The Use of Garlic Oil for Olfactory Enrichment Increases the Use of Ropes in Weaned Pigs
Simple Summary
Abstract
1. Introduction
2. Materials and Methods
3. Results
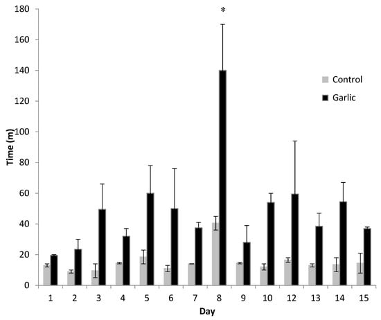
3.1. Activity Budget of Piglets
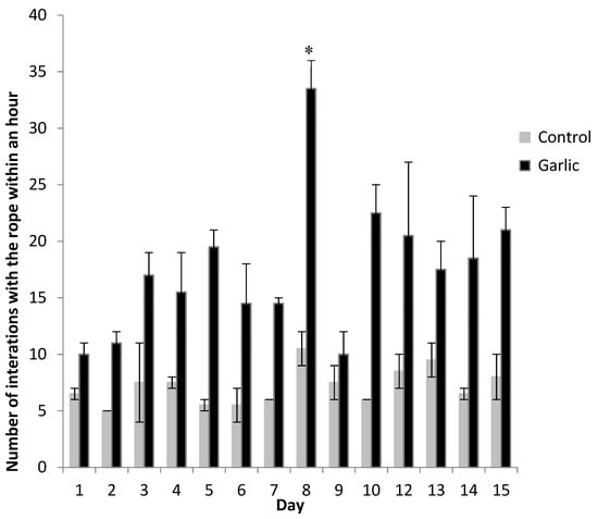
3.2. Rope Interactions
4. Discussion
5. Conclusions
Author Contributions
Funding
Acknowledgments
Conflicts of Interest
References
- Van de Weerd, H.A.; Docking, C.M.; Day, J.E.L.; Avery, P.J.; Edwards, S.A. A systematic approach towards developing environmental enrichment for pigs. Appl. Anim. Behav. Sci. 2003, 84, 101–118. [Google Scholar] [CrossRef]
- Douglas, C.; Bateson, M.; Walsh, C.; Bédué, A.; Edwards, S.A. Environmental enrichment induces optimistic cognitive biases in pigs. Appl. Anim. Behav. Sci. 2012, 139, 65–73. [Google Scholar] [CrossRef]
- Melotti, L.; Oostindjer, M.; Bolhuis, J.E.; Held, S.; Mendl, M. Coping personality type and environmental enrichment affect aggression at weaning in pigs. Appl. Anim. Behav. Sci. 2011, 133, 144–153. [Google Scholar] [CrossRef]
- Feddes, J.J.R.; Fraser, D. Non-nutritive Chewing by Pigs: Implications for Tail-biting and Behavioral Enrichment. Trans. ASAE 1994, 37, 947–950. [Google Scholar] [CrossRef]
- Trickett, S.L.; Guy, J.H.; Edwards, S.A. The role of novelty in environmental enrichment for the weaned pig. Appl. Anim. Behav. Sci. 2009, 116, 45–51. [Google Scholar] [CrossRef]
- Studnitz, M.; Jensen, M.B.; Pedersen, L.J. Why do pigs root and in what will they root?: A review on the exploratory behaviour of pigs in relation to environmental enrichment. Appl. Anim. Behav. Sci. 2007, 107, 183–197. [Google Scholar] [CrossRef]
- Stolba, A.; Wood-Gush, D.G.M. The behaviour of pigs in a semi-natural environment. Anim. Sci. 1989, 48, 419–425. [Google Scholar] [CrossRef]
- Bracke, M.B.M.; Zonderland, J.J.; Lenskens, P.; Schouten, W.G.P.; Vermeer, H.; Spoolder, H.A.M.; Hendriks, H.J.M.; Hopster, H. Formalised review of environmental enrichment for pigs in relation to political decision making. Appl. Anim. Behav. Sci. 2006, 98, 165–182. [Google Scholar] [CrossRef]
- Guy, J.H.; Meads, Z.A.; Shiel, R.S.; Edwards, S.A. The effect of combining different environmental enrichment materials on enrichment use by growing pigs. Appl. Anim. Behav. Sci. 2013, 144, 102–107. [Google Scholar] [CrossRef]
- Zonderland, J.J.; Vermeer, H.M.; Vereijken, P.F.G.; Spoolder, H.A.M. Measuring a Pig’s Preference for Suspended Toys by Using an Automated Recording Technique. Agric. Eng. Int. 2003, 5, 1–11. [Google Scholar]
- Horrell, I.; Ness, P.A. Enrichment satisfying specific behavioural needs in early-weaned pigs. Appl. Anim. Behav. Sci. 1995, 44, 264. [Google Scholar] [CrossRef]
- Dawson, L.L.; Edwards, S.A. The effects of flavored rope additives on commercial pen-based oral fluid yield in pigs. J. Vet. Behav. 2015, 10, 267–271. [Google Scholar] [CrossRef]
- Seddon, Y.M.; Guy, J.H.; Edwards, S.A. Optimising oral fluid collection from groups of pigs: Effect of housing system and provision of ropes. Vet. J. 2012, 193, 180–184. [Google Scholar] [CrossRef] [PubMed]
- Janz, J.A.M.; Morel, P.C.H.; Wilkinson, B.H.P.; Purchas, R.W. Preliminary investigation of the effects of low-level dietary inclusion of fragrant essential oils and oleoresins on pig performance and pork quality. Meat Sci. 2007, 75, 350–355. [Google Scholar] [CrossRef] [PubMed]
- Langendijk, P.; Bolhuis, J.E.; Laurenssen, B.F.A. Effects of pre- and postnatal exposure to garlic and aniseed flavour on pre- and postweaning feed intake in pigs. Livest. Sci. 2007, 108, 284–287. [Google Scholar] [CrossRef]
- Horton, G.M.J.; Blethen, D.B.; Prasad, B.M. The effect of garlic (Allium sativum) on feed palatability of horses and feed consumption, selected performance and blood parameters in sheep and swine. Can. J. Anim. Sci. 1991, 71, 607–610. [Google Scholar] [CrossRef]
- Kristensen, H.H.; Jones, R.B.; Schofield, C.P.; White, R.P.; Wathes, C.M. The use of olfactory and other cues for social recognition by juvenile pigs. Appl. Anim. Behav. Sci. 2001, 72, 321–333. [Google Scholar] [CrossRef]
- Morrow-Tesch, J.; McGlone, J.J. Sensory systems and nipple attachment behavior in neonatal pigs. Physiol. Behav. 1990, 47, 1–4. [Google Scholar] [CrossRef]
- Roura, E.; Fu, M. Taste, nutrient sensing and feed intake in pigs (130 years of research: then, now and future). Anim. Feed Sci. Technol. 2017, 233, 3–12. [Google Scholar] [CrossRef]
- Blackshaw, J.K.; Thomas, F.J.; Lee, J.-A. The effect of a fixed or free toy on the growth rate and aggressive behaviour of weaned pigs and the influence of hierarchy on initial investigation of the toys. Appl. Anim. Behav. Sci. 1997, 53, 203–212. [Google Scholar] [CrossRef]
- Lahrmann, H.P.; Hansen, C.F.; D’Eath, R.B.; Busch, M.E.; Nielsen, J.P.; Forkman, B. Early intervention with enrichment can prevent tail biting outbreaks in weaner pigs. Livest. Sci. 2018, 214, 272–277. [Google Scholar] [CrossRef]
- D’Eath, R.B.; Niemi, J.K.; Vosough Ahmadi, B.; Rutherford, K.M.D.; Ison, S.H.; Turner, S.P.; Anker, H.T.; Jensen, T.; Busch, M.E.; Jensen, K.K.; et al. Why are most EU pigs tail docked? Economic and ethical analysis of four pig housing and management scenarios in the light of EU legislation and animal welfare outcomes. Animal 2015, 10, 687–699. [Google Scholar] [CrossRef]
- Fraser, D.; Matthews, L.R. Preference and Motivation Testing. In Animal Welfare; Appleby, M.C., Hughes, B.O., Eds.; CAB International: New York, NY, USA, 1997; pp. 159–173. [Google Scholar]
- Rushen, J. Using aversion learning techniques to assess the mental state, suffering, and welfare of farm animals. J. Anim. Sci. 1996, 74, 1990–1995. [Google Scholar] [CrossRef] [PubMed]
- Kirkden, R.D.; Pajor, E.A. Using preference, motivation and aversion tests to ask scientific questions about animals’ feelings. Appl. Anim. Behav. Sci. 2006, 100, 29–47. [Google Scholar] [CrossRef]
- Farmer, C.; Christison, G.I. Selection of Perforated Floors by Newborn and Weanling Pigs. Can. J. Anim. Sci. 1982, 62, 1229–1236. [Google Scholar] [CrossRef]



| Behaviour | Description |
|---|---|
| Standing | Pig stood on all four limbs stationary |
| Feeding/drinking | Pig consuming supplied feed from trough/Pig latched on drinker and swallowing water |
| Interacting with others | Pigs actively seeking other pen-mate and chasing, sniffing, belly nosing and other general interactions |
| Enrichment use | Interaction the ropes including sniffing, chewing, thrashing with rope in mouth or walking with rope |
| Exploring environment | Rooting or licking action around parameter of environment |
| Locomotion | Pig walking around the pen with no clear purpose other than to reach a different area/device |
| Aggression (fighting) | Individuals nosing, biting resulting in both parties rearing onto hind limbs and pushing each other until an individual has fallen |
| Tail/ear/flank, biting | Individual seeking out aforementioned appendage and biting |
| Resting/sleeping | Animal lying down with eyes open or closed |
| O.F.S. (out of sight) | Selected individual is not visible |
© 2019 by the authors. Licensee MDPI, Basel, Switzerland. This article is an open access article distributed under the terms and conditions of the Creative Commons Attribution (CC BY) license (http://creativecommons.org/licenses/by/4.0/).
Share and Cite
Blackie, N.; de Sousa, M. The Use of Garlic Oil for Olfactory Enrichment Increases the Use of Ropes in Weaned Pigs. Animals 2019, 9, 148. https://doi.org/10.3390/ani9040148
Blackie N, de Sousa M. The Use of Garlic Oil for Olfactory Enrichment Increases the Use of Ropes in Weaned Pigs. Animals. 2019; 9(4):148. https://doi.org/10.3390/ani9040148
Chicago/Turabian StyleBlackie, Nicola, and Megan de Sousa. 2019. "The Use of Garlic Oil for Olfactory Enrichment Increases the Use of Ropes in Weaned Pigs" Animals 9, no. 4: 148. https://doi.org/10.3390/ani9040148
APA StyleBlackie, N., & de Sousa, M. (2019). The Use of Garlic Oil for Olfactory Enrichment Increases the Use of Ropes in Weaned Pigs. Animals, 9(4), 148. https://doi.org/10.3390/ani9040148

