Operational Estimation of Landslide Runout: Comparison of Empirical and Numerical Methods
Abstract
1. Introduction
2. Materials and Methods
2.1. Data
2.1.1. Case Studies
| Samperre Cliff Collapses [39,40,45] | Frank Slide Rock Avalanche [42] | Fei Tsui Road Debris Slide [43,44] | ||
|---|---|---|---|---|
| DOCUMENTED EVENT | Volume (V) | m (2009) m (2018) | m | m | 
| (2009) (2018) | ||||
| Observed horizontal travel distances () | 2100 m (2009) 2000 m (2018) | 3200 m | 65 m | |
| Best-fit friction coefficient | ||||
| SIMULATION DATABASE | Range of volumes V | m to m | m to m | m to m | 
| Range of friction coefficients | to | to | to | |
| Simulation grid size | ||||
| Simulation grid resoultion | 5 m | 20 m | 1 m | |
| Number of simulations | 165 | 137 | 91 | |
| Maximum duration for one simulation | 12 h | 30 min | 10 min | |
2.1.2. Landslide Databases
2.1.3. Simulation Databases
2.2. Estimation of Horizontal Travel Distances
2.2.1. Empirical Runout Estimation
2.2.2. Numerical Runout Estimation
2.2.3. Numerical/Empirical Runout Estimation
2.3. Estimation of Uncertainty
3. Results
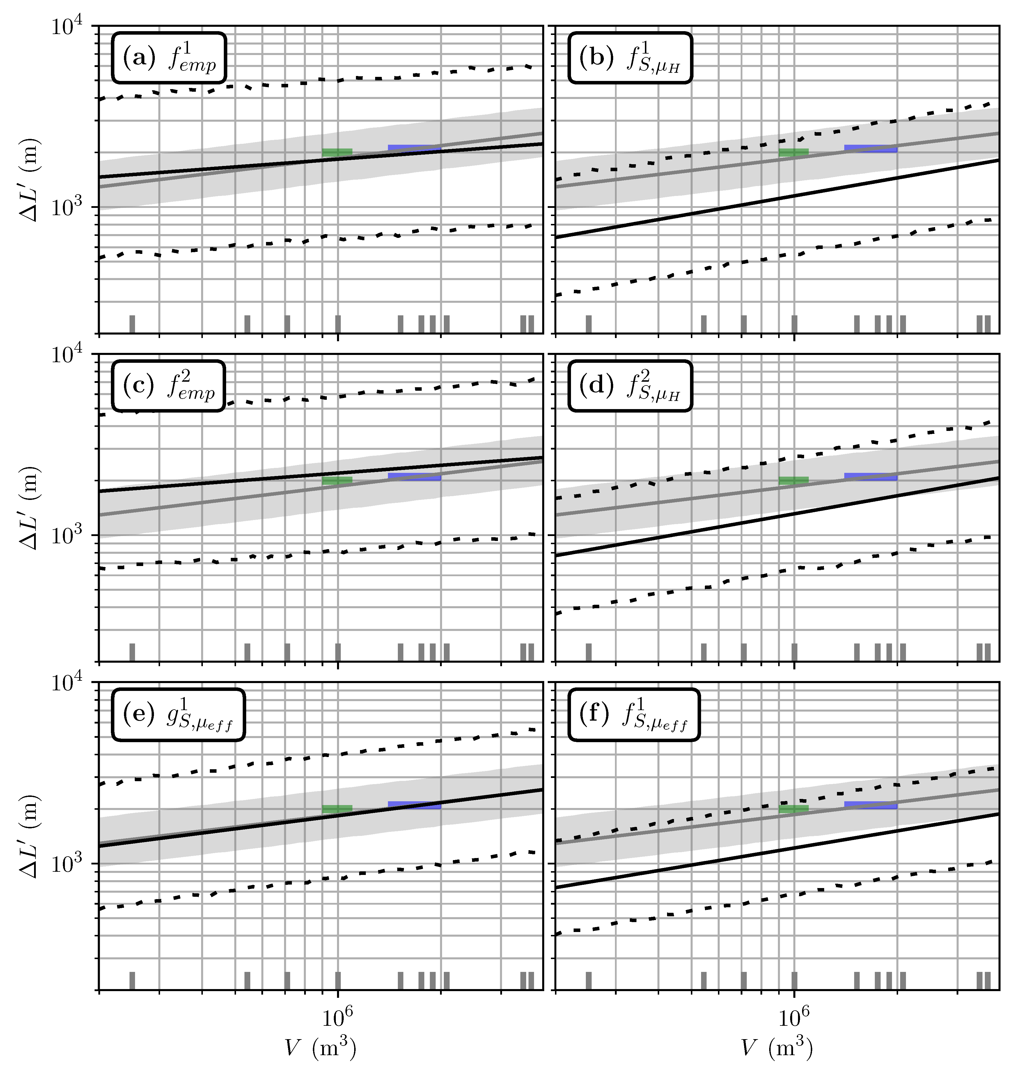
3.1. Quality of Power Law Regressions
3.2. Estimation of Travel Horizontal Travel Distances
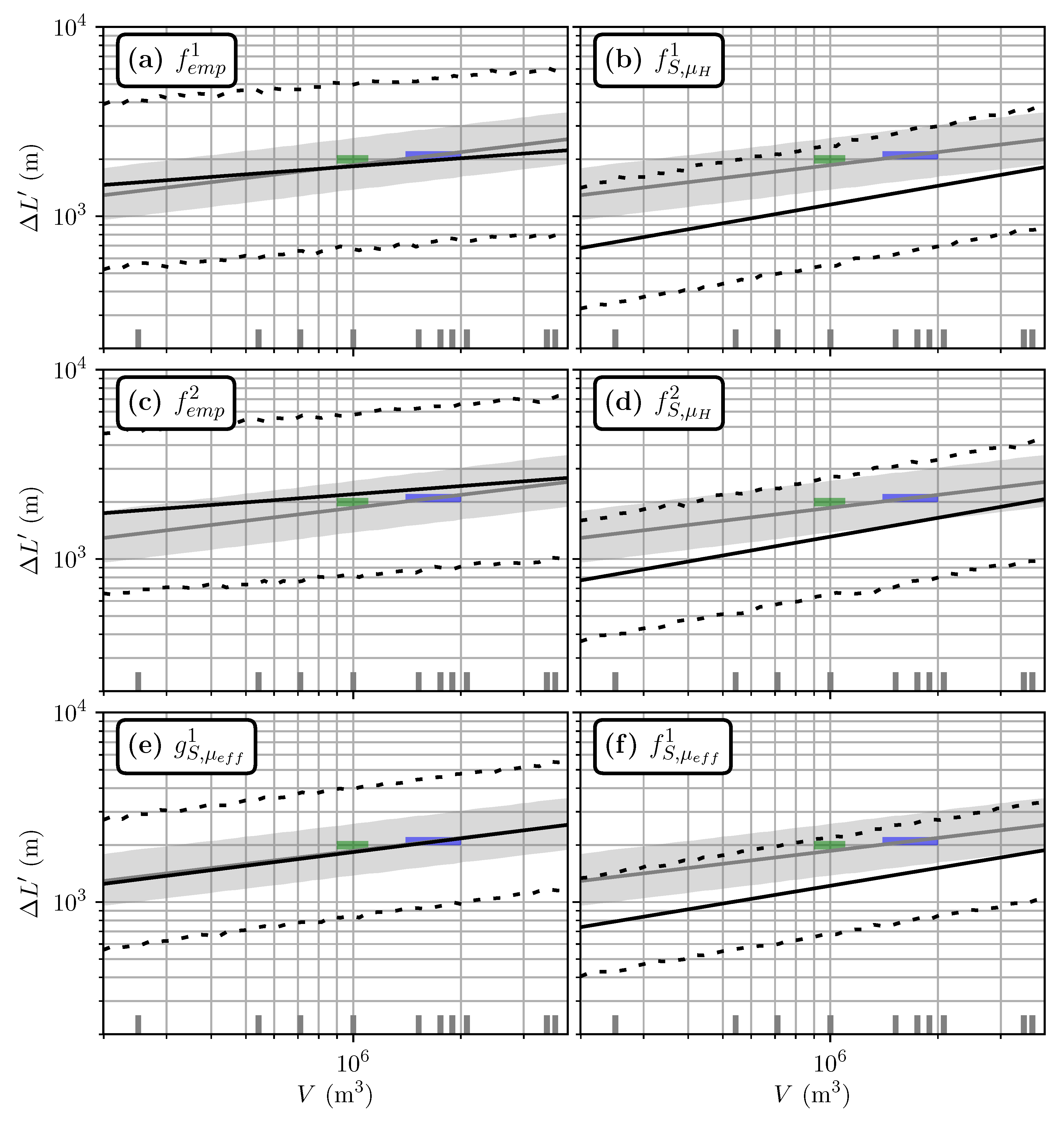
3.2.1. Samperre Cliff Case Study
3.2.2. Frank Slide Case Study
3.2.3. Fei Tsui Road Case Study
4. Discussion
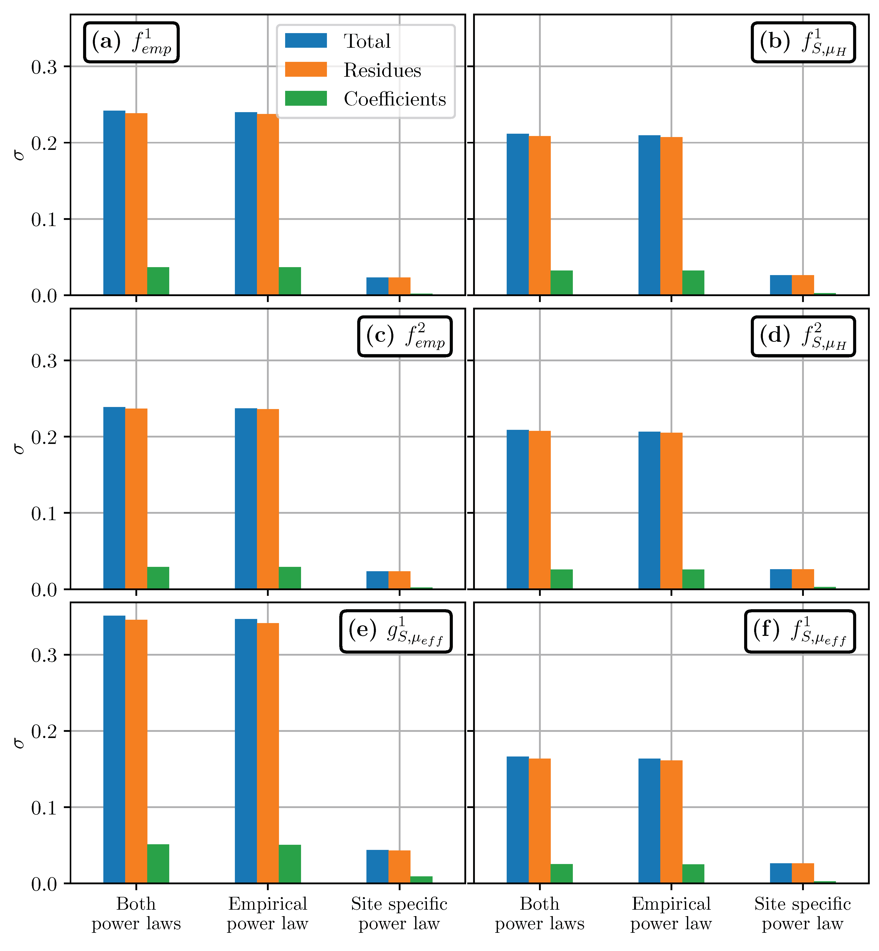
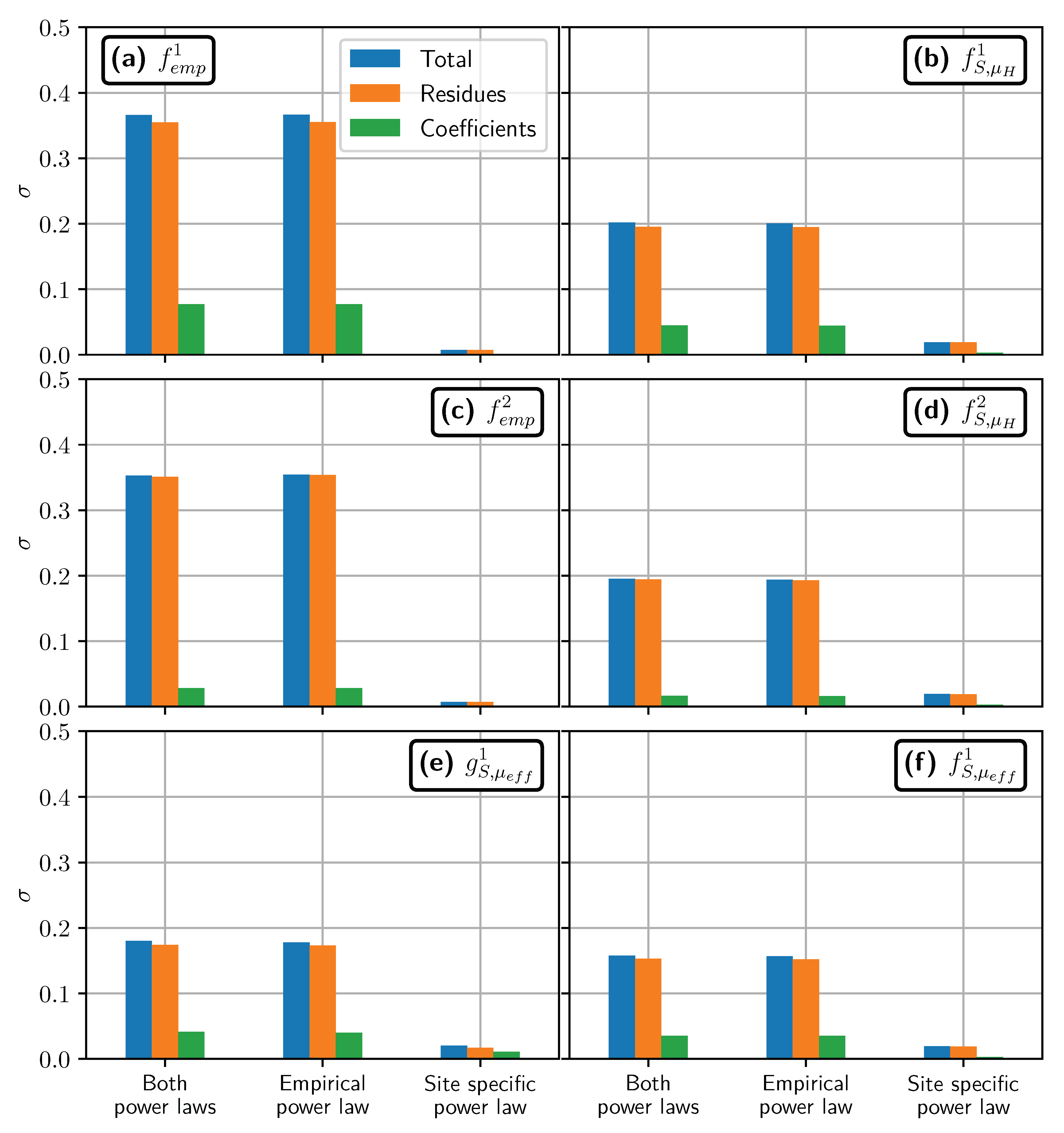
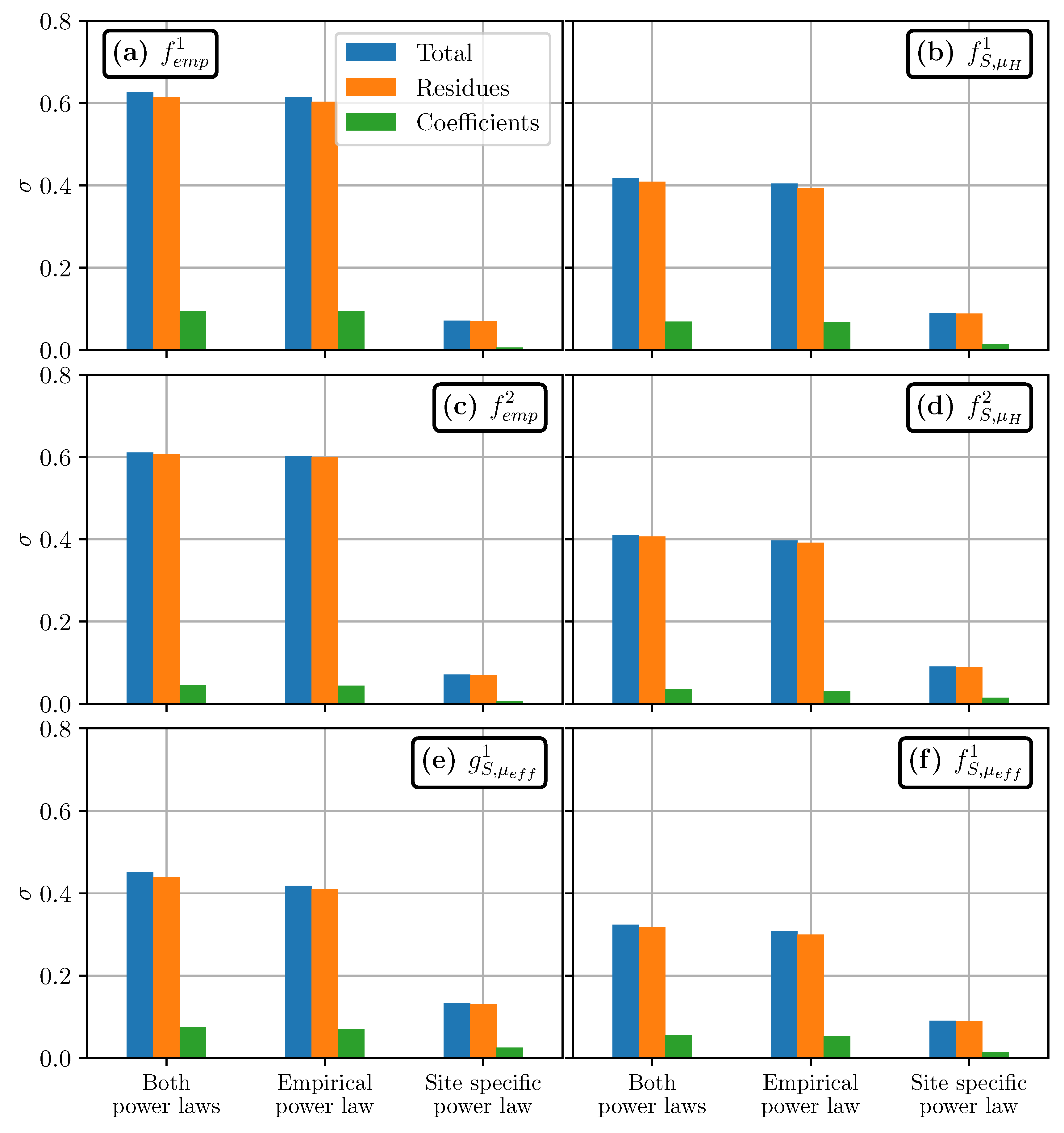
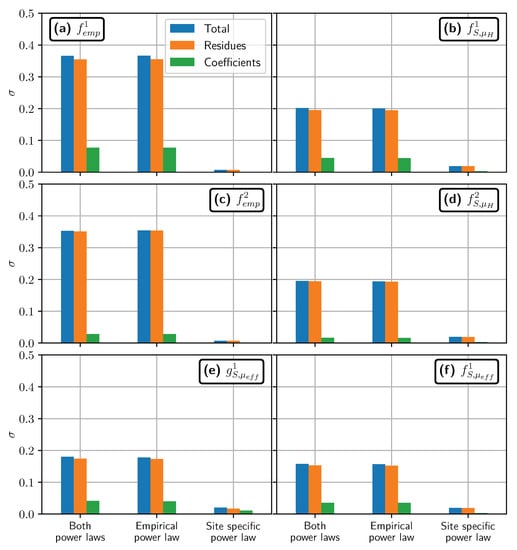
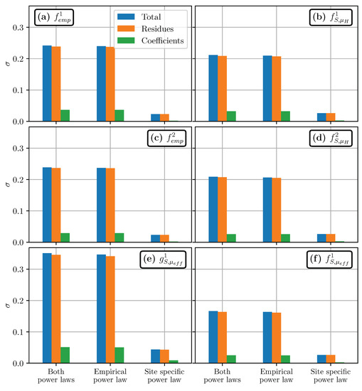
4.1. Uncertainty of Travel Distances Estimation
4.1.1. Uncertainty Reduction with Numerical Models
4.1.2. Quality of Empirical Power Laws Uncertainty Related to Dispersion in Empirical Power Laws
4.1.3. Topography Description in Empirical Power Laws Uncertainty Related to Topography Description
4.2. Are and Good Estimates of ?
4.3. Dependence between Travel Distance and Volume
5. Conclusions
- The best results, in terms of prediction uncertainty, are obtained with numerical estimations of travel distances, with friction coefficient deduced from back-analysis. The standard deviation of estimations is indeed less than half the standard deviation of empirical/numerical estimations, and less than 30% the standard deviation of purely empirical estimations. However, the uncertainty on the back-analysis results are asserted, to some extent, in a expert way. In turn, comparison with other methodologies should be done with caution.
- Combining numerical modeling with empirical estimations of and reduces the uncertainty of estimation by about 50%, in comparison with purely empirical estimations. The smallest uncertainties are obtained by using to estimate the simulation friction coefficient . However, setting or results, in 2 out of the 3 tested case studies, in an under-estimation of observed travel distances.
- When we relate the effective friction coefficient observed on real landslides, to the effective friction coefficient computed from simulations results, the resulting estimations of travel distance displays large uncertainties (even larger than empirical estimates) and/or over-estimates observations. This could be explained by the fact that the analytic expression of and was derived for constant slopes, such that their definition on complex topographies is not straight-forward.
- Numerical simulations allow to better characterize the respective influence of initial volume and physical mobility (as measured with ) on the final travel distance, for a given topography. We show that for large landslide (i.e., for volumes m), the travel distance depends mainly on , while for small landslide (i.e., for volumes m) the initial volume V has a more prominent role. This is not rendered in empirical estimations of travel distances, for which the dependence of travel distance to volume is under-estimated, all the more so as small volumes are considered.
Supplementary Materials
Author Contributions
Funding
Acknowledgments
Conflicts of Interest
Abbreviations
| DEM | Digital Elevation Model | 
| OLS | Ordinary Least Squares | 
Appendix A. Simulation Database for the Samperre Cliff Case Study
- By taking the difference between the March and July 2010 DEMs. The resulting m mass is propagated on the July 2010 DEM. It is also scaled uniformly to consider a smaller volumes (250,000 m).
- By taking the difference between the July 2010 and January 2018 DEMs, resulting in a m initial mass that is released on the Januray 2018 DEM. Three intermediate synthetic topographies are also considered, yielding three other volumes ( m, m and m).
- By considering two possible future destabilizations on the eastern and northern side of the cliff ( m and m, respectively). The resulting avalanche is propagated on the August 2018 DEM.


| B-P | J-B | R2 | VIF | |||||
|---|---|---|---|---|---|---|---|---|
| DB1 | 0.0691 ± 0.1107 | −0.0875 ± 0.0135 | n.a. | 0.23 | 0.29 | 0.82 | n.a. | |
| DB2 | 0.0287 ± 0.0530 | −0.0889 ± 0.0099 | n.a. | 0.20 | 0.18 | 0.68 | n.a. | |
| DB1 | −0.0335 ± 0.0872 | −0.0739 ± 0.0105 | n.a. | 0.98 | 0.83 | 0.84 | n.a. | |
| Samperre | 2.5291 ± 0.0128 | −1.6113 ± 0.0328 | n.a. | 0.07 | 0.01 | 0.98 | n.a. | |
| Frank Slide | 3.0274 ± 0.0069 | −0.7345 ± 0.0120 | n.a. | 0.01 | 0.00 | 0.99 | n.a. | |
| Fei Tsui Road | 1.4496 ± 0.0031 | −1.0543 ± 0.0089 | n.a. | 0.99 | 0.00 | 1.00 | n.a. | |
| Samperre | 1.1697 ± 0.1061 | 0.2275 ± 0.0172 | −1.1557 ± 0.0317 | 0.40 | 0.00 | 0.97 | 1.00 | |
| Frank Slide | 2.7682 ± 0.0566 | 0.0374 ± 0.0075 | −0.6460 ± 0.0119 | 0.04 | 0.05 | 0.99 | 1.00 | |
| Fei Tsui Road | 0.2373 ± 0.0347 | 0.3346 ± 0.0078 | −0.6103 ± 0.0266 | 0.78 | 0.14 | 0.99 | 1.03 | |
| Samperre | 1.7719 ± 0.1751 | 0.1287 ± 0.0293 | −1.5085 ± 0.0904 | 0.00 | 0.12 | 0.91 | 1.05 | |
| Frank Slide | 1.4650 ± 0.1070 | 0.1872 ± 0.0133 | −1.2926 ± 0.0446 | 0.01 | 0.30 | 0.97 | 1.08 | |
| Fei Tsui Road | 0.3313 ± 0.0406 | 0.3407 ± 0.0097 | −0.6919 ± 0.0442 | 0.02 | 0.12 | 0.99 | 1.01 | 




Appendix B. Power Law Derivation and Uncertainty Estimation
- There is indeed a linear relation between the input (x) and output values (y). This can be verified with the Harvey-Collier test that evaluates to what extent the slope ofthe linear regression changes when data points are recursively added. In practice, we could not implement this test in a satisfactory manner, because results proved to depend strongly on the order in which points were added. Thus, we evaluate linearity graphically with the graph of residuals: if they have concave or convexe shapes, then the hypothesis of linearity can be questionned (Figure A1 and Figure A2).
- The residuals have a normal distribution. This is can be verified with the Jarque-Bera test.
- The residuals are homoscedastic: they do not depend on the value y predicted by the linear model. In other words, the dispersion between the linear fit and the predicted value is the same for all predicted values. Graphically, this means the scatter plot of residuals against predicted value does not have a cone shape. This is quantitatively assessed with the Breush-Pagan test.
- For multi-linear regressions, the explanatory input variables are not linearly related. This can be assessed by computing the Variance Inflation Factor (VIF) for each associated coefficient. High VIF (typically above 5 or 10) indicate strong linear correlations
Appendix C. Propagation of Uncertainty in Power Laws
References
- Corominas, J.; van Westen, C.; Frattini, P.; Cascini, L.; Malet, J.P.; Fotopoulou, S.; Catani, F.; Van Den Eeckhaut, M.; Mavrouli, O.; Agliardi, F.; et al. Recommendations for the quantitative analysis of landslide risk. Bull. Eng. Geol. Environ. 2014, 73, 209–263. [Google Scholar] [CrossRef]
- Thiery, Y.; Vandromme, R.; Maquaire, O.; Bernardie, S. Landslide Susceptibility Assessment by EPBM (Expert Physically Based Model): Strategy of Calibration in Complex Environment. In Advancing Culture of Living with Landslides; Mikos, M., Tiwari, B., Yin, Y., Sassa, K., Eds.; Springer International Publishing: Cham, Switzerland, 2017; pp. 917–926. [Google Scholar]
- Corominas, J. The angle of reach as a mobility index for small and large landslides. Can. Geotech. J. 1996, 33, 260–271. [Google Scholar] [CrossRef]
- Legros, F. The mobility of long-runout landslides. Eng. Geol. 2002, 63, 301–331. [Google Scholar] [CrossRef]
- Lucas, A.; Mangeney, A.; Ampuero, J.P. Frictional velocity-weakening in landslides on Earth and on other planetary bodies. Nat. Commun. 2014, 5. [Google Scholar] [CrossRef]
- Zhan, W.; Fan, X.; Huang, R.; Pei, X.; Xu, Q.; Li, W. Empirical prediction for travel distance of channelized rock avalanches in the Wenchuan earthquake area. Nat. Hazards Earth Syst. Sci. 2017, 17, 833–844. [Google Scholar] [CrossRef]
- Mitchell, A.; McDougall, S.; Whittall, J.; Brideau, M.A.; McClarty, D. New empirical-statistical tools for the analysis of rock avalanche runout. In Proceedings of the 7th Canadian Geohazards Conference, Canmore, AB, Canada, 3–6 June 2018; p. 7. [Google Scholar]
- Strom, A.; Abdrakhmatov, K. Quantitative Relationships of Central Asian Bedrock Landslide Parameters. In Rockslides and Rock Avalanches of Central Asia; Elsevier: Amsterdam, The Netherlands, 2018; pp. 335–347. [Google Scholar]
- Brideau, M.A.; Stead, D.; Millard, T.H.; Ward, B.C. Field characterisation and numerical modelling of debris avalanche runout on Vancouver Island, British Columbia, Canada. Landslides 2019, 16, 875–891. [Google Scholar] [CrossRef]
- Hungr, O.; Corominas, J.; Eberhardt, E. Estimating landslide motion mechanism, travel distance and velocity. Landslide Risk Manag. 2005, 1, 99–128. [Google Scholar]
- Mangeney, A.; Heinrich, P.; Roche, R. Analytical Solution for Testing Debris Avalanche Numerical Models. Pure Appl. Geophys. 2000, 157, 1081–1096. [Google Scholar] [CrossRef]
- Wichmann, W.; Becht, M. Modelling of geomorphological processes in an alpine catchment. In GeoDynamics, Chapter: 12; Foody, A., Wu, D., Eds.; CRC Press: Boca Raton, FL, USA, 2005. [Google Scholar]
- Horton, P.; Jaboyedoff, M.; Rudaz, B.; Zimmermann, M. Flow-R, a model for susceptibility mapping of debris flows and other gravitational hazards at a regional scale. Nat. Hazards Earth Syst. Sci. 2013, 13, 869–885. [Google Scholar] [CrossRef]
- Leonardi, A.; Wittel, F.K.; Mendoza, M.; Herrmann, H.J. Coupled DEM-LBM method for the free-surface simulation of heterogeneous suspensions. Comput. Part. Mech. 2014, 1, 3–13. [Google Scholar] [CrossRef]
- Prime, N.; Dufour, F.; Darve, F. Solid-fluid transition modelling in geomaterials and application to a mudflow interacting with an obstacle. Int. J. Numer. Anal. Methods Geomech. 2014, 38, 1341–1361. [Google Scholar] [CrossRef]
- Hu, M.; Liu, M.B.; Xie, M.W.; Liu, G.R. Three-dimensional run-out analysis and prediction of flow-like landslides using smoothed particle hydrodynamics. Environ. Earth Sci. 2015, 73, 1629–1640. [Google Scholar] [CrossRef]
- Salm, B. Flow, flow transition and runout distances of flowing avalanches. Ann. Glaciol. 1993, 18, 221–226. [Google Scholar] [CrossRef]
- McDougall, S. 2014 Canadian Geotechnical Colloquium: Landslide runout analysis—current practice and challenges. Can. Geotech. J. 2017, 54, 605–620. [Google Scholar] [CrossRef]
- Pastor, M.; Quecedo, M.; González, E.; Herreros, M.I.; Merodo, J.A.F.; Mira, P. Simple Approximation to Bottom Friction for Bingham Fluid Depth Integrated Models. J. Hydraul. Eng. 2004, 130, 149–155. [Google Scholar] [CrossRef]
- McDougall, S.; Hungr, O. Dynamic modelling of entrainment in rapid landslides. Can. Geotech. J. 2005, 42, 1437–1448. [Google Scholar] [CrossRef]
- Pirulli, M.; Pastor, M. Numerical study on the entrainment of bed material into rapid landslides. Géotechnique 2012, 62, 959–972. [Google Scholar] [CrossRef]
- Iverson, R.M. Debris flows: Behaviour and hazard assessment. Geol. Today 2014, 30, 15–20. [Google Scholar] [CrossRef]
- Bouchut, F.; Fernández-Nieto, E.; Mangeney, A.; Narbona-Reina, G. A two-phase shallow debris flow model with energy balance. Math. Model. Numer. Anal. 2015, 49, 101–140. [Google Scholar] [CrossRef]
- Bouchut, F.; Fernández-Nieto, E.D.; Mangeney, A.; Narbona-Reina, G. A two-phase two-layer model for fluidized granular flows with dilatancy effects. J. Fluid Mech. 2016, 801, 166–221. [Google Scholar] [CrossRef]
- Pudasaini, S.P.; Mergili, M. A Multi-Phase Mass Flow Model. J. Geophys. Res. Earth Surf. 2019, 124, 2920–2942. [Google Scholar] [CrossRef]
- Iverson, R.M.; Denlinger, R.P. Flow of variably fluidized granular masses across three-dimensional terrain: 1. Coulomb mixture theory. J. Geophys. Res. Solid Earth 2001, 106, 537–552. [Google Scholar] [CrossRef]
- Hussin, H.Y.; Quan Luna, B.; van Westen, C.J.; Christen, M.; Malet, J.P.; van Asch, T.W.J. Parameterization of a numerical 2-D debris flow model with entrainment: A case study of the Faucon catchment, Southern French Alps. Nat. Hazards Earth Syst. Sci. 2012, 12, 3075–3090. [Google Scholar] [CrossRef]
- Mergili, M.; Frank, B.; Fischer, J.T.; Huggel, C.; Pudasaini, S.P. Computational experiments on the 1962 and 1970 landslide events at Huascarán (Peru) with r.avaflow: Lessons learned for predictive mass flow simulations. Geomorphology 2018, 322, 15–28. [Google Scholar] [CrossRef]
- Peruzzetto, M.; Komorowski, J.C.; Friant, A.L.; Rosas-Carbajal, M.; Mangeney, A.; Legendre, Y. Modeling of partial dome collapse of La Soufrière of Guadeloupe volcano: Implications for hazard assessment and monitoring. Sci. Rep. 2019, 9, 1–15. [Google Scholar] [CrossRef] [PubMed]
- Rohmer, J.; Foerster, E. Global sensitivity analysis of large-scale numerical landslide models based on Gaussian-Process meta-modeling. Comput. Geosci. 2011, 37, 917–927. [Google Scholar] [CrossRef]
- Mitchell, A.; McDougall, S.; Nolde, N.; Brideau, M.A.; Whittall, J.; Aaron, J.B. Rock avalanche runout prediction using stochastic analysis of a regional dataset. Landslides 2019. [Google Scholar] [CrossRef]
- Mangeney-Castelnau, A.; Bouchut, F.; Vilotte, J.P.; Lajeunesse, E.; Aubertin, A.; Pirulli, M. On the use of Saint Venant equations to simulate the spreading of a granular mass: Numerical simulation of granular spreading. J. Geophys. Res. Solid Earth 2005, 110. [Google Scholar] [CrossRef]
- Bouchut, F.; Westdickenberg, M. Gravity driven shallow water models for arbitrary topography. Commun. Math. Sci. 2004, 2, 359–389. [Google Scholar] [CrossRef]
- Mangeney, A.; Bouchut, F.; Thomas, N.; Vilotte, J.P.; Bristeau, M.O. Numerical modeling of self-channeling granular flows and of their levee-channel deposits. J. Geophys. Res. 2007, 112. [Google Scholar] [CrossRef]
- Lucas, A.; Mangeney, A.; Bouchut, F.; Bristeau, M.O.; Mège, D. Benchmarking Exercises for Granual Flows; Ho & Li: Hong Kong, China, 2007. [Google Scholar]
- Moretti, L.; Allstadt, K.; Mangeney, A.; Capdeville, Y.; Stutzmann, E.; Bouchut, F. Numerical modeling of the Mount Meager landslide constrained by its force history derived from seismic data. J. Geophys. Res. Solid Earth 2015, 120, 2579–2599. [Google Scholar] [CrossRef]
- Yamada, M.; Mangeney, A.; Matsushi, Y.; Matsuzawa, T. Estimation of dynamic friction and movement history of large landslides. Landslides 2018, 15, 1963–1974. [Google Scholar] [CrossRef]
- Moretti, L.; Mangeney, A.; Walter, F.; Capdeville, Y.; Bodin, T.; Stutzmann, E.; Le Friant, A. Constraining landslide characteristics with Bayesian inversion of field and seismic data. Geophys. J. Int. 2020, 221, 1341–1348. [Google Scholar] [CrossRef]
- Clouard, V.; Athanase, J.E.; Aubaud, C. Physical characteristics and triggering mechanisms of the 2009-2010 landslide crisis at Montagne Pelee volcano, Martinique: Implication for erosional processes and debris-flow hazards. Bull. Soc. Geol. Fr. 2013, 184, 155–164. [Google Scholar] [CrossRef]
- Nachbaur, A.; Legendre, Y.; Lombard, M.; Dewez, T. Caractérisation Géologique et Identification des Mécanismes D’instabilité de la Falaise Samperre; Rapport Final RP-68564-FR; BRGM: Paris, France, 2019. [Google Scholar]
- Quefféléan, Y. Mission d’expertise ONF-RTM sur les Lahars du Prêcheur; Technical Report; ONF-RTM: Paris, France, 2018. [Google Scholar]
- Benko, B.; Stead, D. The Frank slide: A reexamination of the failure mechanism. Can. Geotech. J. 1998, 35, 13. [Google Scholar] [CrossRef]
- GEO. Report on the Fei Tsui Road Landslide of August 1995, Volume 2; Findings of the Landslide Investigation, Geotechnical Engineering office: Hong-Kong, China, 1996. [Google Scholar]
- Knill, J. Report on the Fei Tsui Road Landslide of August 1995, Volume 1; Independent Review of the Investigation by the Geotechnical Engineering Office; Geotechnical Engineering Office: Hong-Kong, China, 1996. [Google Scholar]
- Aubaud, C.; Athanase, J.E.; Clouard, V.; Barras, A.V.; Sedan, O. A review of historical lahars, floods, and landslides in the Precheur river catchment (Montagne Pelee volcano, Martinique island, Lesser Antilles). Bull. Soc. Geol. Fr. 2013, 184, 137–154. [Google Scholar] [CrossRef]
- Hungr, O.; Morgenstern, N.; Wong, H. Review of benchmarking exercise on landslide debris runout and mobility modelling. In 2007 International Forum on Landdslide Disaster Management; Ho & Li: Hong-Kong, China, 2007. [Google Scholar]
- Lajeunesse, E.; Quantin, C.; Allemand, P.; Delacourt, C. New insights on the runout of large landslides in the Valles-Marineris canyons, Mars. Geophys. Res. Lett. 2006, 33, L04403. [Google Scholar] [CrossRef]
- Finlay, P.J.; Mostyn, G.R.; Fell, R. Landslide risk assessment: Prediction of travel distance. Can. Geotech. J. 1999, 36, 7. [Google Scholar] [CrossRef]
- Aaron, J.; McDougall, S. Rock avalanche mobility: The role of path material. Eng. Geol. 2019. [Google Scholar] [CrossRef]
- Zimmermann, F.; McArdell, B.W.; Rickli, C.; Scheidl, C. 2D Runout Modelling of Hillslope Debris Flows, Based on Well-Documented Events in Switzerland. Geosciences 2020, 10, 70. [Google Scholar] [CrossRef]
- Pirulli, M.; Mangeney, A. Results of Back-Analysis of the Propagation of Rock Avalanches as a Function of the Assumed Rheology. Rock Mech. Rock Eng. 2008, 41, 59–84. [Google Scholar] [CrossRef]
- Hungr, O.; Evans, S.G. Rock avalanche run out prediction using a dynamic model. In Proceedings of the 7th International Symposium on Landslides, Trondheim, Norway, 17–21 June 1996; pp. 233–238. [Google Scholar]
- Lucas, A.; Mangeney, A.; Mège, D.; Bouchut, F. Influence of the scar geometry on landslide dynamics and deposits: Application to Martian landslides. J. Geophys. Res. 2011, 116. [Google Scholar] [CrossRef]
- Wood, S.N. Generalized Additive Models: An Introduction with R, 2nd ed.; Chapman and Hall/CRC: Boca Raton, FL, USA, 2017. [Google Scholar]
- Hathout, M.; Vuillet, M.; Carvajal, C.; Peyras, L.; Diab, Y. Expert judgments calibration and combination for assessment of river levee failure probability. Reliab. Eng. Syst. Saf. 2019, 188, 377–392. [Google Scholar] [CrossRef]
- Aniel-Quiroga, I.; Álvarez Gómez, J.A.; González, M.; Martínez Sánchez, J.; Parro, L.M.; Aguirre-Ayerbe, I.; Fernández, F.; Medina, R.; Al-Yahyai, S. Tsunami Hazard assessment and Scenarios Database for the Tsunami Warning System for the coast of Oman. Prepr. Sea, Ocean. Coast. Hazards 2018. [Google Scholar] [CrossRef]
- Seabold, S.; Perktold, J. statsmodels: Econometric and statistical modeling with python. In Proceedings of the 9th Python in Science Conference, Austin, TX, USA, 28 June–3 July 2010. [Google Scholar]
- Kraemer, W.; Sonnberger, H. The Linear Regression Model Under Test; Physica-Verlag: Heidelberg, Germany, 1986. [Google Scholar]











| Methodology | Empirical Database | Estimation Name | Samperre Cliff | Frank Slide | Fei Tsui | ||||||||||
|---|---|---|---|---|---|---|---|---|---|---|---|---|---|---|---|
| (m) | (m) | (m) | |||||||||||||
| Empirical | with only | DB1 | 1667 | 0.141 | 0.011 | 0.63 | 2908 | 0.064 | 0.005 | 0.24 | 57 | 0.092 | 0.007 | 0.37 | |
| DB2 | 1994 | 0.143 | 0.008 | 0.61 | 3169 | 0.065 | 0.004 | 0.24 | 64 | 0.094 | 0.005 | 0.35 | |||
| Empirical/ numerical | DB1 | 967 | 0.329 | 0.011 | 0.42 | 2725 | 0.094 | 0.006 | 0.21 | 62 | 0.388 | 0.006 | 0.20 | ||
| DB2 | 1100 | 0.330 | 0.010 | 0.41 | 2940 | 0.095 | 0.005 | 0.21 | 66 | 0.389 | 0.005 | 0.19 | |||
| DB1 | 1027 | 0.313 | 0.011 | 0.32 | 2724 | 0.085 | 0.005 | 0.17 | 66 | 0.380 | 0.005 | 0.16 | |||
| with only | DB1 | 1588 | 0.240 | 0.017 | 0.45 | 4486 | 0.283 | 0.010 | 0.35 | 92 | 0.392 | 0.007 | 0.18 | ||
| Numerical | Back-analysis | n.a. | 1620 | 0.227 | 0.009 | 0.13 | 3245 | 0.037 | 0.004 | 0.07 | 63 | 0.335 | 0.004 | 0.03 | |
| Publisher’s Note: MDPI stays neutral with regard to jurisdictional claims in published maps and institutional affiliations. | 
© 2020 by the authors. Licensee MDPI, Basel, Switzerland. This article is an open access article distributed under the terms and conditions of the Creative Commons Attribution (CC BY) license (http://creativecommons.org/licenses/by/4.0/).
Share and Cite
Peruzzetto, M.; Mangeney, A.; Grandjean, G.; Levy, C.; Thiery, Y.; Rohmer, J.; Lucas, A. Operational Estimation of Landslide Runout: Comparison of Empirical and Numerical Methods. Geosciences 2020, 10, 424. https://doi.org/10.3390/geosciences10110424
Peruzzetto M, Mangeney A, Grandjean G, Levy C, Thiery Y, Rohmer J, Lucas A. Operational Estimation of Landslide Runout: Comparison of Empirical and Numerical Methods. Geosciences. 2020; 10(11):424. https://doi.org/10.3390/geosciences10110424
Chicago/Turabian StylePeruzzetto, Marc, Anne Mangeney, Gilles Grandjean, Clara Levy, Yannick Thiery, Jérémy Rohmer, and Antoine Lucas. 2020. "Operational Estimation of Landslide Runout: Comparison of Empirical and Numerical Methods" Geosciences 10, no. 11: 424. https://doi.org/10.3390/geosciences10110424
APA StylePeruzzetto, M., Mangeney, A., Grandjean, G., Levy, C., Thiery, Y., Rohmer, J., & Lucas, A. (2020). Operational Estimation of Landslide Runout: Comparison of Empirical and Numerical Methods. Geosciences, 10(11), 424. https://doi.org/10.3390/geosciences10110424
 
        



 
                         
       