Physics-Informed Neural Networks for Modeling Postprandial Plasma Amino Acids Kinetics in Pigs
Simple Summary
Abstract
1. Introduction
2. Materials and Methods
2.1. Data Source and Partitioning Strategy
2.2. The Mechanistic Kinetic Model
2.3. Physics-Informed Neural Networks
2.4. Training and Optimization
2.5. In Silico Simulation of Sparse Sampling Strategy
2.6. Baseline Methodology and Performance Evaluation
2.7. Initialization Sensitivity Analysis
3. Results
3.1. Model Verification and Baseline Accuracy on Dense Data
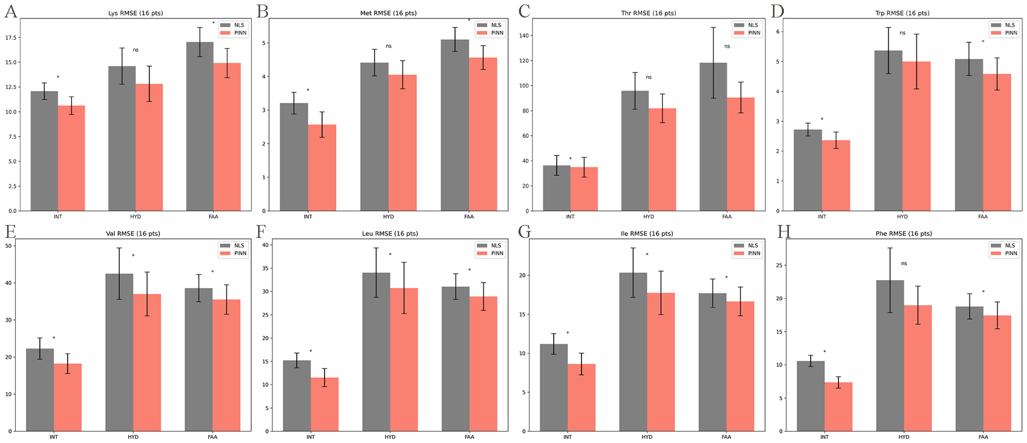
3.2. Robust Trajectory Reconstruction Under Sparse Sampling
3.3. Robustness to Initial Parameter Guesses
4. Discussion
4.1. PINN vs. Pure Data Fitting
4.2. Feasibility Analysis of Sparse Sampling Strategy via Retrospective Validation
4.3. Solving the Inverse Problem
4.4. Limitations and Future Directions
5. Conclusions
Supplementary Materials
Author Contributions
Funding
Institutional Review Board Statement
Informed Consent Statement
Data Availability Statement
Acknowledgments
Conflicts of Interest
Abbreviations
| AA/AAs | Amino Acid(s) |
| NLS | Non-Linear Least Squares |
| PINN/PINNs | Physics-Informed Neural Network(s) |
| ODEs | Ordinary Differential Equations |
| RMSE | Root Mean Square Error |
| INT | Intact Protein |
| HYD | Hydrolyzed Protein |
| FAA | Free Amino Acids |
| EAAs | Essential Amino Acids |
| L-BFGS | Limited-Memory Broyden–Fletcher–Goldfarb–Shanno |
| Lys | Lysine |
| Met | Methionine |
| Thr | Threonine |
| Trp | Tryptophan |
| Val | Valine |
| Leu | Leucine |
| Ile | Isoleucine |
| Phe | Phenylalanine |
| NEAAs | Non-Essential Amino Acids |
References
- Peng, X.; Nie, C.; Guan, W.; Qiao, L.; Lu, L.; Cao, S. Regulation of probiotics on metabolism of dietary protein in intestine. Curr. Protein Pept. Sci. 2020, 21, 766–771. [Google Scholar] [CrossRef] [PubMed]
- van Milgen, J.; Eugenio, F.A.; Le Floc’H, N. A model to analyse the postprandial nutrient concentration in the plasma of pigs. Anim.-Open Space 2022, 1, 100007. [Google Scholar] [CrossRef]
- Eugenio, F.A.; Le-Floc’H, N.; van Milgen, J. Data Related to the Publication: Feeding Pigs Amino Acids as Protein-Bound or in Free Form Influences Postprandial Concentrations of Amino Acids, Metabolites, and Insulin; Recherche Data Gouv: Paris, France, 2023. [Google Scholar]
- Eugenio, F.A.; van Milgen, J.; Duperray, J.; Sergheraert, R.; Le Floc’H, N. Feeding pigs amino acids as protein-bound or in free form influences postprandial concentrations of amino acids, metabolites, and insulin. Animal 2023, 17, 100684. [Google Scholar] [CrossRef] [PubMed]
- Eugenio, F.A.; van Milgen, J.; Duperray, J.; Sergheraert, R.; Le Floc’H, N. Postprandial plasma amino acid and metabolite kinetics of adult and growing pigs fed a diet with a balanced or unbalanced amino acid profile. Animal 2022, 16, 100663. [Google Scholar] [CrossRef] [PubMed]
- Melchior, D.; Sève, B.; Le Floc’H, N. Chronic lung inflammation affects plasma amino acid concentrations in pigs1. J. Anim. Sci. 2004, 82, 1091–1099. [Google Scholar] [CrossRef] [PubMed]
- Dattner, I.; Ship, H.; Voit, E.O. Separable nonlinear least-squares parameter estimation for complex dynamic systems. Complexity 2020, 2020, 6403641. [Google Scholar] [CrossRef] [PubMed]
- Wu, W.; Daneker, M.; Jolley, M.A.; Turner, K.T.; Lu, L. Effective data sampling strategies and boundary condition con-straints of physics-informed neural networks for identifying material properties in solid mechanics. Appl. Math. Mech. 2023, 44, 1039–1068. [Google Scholar] [CrossRef] [PubMed]






Disclaimer/Publisher’s Note: The statements, opinions and data contained in all publications are solely those of the individual author(s) and contributor(s) and not of MDPI and/or the editor(s). MDPI and/or the editor(s) disclaim responsibility for any injury to people or property resulting from any ideas, methods, instructions or products referred to in the content. |
© 2026 by the authors. Licensee MDPI, Basel, Switzerland. This article is an open access article distributed under the terms and conditions of the Creative Commons Attribution (CC BY) license.
Share and Cite
Li, Z.; Wen, J.; Ren, Z.; Sun, Z.; Xu, Y.; Sun, W.; Pang, J.; Tang, Z. Physics-Informed Neural Networks for Modeling Postprandial Plasma Amino Acids Kinetics in Pigs. Animals 2026, 16, 634. https://doi.org/10.3390/ani16040634
Li Z, Wen J, Ren Z, Sun Z, Xu Y, Sun W, Pang J, Tang Z. Physics-Informed Neural Networks for Modeling Postprandial Plasma Amino Acids Kinetics in Pigs. Animals. 2026; 16(4):634. https://doi.org/10.3390/ani16040634
Chicago/Turabian StyleLi, Zhangcheng, Jincheng Wen, Zixiang Ren, Zhihong Sun, Yetong Xu, Weizhong Sun, Jiaman Pang, and Zhiru Tang. 2026. "Physics-Informed Neural Networks for Modeling Postprandial Plasma Amino Acids Kinetics in Pigs" Animals 16, no. 4: 634. https://doi.org/10.3390/ani16040634
APA StyleLi, Z., Wen, J., Ren, Z., Sun, Z., Xu, Y., Sun, W., Pang, J., & Tang, Z. (2026). Physics-Informed Neural Networks for Modeling Postprandial Plasma Amino Acids Kinetics in Pigs. Animals, 16(4), 634. https://doi.org/10.3390/ani16040634

