The Effects of Environmental Enrichment on the Physiology, Behaviour, Productivity and Meat Quality of Pigs Raised in a Hot Climate
Simple Summary
Abstract
1. Introduction
2. Materials and Methods
2.1. Ethical Considerations
2.2. Animals and Housing and Experimental Conditions
2.3. Experimental Treatments
2.4. Behavioural Observations
2.5. Physiological Parameters
2.6. Performance Indicators and Body Lesions
2.7. Fasting Treatments and Carcass and Meat Quality Parameters
2.8. Statistical Analysis
3. Results
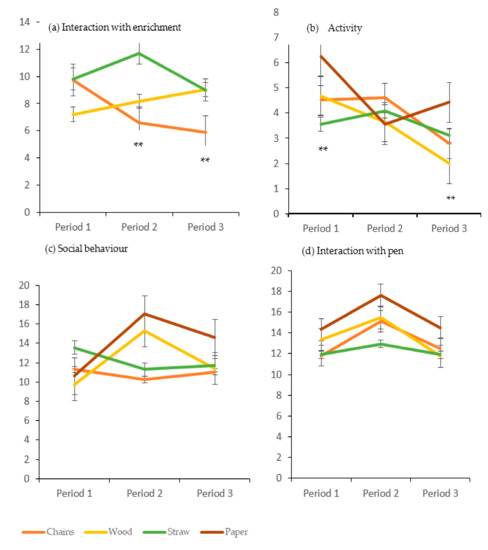
3.1. Behavioural Observations
3.2. Physiological Parameters
3.3. Skin Lesions
3.4. Weight and Productivity Data
3.5. Carcass and Meat Quality Parameters
4. Discussion
4.1. Behavioural Observations: Increase or Allowance in Species-Specific Behaviour
4.2. Physiological Parameters and Skin Lesions: Maintenance/Enhancement of Health
4.3. Areas for Future Research
4.3.1. Productivity Indicators and Carcass and Meat Quality: The Economics of the Production System
4.3.2. Practicalities to Employ
5. Conclusions
Author Contributions
Funding
Acknowledgments
Conflicts of Interest
References
- Newberry, R.C. Environmental enrichment: Increasing the biological relevance of captive environments. Appl. Anim. Behav. Sci. 1995, 44, 229–243. [Google Scholar] [CrossRef]
- Stolba, A.; Wood-Gush, D.G. The behaviour of pigs in a semi-natural environment. Anim. Prod. 1989, 48, 419–425. [Google Scholar] [CrossRef]
- Van de Weerd, H.A.; Day, J.E.L. A review of environmental enrichment for pigs housed in intensive housing systems. Appl. Anim. Behav. Sci. 2009, 116, 1–20. [Google Scholar] [CrossRef]
- European Food Safety Authority (EFSA). Scientific Opinion of the Panel on Animal Health and Welfare on a request from Commission—The risks associated with tail-biting in pigs and possible means to reduce the need for tail-docking considering the different housing and husbandry systems. EFSA J. 2007, 611, 1–13. [Google Scholar]
- European Food Safety Authority (EFSA). Scientific Opinion concerning a Multifactorial approach on the use of animal and non-animal-based measures to assess the welfare of pigs. EFSA J. 2014, 12, 3702. [Google Scholar]
- Bolhuis, J.E.; Schouten, W.G.P.; Schrama, J.W.; Wiegant, V.M. Behavioural development of pigs with 349 different coping characteristics in barren and substrate-enriched housing conditions. App. Anim. Behav. Sci. 2005, 93, 213–228. [Google Scholar] [CrossRef]
- Schroder-Petersen, D.L.; Simonsen, H.B. Tail biting in pigs. Veterin. J. 2001, 162, 196–210. [Google Scholar] [CrossRef] [PubMed]
- Taylor, N.R.; Main, D.C.J.; Mendl, M.; Edwards, S.A. Tail-biting A new perspective. Veterin. J. 2010, 186, 137–147. [Google Scholar] [CrossRef] [PubMed]
- D’Eath, R.B.; Arnott, G.; Turner, S.P.; Jensen, T.; Lahrmann, H.P.; Busch, M.E.; Niemi, J.K.; Lawrence, A.B.; Sandoe, P. Injurious tail biting in pigs: how can it be controlled in existing systems without tail docking? Animals 2014, 8, 1479–1497. [Google Scholar] [CrossRef]
- European Union. Council Directive 2008/120/EC of 18 December 2008 Laying Down Minimum Standards for the Protection of Pigs (Amending 91/630/EEC). 2009; Official Journal of the European Union: Brussels, Belgium, 2009; Volume 7, pp. 5–13. [Google Scholar]
- De Briyne, N.; Berg, C.; Blaha, T.; Palzer, A.; Temple, D. Phasing out Pig Tail Docking in the EU—Present State, Challenges and Possibilities. Porc. Heal. Manag. 2018, 4, 1–9. [Google Scholar] [CrossRef]
- D’Eath, R.B.; Niemi, J.K.; Ahmadi, B.V.; Rutherford, K.M.D.; Ison, S.H.; Turner, S.P.; Anker, H.T.; Jensen, T.; Busch, M.E.; Jensen, K.K.; et al. Why are most EU pigs tail docked? Economic and ethical analysis of four pig housing and management scenarios in the light of EU legislation and animal welfare outcomes. Animals 2016, 10, 687–699. [Google Scholar] [CrossRef] [PubMed]
- Casal, N.; Manteca, X.; Dalmau, A.; Fàbrega, E. Influence of enrichment material and herbal compounds in the behaviour and performance of growing pigs. Appl. Anim. Behav. Sci. 2017, 195, 38–43. [Google Scholar] [CrossRef]
- Day, J.E.L.; Van de Weerd, H.A.; Edwards, S.A. The effect of varying lengths of straw bedding on the behaviour of growing pigs. Appl. Anim. Behav. Sci. 2008, 109, 249–260. [Google Scholar] [CrossRef]
- Van de Weerd, H.A.; Docking, C.M.; Day, J.E.L.; Breuer, L.K.; Edwards, S.A. Effects of species-relevant environmental enrichment on the behaviour and productivity of finishing pigs. Appl. Anim. Behav. Sci. 2006, 99, 230–247. [Google Scholar] [CrossRef]
- Grimberg-Henrici, C.G.E.; Vermaak, P.; Bolhuis, J.E.; Nordquist, R.E.; van der Staay, F.J. Effects of environmental enrichment on cognitive performance of pigs in a spatial holeboard discrimination task. Anim. Cogn. 2016, 19, 271–283. [Google Scholar] [CrossRef] [PubMed]
- Tuyttens, F.A.M. The importance of straw for pig and cattle welfare: a review. Appl. Anim. Behav. Sci. 2005, 92, 261–282. [Google Scholar] [CrossRef]
- Telkänranta, H.; Bracke, M.; Valros, A. Fresh wood reduces tail and ear biting and increases exploratory behaviour in finishing pigs. Appl. Anim. Behav. Sci. 2014, 161, 50–59. [Google Scholar]
- Courboulay, V. Enrichment materials for fattening pigs: Summary of IFIP trials. Cahiers l’IFIP 2014, 1, 47–56. [Google Scholar]
- Averós, X.; Brossard, L.; Dourmad, J.Y.; de Greef, K.H.; Edge, H.L.; Edwards, S.A.; Meunier-Salaün Alaün, M.C. A meta-analysis of the combined effect of housing and environmental enrichment characteristics on the behaviour and performance of pigs. Appl. Anim. Behav. Sci. 2010, 127, 73–85. [Google Scholar] [CrossRef]
- European Union. Commission Recommendation (EU) 2016/336 of 8 March on the Application of Council Directive 2008/120/EC Laying Down Minimum Standards for the Protection of Pigs as Regards Measures to Reduce the Need for Tail-Docking; Official Journal of the European Union: Brussels, Belgium, March 2016. [Google Scholar]
- Martin, P.; Bateson, P. Measuring Behaviour—An Introductory Guide, 2nd ed.; Cambridge University Press: Cambridge, UK, April 1993. [Google Scholar]
- Casal, N.; Manteca, X.; Escribabon, D.; Cerón, J.J.; Fàbrega, E. Effect of environmental enrichment and herbal compound supplementation on phyisiological stress indicators (chromogranin A, cortisol and tumor necrosis factor-α) in growing pigs. Animals 2017, 8, 1–9. [Google Scholar]
- Escribano, D.; Soler, L.; Gutiérrez, A.M.; Martínez-Subiela, S.; Cerón, J.J. Measurement of chromogranin A in porcine saliva: Validation of a time-resolved immunofluorometric assay and evaluation of its application as a marker of acute stress. Animals 2013, 7, 640–647. [Google Scholar] [CrossRef]
- Blokhuis, H.J. Welfare Quality® Assessment Protocol for Pigs (Sows and Piglets, Growing and Finishing Pigs); Report for Welfare Quality® Consortium: Lelystad, The Netherlands, October 2009. [Google Scholar]
- Cameron, A.C.; Trivedi, P.K. Regression Analysis of Count Data; Cambridge University Press: New York, NY, USA, September 1998. [Google Scholar]
- Beattie, V.E.; O’Connell, N.E.; Moss, B.W. Influence of environmental enrichment on the behaviour, performance and meat quality of domestic pigs. Liv. Prod. Sci. 2000, 65, 71–79. [Google Scholar] [CrossRef]
- De Jong, I.C.; Ekkel, E.D.; Van De Burgwal, J.A.; Lambooij, E.; Korte, S.M.; Ruis, M.A.W.; Koolhaas, J.M.; Blokhuis, H.J. Effects of strawbedding on physiological responses to stressors and behavior in growing pigs. Physiol. Behav. 1998, 64, 303–310. [Google Scholar] [CrossRef]
- Jensen, M.B.; Studnitz, M.; Pedersen, L.J. The effect of type of rooting material and space allowance on exploration and abnormal behaviour in growing pigs. Appl. Anim. Behav. Sci. 2010, 123, 87–92. [Google Scholar] [CrossRef]
- Studnitz, M.; Jensen, M.B.; Pedersen, L.J. Why do pigs root and in what will they root? Appl. Anim. Behav. Sci. 2007, 107, 183–197. [Google Scholar] [CrossRef]
- Bracke, M.; Koene, P. Expert opinion on metal chains and other indestructible objects as proper enrichment for intensively-farmed pigs. PLoS ONE 2019, 14, 1–19. [Google Scholar] [CrossRef] [PubMed]
- Davis, A.K.; Maney, D.L.; Maerz, J.C. The use of leukocyte profiles to measure stress in vertebrates: A review for ecologists. Funct Ecol. 2008, 22, 760–772. [Google Scholar] [CrossRef]
- Stull, C.L.; Kachulis, C.J.; Farley, J.L.; Koenig, G.J. The effect of age and teat order on α1-acid glycoprotein, neutrophil-to-lymphocyte ratio, cortisol, and average daily gain in commercial growing pigs. J. Anim. Sci. 1999, 77, 70–74. [Google Scholar] [CrossRef]
- Knowles, T.G.; Warriss, P.D.; Vogel, K. Stress physiology of animals during transport. In Livestock Handling and Transport; Grandin, T., Ed.; CABI Publishing: Wallingford, UK, 2014; pp. 399–420. [Google Scholar]
- Geverink, N.A.; De Jong, I.C.; Lambooij, E.; Blokhuis, H.J.; Wiegant, V.M. Influence of housing conditions on responses of pigs to preslaughter treatment and consequences for meat quality. Can. J. Ani. Sci. 1999, 79, 285–291. [Google Scholar] [CrossRef]
- Day, J.E.L.; Burfoot, A.; Docking, C.M.; Whittaker, X.; Spoolder, H.A.M.; Edwards, S.A. The effects of prior experience of straw and the level of straw provision on the behaviour of growing pigs. Appl. Anim. Behav. Sci. 2002, 76, 189–202. [Google Scholar] [CrossRef]
- Casal, N.; Fon-i-Furnols, M.; Gispert, M.; Manteca, X. Effect of Environmental Enrichment and Herbal Compounds-Supplemented Diet on Pig Carcass, Meat Quality Traits, and consumers’ Acceptability and Preference. Animals 2018, 8, 118. [Google Scholar] [CrossRef] [PubMed]
- Coruboulay, V.; Guingand, N. Paille ou objects à manipuler: quelle attractivité pour le porc en croissance loge sur caillebotis? 51èmes Journées de la Recherche Porcine: Paris, France, February 2019. [Google Scholar]
- Ward, P.L.; Wohlt, J.E.; Zajac, P.K.; Cooper, K.R. Chemical and physical properties of processed newspaper compared to wheat straw and wood shavings as animal bedding. J. Dairy Sci. 2000, 83, 359–367. [Google Scholar] [CrossRef]
- Telkänranta, H.; Swan, K.; Hirvonen, H.; Valros, A. Chewable materials before weaning reduce tail biting in growing pigs. Appl. Anim. Behav. Sci. 2014, 157, 14–22. [Google Scholar]





| Specific Category | Definition |
|---|---|
| SCAN SAMPLING Activity | |
| Standing inactive | Pig is upright on all four legs, neither moving forward or backward |
| Walking | Pig is upright on all four legs, and moves in the pen |
| Sitting inactive | Pig is upright on two front legs, and hindquarter |
| Lying | Pig is recumbent on its belly or side |
| Behaviour | |
| Eat/Drink | Head or snout over bowl or trough |
| Interaction with the pen | Licking, chewing, nosing or sniffing unanimated objects from the pen, excluding enriched material |
| Interaction with enrichment material | Interaction with each type of enrichment material |
| Social interaction | Head or snout in contact with another pig (includes any positive or negative social behaviour) |
| Other behaviour | Behaviour different to that previously described |
| FOCAL SAMPLING | |
| Positive social behaviour | Head or snout in contact with another pig. The receiver doesn’t react negatively |
| Negative social behaviour | Aggression, fights to another pig with a negative response from the receiver |
| Stereotypies | Stereotypical behaviour, basically animal rubs the bars of the crate with the mouth, and other stereotypical behaviour |
| Redirected behaviour | Vertical rub movements with the snout to the belly of a pen-mate (belly nosing), bite or suck the ear of a pen-mate (ear biting) and bite or suck the tail of a pen-mate (tail biting) |
| Interaction with enrichment material | Interaction with each type of enrichment material |
| Sexual behaviour Other behaviour | Sexual behaviour, one animal mounting or trying to mount another pig Any other behaviour |
| Enrichment Material Treatment | ||||||
|---|---|---|---|---|---|---|
| Chain | Wood | Straw | Paper | P Treatment 3 | P Time | |
| CgA 67 1 | 0.77 a ± 0.87 | 0.73 a ± 0.99 | 1.10 ab ± 1.57 | 1.08 a ± 1.57 | ||
| CgA 128 | 1.15 b ± 2.20 | 1.09 ab ± 1.64 | 1.34 b ± 2.19 | 2.51 b ± 3.89 | NS | ** |
| CgA 164 | 0.73 a ± 0.61 | 0.72 a ± 0.52 | 0.63 a ± 0.57 | 0.71 a ± 0.44 | ||
| N:L 66 2 | 0.66 a ± 0.32 | 0.67 a ± 0.24 | 0.67 a ± 0.32 | 0.62 a ± 0.21 | NS | ** |
| N:L 170 | 0.79 b ± 0.31 | 0.83 b ± 0.31 | 0.82 b ± 0.45 | 0.77 b ± 0.47 | ||
| Enrichment Material Treatment | |||||
|---|---|---|---|---|---|
| Chain | Wood | Straw | Paper | P Treatment * Time 1 | |
| Rear Lesions 67 | 0.62 a± 0.41 | 1.08 a ± 0.89 | 0.63 a ± 1.57 | 1.83 b ± 1.22 | |
| Rear Lesions 167 | 7.20 d ± 2.90 | 6.00 c ± 1.85 | 5.66 c ± 2.66 | 7.17 d ± 2.62 | * |
| Front Lesions 67 | 1.87 a ± 0.70 | 1.71 a ± 0.56 | 2.29 b ± 1.83 | 1.79 a ± 0.56 | * |
| Front Lesions 167 | 6.2 d ± 4.9 | 5.25 d ± 3.35 | 3.95 c ± 3.01 | 5.62 d ± 4.48 | |
| Enrichment Material Treatment | ||||||
|---|---|---|---|---|---|---|
| Chain | Wood | Straw | Paper | P treatment 3 | P time | |
| ADG 1 1,2 | 0.77 a ± 0.07 | 0.77 a ± 0.03 | 0.75 a ± 0.04 | 0.74 a ± 0.06 | NS | *** |
| ADG 2 | 0.92 b ± 0.08 | 0.91 b±0.13 | 0.91 b ± 0.15 | 0.92 b ± 0.068 | ||
| ADG 3 | 0.93 b ± 0.11 | 0.92 b±0.04 | 0.91 b ± 0.02 | 0.92 b ± 0.05 | ||
| ADG 4 | 0.94 b ± 0.07 | 0.97 b ± 0.05 | 0.98 b ± 0.04 | 0.95 b ± 0.09 | ||
| DFI 1 | 1.39 a ± 0.08 | 1.41 a ± 0.06 | 1.44 a ± 0.07 | 1.43 a ± 0.02 | NS | *** |
| DFI 2 | 1.72 b ± 0.14 | 1.63 b ± 0.037 | 1.71 b ± 0.19 | 1.76 b ± 0.15 | ||
| DFI 3 | 2.14 b ± 0.19 | 2.21 b ± 0.16 | 2.18 b ± 0.16 | 2.15 b ± 0.11 | ||
| DFC 4 | 2.45 b ± 0.19 | 2.51 b ± 0.15 | 2.56 b ± 0.15 | 2.48 b ± 0.13 | ||
| FCR 1 | 1.80 a ± 0.07 | 1.83 a ± 0.03 | 1.90 a ± 0.16 | 1.93 a ± 0.13 | NS | *** |
| FCR 2 | 1.87 a ± 0.12 | 1.86 a ± 0.22 | 1.90 a ± 0.11 | 1.94 a ± 0.12 | ||
| FCR 3 | 2.32 b ± 0.15 | 2.41 b ± 0.14 | 2.40 b ± 0.19 | 2.34 b ± 0.07 | ||
| FCR 4 | 2.62 b ± 0.22 | 2.59 b ± 0.24 | 2.61 b ± 0.10 | 2.61 b ± 0.24 | ||
| IW | 25.60 b ± 1.61 | 27.14 b ± 1.71 | 27.04 b ± 1.54 | 26.20 b ± 0.48 | ||
| FW | 105.94 b ± 6.26 | 107.96 b ± 4.12 | 106.43 b ± 4.63 | 106.16 b± 4.02 | NS | *** |
| Enrichment Material Treatments | |||||
|---|---|---|---|---|---|
| Chain | Wood | Straw | Paper | P Fasting 2 | |
| Carcass weight 0 h (kg) 1 | 88.98 a ± 2.83 | 87.61 a ± 2.72 | 88.46 a ± 2.71 | 87.83 a ± 2.71 | * |
| Carcass Weight 12 h (Kg) | 81.36 b ± 2.71 | 85.13 b ± 2.71 | 82.73 b ± 2.71 | 82.99 b ± 2.72 | |
| Carcass yield (%) 2 | 74.50 ± 0.51 | 74.71 ± 0.44 | 74.49 ± 0.48 | 74.09 ± 0.49 | NS |
| Carcass Lean percentage (%) | 59.05 ± 0.68 | 58.79 ± 0.65 | 58.46 ± 0.64 | 59.27 ± 0.65 | NS |
| pHu SM | 5.48 ± 0.02 | 5.50 ± 0.09 | 5.50 ± 0.019 | 5.52 ± 0.019 | NS |
| ECu SM | 7.56 ± 0.3 | 8.03 ± 0.28 | 8.07 ± 0.27 | 7.88 ± 0.28 | NS |
| L* SM | 49.57 ± 0.61 | 50.27 ± 0.58 | 49.79 ± 0.57 | 49.59 ± 0.58 | NS |
| a* SM | 6.15 ± 0.36 | 5.74 ± 0.34 | 6.13 ± 0.34 | 6.31 ± 0.34 | NS |
| b* SM | 0.12 ± 0.1 | −0.19 ± 0.1 | 0.08 ± 0.1 | −0.07 ± 0.1 | NS |
© 2019 by the authors. Licensee MDPI, Basel, Switzerland. This article is an open access article distributed under the terms and conditions of the Creative Commons Attribution (CC BY) license (http://creativecommons.org/licenses/by/4.0/).
Share and Cite
Fàbrega, E.; Marcet-Rius, M.; Vidal, R.; Escribano, D.; Cerón, J.J.; Manteca, X.; Velarde, A. The Effects of Environmental Enrichment on the Physiology, Behaviour, Productivity and Meat Quality of Pigs Raised in a Hot Climate. Animals 2019, 9, 235. https://doi.org/10.3390/ani9050235
Fàbrega E, Marcet-Rius M, Vidal R, Escribano D, Cerón JJ, Manteca X, Velarde A. The Effects of Environmental Enrichment on the Physiology, Behaviour, Productivity and Meat Quality of Pigs Raised in a Hot Climate. Animals. 2019; 9(5):235. https://doi.org/10.3390/ani9050235
Chicago/Turabian StyleFàbrega, Emma, Míriam Marcet-Rius, Roger Vidal, Damián Escribano, José Joaquín Cerón, Xavier Manteca, and Antonio Velarde. 2019. "The Effects of Environmental Enrichment on the Physiology, Behaviour, Productivity and Meat Quality of Pigs Raised in a Hot Climate" Animals 9, no. 5: 235. https://doi.org/10.3390/ani9050235
APA StyleFàbrega, E., Marcet-Rius, M., Vidal, R., Escribano, D., Cerón, J. J., Manteca, X., & Velarde, A. (2019). The Effects of Environmental Enrichment on the Physiology, Behaviour, Productivity and Meat Quality of Pigs Raised in a Hot Climate. Animals, 9(5), 235. https://doi.org/10.3390/ani9050235

