Influence of Body Weight at the End of the Brooding Period on the Productive Performance in Hyline Brown Laying Hens from 6 to 72 Weeks of Age
Simple Summary
Abstract
1. Introduction
2. Materials and Methods
2.1. Study Design, Diets, and Husbandry
2.2. Sample Acquisition Plus Analytical Determination
2.3. Statistical Analysis
3. Results
3.1. BW and Uniformity
3.2. Growth Performance
3.3. Body Measurement
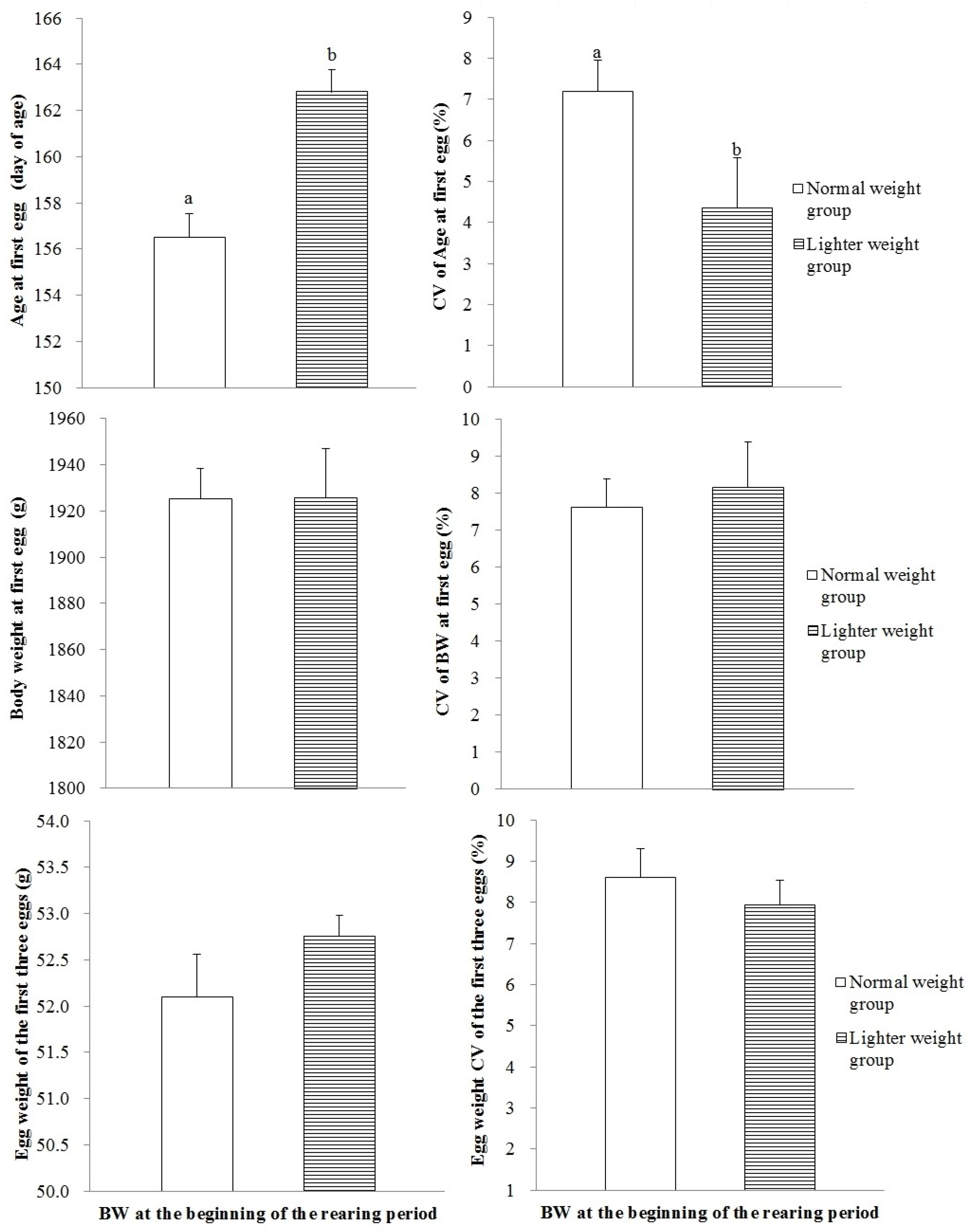
3.4. Sexual Maturity
3.5. Productive Performance
3.6. EW and Egg Quality
4. Discussion
5. Conclusions
Author Contributions
Funding
Institutional Review Board Statement
Informed Consent Statement
Data Availability Statement
Acknowledgments
Conflicts of Interest
References
- Lu, J.; Jiang, D.C.; Ma, M.; Wang, Q.; Guo, J.; Wang, X.G.; Dou, T.C.; Li, Y.F.; Hu, Y.P.; Wang, K.H.; et al. Effects of manganese glycine on eggshell quality, eggshell ultrastructure, and elemental deposition in aged laying hens. Animal 2024, 18, 101126. [Google Scholar] [CrossRef] [PubMed]
- Bestman, M.; Ruis, M.A.W.; Heijmans, J.; Middelkoop, K.V. Poultry Signals: A Practical Guide for Bird Focused Poultry Farming; Roodbont Publishers B.V.: Zutphen, The Netherlands, 2012. [Google Scholar]
- Lacin, E.; Yildiz, A.; Esenbuga, N.; Macit, M. Effects of differences in the initial body weight of groups on laying performance and egg quality parameters of Lohmann laying hens. Czech J. Anim. Sci. 2008, 53, 466–471. [Google Scholar] [CrossRef]
- Pérez-Bonilla, A.; Novoa, S.; García, J.; Mohiti-Asli, M.; Frikha, M.; Mateos, G.G. Effects of energy concentration of the diet on productive performance and egg quality of brown egg-laying hens differing in initial body weight. Poult. Sci. 2012, 91, 3156–3166. [Google Scholar] [CrossRef]
- Muir, W.I.; Akter, Y.; Bruerton, K.; Groves, P.J. The influence of hen size and diet nutrient density in early lay on hen performance, egg quality, and hen health in late lay. Poult. Sci. 2022, 101, 102041. [Google Scholar] [CrossRef] [PubMed]
- Muir, W.I.; Akter, Y.; Bruerton, K.; Groves, P.J. The role of hen body weight and diet nutrient density in an extended laying cycle. Poult. Sci. 2023, 102, 102338. [Google Scholar] [CrossRef]
- Lu, J.; Li, Y.F.; Qu, L.; Ma, M.; Yang, X.D.; Shen, M.M.; Wang, X.G.; Guo, J.; Hu, Y.P.; Dou, T.C.; et al. Effects of energy-restricted feeding during rearing on sexual maturation and reproductive performance of Rugao layer breeders. Poult. Sci. 2021, 100, 101225. [Google Scholar] [CrossRef]
- Lu, J.; Wang, Q.; Wang, K.H.; Ma, M.; Wang, X.G.; Guo, J.; Dou, T.C.; Hu, Y.P.; Li, Y.F.; Yang, Z.; et al. Effects of energy restriction during growing phase on the productive performance of Hyline Brown laying hens aged 6 to 72 wk. Poult. Sci. 2023, 102, 102942. [Google Scholar] [CrossRef]
- Wang, X.J.; Wang, P.; Zhao, J.P.; Zhao, H.C.; Lin, H. The temporal gene expression profiles of calcium and phosphorus transporters in Hy-Line Brown layers. Poult. Sci. 2022, 101, 101736. [Google Scholar] [CrossRef] [PubMed]
- Zhao, X.Y.; Zhang, Y.; He, W.; Wei, Y.H.; Han, S.S.; Xia, L.; Tan, B.; Yu, J.; Kang, H.Y.; Ma, M.G.; et al. Effects of small peptide supplementation on growth performance, intestinal barrier of laying hens during the brooding and growing periods. Front. Immunol. 2022, 13, 925256. [Google Scholar] [CrossRef]
- Sklan, D.; Heifetz, S.; Halevy, O. Heavier chicks at hatch improves marketing body weight by enhancing skeletal muscle growth. Poult. Sci. 2003, 82, 1778–1786. [Google Scholar] [CrossRef]
- Tona, K.; Onagbesan, O.; De Ketelaere, B.; Decuypere, E.; Bruggeman, V. Effects of age of broiler breeders and egg storage on egg quality, hatchability, chick quality, chick weight, and chick posthatch growth to forty-two days. J. Appl. Poult. Res. 2004, 13, 10–18. [Google Scholar] [CrossRef]
- NRC. Nutrient Requirements of Poultry, 9th ed.; National Academy Press: Washington, DC, USA, 1994. [Google Scholar]
- Guzmán, P.; Saldaña, B.; Bouali, O.; Cámara, L.; Mateos, G.G. Effect of level of fiber of the rearing phase diets on egg production, digestive tract traits, and body measurements of brown egg-laying hens fed diets differing in energy concentration. Poult. Sci. 2016, 95, 1836–1847. [Google Scholar] [CrossRef] [PubMed]
- Yang, N.; Wu, C.; Mcmillan, I. New mathematical model of poultry egg production. Poult. Sci. 1989, 68, 476–481. [Google Scholar] [CrossRef]
- Lu, J.; Qu, L.; Ma, M.; Li, Y.F.; Wang, X.G.; Yang, Z.; Wang, K.H. Efficacy evaluation of selenium-enriched yeast in laying hens: Effects on performance, egg quality, organ development, and selenium deposition. Poult. Sci. 2020, 99, 6267–6277. [Google Scholar] [CrossRef]
- AOAC International. Official Methods of Analysis, 18th ed.; AOAC International: Washington, DC, USA, 2005. [Google Scholar]
- Li, L.; Zhang, X.Y.; Zhao, L.H.; Zhang, J.Y.; Ji, C. Phosphorus restriction in brooding stage has continuous effects on growth performance and early laying performance of layers. Animals 2021, 11, 3546. [Google Scholar] [CrossRef]
- García, J.; Mandalawi, H.A.; Fondevila, G.; Mateos, G.G. Influence of beak trimming and inclusion of sodium butyrate in the diet on growth performance and digestive tract traits of brown-egg pullets differing in initial body weight. Poult. Sci. 2019, 98, 3937–3949. [Google Scholar] [CrossRef]
- Jahja, A.; Bessei, W.; Grashorn, M.A.; Stuhec, I. Effect of physical activity of laying hens on bone condition. Arch. Geflügelkunde 2013, 77, 171–178. [Google Scholar] [CrossRef]
- Kerschnitzki, M.; Zander, T.; Zaslansky, P.; Fratzl, P. Rapid alterations of avian medullary bone material during the daily egglaying cycle. Bone 2014, 69, 109–117. [Google Scholar] [CrossRef]
- Siswantoro, D.; Hertamawati, R.T.; Rahmasari, R. Rahmasari. Dietary fermented Azolla sp. accelerates sexual maturity of quail (Coturnix coturnix japonica). Earth Environ. Sci. 2023, 1168, 12028. [Google Scholar]
- Noetzold, T.L.; Obi, E.A.; Fancher, B.; Silva, M.; Thomson, A.; Zuidhof, M.J. Body weight optimization of broiler breeder hens. 1. pullet growth, feed efficiency, carcass composition, and sexual maturation. Poult. Sci. 2024, 103, 104414. [Google Scholar] [CrossRef]
- Shadparvar, A.A.; Enayati, B. Genetic parameters for body weight and laying traits in mazandaran native breeder hens. Iran. J. Appl. Anim. Sci. 2012, 2, 251–256. [Google Scholar]
- Edeh, H.O.; Osita, C.O.; Nwoga, C.C.; Ani, A.O.; Okwor, J. The effect of bodyweight variation on laying performances of Shaver brown hen in humid tropical environment. Niger. J. Anim. Sci. 2020, 22, 83–90. [Google Scholar]
- Summers, J.D.; Leeson, S. Laying hen performance as influenced by protein intake to sixteen weeks of age and body weight at point of lay. Poult. Sci. 1994, 73, 495–501. [Google Scholar] [CrossRef] [PubMed]
- Su, Y.; Ge, Y.; Xu, Z.X.; Zhang, D.; Li, D. The digestive and reproductive tract microbiotas and their association with body weight in laying hens. Poult. Sci. 2021, 100, 101422. [Google Scholar] [CrossRef]
- Leeson, S.; Caston, L.; Summers, J.D. Layer performance of four strains of leghorn pullets subjected to various rearing programs. Poult. Sci. 1997, 76, 1–5. [Google Scholar] [CrossRef]
- Abbas, S.A.; Elseid, A.A.G.; Ahmed, M.A. Effect of body weight uniformity on the productivity of broiler breeder hens. Int. J. Poult. Sci. 2010, 9, 225–230. [Google Scholar] [CrossRef][Green Version]







| 6–12 Wks | 13–17 Wks | 18–20 Wks | 21–72 Wks | |
|---|---|---|---|---|
| Ingredient (%) | ||||
| Corn | 71.11 | 75.20 | 68.00 | 65.50 |
| Soybean meal | 25.67 | 20.80 | 24.00 | 23.50 |
| Limestone | 1.40 | 2.00 | — | 3.00 |
| Calcareous granule | — | 0.20 | 6.00 | 6.00 |
| Zeolite powder | 0.105 | 0.105 | 0.23 | 0.23 |
| Dicalcium phosphate | 0.595 | 0.595 | 0.105 | 0.105 |
| Monocalcium phosphate | 0.25 | 0.25 | 0.595 | 0.595 |
| Sodium chloride | 0.12 | 0.10 | 0.25 | 0.25 |
| 50% Choline chloride | 0.15 | 0.15 | 0.12 | 0.12 |
| DL-methionine | 0.10 | 0.10 | 0.20 | 0.20 |
| Premix of vitamins and trace minerals 2 | 0.50 | 0.50 | 0.50 | 0.50 |
| Nutrient content (calculated) | ||||
| AMEn (kcal/kg) | 2850 | 2850 | 2800 | 2700 |
| Crude protein (%) | 17.50 | 15.50 | 16.50 | 16.00 |
| Total amino acid (%) | ||||
| Lysine | 0.94 | 0.82 | 0.84 | 0.82 |
| Methionine | 0.45 | 0.41 | 0.47 | 0.47 |
| Methionine + Cystine | 0.73 | 0.67 | 0.74 | 0.73 |
| L-tryptophan | 0.20 | 0.18 | 0.19 | 0.19 |
| Threonine | 0.66 | 0.59 | 0.62 | 0.61 |
| Calcium (%) | 0.80 | 0.80 | 2.60 | 3.80 |
| Total phosphorus (%) | 0.50 | 0.50 | 0.50 | 0.50 |
| Nonphytate phosphorus (%) | 0.27 | 0.27 | 0.27 | 0.27 |
| Nutrient content (measured) | ||||
| DM (%) | 91.90 | 92.17 | 91.61 | 92.08 |
| Gross energy (kcal/kg) | 4017 | 4032 | 3944 | 3892 |
| Crude protein (%) | 17.75 | 15.61 | 16.59 | 16.04 |
| Total amino acid (%) | ||||
| Lysine | 0.89 | 0.78 | 0.81 | 0.79 |
| Methionine | 0.43 | 0.38 | 0.48 | 0.45 |
| Met + Cys | 0.74 | 0.69 | 0.75 | 0.70 |
| L-tryptophan | 0.19 | 0.19 | 0.20 | 0.18 |
| Threonine | 0.64 | 0.58 | 0.59 | 0.59 |
| Calcium (%) | 0.84 | 0.87 | 2.68 | 3.78 |
| Total phosphorus (%) | 0.53 | 0.53 | 0.51 | 0.54 |
| Items | Normal Weight Hens | Lighter Weight Hens | p-Value |
|---|---|---|---|
| 7–12 wks | |||
| ADG | 17.37 ± 0.080 a | 16.80 ± 0.178 b | 0.011 |
| ADFI | 60.09 ± 0.104 | 60.16 ± 0.148 | 0.653 |
| FCR | 3.46 ± 0.019 b | 3.59 ± 0.037 a | 0.010 |
| 13–15 wks | |||
| ADG | 12.55 ± 0.286 | 13.00 ± 0.744 | 0.532 |
| ADFI | 80.92 ± 0.376 b | 83.10 ± 0.767 a | 0.018 |
| FCR | 6.45 ± 0.147 | 6.46 ± 0.392 | 0.982 |
| 16–17 wks | |||
| ADG | 7.63 ± 0.906 | 6.10 ± 1.300 | 0.387 |
| ADFI | 70.71 ± 0.572 | 71.81 ± 1.197 | 0.423 |
| FCR | 9.62 ± 1.159 | 12.71 ± 2.635 | 0.300 |
| 18–20 wks | |||
| ADG | 10.07 ± 1.656 | 11.70 ± 0.300 | 0.503 |
| ADFI | 83.21 ± 1.455 | 84.80 ± 1.064 | 0.452 |
| FCR | 8.52 ± 1.135 | 7.28 ± 0.355 | 0.466 |
| 21–24 wks | |||
| ADG | 7.65 ± 0.591 b | 11.33 ± 0.464 a | 0.002 |
| ADFI | 100.50 ± 1.093 | 102.78 ± 0.904 | 0.177 |
| FCR | 13.63 ± 1.197 a | 9.12 ± 0.320 b | 0.012 |
| 7–20 wks | |||
| ADG | 13.45 ± 0.189 | 13.23 ± 0.225 | 0.469 |
| ADFI | 70.99 ± 0.307 | 72.02 ± 0.427 | 0.079 |
| FCR | 5.29 ± 0.052 | 5.45 ± 0.080 | 0.118 |
| 7–24 wks | |||
| ADG | 12.17 ± 0.128 b | 12.80 ± 0.091 a | 0.007 |
| ADFI | 77.55 ± 0.472 | 78.86 ± 0.325 | 0.076 |
| FCR | 6.38 ± 0.056 a | 6.16 ± 0.041 b | 0.020 |
| Mortality (%) | 0.63 ± 0.555 | 2.50 ± 3.191 | 0.259 |
| Items | Normal Weight Hens | Lighter Weight Hens | p-Value |
|---|---|---|---|
| 15 wk | |||
| Body slope length (cm) | 21.43 ± 0.084 a | 20.56 ± 0.216 b | <0.001 |
| Shank length (cm) | 8.57 ± 0.025 | 8.53 ± 0.045 | 0.379 |
| Shank circumference (cm) | 3.64 ± 0.012 a | 3.60 ± 0.011 b | 0.007 |
| 20 wk | |||
| Body slope length (cm) | 23.38 ± 0.106 | 23.05 ± 0.130 | 0.050 |
| Shank length (cm) | 8.63 ± 0.030 | 8.60 ± 0.039 | 0.525 |
| Shank circumference (cm) | 3.82 ± 0.013 | 3.81 ± 0.016 | 0.916 |
| Items | Normal Weight Hens | Lighter Weight Hens | p-Value |
|---|---|---|---|
| Age at 5% egg production (day of age) | 140.83 ± 2.880 b | 151.50 ± 2.217 a | 0.029 |
| Age at 50% egg production (day of age) | 160.17 ± 1.195 | 163.00 ± 0.913 | 0.126 |
| Age at 90% egg production (day of age) | 171.67 ± 2.044 | 177.50 ± 3.926 | 0.185 |
| 5% to 50% egg production interval (day) | 19.33 ± 3.313 | 11.50 ± 1.658 | 0.072 |
| 50% to 90% egg production interval (day) | 11.50 ± 2.078 | 14.50 ± 4.031 | 0.486 |
| 5% to 90% egg production interval (day) | 30.83 ± 4.400 | 26.00 ± 5.642 | 0.514 |
| 5% to 50% egg production egg number (n) | 4.30 ± 0.766 | 2.43 ± 0.354 | 0.097 |
| 50% to 90% egg production egg number (n) | 8.72 ± 1.615 | 11.30 ± 3.471 | 0.470 |
| 5% to 90% egg production egg number (n) | 13.00 ± 1.936 | 13.70 ± 3.621 | 0.857 |
| Items | Normal Weight Hens | Lighter Weight Hens | p-Value |
|---|---|---|---|
| Laying rate (%) | 80.25 ± 0.992 a | 71.04 ± 2.906 b | 0.029 |
| Egg weight (g) | 61.37 ± 0.173 | 61.08 ± 0.482 | 0.310 |
| Egg mass (g/day) | 50.33 ± 0.675 a | 43.33 ± 1.463 b | 0.001 |
| Feed consumption (g/hen per day) | 111.89 ± 0.733 | 113.62 ± 0.650 | 0.256 |
| Feed conversion ratio (kg of feed/kg of eggs) | 2.21 ± 0.032 b | 2.63 ± 0.081 a | 0.001 |
| Mortality (%) | 2.52 ± 1.218 | 4.20 ± 1.668 | 0.432 |
| Items | Normal Weight Hens | Lighter Weight Hens | p-Value |
|---|---|---|---|
| EW (g) | |||
| 21–24 wk | 54.85 ± 0.250 | 54.22 ± 0.241 | 0.125 |
| 25–28 wk | 59.52 ± 0.187 | 58.81 ± 0.491 | 0.248 |
| 29–32 wk | 61.83 ± 0.184 | 61.71 ± 0.309 | 0.730 |
| 33–36 wk | 62.90 ± 0.314 | 62.15 ± 0.629 | 0.274 |
| 37–40 wk | 63.75 ± 0.271 | 63.35 ± 0.648 | 0.530 |
| 41–44 wk | 64.04 ± 0.418 | 63.01 ± 0.646 | 0.194 |
| 45–48 wk | 62.51 ± 0.394 | 61.86 ± 0.826 | 0.453 |
| 49–52 wk | 61.89 ± 0.701 | 61.43 ± 0.554 | 0.654 |
| 53–56 wk | 60.77 ± 0.295 a | 59.09 ± 0.276 b | 0.004 |
| 57–60 wk | 60.29 ± 0.212 | 59.79 ± 0.810 | 0.490 |
| 61–64 wk | 60.40 ± 0.374 | 60.69 ± 0.413 | 0.626 |
| 65–68 wk | 61.39 ± 0.349 | 61.85 ± 0.689 | 0.522 |
| 69–72 wk | 61.59 ± 0.586 | 60.88 ± 1.443 | 0.613 |
| 19–72 wk | 60.06 ± 0.176 | 59.69 ± 0.361 | 0.337 |
| EW CV (%) | |||
| 21–24 wk | 9.69 ± 0.674 | 8.47 ± 0.595 | 0.244 |
| 25–28 wk | 7.78 ± 0.445 | 8.41 ± 0.269 | 0.327 |
| 29–32 wk | 7.80 ± 1.043 | 8.08 ± 0.917 | 0.855 |
| 33–36 wk | 8.69 ± 0.641 | 7.97 ± 1.003 | 0.539 |
| 37–40 wk | 7.62 ± 0.545 | 7.29 ± 0.272 | 0.601 |
| 41–44 wk | 7.15 ± 0.744 | 7.40 ± 0.831 | 0.828 |
| 45–48 wk | 7.32 ± 0.545 | 8.49 ± 0.172 | 0.088 |
| 49–52 wk | 7.59 ± 0.498 | 7.42 ± 0.260 | 0.806 |
| 53–56 wk | 7.77 ± 0.498 | 8.36 ± 0.700 | 0.499 |
| 57–60 wk | 8.26 ± 0.481 | 8.83 ± 0.614 | 0.482 |
| 61–64 wk | 8.12 ± 0.411 | 8.26 ± 0.375 | 0.816 |
| 65–68 wk | 7.96 ± 0.620 | 8.88 ± 0.872 | 0.401 |
| 69–72 wk | 7.68 ± 0.797 | 7.52 ± 0.844 | 0.899 |
| 19–72 wk | 9.28 ± 0.386 | 9.21 ± 0.343 | 0.909 |
| Items | Normal Weight Hens | Lighter Weight Hens | p-Value |
|---|---|---|---|
| 26 wks of age | |||
| Eggshell color | 22.83 ± 0.679 | 22.73 ± 0.987 | 0.926 |
| Egg shape index | 1.27 ± 0.008 | 1.27 ± 0.007 | 0.512 |
| Average shell thickness (mm) | 0.41 ± 0.005 | 0.41 ± 0.009 | 0.575 |
| Blunt end thickness (mm) | 0.40 ± 0.008 | 0.40 ± 0.011 | 0.976 |
| Equator thickness (mm) | 0.40 ± 0.006 | 0.41 ± 0.008 | 0.434 |
| Acute end thickness (mm) | 0.42 ± 0.004 | 0.42 ± 0.010 | 0.598 |
| Eggshell strength (Kg/cm2) | 4.83 ± 0.105 | 4.77 ± 0.318 | 0.873 |
| Yolk color | 8.08 ± 0.260 | 7.88 ± 0.350 | 0.632 |
| Albumen height (mm) | 7.94 ± 0.471 | 7.37 ± 0.470 | 0.434 |
| Haugh unit | 89.07 ± 2.997 | 86.32 ± 2.670 | 0.543 |
| Eggshell percentage (%) | 10.47 ± 0.140 | 10.38 ± 0.212 | 0.713 |
| Yolk percentage (%) | 23.41 ± 0.404 | 23.33 ± 0.412 | 0.886 |
| Albumen percentage (%) | 66.11 ± 0.474 | 66.06 ± 0.517 | 0.944 |
| 30 wks of age | |||
| Eggshell color | 22.88 ± 0.752 | 24.06 ± 0.428 | 0.190 |
| Egg shape index | 1.26 ± 0.007 | 1.28 ± 0.013 | 0.379 |
| Average shell thickness (mm) | 0.40 ± 0.007 | 0.41 ± 0.004 | 0.098 |
| Blunt end thickness (mm) | 0.40 ± 0.008 | 0.41 ± 0.007 | 0.734 |
| Equator thickness (mm) | 0.40 ± 0.008 | 0.42 ± 0.006 | 0.084 |
| Acute end thickness (mm) | 0.40 ± 0.008 | 0.42 ± 0.005 | 0.064 |
| Eggshell strength (Kg/cm2) | 4.59 ± 0.099 | 4.91 ± 0.306 | 0.348 |
| Yolk color | 5.50 ± 0.261 a | 4.75 ± 0.164 b | 0.026 |
| Albumen height (mm) | 8.63 ± 0.264 | 7.86 ± 0.439 | 0.128 |
| Haugh unit | 91.98 ± 1.240 | 87.54 ± 2.675 | 0.109 |
| Eggshell percentage (%) | 9.72 ± 0.173 | 10.15 ± 0.119 | 0.052 |
| Yolk percentage (%) | 25.04 ± 0.585 | 25.77 ± 0.350 | 0.387 |
| Albumen percentage (%) | 65.24 ± 0.609 | 64.08 ± 0.429 | 0.198 |
| 36 wks of age | |||
| Eggshell color | 25.15 ± 1.235 | 24.08 ± 1.302 | 0.569 |
| Egg shape index | 1.27 ± 0.004 | 1.29 ± 0.014 | 0.169 |
| Average shell thickness (mm) | 0.39 ± 0.005 | 0.39 ± 0.008 | 0.615 |
| Blunt end thickness (mm) | 0.38 ± 0.007 | 0.39 ± 0.008 | 0.472 |
| Equator thickness (mm) | 0.39 ± 0.005 | 0.40 ± 0.008 | 0.850 |
| Acute end thickness (mm) | 0.39 ± 0.006 | 0.39 ± 0.010 | 0.973 |
| Eggshell strength (Kg/cm2) | 4.10 ± 0.250 | 4.09 ± 0.160 | 0.976 |
| Yolk color | 7.92 ± 0.358 | 6.88 ± 0.479 | 0.093 |
| Albumen height (mm) | 7.66 ± 0.642 | 7.16 ± 0.493 | 0.581 |
| Haugh unit | 85.37 ± 4.245 | 83.56 ± 2.931 | 0.756 |
| Eggshell percentage (%) | 9.63 ± 0.140 | 9.68 ± 0.140 | 0.816 |
| Yolk percentage (%) | 26.47 ± 0.376 | 26.23 ± 0.740 | 0.775 |
| Albumen percentage (%) | 63.89 ± 0.410 | 64.09 ± 0.698 | 0.799 |
| 48 wks of age | |||
| Eggshell color | 26.75 ± 1.336 | 24.56 ± 0.905 | 0.241 |
| Egg shape index | 1.29 ± 0.008 | 1.30 ± 0.014 | 0.612 |
| Average shell thickness (mm) | 0.39 ± 0.014 | 0.37 ± 0.011 | 0.339 |
| Blunt end thickness (mm) | 0.39 ± 0.014 | 0.36 ± 0.009 | 0.231 |
| Equator thickness (mm) | 0.40 ± 0.011 | 0.38 ± 0.008 | 0.137 |
| Acute end thickness (mm) | 0.39 ± 0.017 | 0.38 ± 0.017 | 0.705 |
| Eggshell strength (Kg/cm2) | 3.83 ± 0.284 | 3.55 ± 0.212 | 0.480 |
| Yolk color | 5.36 ± 0.244 | 5.29 ± 0.286 | 0.841 |
| Albumen height (mm) | 6.96 ± 0.375 | 7.31 ± 0.220 | 0.450 |
| Haugh unit | 82.48 ± 2.339 | 85.32 ± 1.389 | 0.334 |
| Eggshell percentage (%) | 9.66 ± 0.329 | 9.19 ± 0.266 | 0.326 |
| Yolk percentage (%) | 26.09 ± 0.385 b | 27.56 ± 0.293 a | 0.013 |
| Albumen percentage (%) | 64.25 ± 0.662 | 63.25 ± 0.302 | 0.187 |
| 60 wks of age | |||
| Eggshell color | 25.43 ± 0.710 | 26.19 ± 1.804 | 0.703 |
| Egg shape index | 1.28 ± 0.009 | 1.26 ± 0.017 | 0.335 |
| Average shell thickness (mm) | 0.37 ± 0.007 | 0.39 ± 0.009 | 0.129 |
| Blunt end thickness (mm) | 0.36 ± 0.009 | 0.38 ± 0.010 | 0.144 |
| Equator thickness (mm) | 0.37 ± 0.010 | 0.39 ± 0.010 | 0.219 |
| Acute end thickness (mm) | 0.38 ± 0.006 | 0.39 ± 0.010 | 0.170 |
| Eggshell strength (Kg/cm2) | 3.67 ± 0.203 | 3.76 ± 0.313 | 0.788 |
| Yolk color | 5.64 ± 0.338 | 5.75 ± 0.366 | 0.824 |
| Albumen height (mm) | 6.78 ± 0.382 | 6.23 ± 0.418 | 0.354 |
| Haugh unit | 81.72 ± 2.589 | 77.92 ± 2.818 | 0.346 |
| Eggshell percentage (%) | 9.24 ± 0.225 | 9.90 ± 0.189 | 0.051 |
| Yolk percentage (%) | 27.13 ± 0.528 | 27.04 ± 0.845 | 0.918 |
| Albumen percentage (%) | 63.63 ± 0.673 | 63.06 ± 0.848 | 0.607 |
| 72 wks of age | |||
| Eggshell color | 24.33 ± 0.860 | 28.64 ± 2.030 | 0.080 |
| Egg shape index | 1.29 ± 0.011 | 1.31 ± 0.017 | 0.473 |
| Average shell thickness (mm) | 0.38 ± 0.016 | 0.38 ± 0.010 | 0.797 |
| Blunt end thickness (mm) | 0.38 ± 0.016 | 0.37 ± 0.008 | 0.505 |
| Equator thickness (mm) | 0.39 ± 0.016 | 0.39 ± 0.011 | 0.986 |
| Acute end thickness (mm) | 0.38 ± 0.019 | 0.37 ± 0.013 | 0.909 |
| Eggshell strength (Kg/cm2) | 3.65 ± 0.249 | 3.72 ± 0.223 | 0.845 |
| Yolk color | 6.08 ± 0.336 | 6.00 ± 0.378 | 0.873 |
| Albumen height (mm) | 6.84 ± 0.319 | 6.98 ± 0.255 | 0.767 |
| Haugh unit | 81.07 ± 2.084 | 82.81 ± 1.796 | 0.564 |
| Eggshell percentage (%) | 9.63 ± 0.428 | 9.66 ± 0.262 | 0.960 |
| Yolk percentage (%) | 25.48 ± 0.713 | 25.73 ± 0.501 | 0.798 |
| Albumen percentage (%) | 64.89 ± 0.618 | 64.61 ± 0.557 | 0.755 |
Disclaimer/Publisher’s Note: The statements, opinions and data contained in all publications are solely those of the individual author(s) and contributor(s) and not of MDPI and/or the editor(s). MDPI and/or the editor(s) disclaim responsibility for any injury to people or property resulting from any ideas, methods, instructions or products referred to in the content. |
© 2025 by the authors. Licensee MDPI, Basel, Switzerland. This article is an open access article distributed under the terms and conditions of the Creative Commons Attribution (CC BY) license (https://creativecommons.org/licenses/by/4.0/).
Share and Cite
Lu, J.; Wang, Q.; Ma, M.; Li, Y.; Guo, W.; Zhang, X.; Yang, X.; Qu, L. Influence of Body Weight at the End of the Brooding Period on the Productive Performance in Hyline Brown Laying Hens from 6 to 72 Weeks of Age. Animals 2025, 15, 1292. https://doi.org/10.3390/ani15091292
Lu J, Wang Q, Ma M, Li Y, Guo W, Zhang X, Yang X, Qu L. Influence of Body Weight at the End of the Brooding Period on the Productive Performance in Hyline Brown Laying Hens from 6 to 72 Weeks of Age. Animals. 2025; 15(9):1292. https://doi.org/10.3390/ani15091292
Chicago/Turabian StyleLu, Jian, Qiang Wang, Meng Ma, Yongfeng Li, Wei Guo, Xin Zhang, Xiaodong Yang, and Liang Qu. 2025. "Influence of Body Weight at the End of the Brooding Period on the Productive Performance in Hyline Brown Laying Hens from 6 to 72 Weeks of Age" Animals 15, no. 9: 1292. https://doi.org/10.3390/ani15091292
APA StyleLu, J., Wang, Q., Ma, M., Li, Y., Guo, W., Zhang, X., Yang, X., & Qu, L. (2025). Influence of Body Weight at the End of the Brooding Period on the Productive Performance in Hyline Brown Laying Hens from 6 to 72 Weeks of Age. Animals, 15(9), 1292. https://doi.org/10.3390/ani15091292

