Effect of Supplementing Milk Replacer with Boswellia serrata Resin on Growth Performance, Serum Biochemical Profile, and Meat Quality of Suckling Lambs
Simple Summary
Abstract
1. Introduction
2. Materials and Methods
2.1. Ethical Approval, Animals, and Experimental Design
2.2. Growth Performance Metrics
2.3. Blood Sample and Serum Biochemical Analysis
2.4. Meat Quality Assessment
2.5. Statistical Analysis
3. Results
3.1. Growth Performance
3.2. Serum Biochemical Parameters
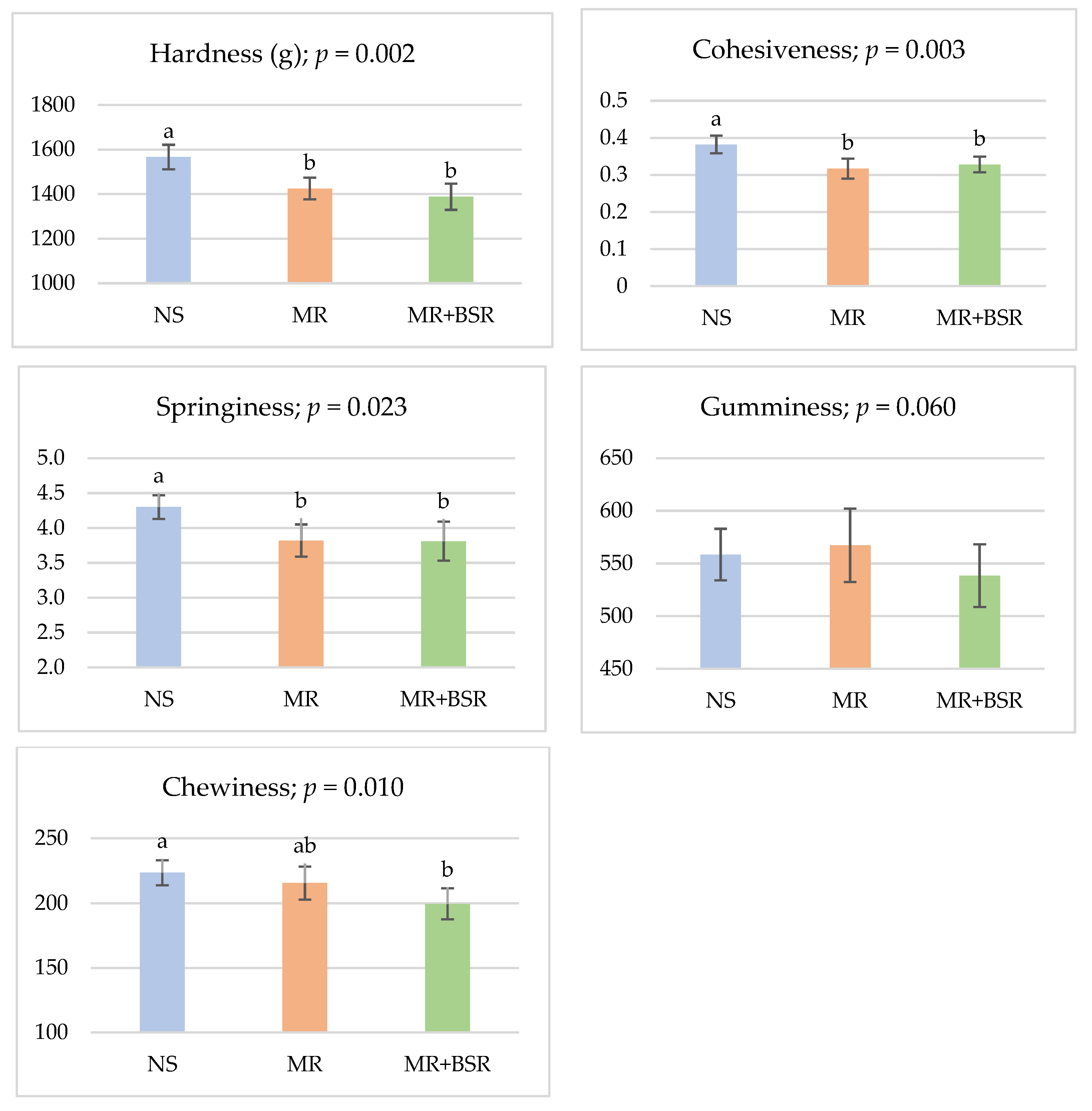
3.3. Meat Quality Characteristics
4. Discussion
4.1. Growth Performance
4.2. Serum Biochemical Parameters
4.3. Meat Quality Characteristics
5. Conclusions
Author Contributions
Funding
Institutional Review Board Statement
Informed Consent Statement
Data Availability Statement
Conflicts of Interest
Abbreviations
| ADG | Average Daily Gain |
| Alb | Albumin |
| ALT | Alanine Aminotransferase |
| AST | Aspartate Aminotransferase |
| BSR | Boswellia serrata Resin |
| BW | Body Weight |
| BUN | Blood Urea Nitrogen |
| Ca | Calcium |
| CF | Crude Fiber |
| CK | Creatine Kinase |
| CP | Crude Protein |
| Cr | Creatinine |
| DM | Dry Matter |
| DMI | Dry Matter Intake |
| EE | Ether Extract |
| FBW | Final Body Weight |
| FCR | Feed Conversion Ratio |
| GLOB | Globulin |
| Glu | Glucose |
| IBW | Initial Body Weight |
| LD | Longissimus dorsi |
| MR | Milk Replacer |
| NEFA | Non-Esterified Fatty Acids |
| NS | Natural Suckling |
| TBIL | Total Bilirubin |
| TP | Total Protein |
| TPA | Texture Profile Analysis |
| TWG | Total Weight Gain |
| WHC | Water-Holding Capacity |
References
- Bienboire-Frosini, C.; Muns, R.; Marcet-Rius, M.; Gazzano, A.; Villanueva-García, D.; Martínez-Burnes, J.; Domínguez-Oliva, A.; Lezama-García, K.; Casas-Alvarado, A.; Mota-Rojas, D. Vitality in Newborn Farm Animals: Adverse Factors, Physiological Responses, Pharmacological Therapies, and Physical Methods to Increase Neonate Vigor. Animals 2023, 13, 1542. [Google Scholar] [CrossRef]
- Johnson, G.A.; Bazer, F.W.; Seo, H.; Burghardt, R.C.; Wu, G.; Pohler, K.G.; Cain, J.W. Understanding Placentation in Ruminants: A Review Focusing on Cows and Sheep. Reprod. Fertil. Dev. 2023, 36, 93–111. [Google Scholar] [CrossRef]
- Barcellos, J.O.J.; Zago, D.; Fagundes, H.X.; Pereira, G.R.; Sartori, E.D. Foetal Programming in Sheep: Reproductive and Productive Implications. Anim. Reprod. Sci. 2024, 265, 107494. [Google Scholar] [CrossRef]
- Abdelsattar, M.M.; Zhao, W.; Saleem, A.M.; Kholif, A.E.; Vargas-Bello-Pérez, E.; Zhang, N. Physical, Metabolic, and Microbial Rumen Development in Goat Kids: A Review on the Challenges and Strategies of Early Weaning. Animals 2023, 13, 2420. [Google Scholar] [CrossRef] [PubMed]
- Dunière, L.; Ruiz, P.; Lebbaoui, Y.; Guillot, L.; Bernard, M.; Forano, E.; Chaucheyras-Durand, F. Effects of Rearing Mode on Gastro-Intestinal Microbiota and Development, Immunocompetence, Sanitary Status and Growth Performance of Lambs from Birth to Two Months of Age. Anim. Microbiome 2023, 5, 34. [Google Scholar] [CrossRef] [PubMed]
- Hernández-Castellano, L.E.; Morales-delaNuez, A.; Sánchez-Macías, D.; Moreno-Indias, I.; Torres, A.; Capote, J.; Argüello, A.; Castro, N. The Effect of Colostrum Source (Goat vs. Sheep) and Timing of the First Colostrum Feeding (2 h vs. 14 h after Birth) on Body Weight and Immune Status of Artificially Reared Newborn Lambs. J. Dairy Sci. 2015, 98, 204–210. [Google Scholar] [CrossRef] [PubMed]
- Ghavipanje, N.; Fathi Nasri, M.H.; Vargas-Bello-Pérez, E. An Insight into the Potential of Berberine in Animal Nutrition: Current Knowledge and Future Perspectives. J. Anim. Physiol. Anim. Nutr. 2023, 107, 808–829. [Google Scholar] [CrossRef]
- Muñoz-Cuautle, A.; Ortega-Cerrilla, M.E.; Herrera-Haro, J.G.; Nava-Cuellar, C.; Gutiérrez-Olvera, C.; Ramírez-Bribiesca, J.E.; Zetina-Córdoba, P. Effect of Oregano (Lippia graveolens) Essential Oil as a Phytogenic Feed Additive on Productive Performance, Ruminal Fermentation, and Antioxidant Activity in Lamb Meat. Agriculture 2022, 12, 973. [Google Scholar] [CrossRef]
- Kholif, A.E.; Olafadehan, O.A.; Kholif, A.M.M.; Ghavipanje, N.; Vargas-Bello-Pérez, E.; Anele, U.Y. The Role of Encapsulated Essential Oils in Reducing Methane Production from Ruminant Animals—A Review. Ann. Anim. Sci. 2026; in press. [Google Scholar] [CrossRef]
- Kholif, A.E.; Olafadehan, O.A. Essential Oils and Phytogenic Feed Additives in Ruminant Diet: Chemistry, Ruminal Microbiota and Fermentation, Feed Utilization and Productive Performance. Phytochem. Rev. 2021, 20, 1087–1108. [Google Scholar] [CrossRef]
- da Silva, N.I.S.; de Oliveira Lima, P.; Souza, F.J.C.; Pereira, M.W.F.; Moreira, R.H.R.; Firmino, S.S.; de Araujo, T.L.A.C.; de Lima Junior, D.M. Phytogenic Additives Increase the Performance and Improve the Tenderness of Lamb Meat: A Meta-Analytical and Systematic Review Approach. Semin. Cienc. Agrar. 2025, 46, 231–254. [Google Scholar] [CrossRef]
- Almeida-da-Silva, C.L.C.; Sivakumar, N.; Asadi, H.; Chang-Chien, A.; Qoronfleh, M.W.; Ojcius, D.M.; Essa, M.M. Effects of Frankincense Compounds on Infection, Inflammation, and Oral Health. Molecules 2022, 27, 4174. [Google Scholar] [CrossRef]
- Khajehdehi, M.; Khalaj-Kondori, M.; Baradaran, B. Molecular Evidences on Anti-inflammatory, Anticancer, and Memory-boosting Effects of Frankincense. Phytother. Res. 2022, 36, 1194–1215. [Google Scholar] [CrossRef]
- Miran, M.; Amirshahrokhi, K.; Ajanii, Y.; Zadali, R.; Rutter, M.W.; Enayati, A.; Movahedzadeh, F. Taxonomical Investigation, Chemical Composition, Traditional Use in Medicine, and Pharmacological Activities of Boswellia sacra Flueck. Evid.-Based Complement. Altern. Med. 2022, 2022, 8779676. [Google Scholar] [CrossRef]
- Amer, S.A.; Gouda, A.; Saleh, G.K.; Nassar, A.H.; Abdel-Warith, A.-W.A.; Younis, E.M.; Altohamy, D.E.; Kilany, M.S.; Davies, S.J.; Omar, A.E. Dietary Frankincense (Boswellia serrata) Oil Modulates the Growth, Intestinal Morphology, the Fatty Acid Composition of Breast Muscle, Immune Status, and Immunoexpression of CD3 and CD20 in Broiler Chickens. Animals 2023, 13, 971. [Google Scholar] [CrossRef]
- Ismail, I.E.; Abdelnour, S.A.; Shehata, S.A.; Abd El-Hack, M.E.; El-Edel, M.A.; Taha, A.E.; Schiavitto, M.; Tufarelli, V. Effect of Dietary Boswellia serrata Resin on Growth Performance, Blood Biochemistry, and Cecal Microbiota of Growing Rabbits. Front. Vet. Sci. 2019, 6, 471. [Google Scholar] [CrossRef]
- Soltan, Y.A.; Morsy, A.S.; Hashem, N.M.; Sallam, S.M.A. Boswellia sacra Resin as a Phytogenic Feed Supplement to Enhance Ruminal Fermentation, Milk Yield, and Metabolic Energy Status of Early Lactating Goats. Anim. Feed Sci. Technol. 2021, 277, 114963. [Google Scholar] [CrossRef]
- Hashem, N.M.; Morsy, A.S.; Soltan, Y.A.; Sallam, S.M.A. Potential Benefits of Boswellia sacra Resin on Immunity, Metabolic Status, Udder and Uterus Health, and Milk Production in Transitioning Goats. Agriculture 2021, 11, 900. [Google Scholar] [CrossRef]
- du Sert, N.P.; Hurst, V.; Ahluwalia, A.; Alam, S.; Avey, M.T.; Baker, M.; Browne, W.J.; Clark, A.; Cuthill, I.C.; Dirnagl, U.; et al. The Arrive Guidelines 2.0: Updated Guidelines for Reporting Animal Research. PLoS Biol. 2020, 18, e3000410. [Google Scholar] [CrossRef]
- Yang, F.; Cho, W.-Y.; Seo, H.G.; Jeon, B.-T.; Kim, J.-H.; Kim, Y.H.B.; Wang, Y.; Lee, C.-H. Effect of L-Cysteine, Boswellia serrata, and Whey Protein on the Antioxidant and Physicochemical Properties of Pork Patties. Foods 2020, 9, 993. [Google Scholar] [CrossRef] [PubMed]
- Dorantes-Iturbide, G.; Orzuna-Orzuna, J.F.; Lara-Bueno, A.; Miranda-Romero, L.A.; Mendoza-Martínez, G.D.; Hernández-García, P.A. Effects of a Polyherbal Dietary Additive on Performance, Dietary Energetics, Carcass Traits, and Blood Metabolites of Finishing Lambs. Metabolites 2022, 12, 413. [Google Scholar] [CrossRef] [PubMed]
- de Huidobro, F.R.; Miguel, E.; Blázquez, B.; Onega, E. A Comparison between Two Methods (Warner–Bratzler and Texture Profile Analysis) for Testing Either Raw Meat or Cooked Meat. Meat Sci. 2005, 69, 527–536. [Google Scholar] [CrossRef]
- CIE. Colorimetry, 2nd ed.; Commission Internationale de l’Eclairage: Vienna, Austria, 1986. [Google Scholar]
- Hossain, M.A.; Rahman, M.M.; Rahman, M.W.; Hossain, M.M.; Hashem, M.A. Effect of Supplementary Feeding on the Production Traits, Carcass and Meat Quality of Jamuna Basin Lambs. J. Anim. Sci. Technol. 2023, 65, 209–224. [Google Scholar] [CrossRef] [PubMed]
- Olvera-Aguirre, G.; Mendoza-Taco, M.M.; Arcos-Álvarez, D.N.; Piñeiro-Vázquez, A.T.; Moo-Huchin, V.M.; Canul-Solís, J.R.; Castillo-Sánchez, L.; Ramírez-Bautista, M.A.; Vargas-Bello-Pérez, E.; Chay-Canul, A.J. Effect of Feeding Lactating Ewes with Moringa oleifera Leaf Extract on Milk Yield, Milk Composition and Preweaning Performance of Ewe/Lamb Pair. Animals 2020, 10, 1117. [Google Scholar] [CrossRef]
- Halawa, W.; Al-Atiyat, R.M.; Omar, J.A.; Rashaydeh, F.S.; Ullah, F.; Shakirullah, S.; Yildiz, B.I. Effect of Natural and Artificial Sucking on Performance and Mortality of Newborn Assaf Lambs. Pak. J. Zool. 2024, 56, 801–807. [Google Scholar] [CrossRef]
- Babiker, E.E.; AL Juhaimi, F.; Ghafoor, K.; Mohamed, H.E.; Abdoun, K.A. Effect of Partial Replacement of Alfalfa Hay with Moringa Species Leaves on Milk Yield and Composition of Najdi Ewes. Trop. Anim. Health Prod. 2016, 48, 1427–1433. [Google Scholar] [CrossRef]
- Cordero-Mora, J.L.; Ayala-Monter, M.A.; Mendoza-Martínez, G.D.; Martínez-Aispuro, J.A.; Hernández-García, P.A.; Martínez-Cruz, I. Evaluation of an Herbal Feed Supplement (Animunin Powder®) in Nursing Lambs for Growth and Health. Agrociencia 2023, 57, 1126–1145. [Google Scholar] [CrossRef]
- Maggiolino, A.; Bragaglio, A.; Salzano, A.; Rufrano, D.; Claps, S.; Sepe, L.; Damiano, S.; Ciarcia, R.; Dinardo, F.R.; Hopkins, D.L.; et al. Dietary Supplementation of Suckling Lambs with Anthocyanins: Effects on Growth, Carcass, Oxidative and Meat Quality Traits. Anim. Feed Sci. Technol. 2021, 276, 114925. [Google Scholar] [CrossRef]
- Ünlü, H.B.; İpçak, H.H.; Kandemir, Ç.; Özdoğan, M.; Canbolat, Ö. Canbolat Effects of Oregano Essential Oil and Capsicum Extract on Fattening, Serum Constituents, and Rumen Fermentation of Lambs. S. Afr. J. Anim. Sci. 2021, 51, 172–179. [Google Scholar] [CrossRef]
- Giller, K.; Sinz, S.; Messadene-Chelali, J.; Marquardt, S. Maternal and Direct Dietary Polyphenol Supplementation Affect Growth, Carcass and Meat Quality of Sheep and Goats. Animal 2021, 15, 100333. [Google Scholar] [CrossRef]
- Mahdian, D.; Abbaszadeh-Goudarzi, K.; Raoofi, A.; Dadashizadeh, G.; Abroudi, M.; Zarepour, E.; Hosseinzadeh, H. Effect of Boswellia Species on the Metabolic Syndrome: A Review. Iran. J. Basic Med. Sci. 2020, 23, 1374–1381. [Google Scholar] [PubMed]
- Gökçe, E.; Atakişi, O. Kuzularda Serum ve Kolostral IgG (Pasif İmmünite) Konsantrasyonlarının Total Protein ve Sağlık İle İlişkisi. Kafkas Univ. Vet. Fak. Derg. 2018, 25, 387–396. [Google Scholar] [CrossRef]
- Belanche, A.; Cooke, J.; Jones, E.; Worgan, H.J.; Newbold, C.J. Short- and Long-Term Effects of Conventional and Artificial Rearing Strategies on the Health and Performance of Growing Lambs. Animal 2019, 13, 740–749. [Google Scholar] [CrossRef]
- Cui, N.; Li, M.-J.; Wang, Y.-W.; Meng, Q.; Shi, Y.-J.; Ding, Y. Boswellic Acids: A Review on Its Pharmacological Properties, Molecular Mechanism and Bioavailability. Tradit. Med. Res. 2024, 9, 60. [Google Scholar] [CrossRef]
- Khan, F.; Rashan, L. Phytochemical Analysis and Pharmaceutical Applications of Monoterpenoids Present in the Essential Oil of Boswellia sacra (Omani luban). Adv. Pharmacol. Pharm. Sci. 2025, 2025, 3536898. [Google Scholar] [CrossRef]
- Yu, L.; Yan, J.; Sun, Z. D-Limonene Exhibits Anti-Inflammatory and Antioxidant Properties in an Ulcerative Colitis Rat Model via Regulation of INOS, COX-2, PGE2 and ERK Signaling Pathways. Mol. Med. Rep. 2017, 15, 2339–2346. [Google Scholar] [CrossRef]
- Yeo, S.K.; Ali, A.Y.; Hayward, O.A.; Turnham, D.; Jackson, T.; Bowen, I.D.; Clarkson, R. Β-Bisabolene, a Sesquiterpene from the Essential Oil Extract of Opoponax (Commiphora guidottii), Exhibits Cytotoxicity in Breast Cancer Cell Lines. Phytother. Res. 2016, 30, 418–425. [Google Scholar] [CrossRef]
- Melo, C.M.; Morais, T.C.; Tomé, A.R.; Brito, G.A.C.; Chaves, M.H.; Rao, V.S.; Santos, F.A. Anti-Inflammatory Effect of α,β-Amyrin, a Triterpene from Protium Heptaphyllum, on Cerulein-Induced Acute Pancreatitis in Mice. Inflamm. Res. 2011, 60, 673–681. [Google Scholar] [CrossRef] [PubMed]
- Álvarez-Rodríguez, J.; Urrutia, O.; Lobón, S.; Ripoll, G.; Bertolín, J.R.; Joy, M. Insights into the Role of Major Bioactive Dietary Nutrients in Lamb Meat Quality: A Review. J. Anim. Sci. Biotechnol. 2022, 13, 20. [Google Scholar] [CrossRef] [PubMed]
- Orzuna-Orzuna, J.F.; Dorantes-Iturbide, G.; Lara-Bueno, A.; Mendoza-Martínez, G.D.; Miranda-Romero, L.A.; Hernández-García, P.A. Growth Performance, Carcass Characteristics, and Blood Metabolites of Lambs Supplemented with a Polyherbal Mixture. Animals 2021, 11, 955. [Google Scholar] [CrossRef] [PubMed]
- Al-Yasiry, A.R.M.; Kiczorowska, B.; Samolińska, W. Effect of Boswellia serrata Resin Supplementation on Basic Chemical and Mineral Element Composition in the Muscles and Liver of Broiler Chickens. Biol. Trace Elem. Res. 2017, 179, 294–303. [Google Scholar] [CrossRef] [PubMed]
- Kiczorowska, B.; Samolińska, W.; Al-Yasiry, A.; Zając, M. Immunomodulant Feed Supplement Boswellia serrata to Support Broiler Chickens’ Health and Dietary and Technological Meat Quality. Poult. Sci. 2020, 99, 1052–1061. [Google Scholar] [CrossRef] [PubMed]
- Onopiuk, A.; Półtorak, A.; Wierzbicka, A. The Impact of Muscle and Aging Time on Meat Tenderness in the Carcasses of Limousin × Holstein-Friesian Crossbred Bulls. J. Food Process. Preserv. 2018, 42, e13619. [Google Scholar] [CrossRef]
- Zhao, L.; Xing, T.; Huang, J.; Qiao, Y.; Chen, Y.; Huang, M. Involvement of μ/M-calpain in the Proteolysis and Meat Quality Changes during Postmortem Storage of Chicken Breast Muscle. Anim. Sci. J. 2018, 89, 423–431. [Google Scholar] [CrossRef] [PubMed]
- Tocai, A.C.; Rosan, C.A.; Teodorescu, A.G.; Venter, A.C.; Vicas, S.I. Multifunctional Roles of Medicinal Plants in the Meat Industry: Antioxidant, Antimicrobial, and Color Preservation Perspectives. Plants 2025, 14, 2737. [Google Scholar] [CrossRef]
- Devine, C.E.; Graafhuis, A.E.; Muir, P.D.; Chrystall, B.B. The Effect of Growth Rate and Ultimate PH on Meat Quality of Lambs. Meat Sci. 1993, 35, 63–77. [Google Scholar] [CrossRef] [PubMed]
- Lanza, M.; Bella, M.; Priolo, A.; Barbagallo, D.; Galofaro, V.; Landi, C.; Pennisi, P. Lamb Meat Quality as Affected by a Natural or Artificial Milk Feeding Regime. Meat Sci. 2006, 73, 313–318. [Google Scholar] [CrossRef]
- Terlouw, E.M.C.; Picard, B.; Deiss, V.; Berri, C.; Hocquette, J.-F.; Lebret, B.; Lefèvre, F.; Hamill, R.; Gagaoua, M. Understanding the Determination of Meat Quality Using Biochemical Characteristics of the Muscle: Stress at Slaughter and Other Missing Keys. Foods 2021, 10, 84. [Google Scholar] [CrossRef]
- Faustman, C.; Sun, Q.; Mancini, R.; Suman, S.P. Myoglobin and Lipid Oxidation Interactions: Mechanistic Bases and Control. Meat Sci. 2010, 86, 86–94. [Google Scholar] [CrossRef]



| Chemical Analysis | Percentage (%) |
|---|---|
| Total Protein | 18.0 |
| Rumen Degradable Protein | 11.1 |
| Ash | 6.6 |
| RUP (Rumen Undegradable Protein) | 6.2 |
| Fiber | 5.6 |
| Fat | 3.0 |
| Calcium | 0.95 |
| Phosphorus | 0.487 |
| Parameter 2 | Treatments 3 | p-Value | ||
|---|---|---|---|---|
| NS | MR | MR+BSR | ||
| IBW, kg | 5.62 ± 0.49 | 5.40 ± 0.79 | 5.53 ± 1.05 | 0.881 |
| Day 10 | 7.30 ± 0.67 | 8.50 ± 0.97 | 7.90 ± 1.45 | 0.312 |
| Day 20 | 9.23 ± 0.76 b | 11.23 ± 1.47 a | 10.45 ± 1.56 ab | 0.043 |
| Day 30 | 11.52 ± 1.42 b | 14.29 ± 2.11 a | 13.60 ± 1.76 a | 0.031 |
| Day 40 | 14.35 ± 1.27 b | 17.81 ± 2.87 a | 16.89 ± 2.04 a | 0.047 |
| FBW, kg | 20.58 ± 1.69 b | 25.64 ± 3.76 a | 26.78 ± 3.52 a | 0.003 |
| TWG, kg | 14.96 ± 1.55 b | 20.24 ± 3.11 a | 21.25 ± 3.20 a | 0.002 |
| ADG, g/d | 249.3 ± 25.8 b | 337.3 ± 51.8 a | 354.2 ± 53.3 a | 0.002 |
| Parameter 2 | Treatments 3 | p-Value | ||
|---|---|---|---|---|
| NS | MR | MR+BSR | ||
| TP, g/dL | 50.26 ± 1.22 b | 50.17 ± 1.15 b | 72.00 ± 1.85 a | <0.001 |
| ALB, g/dL | 26.91 ± 0.88 b | 28.01 ± 0.95 b | 35.25 ± 1.05 a | <0.001 |
| GLOB, g/dL | 23.56 ± 0.75 b | 22.91 ± 0.68 b | 40.50 ± 1.12 a | <0.001 |
| AST, U/L | 89.37 ± 2.45 b | 89.87 ± 2.91 a | 87.50 ± 2.66 b | <0.001 |
| ALT, U/L | 27.12 ± 0.98 a | 27.25 ± 1.03 a | 25.62 ± 0.85 b | <0.001 |
| BUN, mg/dL | 2.66 ± 0.11 b | 2.68 ± 0.14 b | 2.56 ± 0.09 a | 0.021 |
| Cr, µmol/L | 41.55 ± 1.35 | 42.23 ± 1.48 | 40.60 ± 1.29 | 0.158 |
| Glu, mg/dL | 4.10 ± 0.15 b | 4.18 ± 0.17 b | 4.41 ± 0.19 a | 0.039 |
| CK, U/L | 80.00 ± 2.51 a | 78.87 ± 2.84 b | 77.50 ± 2.11 b | 0.001 |
| Ca, mmol/L | 2.58 ± 0.08 b | 2.56 ± 0.07 b | 2.79 ± 0.09 a | <0.001 |
| Parameter | Treatments 2 | p-Value | ||
|---|---|---|---|---|
| NS | MR | MR+BSR | ||
| pH | 5.65 ± 0.09 b | 5.85 ± 0.12 a | 5.70 ± 0.10 b | 0.032 |
| Lightness (L*) | 54.86 ± 0.55 | 54.97 ± 0.61 | 55.14 ± 0.25 | 0.819 |
| Redness (a*) | 22.93 ± 0.65 b | 23.04 ± 0.70 b | 23.40 ± 0.45 a | 0.041 |
| Yellowness (b*) | 17.61 ± 0.29 | 17.48 ± 0.26 | 17.28 ± 0.24 | 0.472 |
Disclaimer/Publisher’s Note: The statements, opinions and data contained in all publications are solely those of the individual author(s) and contributor(s) and not of MDPI and/or the editor(s). MDPI and/or the editor(s) disclaim responsibility for any injury to people or property resulting from any ideas, methods, instructions or products referred to in the content. |
© 2026 by the authors. Licensee MDPI, Basel, Switzerland. This article is an open access article distributed under the terms and conditions of the Creative Commons Attribution (CC BY) license.
Share and Cite
Abu Aziz, B.; Zoabi, H.; Ghzayal, S.; Ghavipanje, N.; Kholif, A.E.; Lopez, S.; Ammar, H. Effect of Supplementing Milk Replacer with Boswellia serrata Resin on Growth Performance, Serum Biochemical Profile, and Meat Quality of Suckling Lambs. Animals 2026, 16, 626. https://doi.org/10.3390/ani16040626
Abu Aziz B, Zoabi H, Ghzayal S, Ghavipanje N, Kholif AE, Lopez S, Ammar H. Effect of Supplementing Milk Replacer with Boswellia serrata Resin on Growth Performance, Serum Biochemical Profile, and Meat Quality of Suckling Lambs. Animals. 2026; 16(4):626. https://doi.org/10.3390/ani16040626
Chicago/Turabian StyleAbu Aziz, Bassam, Halima Zoabi, Soha Ghzayal, Navid Ghavipanje, Ahmed Eid Kholif, Secundino Lopez, and Hajer Ammar. 2026. "Effect of Supplementing Milk Replacer with Boswellia serrata Resin on Growth Performance, Serum Biochemical Profile, and Meat Quality of Suckling Lambs" Animals 16, no. 4: 626. https://doi.org/10.3390/ani16040626
APA StyleAbu Aziz, B., Zoabi, H., Ghzayal, S., Ghavipanje, N., Kholif, A. E., Lopez, S., & Ammar, H. (2026). Effect of Supplementing Milk Replacer with Boswellia serrata Resin on Growth Performance, Serum Biochemical Profile, and Meat Quality of Suckling Lambs. Animals, 16(4), 626. https://doi.org/10.3390/ani16040626

