Effect of Season on the Characteristics of Warmblood Stallion Spermatozoa Stored in a Liquid State at 5 °C
Simple Summary
Abstract
1. Introduction
2. Materials and Methods
2.1. Animals and Ejaculate Collections
2.2. Fresh Semen Processing Procedure
2.3. Analysis of Sperm Parameters After Cooling
2.3.1. Motility Evaluations
2.3.2. Spermatozoa with Normal Apical Ridge Acrosomes (NARs)
2.3.3. Plasma Membrane Integrity (PMI)
2.3.4. Mitochondrial Membrane Potential (MMP)
2.3.5. Adenosine Triphosphate (ATP) Content
2.4. Statistical Analysis
3. Results
3.1. Effect of Season on the Parameters of Fresh Stallion Ejaculates
3.2. Effect of Season and Storage Time on the Parameters of Cooled Stallion Spermatozoa
3.3. Two-Way ANOVA Analysis
4. Discussion
5. Conclusions
Author Contributions
Funding
Institutional Review Board Statement
Informed Consent Statement
Data Availability Statement
Acknowledgments
Conflicts of Interest
References
- Al-Kass, Z.; Morrell, J.M. Freezing Stallion Semen-What Do We Need to Focus on for the Future? Vet. Sci. 2024, 11, 65. [Google Scholar] [CrossRef] [PubMed]
- Squires, E.; Barbacini, S.; Matthews, P.; Byers, W.; Schwenzer, K.; Steiner, J.; Loomis, P. Retrospective study of factors affecting fertility of fresh, cooled and frozen semen. Equine Vet. Edu. 2010, 18, 96–99. [Google Scholar] [CrossRef]
- Samper, J.C.; Hellander, J.C.; Crabo, B.G. Relationship between the fertility of fresh and frozen stallion semen and semen quality. J. Reprod. Fertil. Suppl. 1991, 44, 107–114. [Google Scholar] [CrossRef]
- Clulow, J.; Gibb, Z. Liquid storage of stallion spermatozoa-Past, present and future. Anim. Reprod. Sci. 2022, 247, 107088. [Google Scholar] [CrossRef]
- Gamboa, S.; Rodrigues, A.S.; Henriques, L.; Batista, C.; Ramalho-Santos, J. Seasonal functional relevance of sperm characteristics in equine spermatozoa. Theriogenology 2010, 73, 950–958. [Google Scholar] [CrossRef]
- Greiser, T.; Sieme, H.; Martinsson, G.; Distl, O. Breed and stallion effects on frozen-thawed semen in warmblood, light and quarter horses. Theriogenology 2020, 142, 8–14. [Google Scholar] [CrossRef]
- Bronson, F.H. Climate change and seasonal reproduction in mammals. Philos. Trans. R. Soc. Lond. B Biol. Sci. 2009, 364, 3331–3340. [Google Scholar] [CrossRef]
- Chemineau, P.; Guillaume, D.; Migaud, M.; Thiéry, J.C.; Pellicer-Rubio, M.T.; Malpaux, B. Seasonality of reproduction in mammals: Intimate regulatory mechanisms and practical implications. Reprod. Domest. Anim. 2008, 43, 40–47. [Google Scholar] [CrossRef]
- Clay, C.M.; Squires, E.L.; Amann, R.P.; Pickett, B.W. Influences of season and artificial photoperiod on stallions: Testicular size, seminal characteristics and sexual behavior. J. Anim. Sci. 1987, 64, 517–525. [Google Scholar] [CrossRef]
- Gerlach, T.; Aurich, J.E. Regulation of seasonal reproductive activity in the stallion, ram and hamster. Anim. Reprod. Sci. 2000, 58, 197–213. [Google Scholar] [CrossRef]
- Harris, J.M.; Irvine, C.H.G.; Evans, M.J. Seasonal changes in serum levels of FSH, LH and testosterone and in semen parameters in stallions. Theriogenology 1983, 19, 311–322. [Google Scholar] [CrossRef]
- Hoffmann, B.; Landeck, A. Testicular endocrine function, seasonality and semen quality of the stallion. Anim. Reprod. Sci. 1999, 57, 89–98. [Google Scholar] [CrossRef] [PubMed]
- Pickett, B.W.; Faulkner, L.C.; Seidel, G.E., Jr.; Berndtson, W.E.; Voss, J.L. Reproductive physiology of the stallion. VI. Seminal and behavioral characteristics. J. Anim. Sci. 1976, 43, 617–625. [Google Scholar] [CrossRef]
- Schmidt, K.; Deichsel, K.; de Oliveira, R.A.; Aurich, J.; Ille, N.; Aurich, C. Effects of environmental temperature and season on hair coat characteristics, physiologic and reproductive parameters in Shetland pony stallions. Theriogenology 2017, 97, 170–178. [Google Scholar] [CrossRef]
- Janett, F.; Thun, R.; Niederer, K.; Burger, D.; Hässig, M. Seasonal changes in semen quality and freezability in the Warmblood stallion. Theriogenology 2003, 60, 453–461. [Google Scholar] [CrossRef]
- Jasko, D.J.; Lein, D.H.; Foote, R.H. The repeatability and effect of season on seminal characteristics and computer-aided sperm analysis in the stallion. Theriogenology 1991, 35, 317–327. [Google Scholar] [CrossRef]
- Aurich, C. Reprint of: Seasonal Influences on Cooled-Shipped and Frozen-Thawed Stallion Semen. J. Equine Vet. Sci. 2016, 43, 1–5. [Google Scholar] [CrossRef]
- Wach-Gygax, L.; Burger, D.; Malama, E.; Bollwein, H.; Fleisch, A.; Jeannerat, E.; Thomas, S.; Schuler, G.; Janett, F. Seasonal changes of DNA fragmentation and quality of raw and cold-stored stallion spermatozoa. Theriogenology 2017, 99, 98–104. [Google Scholar] [CrossRef]
- Freitas, M.L.; Viana, J.H.M.; Dode, M.A.N.; Maggiotto, S.R.; Pivato, I.; Braga, T.R.C.; Lim, A.I.P.G.; de Oliveira, R.A. Seasonality does not influence cortisol or testosterone production, or seminal quality of stallions located at low latitudes. Anim. Reprod. Sci. 2023, 250, 107202. [Google Scholar] [CrossRef]
- Perrett, J.; Harris, I.T.; Maddock, C.; Farnworth, M.; Pyatt, A.Z.; Sumner, R.N. Systematic Analysis of Breed, Methodological, and Geographical Impact on Equine Sperm Progressive Motility. Animals 2021, 11, 3088. [Google Scholar] [CrossRef]
- Tanga, B.M.; Qamar, A.Y.; Raza, S.; Bang, S.; Fang, X.; Yoon, K.; Cho, J. Semen evaluation: Methodological advancements in sperm quality-specific fertility assessment—A review. Anim. Biosci. 2021, 34, 1253–1270. [Google Scholar] [CrossRef] [PubMed]
- Lowry, O.H.; Rosebrough, N.J.; Farr, A.L.; Randall, R.J. Protein measurement with the Folin phenol reagent. J. Biol. Chem. 1951, 193, 265–275. [Google Scholar] [CrossRef] [PubMed]
- Varner, D.D. Developments in stallion semen evaluation. Theriogenology 2008, 70, 448–462. [Google Scholar] [CrossRef] [PubMed]
- Fraser, L.; Dziekońska, A.; Strzezek, R.; Strzezek, J. Dialysis of boar semen prior to freezing-thawing: Its effects on post-thaw sperm characteristics. Theriogenology 2007, 67, 994–1003. [Google Scholar] [CrossRef]
- Garner, D.L.; Johnson, L.A. Viability assessment of mammalian sperm using SYBR-14 and propidium iodide. Biol. Reprod. 1995, 53, 276–284. [Google Scholar] [CrossRef]
- Dziekońska, A.; Lecewicz, M.; Partyka, A.; Niżański, W. Fluorescence Microscopy and Flow-Cytometry Assessment of Substructures in European Red Deer Epididymal Spermatozoa after Cryopreservation. Animals 2023, 13, 990. [Google Scholar] [CrossRef]
- Dziekońska, A.; Strzeżek, J. Boar variability affects sperm metabolism activity in liquid stored semen at 5 °C. Pol. J. Vet. Sci. 2011, 14, 21–27. [Google Scholar] [CrossRef]
- Shawki, G.; Barakat, T.M.; Samy, A.M.; AL-Mejren, A.A.; Mesalam, A. Effects of age and season on semen characteristics in arabian stallions under subtropical conditions of Kuwait. Slov. Vet. Res. 2021, 58, 307–314. [Google Scholar] [CrossRef]
- Augusto, C.; Francisco Gacek, F.; Artes, R. Seasonal variations in stallion sperm features and their relationship with fertility of the breeding stock. Braz. J. Vet. Res. Anim. Sci. 1997, 34, 167–172. [Google Scholar]
- Díaz-Rojas, E.; Carrillo-Moreno, D.; Contreras-Villarreal, V.; Arellano-Rodríguez, F.; Alvarado-Espino, A.; Ángel-García, O. Effect of seasonality on the seminal quality of Quarter horse stallions. Abanico Vet. 2023, 13, 1–10. [Google Scholar] [CrossRef]
- Crespo, F.; Wilson, R.; Díaz-Jimenez, M.; Consuegra, C.; Dorado, J.; Barrado, B.G.; Gosálvez, J.; Smit, R.L.; Hidalgo, M.; Johnston, S. Effect of season on individual stallion semen characteristics. Anim. Reprod. Sci. 2020, 223, 106641. [Google Scholar] [CrossRef]
- Morrell, J.M.; Georgakas, A.; Lundeheim, N.; Nash, D.; Davies Morel, M.C.; Johannisson, A. Effect of heterologous and homologous seminal plasma on stallion sperm quality. Theriogenology 2014, 82, 176–183. [Google Scholar] [CrossRef]
- Höfner, L.; Luther, A.M.; Waberski, D. The role of seminal plasma in the liquid storage of spermatozoa. Anim. Reprod. Sci. 2020, 220, 106290. [Google Scholar] [CrossRef]
- Ebel, F.; Vallejos, A.; Gajardo, G.; Ulloa, O.; Clavel, E.; Rodríguez-Gil, J.E.; Ramírez-Reveco, A. Semen quality and freezability analysis during breeding and non-breeding seasons in heavy draft stallions in southern Chile. Andrologia 2020, 52, e13797. [Google Scholar] [CrossRef]
- Suliman, Y.; Becker, F.; Tuchscherer, A.; Wimmers, K. Seasonal variations in quantitative and qualitative sperm characteristics in fertile and subfertile stallions. Arch. Anim. Breed. 2020, 63, 145–154. [Google Scholar] [CrossRef]
- Love, C.C. Relationship between sperm motility, morphology and the fertility of stallions. Theriogenology 2011, 76, 547–557. [Google Scholar] [CrossRef]
- Love, C.C.; Thompson, J.A.; Brinsko, S.P.; Rigby, S.L.; Blanchard, T.L.; Lowry, V.K.; Varner, D.D. Relationship between stallion sperm motility and viability as detected by two fluorescence staining techniques using flow cytometry. Theriogenology 2003, 60, 1127–1138. [Google Scholar] [CrossRef]
- Ortiz, I.; Quiñones-Pérez, C.; Hidalgo, M.; Consuegra, C.; Diaz-Jimenez, M.; Dorado, J.; Vega-Pla, J.L.; Crespo, F. Comparison of different mathematical models to assess seasonal variations in the longevity of DNA integrity of cooled-stored stallion sperm. Andrologia 2020, 52, e13545. [Google Scholar] [CrossRef]
- Gibb, Z.; Lambourne, S.R.; Aitken, R.J. The paradoxical relationship between stallion fertility and oxidative stress. Biol. Reprod. 2014, 91, 77. [Google Scholar] [CrossRef]
- Moraes, C.R.; Meyers, S. The sperm mitochondrion: Organelle of many functions. Anim. Reprod. Sci. 2018, 194, 71–80. [Google Scholar] [CrossRef]
- Blottner, S.; Warnke, C.; Tuchscherer, A.; Heinen, V.; Torner, H. Morphological and functional changes of stallion spermatozoa after cryopreservation during breeding and non-breeding season. Anim. Reprod. Sci. 2021, 65, 75–88. [Google Scholar] [CrossRef]
- McPartlin, L.A.; Suarez, S.S.; Czaya, C.A.; Hinrichs, K.; Bedford-Guaus, S.J. Hyperactivation of stallion sperm is required for successful in vitro fertilization of equine oocytes. Biol. Reprod. 2009, 81, 199–206. [Google Scholar] [CrossRef]

| Parameters | Breeding Season (March–July) | Non-Breeding Season (September–December) |
|---|---|---|
| Vol (mL) | 74.7 ± 10.7 a | 66.1 ± 6.6 b |
| Con (×106/mL) | 261.1 ± 37.5 a | 335.1 ± 87.2 b |
| TP (mg/mL) | 22.4 ± 4.7 a | 25.7 ± 6.3 a |
| MOT (%) | 75.0 ± 4.8 a | 70.8 ± 4.9 a |
| Storage Time (h) | Breeding Season (March–July) | Non-Breeding Season (September–December) |
|---|---|---|
| TMOT (%) | ||
| 0 | 83.8 ± 2.9 a | 79.9 ± 2.2 a |
| 24 | 76.3 ± 5.4 ab | 74.6 ± 1.8 ab |
| 48 | 72.0 ± 5.9 b | 64.6 ± 3.5 b |
| 72 | 56.6 ± 6.3 bc | 55.3 ± 4.1 bc |
| 96 | 47.8 ± 4.2 c | 44.4 ± 4.4 c |
| PMOT (%) | ||
| 0 | 43.1 ± 3.8 a x | 30.9 ± 2.8 a y |
| 24 | 39.4 ± 3.7 a x | 31.6 ± 2.6 a y |
| 48 | 30.1 ± 3.6 b | 24.4 ± 2.4 b |
| 72 | 19.0 ± 2.4 c | 17.5 ± 2.3 bc |
| 96 | 17.6 ± 2.3 c | 12.8 ± 1.8 c |
| NAR (%) | ||
| 0 | 88.0 ± 0.9 a | 85.0 ± 2.0 a |
| 24 | 84.3 ± 1.6 b x | 79.5 ± 2.6 ab y |
| 48 | 82.5 ± 2.1 b | 79.4 ± 1.9 ab |
| 72 | 80.3 ± 1.9 bc | 75.7 ± 1.4 b |
| 96 | 70.0 ± 3.6 d | 70.3 ± 1.7 b |
| PMI (%) | ||
| 0 | 89.6 ± 2.1 a x | 74.5 ± 1.2 a y |
| 24 | 79.1 ± 4.2 b x | 69.1 ± 2.3 ab y |
| 48 | 65.1 ± 2.2 c | 62.9 ± 2.7 b |
| 72 | 59.1 ± 4.1 bc | 58.4 ± 4.4 b |
| 96 | 53.2 ± 5.7 c | 48.3 ± 3.9 c |
| MMP (%) | ||
| 0 | 87.5 ± 2.2 a x | 73.4 ± 1.8 a y |
| 24 | 76.4 ± 3.6 b y | 66.7 ± 2.2 a y |
| 48 | 63.1 ± 0.8 bc | 60.2 ± 2.4 b |
| 72 | 59.6 ± 3.8 c | 52.2 ± 4.4 bc |
| 96 | 55.9 ± 2.5 c | 50.1 ± 3.8 c |
| ATP (nmol/108 sperm) | ||
| 0 | 2.9 ± 0.8 ab | 3.5 ± 0.6 ab |
| 24 | 3.3 ± 0.6 ab | 3.8 ± 0.5 a |
| 48 | 4.2 ± 0.9 a | 3.3 ± 0.4 ab |
| 72 | 4.5 ± 0.6 a | 3.2 ± 0.5 ab |
| 96 | 2.4 ± 0.4 b | 2.4 ± 0.3 b |
| Sources of Variations | d.f. | TMOT | PMOT | PMI | NAR | MMP | ATP | ||||||
|---|---|---|---|---|---|---|---|---|---|---|---|---|---|
| F-Value | p-Value | F-Value | p-Value | F-Value | p-Value | F-Value | p-Value | F-Value | p-Value | F-Value | p-Value | ||
| Time | 4 | 10.671 | 0.001 | 16.802 | 0.001 | 7.894 | 0.001 | 2.648 | 0.035 | 13.084 | 0.001 | 7.600 | 0.001 |
| Season | 1 | 1.823 | NS | 7.080 | 0.008 | 9.133 | 0.002 | 0.120 | NS | 10.033 | 0.001 | 3.090 | NS |
| Time × season | 4 | 0.693 | NS | 2.280 | NS | 2.778 | 0.028 | 1.00 | NS | 1.621 | NS | 12.66 | NS |
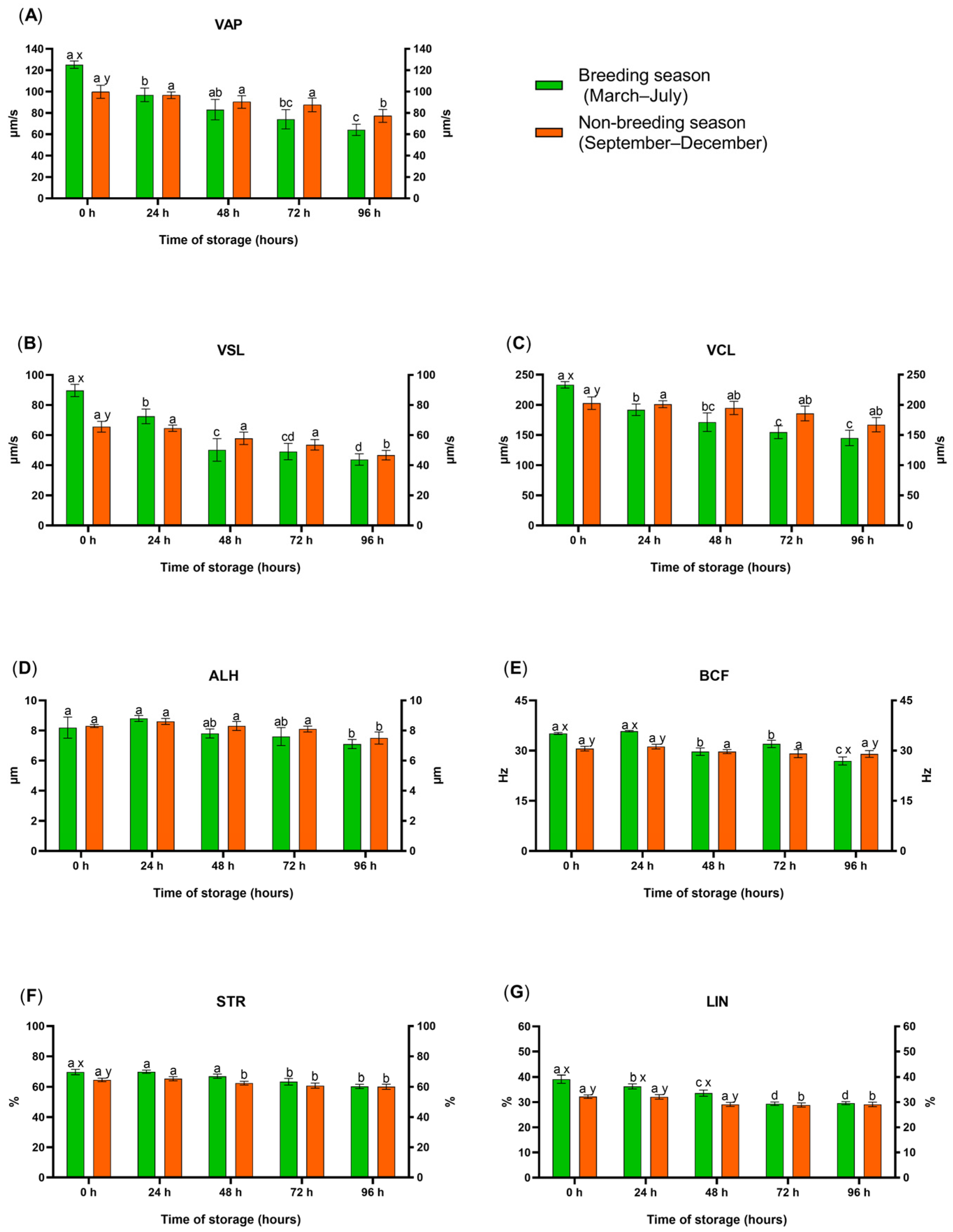
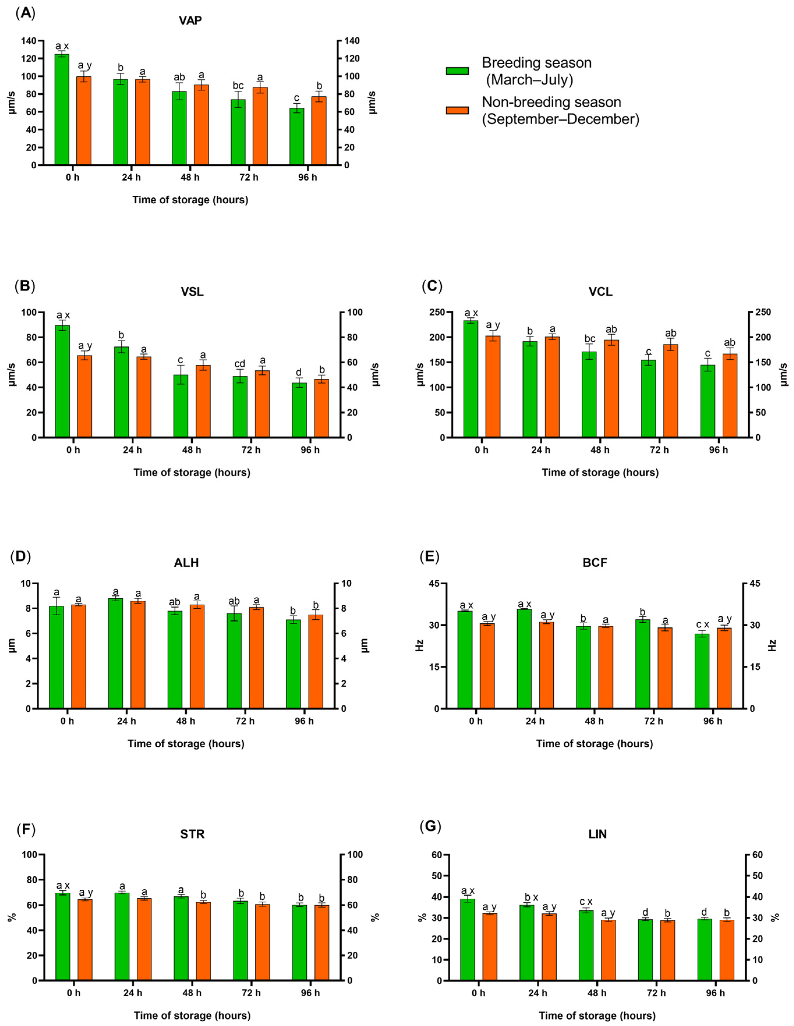
| Sources of Variations | d.f. | VAP | VSL | VCL | ALH | BCF | STR | LIN | |||||||
|---|---|---|---|---|---|---|---|---|---|---|---|---|---|---|---|
| F-Value | p-Value | F-Value | p-Value | F-Value | p-Value | F-Value | p-Value | F-Value | p-Value | F-Value | p-Value | F-Value | p-Value | ||
| Time | 4 | 10.671 | 0.001 | 16.802 | 0.001 | 7.894 | 0.001 | 2.648 | 0.035 | 13.084 | 0.001 | 7.600 | 0.001 | 6.955 | 0.001 |
| Season | 1 | 1.823 | NS | 7.080 | 0.008 | 0.068 | NS | 0.120 | NS | 10.033 | 0.001 | 3.090 | NS | 15.350 | 0.001 |
| Time × season | 4 | 5.998 | 0.001 | 13.999 | 0.001 | 4.483 | 0.001 | 1.483 | NS | 6.713 | 0.001 | 1.030 | NS | 4.229 | 0.041 |
Disclaimer/Publisher’s Note: The statements, opinions and data contained in all publications are solely those of the individual author(s) and contributor(s) and not of MDPI and/or the editor(s). MDPI and/or the editor(s) disclaim responsibility for any injury to people or property resulting from any ideas, methods, instructions or products referred to in the content. |
© 2025 by the authors. Licensee MDPI, Basel, Switzerland. This article is an open access article distributed under the terms and conditions of the Creative Commons Attribution (CC BY) license (https://creativecommons.org/licenses/by/4.0/).
Share and Cite
Dziekońska, A.; Szczepańska, A.; Wysokińska, A. Effect of Season on the Characteristics of Warmblood Stallion Spermatozoa Stored in a Liquid State at 5 °C. Animals 2025, 15, 1035. https://doi.org/10.3390/ani15071035
Dziekońska A, Szczepańska A, Wysokińska A. Effect of Season on the Characteristics of Warmblood Stallion Spermatozoa Stored in a Liquid State at 5 °C. Animals. 2025; 15(7):1035. https://doi.org/10.3390/ani15071035
Chicago/Turabian StyleDziekońska, Anna, Agata Szczepańska, and Anna Wysokińska. 2025. "Effect of Season on the Characteristics of Warmblood Stallion Spermatozoa Stored in a Liquid State at 5 °C" Animals 15, no. 7: 1035. https://doi.org/10.3390/ani15071035
APA StyleDziekońska, A., Szczepańska, A., & Wysokińska, A. (2025). Effect of Season on the Characteristics of Warmblood Stallion Spermatozoa Stored in a Liquid State at 5 °C. Animals, 15(7), 1035. https://doi.org/10.3390/ani15071035

