Impacts of an Artificial Sandbar on Wave Transformation and Runup over a Nourished Beach
Abstract
1. Introduction
2. Methodology
2.1. Physical Model Setup
2.2. Non-Hydrostatic XBeach Model
2.3. Mathematical Model Setup
2.4. Validation
2.4.1. Beach Profile Without Sandbar
2.4.2. Beach Profile with Sandbar
2.5. Data Analysis Methods
2.5.1. Wave Height and Energy
2.5.2. Wave Skewness and Asymmetry
2.5.3. Wave Reflection, Transmission, and Dissipation Coefficient
2.5.4. Wave Runup
3. Results and Discussion
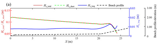
3.1. Wave Transformation Under Normal Waves
3.1.1. Wave Height
3.1.2. Wave Setup
3.1.3. Wave Skewness and Wave Asymmetry
3.2. Upper, Lower, and Depth-Averaged Velocity
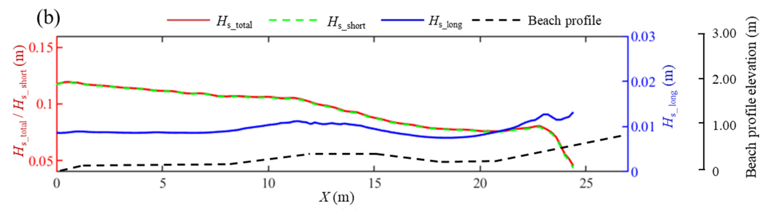
3.3. Wave Responses to the Artificial Sandbar Under Storm Wave Conditions
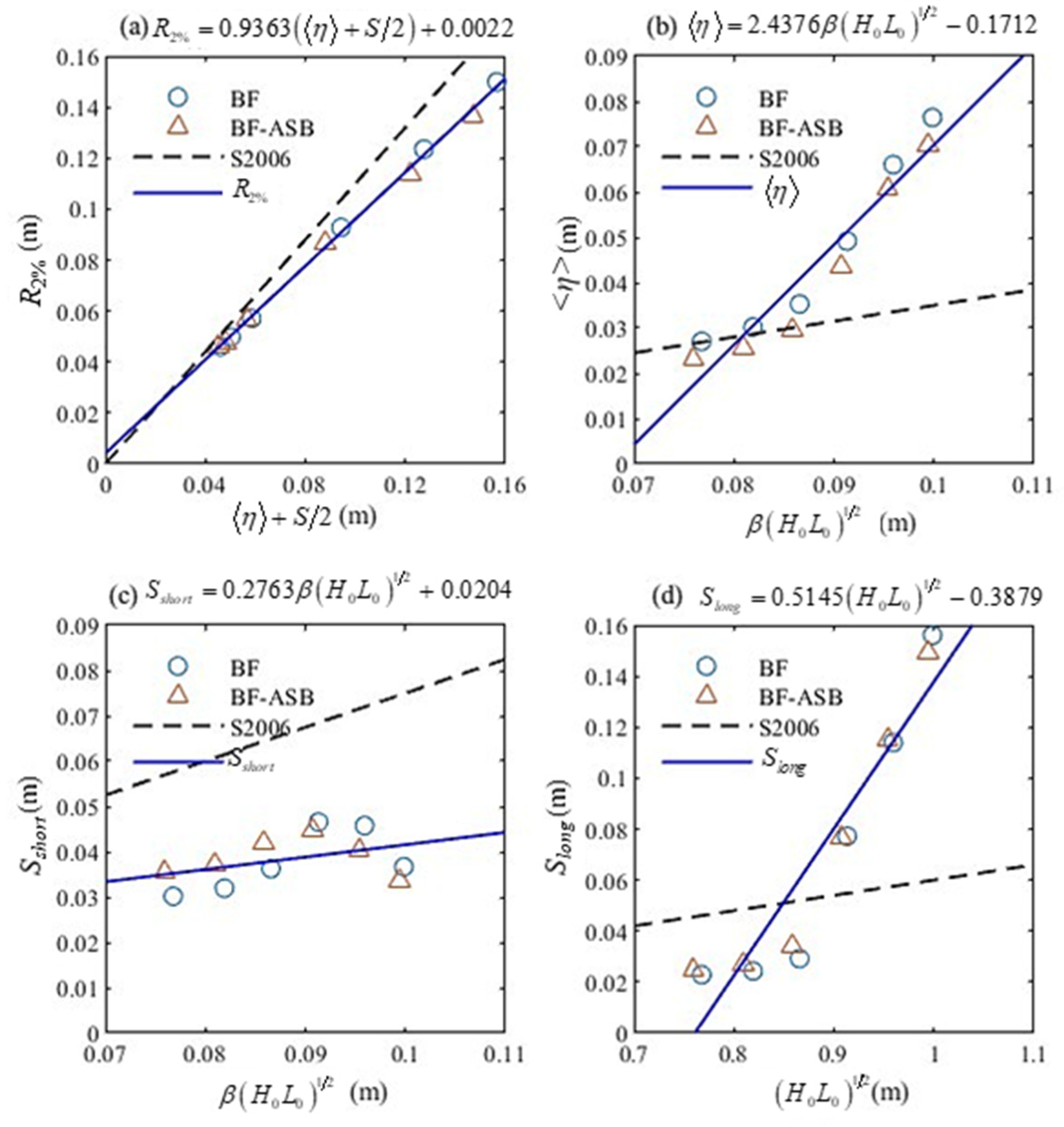
3.4. Relationship Between Wave Coefficients and Mean Water Level
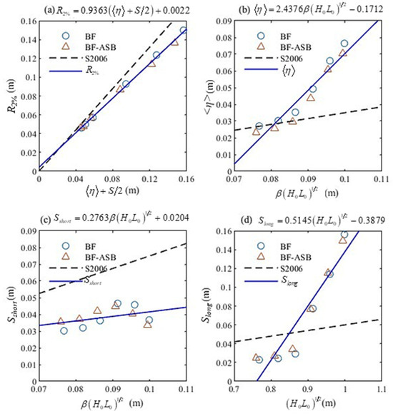
3.5. Wave Runup for Nourished Beaches Under Storm Wave Conditions
4. Conclusions
- Under normal wave action, the wave energy is predominantly short-wave energy, with minimal long-wave energy. The wave setup is negligible near the shoreline but significant on the beach face, where shallower depths increase wave nonlinearity, therefore increasing skewness and asymmetry.
- Under normal wave conditions, the artificial sandbar enhances the wave nonlinearity, causing dramatic changes in wave skewness and asymmetry across the sandbar and reducing the wave setup by 22%; causing significant wave height, wave skewness, and wave asymmetry; and causing the flow velocity to have a significant downward trend over the artificial sandbar.
- Under storm wave conditions, the increase in incident wave height leads to an expansion of the wave-breaking seaward, enhanced wave-breaking, which in turn increases the long-wave energy at the expense of short wave energy in the total wave energy.
- Under storm wave conditions, the wave dissipation coefficient over the artificial sandbar remains above 0.65 and changes slightly within a range less than 0.105. The artificial sandbar shows good performances in protecting beaches from excessive erosion under storm wave conditions.
- Under storm wave conditions, wave breaking is intensified rapidly by the sandbar, which increased the wave runup and the proportion of long wave energy significantly. The mean water level at the shoreline, high-frequency surge wave height, and low-frequency surge wave height are greater than, less than, and greater than the empirical formula prediction, respectively, under normal wave conditions.
Author Contributions
Funding
Data Availability Statement
Conflicts of Interest
References
- Hinkel, J.; Lincke, D.; Vafeidis, A.T.; Perrette, M.; Nicholls, R.J.; Tol, R.S.J.; Marzeion, B.; Fettweis, X.; Ionescu, C.; Levermann, A. Coastal Flood Damage and Adaptation Costs under 21st Century Sea-Level Rise. Proc. Natl. Acad. Sci. USA 2014, 111, 3292–3297. [Google Scholar] [CrossRef] [PubMed]
- Rocha, C.; Antunes, C.; Catita, C. Coastal Indices to Assess Sea-Level Rise Impacts—A Brief Review of the Last Decade. Ocean Coast. Manag. 2023, 237, 106536. [Google Scholar] [CrossRef]
- Lämmle, L.; Perez Filho, A.; Donadio, C.; Arienzo, M.; Ferrara, L.; Santos, C.D.J.; Souza, A.O. Anthropogenic Pressure on Hydrographic Basin and Coastal Erosion in the Delta of Paraíba Do Sul River, Southeast Brazil. J. Mar. Sci. Eng. 2022, 10, 1585. [Google Scholar] [CrossRef]
- Yin, Y.; Val, D.V.; Zou, Q.; Yurchenko, D. Resilience of Critical Infrastructure Systems to Floods: A Coupled Probabilistic Network Flow and LISFLOOD-FP Model. Water 2022, 14, 683. [Google Scholar] [CrossRef]
- Xie, D.; Zou, Q.-P.; Mignone, A.; MacRae, J.D. Coastal Flooding from Wave Overtopping and Sea Level Rise Adaptation in the Northeastern USA. Coast. Eng. 2019, 150, 39–58. [Google Scholar] [CrossRef]
- Zhang, H.; Han, G.; Wang, D.; Xue, Q.; Luo, Y. Ecological Engineering Based Adaptive Coastal Defense Strategy to Global Change. Adv. Earth. Sci. 2015, 30, 996–1005. [Google Scholar]
- Wang, Q.; Zhu, J.; Zhan, C. Research Progress of Coastal Erosion and Protection Technology. Coast. Eng. 2022, 41, 301–312. [Google Scholar]
- Hanson, H.; Brampton, A.; Capobianco, M.; Dette, H.H.; Hamm, L.; Laustrup, C.; Lechuga, A.; Spanhoff, R. Beach Nourishment Projects, Practices, and Objectives—A European Overview. Coast. Eng. 2002, 47, 81–111. [Google Scholar] [CrossRef]
- Hamm, L.; Capobianco, M.; Dette, H.H.; Lechuga, A.; Spanhoff, R.; Stive, M.J.F. A Summary of European Experience with Shore Nourishment. Coast. Eng. 2002, 47, 237–264. [Google Scholar] [CrossRef]
- Yang, Y.; Zhang, J.; Liu, S. What We Have Learnt from the Beach Nourishment Project in QinHuangdao. Mar. Geol. Front. 2014, 30, 1–15. [Google Scholar] [CrossRef]
- Cao, K.; Shi, B.; Zhao, D.; Zhao, E. Study of The Effect of the Artificial Sandbank on the Eroded Beach Nourishment. Trans. Oceanol. Limnol. 2015, 4, 127–131. [Google Scholar] [CrossRef]
- Dean, R.G.; Dalrymple, R.A.; Dean, R.G. Coastal Processes: With Engineering Applications, 1st ed.; Cambridge University Press: Cambridge, UK, 2004; ISBN 978-0-521-49535-6. [Google Scholar]
- Walstra, D.-J.; Hoyng, C.W.; Tonnon, P.K.; Van Rijn, L.C. Experimental Study Investigating Various Shoreface Nourishment Designs. Int. Conf. Coast. Eng. 2011, 32, 30. [Google Scholar] [CrossRef]
- Kuang, C.; Han, X.; Zhang, J.; Zou, Q.; Dong, B. Morphodynamic Evolution of a Nourished Beach with Artificial Sandbars: Field Observations and Numerical Modeling. J. Mar. Sci. Eng. 2021, 9, 245. [Google Scholar] [CrossRef]
- Pan, Y.; Xue, S.; Wang, X.; Kuang, C.; Chen, Y.; Zhang, C. A Review of Studies on Submerged Berms. J. Tongji Univ. 2022, 50, 1295–1302. [Google Scholar]
- Van Rijn, L.C. Unified View of Sediment Transport by Currents and Waves. I: Initiation of Motion, Bed Roughness, and Bed-Load Transport. J. Hydraul. Eng. 2007, 133, 649–667. [Google Scholar] [CrossRef]
- Van Duin, M.J.P.; Wiersma, N.R.; Walstra, D.J.R.; Van Rijn, L.C.; Stive, M.J.F. Nourishing the Shoreface: Observations and Hindcasting of the Egmond Case, The Netherlands. Coast. Eng. 2004, 51, 813–837. [Google Scholar] [CrossRef]
- Koster, L. Humplike Nourishing of the Shoreface. A Study on More Efficient Nourishing of the Shoreface. Master’s Thesis, Delft University of Technology, Delft, The Netherlands, 2006. [Google Scholar]
- Hoyng, C. Erosive and Accretive Coastal Profile Response. Master’s Thesis, Delft University of Technology, Delft, The Netherlands, 2008. [Google Scholar]
- Wu, J.; Shi, B.; Li, Z.; Liu, D.; Fan, F. Experimental Study on the Shore Nourishment for Beach Protection and Siltation Promotion. Mar. Sci. Bull. 2012, 31, 176–180. [Google Scholar]
- Di Risio, M.; Lisi, I.; Beltrami, G.M.; De Girolamo, P. Physical Modeling of the Cross-Shore Short-Term Evolution of Protected and Unprotected Beach Nourishments. Ocean Eng. 2010, 37, 777–789. [Google Scholar] [CrossRef]
- Li, Y.; Zhang, C.; Cai, Y.; Xie, M.; Qi, H.; Wang, Y. Wave Dissipation and Sediment Transport Patterns during Shoreface Nourishment towards Equilibrium. J. Mar. Sci. Eng. 2021, 9, 535. [Google Scholar] [CrossRef]
- Li, Y.; Zhang, C.; Dai, W.; Chen, D.; Sui, T.; Xie, M.; Chen, S. Laboratory Investigation on Morphology Response of Submerged Artificial Sandbar and Its Impact on Beach Evolution under Storm Wave Condition. Mar. Geol. 2022, 443, 106668. [Google Scholar] [CrossRef]
- Pan, Y.; Yin, S.; Chen, Y.P.; Yang, Y.B.; Xu, C.Y.; Xu, Z.S. An Experimental Study on the Evolution of a Submerged Berm under the Effects of Regular Waves in Low-Energy Conditions. Coast. Eng. 2022, 176, 104169. [Google Scholar] [CrossRef]
- Douglass, S.L. Estimating Landward Migration of Nearshore Constructed Sand Mounds. J. Waterw. Port Coast. Ocean. Eng. 1995, 121, 247–250. [Google Scholar] [CrossRef]
- Lee, C.-E. Migration of Offshore Mound Constructed by Dredged Materials. KSCE J. Civ. Eng. 1998, 2, 347–358. [Google Scholar] [CrossRef]
- Dodd, N.; Blondeaux, P.; Calvete, D.; de Swart, H.E.; Falques, A.; Hulscher, S.J.M.H.; Roczynski, G.; Vittori, G. Understanding Coastal Morphodynamics Using Stability Methods. J. Coast. Res. 2003, 19, 849–865. [Google Scholar]
- Van Leeuwen, S.; Dodd, N.; Calvete, D.; Falqués, A. Linear Evolution of a Shoreface Nourishment. Coast. Eng. 2007, 54, 417–431. [Google Scholar] [CrossRef]
- Li, Y. Morphology Evolution and Its Underlying Hydrodynamic and Sediment Transport Mechanisms of Nearshore Artificial Sandbar; Hohai University: Nanjing, China, 2022; ISBN 978-7-5630-7662-8. [Google Scholar]
- Li, Y.; Zhang, C. Review on Morphological Evolution of Nearshore Artificial Sandbar and Underlying Sediment Transport Mechanisms. Haiyang Xuebao 2023, 45, 79–89. [Google Scholar]
- Liang, B.; Zhu, M.; Qu, Z.; Wang, C.; Li, D. Comparative Analysis on Numerical Simulation of the Impacts of Different Beach Nourishment Schemes on Beach Profile. Haiyang Xuebao 2021, 43, 136–145. [Google Scholar]
- Kuang, C.; Ma, Y.; Dong, B.; Qi, J. Effect of Artificial Submerged Sandbar on Hydrodynamics at Zhonghaitan Beach. J. Tongji Univ. 2018, 46, 613–619. [Google Scholar]
- Ma, Y. Experimental Investigation on Beach Profile Evolution Process with Offshore Interventions of Artificial Reef and Submerged Sand Bar. Ph.D. Thesis, Tongji University, Shanghai, China, 2020. [Google Scholar]
- Gharagozlou, A.; Dietrich, J.C.; Karanci, A.; Luettich, R.A.; Overton, M.F. Storm-Driven Erosion and Inundation of Barrier Islands from Dune-to Region-Scales. Coast. Eng. 2020, 158, 103674. [Google Scholar] [CrossRef]
- Zijlema, M.; Stelling, G.; Smit, P. SWASH: An Operational Public Domain Code for Simulating Wave Fields and Rapidly Varied Flows in Coastal Waters. Coast. Eng. 2011, 58, 992–1012. [Google Scholar] [CrossRef]
- Kuang, C.; Fan, J.; Han, X.; Li, H.; Qin, R.; Zou, Q. Numerical Modelling of Beach Profile Evolution with and without an Artificial Reef. Water 2023, 15, 3832. [Google Scholar] [CrossRef]
- Smit, P.B.; Stelling, G.S.; Roelvink, D.; Van Thiel de Vries, J.; McCall, R.; Van Dongeren, A.; Zwinkels, C.; Jacobs, R. XBeach: Non-Hydrostatic Model: Validation, Verification and Model Description; Delft University of Technology: Delft, The Netherlands, 2010. [Google Scholar]
- Cui, H.; Pietrzak, J.D.; Stelling, G.S. Optimal Dispersion with Minimized Poisson Equations for Non-Hydrostatic Free Surface Flows. Ocean Model. 2014, 81, 1–12. [Google Scholar] [CrossRef]
- Elsayed, S.M.; Gijsman, R.; Schlurmann, T.; Goseberg, N. Nonhydrostatic Numerical Modeling of Fixed and Mobile Barred Beaches: Limitations of Depth-Averaged Wave Resolving Models around Sandbars. J. Waterw. Port Coast. Ocean. Eng. 2022, 148, 04021045. [Google Scholar] [CrossRef]
- Van Rijn, L.C.; Walstra, D.J.R.; Grasmeijer, B.; Sutherland, J.; Pan, S.; Sierra, J.P. The Predictability of Cross-Shore Bed Evolution of Sandy Beaches at the Time Scale of Storms and Seasons Using Process-Based Profile Models. Coast. Eng. 2003, 47, 295–327. [Google Scholar] [CrossRef]
- Rafati, Y.; Hsu, T.-J.; Elgar, S.; Raubenheimer, B.; Quataert, E.; Van Dongeren, A. Modeling the Hydrodynamics and Morphodynamics of Sandbar Migration Events. Coast. Eng. 2021, 166, 103885. [Google Scholar] [CrossRef]
- Zou, Q.; Peng, Z. Evolution of Wave Shape over a Low-Crested Structure. Coast. Eng. 2011, 58, 478–488. [Google Scholar] [CrossRef]
- Peng, Z.; Zou, Q.; Reeve, D.; Wang, B. Parameterisation and Transformation of Wave Asymmetries over a Low-Crested Breakwater. Coast. Eng. 2009, 56, 1123–1132. [Google Scholar] [CrossRef]
- Rijnsdorp, D.P.; Smit, P.B.; Zijlema, M. Non-Hydrostatic Modelling of Infragravity Waves under Laboratory Conditions. Coast. Eng. 2014, 85, 30–42. [Google Scholar] [CrossRef]
- Mieras, R.S.; Puleo, J.A.; Anderson, D.; Cox, D.T.; Hsu, T. Large-scale Experimental Observations of Sheet Flow on a Sandbar under Skewed-asymmetric Waves. J. Geophys. Res.-Ocean. 2017, 122, 5022–5045. [Google Scholar] [CrossRef]
- Hoefel, F.; Elgar, S. Wave-Induced Sediment Transport and Sandbar Migration. Science 2003, 299, 1885–1887. [Google Scholar] [CrossRef] [PubMed]
- Hsu, T.-J.; Elgar, S.; Guza, R.T. Wave-Induced Sediment Transport and Onshore Sandbar Migration. Coast. Eng. 2006, 53, 817–824. [Google Scholar] [CrossRef]
- Ruessink, B.G.; Kuriyama, Y.; Reniers, A.J.H.M.; Roelvink, J.A.; Walstra, D.J.R. Modeling Cross-shore Sandbar Behavior on the Timescale of Weeks. J. Geophys. Res. 2007, 112, 2006JF000730. [Google Scholar] [CrossRef]
- Foster, D.L.; Bowen, A.J.; Holman, R.A.; Natoo, P. Field Evidence of Pressure Gradient Induced Incipient Motion. J. Geophys. Res. 2006, 111, 2004JC002863. [Google Scholar] [CrossRef]
- Grasso, F.; Michallet, H.; Barthélemy, E. Sediment Transport Associated with Morphological Beach Changes Forced by Irregular Asymmetric, Skewed Waves. J. Geophys. Res. 2011, 116, C03020. [Google Scholar] [CrossRef]
- Goda, Y.; Suzuki, Y.; Port, M.H.D.; Institute, H.R. Estimation of Incident and Reflected Waves in Random Wave Experiments. Coast. Eng. 1976, 828–845. [Google Scholar] [CrossRef]
- Stockdon, H.F.; Holman, R.A.; Howd, P.A.; Sallenger, A.H. Empirical Parameterization of Setup, Swash, and Runup. Coast. Eng. 2006, 53, 573–588. [Google Scholar] [CrossRef]
- Bowen, A.J.; Inman, D.L.; Simmons, V.P. Wave ‘Set-down’ and Set-Up. J. Geophys. Res. 1968, 73, 2569–2577. [Google Scholar] [CrossRef]
- Kobayashi, N.; Cox, D.T.; Wurjanto, A. Irregular Wave Reflection and Run-Up on Rough Impermeable Slopes. J. Waterw. Port Coast. Ocean. Eng. 1990, 116, 708–726. [Google Scholar] [CrossRef]
- Holman, R.A. Extreme Value Statistics for Wave Run-up on a Natural Beach. Coast. Eng. 1986, 9, 527–544. [Google Scholar] [CrossRef]
- Nielsent, P.; Hanslow, D.J. Wave Runup Distributions on Natural Beaches. J. Coast. Res. 1991, 7, 1139–1152. [Google Scholar]
- Ruessink, B.G.; Kleinhans, M.G.; Van Den Beukel, P.G.L. Observations of Swash under Highly Dissipative Conditions. J. Geophys. Res. 1998, 103, 3111–3118. [Google Scholar] [CrossRef]
- Ruggiero, P.; Holman, R.A.; Beach, R.A. Wave Run-up on a High-energy Dissipative Beach. J. Geophys. Res. 2004, 109, 2003JC002160. [Google Scholar] [CrossRef]
- Bertin, X.; De Bakker, A.; Van Dongeren, A.; Coco, G.; André, G.; Ardhuin, F.; Bonneton, P.; Bouchette, F.; Castelle, B.; Crawford, W.C.; et al. Infragravity Waves: From Driving Mechanisms to Impacts. Earth Sci. Rev. 2018, 177, 774–799. [Google Scholar] [CrossRef]
- Wu, J.; Shi, B. A Review of the Shoreface Nourishment for Beach Protection. Mar. Sci. 2011, 35, 108–112. [Google Scholar]
- Han, X.; Kuang, C.; Gong, L.; Li, W. Sediment Transport and Seabed Evolution under Artificial Headland and Beach Nourishment Engineering. Oceanologia. Limnol. Sin. 2022, 53, 917–932. [Google Scholar]
- Liao, Z.; Zou, Q.; Liu, Y.; Contardo, S.; Li, S. Unified Analytical Solution for Group-Induced Infragravity Waves Based on Green’s Function. J. Fluid Mech. 2023, 967, A37. [Google Scholar] [CrossRef]
- Cong, X.; Kuang, C.; Zheng, Y.; Han, X.; Fan, J.; Zhao, F.; Yu, L. Experimental Observation on Wave Propagation and Geomorphological Evolution in a Sandbar-Lagoon System. Appl. Ocean Res. 2023, 141, 103785. [Google Scholar] [CrossRef]
- Stockdon, H.F.; Thompson, D.M.; Plant, N.G.; Long, J.W. Evaluation of Wave Runup Predictions from Numerical and Parametric Models. Coast. Eng. 2014, 92, 1–11. [Google Scholar] [CrossRef]
- Lin, P.; Liu, P.L.-F. A Numerical Study of Breaking Waves in the Surf Zone. J. Fluid Mech. 1998, 359, 239–264. [Google Scholar] [CrossRef]
- Lara, J.L.; Garcia, N.; Losada, I.J. RANS Modelling Applied to Random Wave Interaction with Submerged Permeable Structures. Coast. Eng. 2006, 53, 395–417. [Google Scholar] [CrossRef]
- Wang, Z.; Zou, Q.; Reeve, D. Simulation of Spilling Breaking Waves Using a Two Phase Flow CFD Model. Comput. Fluids 2009, 38, 1995–2005. [Google Scholar] [CrossRef]
- Xin, P.; Robinson, C.; Li, L.; Barry, D.A.; Bakhtyar, R. Effects of Wave Forcing on a Subterranean Estuary. Water Resour. Res. 2010, 46, W12505. [Google Scholar] [CrossRef]
- Peng, Z.; Zou, Q.-P.; Lin, P. A Partial Cell Technique for Modeling the Morphological Change and Scour. Coast. Eng. 2018, 131, 88–105. [Google Scholar] [CrossRef]












| Wave Model | Non-Hydrostatic Mode (Random Wave) Wavemodel = Nonh Input Parameter |
|---|---|
| Grid numbers | nx = 1605 |
| Time step | CFL = 0.2 tstop = 5400 s |
| Physical constants | rho = 1000 kg/m3 depthscale = 10–100 |
| Wave boundary condition | wbctype = parametric |
| Flow boundary condition | front = abs_1d back = abs_1d left = wall right = wall |
| Tide boundary condition | tideloc = 0 zs0 = 0.6 m |
| Bed friction | bedfriction = cf bedfriccoef = 0.05–0.14 |
| Non-hydrostatic correction | nonhq3d = 1 maxbrsteep = 0.4 |
| Sediment transport | form = vanrijn1993 tsfac = 0.3 |
| Bed composition | por = 0.4 D50 = 0.00017 m D90 = 0.00018 m rhos = 1430 kg/m3 sedcal = 0.2–0.7 |
| Morphology | morfac = 1 wetslp = 0.2 dryslp = 30 |
| Significant Wave Height | RMAE | RMAE Evaluation Criteria |
|---|---|---|
| The beach without sandbar | 0.0292 | Excellent |
| The beach with sandbar | 0.0327 | Excellent |
| H0 (m) | Offshore Position | Without Artificial Sandbar | Shoreline | ||||||||||
|---|---|---|---|---|---|---|---|---|---|---|---|---|---|
| X = 0 m | X = 11.5 m | X = 14.5 m | X = 20.55 m | ||||||||||
| Case 1 | 0.14 | 100% | 99.21% | 7.43% | 83.93% | 83.71% | 6.43% | 80.14% | 79.93% | 6.29% | 72.64% | 72.35% | 6.57% |
| Case 2 | 0.16 | 100% | 98.56% | 10.31% | 81.88% | 81.44% | 8.31% | 77.75% | 77.31% | 8.25% | 69.88% | 69.38% | 8.25% |
| Case 3 | 0.18 | 100% | 98.06% | 11.78% | 78.78% | 78.17% | 9.67% | 74.39% | 73.78% | 9.56% | 66.44% | 65.78% | 9.61% |
| Case 4 | 0.20 | 100% | 95.65% | 25.85% | 70.40% | 67.60% | 19.65% | 65.75% | 62.90% | 19.25% | 58.65% | 54.85% | 20.85% |
| Case 5 | 0.22 | 100% | 91.18% | 39.68% | 69.68% | 61.45% | 32.77% | 65.32% | 56.82% | 32.23% | 59.41% | 48.50% | 34.32% |
| Case 6 | 0.24 | 100% | 85.21% | 50.63% | 70.67% | 54.96% | 44.42% | 66.75% | 50.29% | 43.88% | 62.88% | 42.58% | 46.29% |
| H0 (m) | Offshore Position | Artificial Sandbar | Shoreline | ||||||||||
|---|---|---|---|---|---|---|---|---|---|---|---|---|---|
| X = 0 m | X = 11.5 m | X = 14.5 m | X = 20.55 m | ||||||||||
| Case 1 | 0.14 | 100% | 97.07% | 7.14% | 82.21% | 81.86% | 7.86% | 70.50% | 70.14% | 6.93% | 57.50% | 57.14% | 6.07% |
| Case 2 | 0.16 | 100% | 96.19% | 10.19% | 78.31% | 78.31% | 10.00% | 65.69% | 65.31% | 7.13% | 52.75% | 52.38% | 6.25% |
| Case 3 | 0.18 | 100% | 96.39% | 11.56% | 75.72% | 74.89% | 11.28% | 61.50% | 60.89% | 8.56% | 48.67% | 48.11% | 7.39% |
| Case 4 | 0.20 | 100% | 94.55% | 25.70% | 69.45% | 66.10% | 21.20% | 56.85% | 54.25% | 16.95% | 45.85% | 42.85% | 16.30% |
| Case 5 | 0.22 | 100% | 89.91% | 39.32% | 69.18% | 60.64% | 33.27% | 57.14% | 49.14% | 29.09% | 48.50% | 38.77% | 29.09% |
| Case 6 | 0.24 | 100% | 84.83% | 49.08% | 70.67% | 54.79% | 44.58% | 59.96% | 44.54% | 40.08% | 53.46% | 34.88% | 40.50% |
| Profile | With Sandbar | ||
|---|---|---|---|
| Case No. | KR | KT | KL |
| 1 | 0.079 | 0.684 | 0.725 |
| 2 | 0.078 | 0.644 | 0.761 |
| 3 | 0.076 | 0.610 | 0.789 |
| 4 | 0.145 | 0.622 | 0.769 |
| 5 | 0.177 | 0.652 | 0.737 |
| 6 | 0.187 | 0.705 | 0.684 |
Disclaimer/Publisher’s Note: The statements, opinions and data contained in all publications are solely those of the individual author(s) and contributor(s) and not of MDPI and/or the editor(s). MDPI and/or the editor(s) disclaim responsibility for any injury to people or property resulting from any ideas, methods, instructions or products referred to in the content. |
© 2024 by the authors. Licensee MDPI, Basel, Switzerland. This article is an open access article distributed under the terms and conditions of the Creative Commons Attribution (CC BY) license (https://creativecommons.org/licenses/by/4.0/).
Share and Cite
Kuang, C.; Chen, L.; Han, X.; Wang, D.; Cao, D.; Zou, Q. Impacts of an Artificial Sandbar on Wave Transformation and Runup over a Nourished Beach. Geosciences 2024, 14, 337. https://doi.org/10.3390/geosciences14120337
Kuang C, Chen L, Han X, Wang D, Cao D, Zou Q. Impacts of an Artificial Sandbar on Wave Transformation and Runup over a Nourished Beach. Geosciences. 2024; 14(12):337. https://doi.org/10.3390/geosciences14120337
Chicago/Turabian StyleKuang, Cuiping, Liyuan Chen, Xuejian Han, Dan Wang, Deping Cao, and Qingping Zou. 2024. "Impacts of an Artificial Sandbar on Wave Transformation and Runup over a Nourished Beach" Geosciences 14, no. 12: 337. https://doi.org/10.3390/geosciences14120337
APA StyleKuang, C., Chen, L., Han, X., Wang, D., Cao, D., & Zou, Q. (2024). Impacts of an Artificial Sandbar on Wave Transformation and Runup over a Nourished Beach. Geosciences, 14(12), 337. https://doi.org/10.3390/geosciences14120337

