |
| 25: | Solve using (71) |
| 26: | Update the using (72) |
| 27: | |
| 28: | Go to line 20 |
| 29: | end if |
| 30: | Update effective stress using (26) |
| 31: | end if |
| 32: | Compute the effective force state using (75) |
| 33: | Compute using (45) |
| 34: | Solve acceleration using (44) |
| 35: | Update velocity using (47) |
| 36: | Update displacement using (48) |
| 37: | Compute kinematic energy using (51) |
| 38: | Compute internal energy using (49) and external energy using (50) |
| 39: | Check energy balance |
| 40: | for each neighbor do |
| 41: | Compute bond energy |
| 42: | if then |
| 43: | Update influence function |
| 44: | Update damage variable |
| 45: | end if |
| 46: | end for |
| 47: | end for |
| 48: | end while |
| 49: | |
3.2. Implementation of the Material Model
4. Numerical Examples
4.1. Accuracy Assessment with Isoerror Maps
4.2. Shear Banding Under Non-Isothermal Conditions

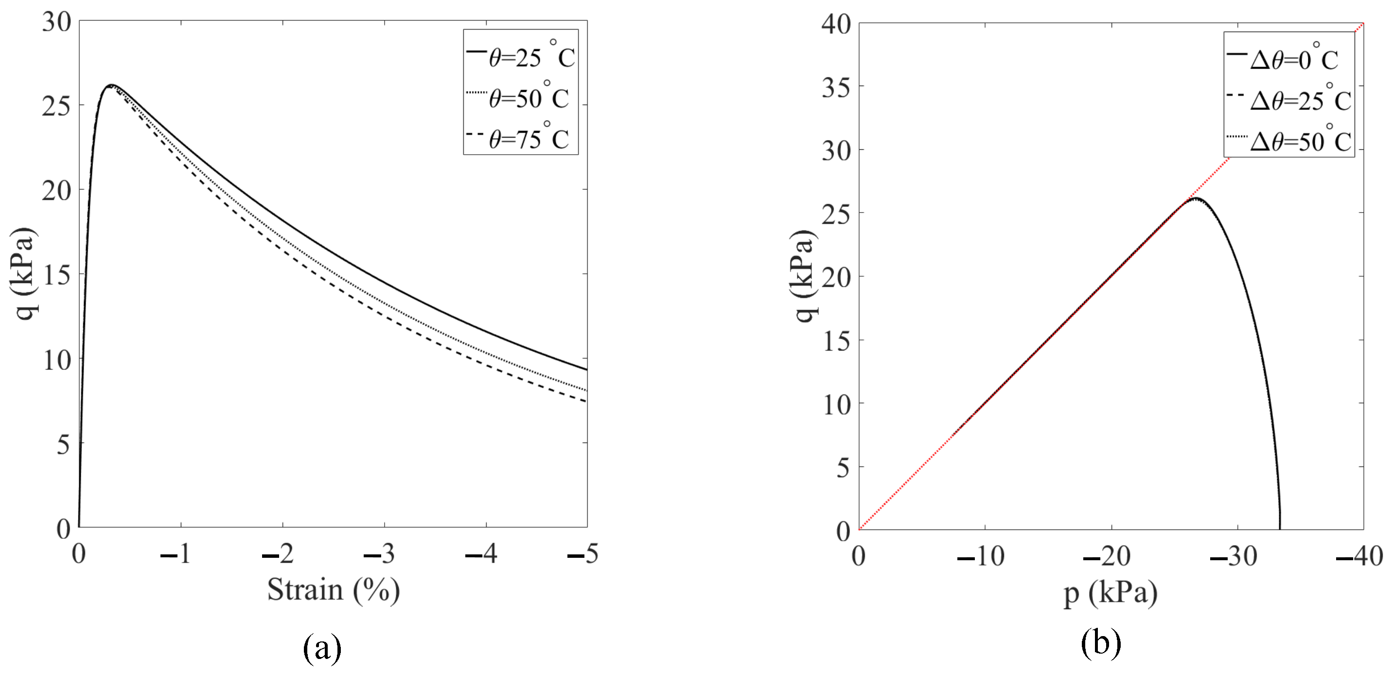
4.2.1. Scenario 1: Elevated Constant Temperature





4.2.2. Scenario 2: Increasing Temperature
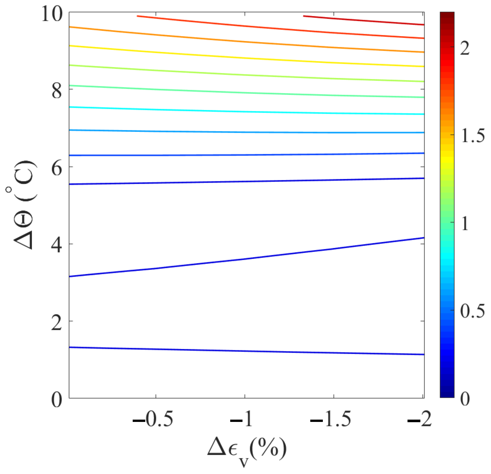
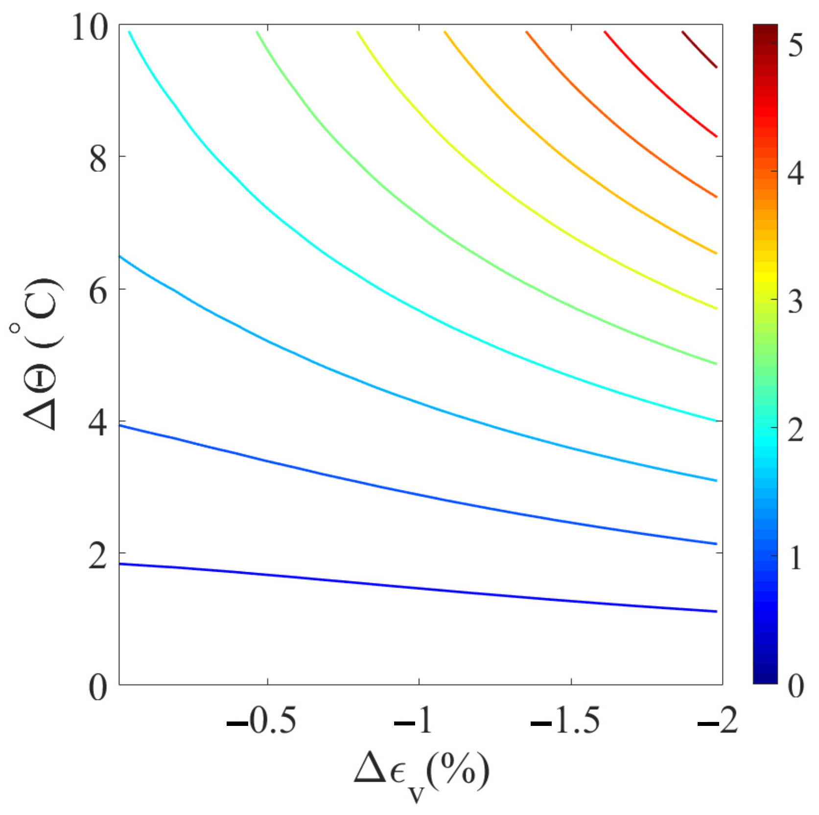
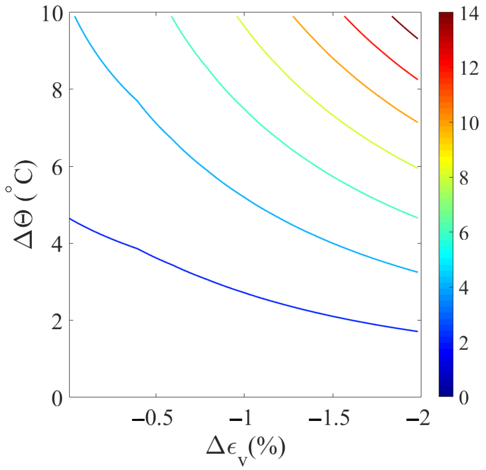
4.2.3. Scenario 3: Increasing Temperature and Decreasing Suction
4.3. Cracking in an Elastic Unsaturated Disk Specimen
4.4. Discussions
5. Summary
Author Contributions
Funding
Data Availability Statement
Acknowledgments
Conflicts of Interest
References
- Terzaghi, K.; Peck, R.B.; Mesri, G. Soil Mechanics in Engineering Practice; John Wiley & Sons: Hoboken, NJ, USA, 1996. [Google Scholar]
- Lambe, T.W.; Whitman, R.V. Soil Mechanics; John Wiley & Sons: Hoboken, NJ, USA, 1991; Volume 10. [Google Scholar]
- Cheng, A.H.D. Poroelasticity; Springer: Berlin/Heidelberg, Germany, 2016; Volume 27. [Google Scholar]
- Coussy, O. Poromechanics; John Wiley & Sons: Hoboken, NJ, USA, 2004. [Google Scholar]
- Matasovic, N.; Kavazanjian, E., Jr.; Augello, A.J.; Bray, J.D.; Seed, R.B. Solid waste landfill damage caused by 17 January 1994 Northridge earthquake. Northridge Calif. Earthq. 1994, 17, 221–229. [Google Scholar]
- Zoback, M.D. Reservoir Geomechanics; Cambridge University Press: Cambridge, UK, 2010. [Google Scholar]
- Wartman, J.; Montgomery, D.R.; Anderson, S.A.; Keaton, J.R.; Benoît, J.; dela Chapelle, J.; Gilbert, R. The 22 March 2014 Oso landslide, Washington, USA. Geomorphology 2016, 253, 275–288. [Google Scholar] [CrossRef]
- Kramer, S.L. Geotechnical Earthquake Engineering; Pearson Education India: Chennai, India, 1996. [Google Scholar]
- Mitchell, J.K.; Soga, K. Fundamentals of Soil Behavior; John Wiley & Sons: New York, NY, USA, 2005; Volume 3. [Google Scholar]
- Gens, A. Soil–environment interactions in geotechnical engineering. Géotechnique 2010, 60, 3–74. [Google Scholar] [CrossRef]
- Wang, K.; Song, X. Strain localization in non-isothermal unsaturated porous media considering material heterogeneity with stabilized mixed finite elements. Comput. Methods Appl. Mech. Eng. 2020, 359, 112770. [Google Scholar] [CrossRef]
- Song, X.; Wang, M.C. Molecular dynamics modeling of a partially saturated clay-water system at finite temperature. Int. J. Numer. Anal. Methods Geomech. 2019, 43, 2129–2146. [Google Scholar] [CrossRef]
- Zhang, Z.; Song, X. Nonequilibrium molecular dynamics (NEMD) modeling of nanoscale hydrodynamics of clay-water system at elevated temperature. Int. J. Numer. Anal. Methods Geomech. 2022, 46, 889–909. [Google Scholar] [CrossRef]
- Sánchez, M.; Gens, A.; Olivella, S. THM analysis of a large-scale heating test incorporating material fabric changes. Int. J. Numer. Anal. Methods Geomech. 2012, 36, 391–421. [Google Scholar] [CrossRef]
- Coccia, C.R.; McCartney, J. A thermo-hydro-mechanical true triaxial cell for evaluation of the impact of anisotropy on thermally induced volume changes in soils. Geotech. Test. J. 2012, 35, 227–237. [Google Scholar] [CrossRef]
- Zhang, X.; Briaud, J.L. Three dimensional numerical simulation of residential building on shrink–swell soils in response to climatic conditions. Int. J. Numer. Anal. Methods Geomech. 2015, 39, 1369–1409. [Google Scholar] [CrossRef]
- Song, X.; Wang, K.; Bate, B. A hierarchical thermo-hydro-plastic constitutive model for unsaturated soils and its numerical implementation. Int. J. Numer. Anal. Methods Geomech. 2018, 42, 1785–1805. [Google Scholar] [CrossRef]
- Song, X.; Wang, K.; Ye, M. Localized failure in unsaturated soils under non-isothermal conditions. Acta Geotech. 2018, 13, 73–85. [Google Scholar] [CrossRef]
- Habibishandiz, M.; Saghir, M. A critical review of heat transfer enhancement methods in the presence of porous media, nanofluids, and microorganisms. Therm. Sci. Eng. Prog. 2022, 30, 101267. [Google Scholar] [CrossRef]
- Bai, B.; Zhou, R.; Cai, G.; Hu, W.; Yang, G. Coupled thermo-hydro-mechanical mechanism in view of the soil particle rearrangement of granular thermodynamics. Comput. Geotech. 2021, 137, 104272. [Google Scholar] [CrossRef]
- Vasheghani Farahani, M.; Hassanpouryouzband, A.; Yang, J.; Tohidi, B. Heat transfer in unfrozen and frozen porous media: Experimental measurement and pore-scale modeling. Water Resour. Res. 2020, 56, e2020WR027885. [Google Scholar] [CrossRef]
- Menon, S.; Song, X. A stabilized computational nonlocal poromechanics model for dynamic analysis of saturated porous media. Int. J. Numer. Methods Eng. 2021, 122, 5512–5539. [Google Scholar] [CrossRef]
- Menon, S.; Song, X. Updated Lagrangian unsaturated periporomechanics for extreme large deformation in unsaturated porous media. Comput. Methods Appl. Mech. Eng. 2022, 400, 115511. [Google Scholar] [CrossRef]
- Menon, S.; Song, X. Computational coupled large-deformation periporomechanics for dynamic failure and fracturing in variably saturated porous media. Int. J. Numer. Methods Eng. 2023, 124, 80–118. [Google Scholar] [CrossRef]
- Menon, S.; Song, X. A computational periporomechanics model for localized failure in unsaturated porous media. Comput. Methods Appl. Mech. Eng. 2021, 384, 113932. [Google Scholar] [CrossRef]
- Menon, S.; Song, X. Computational multiphase periporomechanics for unguided cracking in unsaturated porous media. Int. J. Numer. Methods Eng. 2022, 123, 2837–2871. [Google Scholar] [CrossRef]
- Menon, S.; Song, X. Shear banding in unsaturated geomaterials through a strong nonlocal hydromechanical model. Eur. J. Environ. Civ. Eng. 2022, 26, 3357–3371. [Google Scholar] [CrossRef]
- Cundall, P.A.; Strack, O.D. A discrete numerical model for granular assemblies. Geotechnique 1979, 29, 47–65. [Google Scholar] [CrossRef]
- Sukumar, N.; Moës, N.; Moran, B.; Belytschko, T. Extended finite element method for three-dimensional crack modelling. Int. J. Numer. Methods Eng. 2000, 48, 1549–1570. [Google Scholar] [CrossRef]
- Moës, N.; Belytschko, T. Extended finite element method for cohesive crack growth. Eng. Fract. Mech. 2002, 69, 813–833. [Google Scholar] [CrossRef]
- Khoei, A.R. Extended Finite Element Method: Theory and Applications; John Wiley & Sons: Hoboken, NJ, USA, 2014. [Google Scholar]
- Miehe, C.; Welschinger, F.; Hofacker, M. Thermodynamically consistent phase-field models of fracture: Variational principles and multi-field FE implementations. Int. J. Numer. Methods Eng. 2010, 83, 1273–1311. [Google Scholar] [CrossRef]
- De Borst, R. Computational Methods for Fracture in Porous Media: Isogeometric and Extended Finite Element Methods; Elsevier: Amsterdam, The Netherlands, 2017. [Google Scholar]
- Menon, S.; Song, X. Coupled analysis of desiccation cracking in unsaturated soils through a non-local mathematical formulation. Geosciences 2019, 9, 428. [Google Scholar] [CrossRef]
- François, B.; Laloui, L. ACMEG-TS: A constitutive model for unsaturated soils under non-isothermal conditions. Int. J. Numer. Anal. Methods Geomech. 2008, 32, 1955–1988. [Google Scholar] [CrossRef]
- Bolzon, G.; Schrefler, B.A. Thermal effects in partially saturated soils: A constitutive model. Int. J. Numer. Anal. Methods Geomech. 2005, 29, 861–877. [Google Scholar] [CrossRef]
- Gens, A.; Jouanna, P.; Schrefler, B. Modern Issues in Non-Saturated Soils; Number BOOK; Springer: Berlin/Heidelberg, Germany, 1995. [Google Scholar]
- Wu, W.; Li, X.; Charlier, R.; Collin, F. A thermo-hydro-mechanical constitutive model and its numerical modelling for unsaturated soils. Comput. Geotech. 2004, 31, 155–167. [Google Scholar] [CrossRef]
- Dumont, M.; Taibi, S.; Fleureau, J.M.; Abou-Bekr, N.; Saouab, A. A thermo-hydro-mechanical model for unsaturated soils based on the effective stress concept. Int. J. Numer. Anal. Methods Geomech. 2011, 35, 1299–1317. [Google Scholar] [CrossRef]
- Mašín, D.; Khalili, N. A thermo-mechanical model for variably saturated soils based on hypoplasticity. Int. J. Numer. Anal. Methods Geomech. 2012, 36, 1461–1485. [Google Scholar] [CrossRef]
- Xiong, Y.; Ye, G.; Zhu, H.; Zhang, S.; Zhang, F. Thermo-elastoplastic constitutive model for unsaturated soils. Acta Geotech. 2016, 11, 1287–1302. [Google Scholar] [CrossRef]
- Zhou, C.; Ng, C.W.W. Simulating the cyclic behaviour of unsaturated soil at various temperatures using a bounding surface model. Géotechnique 2016, 66, 344–350. [Google Scholar] [CrossRef]
- Schofield, A.N.; Wroth, P. Critical State Soil Mechanics; McGraw-Hill: London, UK, 1968; Volume 310. [Google Scholar]
- Zienkiewicz, O.C.; Chan, A.; Pastor, M.; Schrefler, B.; Shiomi, T. Computational Geomechanics; Citeseer: University Park, PA, USA, 1999; Volume 613. [Google Scholar]
- Silling, S.A.; Epton, M.; Weckner, O.; Xu, J.; Askari, E. Peridynamic states and constitutive modeling. J. Elast. 2007, 88, 151–184. [Google Scholar] [CrossRef]
- Song, X.; Silling, S.A. On the peridynamic effective force state and multiphase constitutive correspondence principle. J. Mech. Phys. Solids 2020, 145, 104161. [Google Scholar] [CrossRef]
- Song, X.; Khalili, N. A peridynamics model for strain localization analysis of geomaterials. Int. J. Numer. Anal. Methods Geomech. 2019, 43, 77–96. [Google Scholar] [CrossRef]
- Song, X.; Menon, S. Modeling of chemo-hydromechanical behavior of unsaturated porous media: A nonlocal approach based on integral equations. Acta Geotech. 2019, 14, 727–747. [Google Scholar] [CrossRef]
- Song, X.; Pashazad, H. Computational Cosserat periporomechanics for strain localization and cracking in deformable porous media. Int. J. Solids Struct. 2023, 288, 112593. [Google Scholar] [CrossRef]
- Pashazad, H.; Song, X. Computational multiphase micro-periporomechanics for dynamic shear banding and fracturing of unsaturated porous media. Int. J. Numer. Methods Eng. 2023, 125, e7418. [Google Scholar] [CrossRef]
- Kakogiannou, E.; Sanavia, L.; Nicot, F.; Darve, F.; Schrefler, B.A. A porous media finite element approach for soil instability including the second-order work criterion. Acta Geotech. 2016, 11, 805–825. [Google Scholar] [CrossRef]
- Song, X.; Borja, R.I. Mathematical framework for unsaturated flow in the finite deformation range. Int. J. Numer. Methods Eng. 2014, 97, 658–682. [Google Scholar] [CrossRef]
- Song, X. Transient bifurcation condition of partially saturated porous media at finite strain. Int. J. Numer. Anal. Methods Geomech. 2017, 41, 135–156. [Google Scholar] [CrossRef]
- Borja, R.I. Cam-Clay plasticity. Part V: A mathematical framework for three-phase deformation and strain localization analyses of partially saturated porous media. Comput. Methods Appl. Mech. Eng. 2004, 193, 5301–5338. [Google Scholar] [CrossRef]
- Simo, J.C.; Hughes, T.J. Computational Inelasticity; Springer Science & Business Media: New York, NY, USA, 1998; Volume 7. [Google Scholar]
- Hughes, T.J. The Finite Element Method: Linear Static and Dynamic Finite Element Analysis; Courier Corporation: Chelmsford, MA, USA, 2012. [Google Scholar]









































Disclaimer/Publisher’s Note: The statements, opinions and data contained in all publications are solely those of the individual author(s) and contributor(s) and not of MDPI and/or the editor(s). MDPI and/or the editor(s) disclaim responsibility for any injury to people or property resulting from any ideas, methods, instructions or products referred to in the content. |
© 2024 by the authors. Licensee MDPI, Basel, Switzerland. This article is an open access article distributed under the terms and conditions of the Creative Commons Attribution (CC BY) license (https://creativecommons.org/licenses/by/4.0/).
Share and Cite
Pashazad, H.; Song, X. Shear Banding and Cracking in Unsaturated Porous Media through a Nonlocal THM Meshfree Paradigm. Geosciences 2024, 14, 103. https://doi.org/10.3390/geosciences14040103
Pashazad H, Song X. Shear Banding and Cracking in Unsaturated Porous Media through a Nonlocal THM Meshfree Paradigm. Geosciences. 2024; 14(4):103. https://doi.org/10.3390/geosciences14040103
Chicago/Turabian StylePashazad, Hossein, and Xiaoyu Song. 2024. "Shear Banding and Cracking in Unsaturated Porous Media through a Nonlocal THM Meshfree Paradigm" Geosciences 14, no. 4: 103. https://doi.org/10.3390/geosciences14040103
APA StylePashazad, H., & Song, X. (2024). Shear Banding and Cracking in Unsaturated Porous Media through a Nonlocal THM Meshfree Paradigm. Geosciences, 14(4), 103. https://doi.org/10.3390/geosciences14040103
